Effect of Anchorage Length on Bond–Slip Behavior of Cold-Formed Checkered Steel and Foamed Concrete
Abstract
1. Introduction
2. Experimental Program
2.1. Design of Specimens
2.2. Material Properties
2.3. Loading Procedure
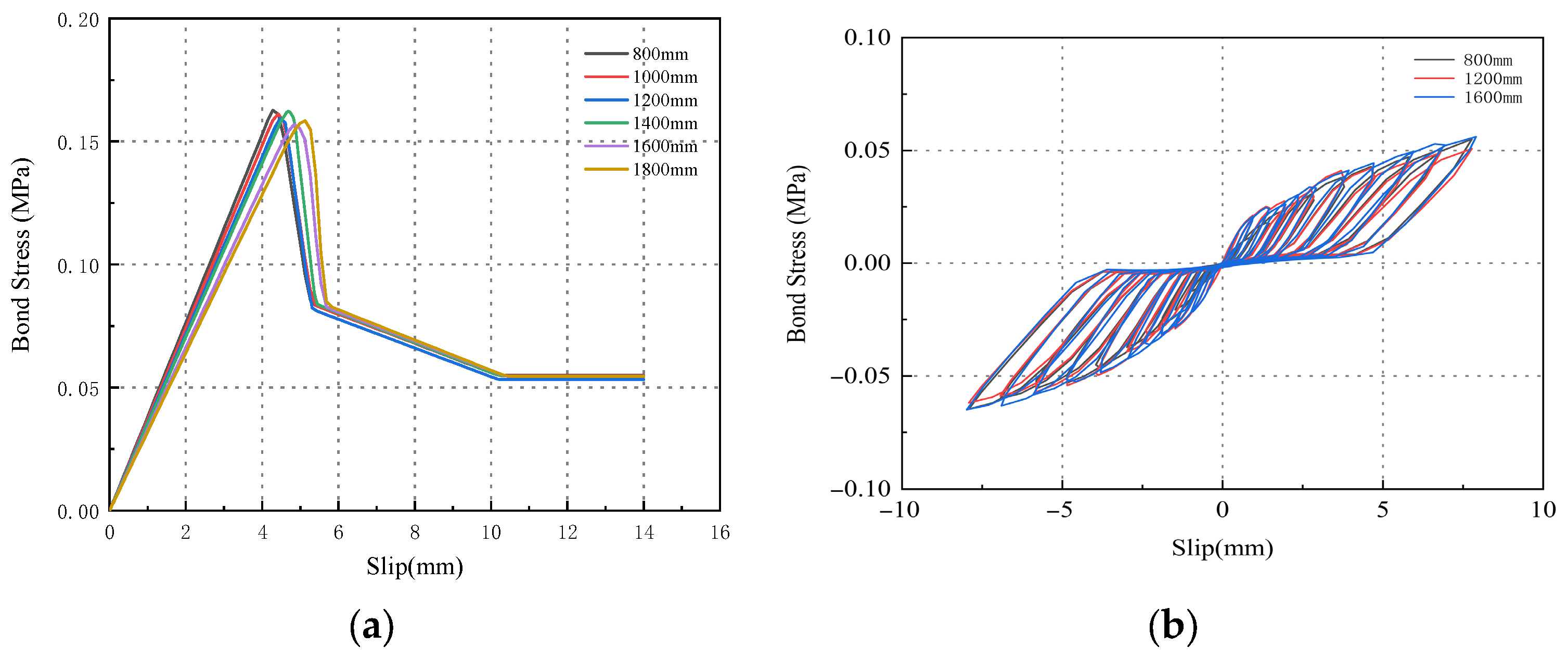
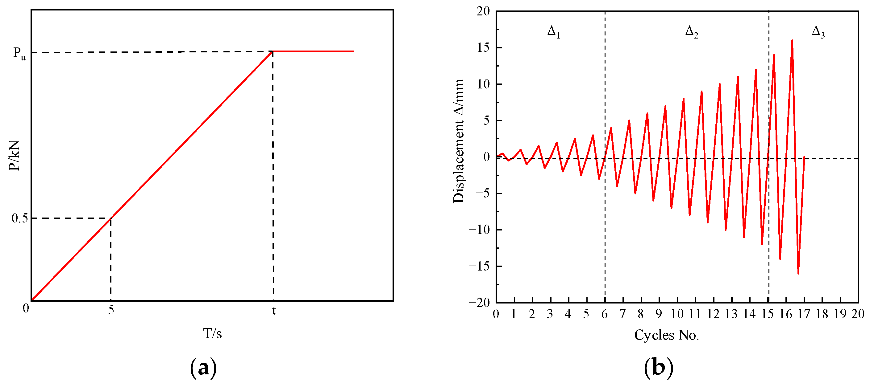
2.3.1. Monotonic Loading Test
2.3.2. Cyclic Loading Test
2.4. Measurement Point Layout
3. Test Results and Discussions
3.1. Test Observations and Failure Modes
3.2. Bond Stress–Slip Displacement Curves and Characteristic Values
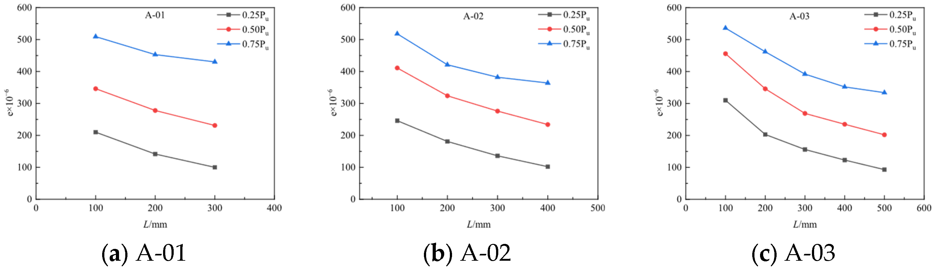
3.3. Strain Analysis
3.4. Strain Cloud Analysis of Test Specimens
3.4.1. Strain Cloud Analysis Under Monotonic Loading
3.4.2. Strain Cloud Analysis Under Cyclic Loading
4. Finite Element Analysis
4.1. Finite Element Modeling
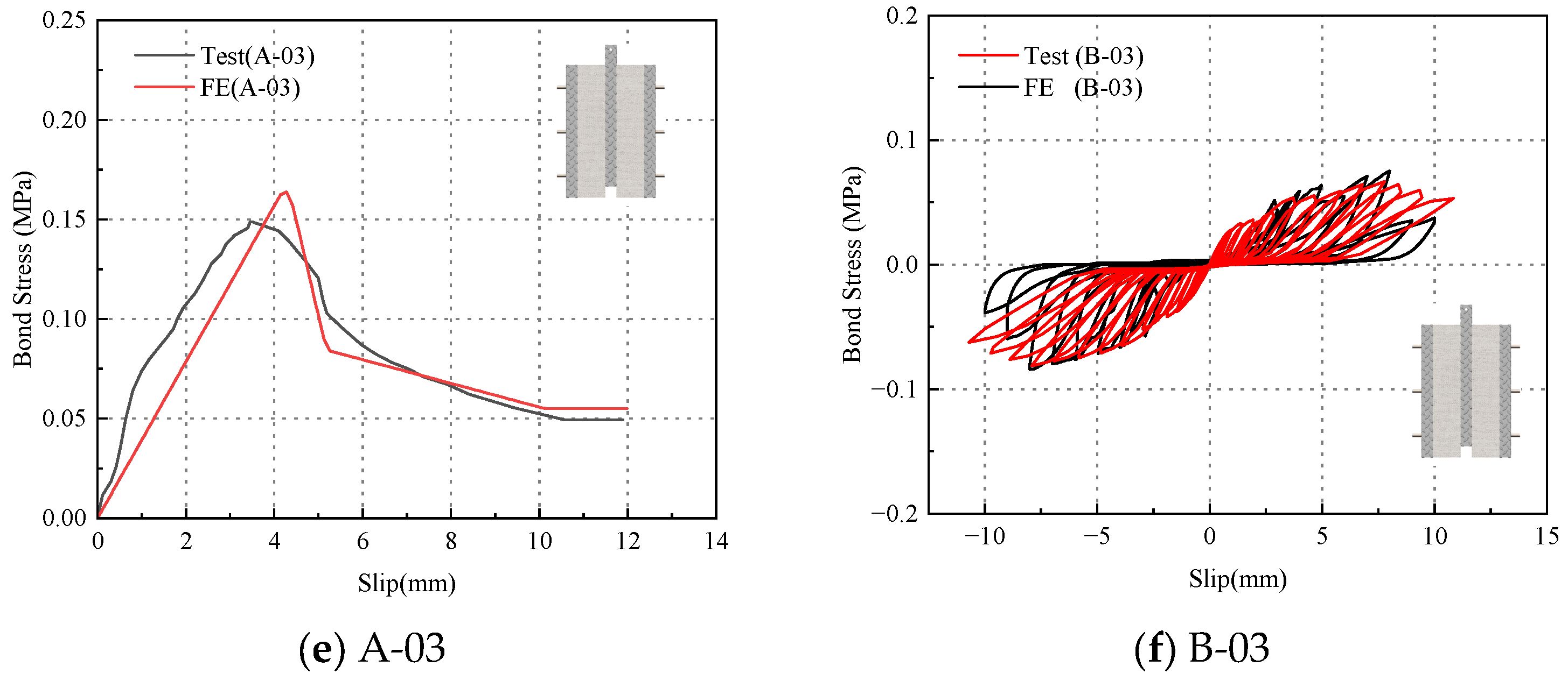
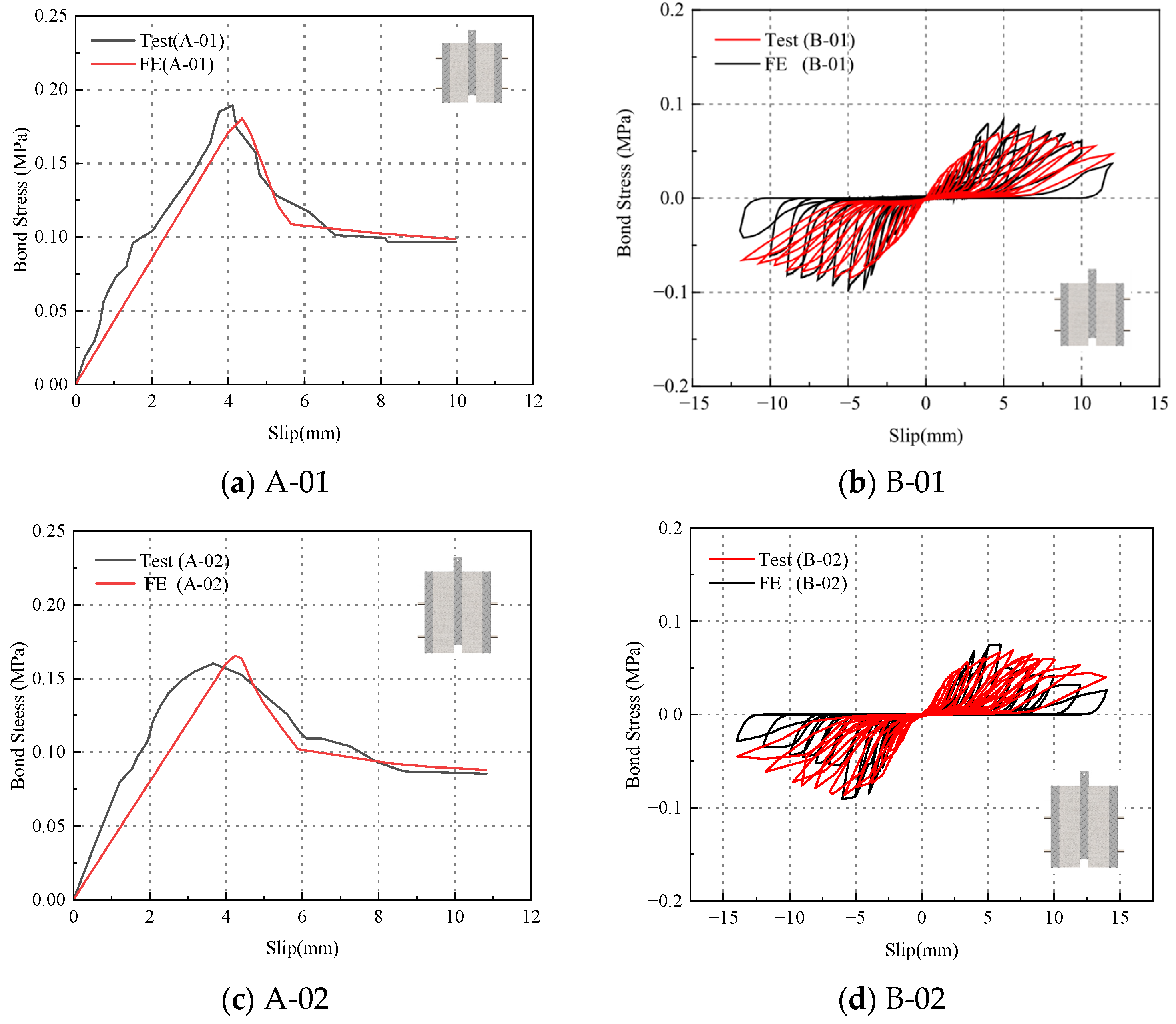
4.2. Model Validation
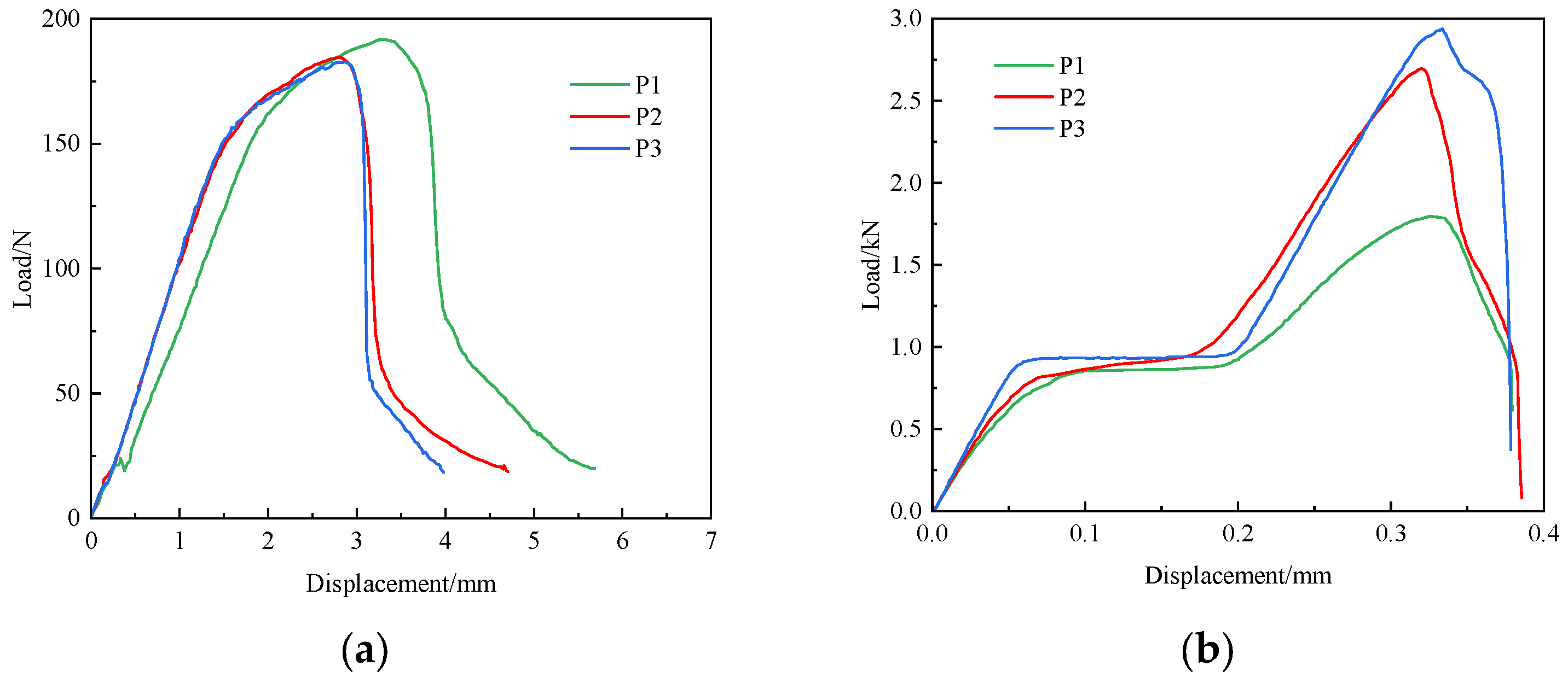
4.3. Parametric Studies
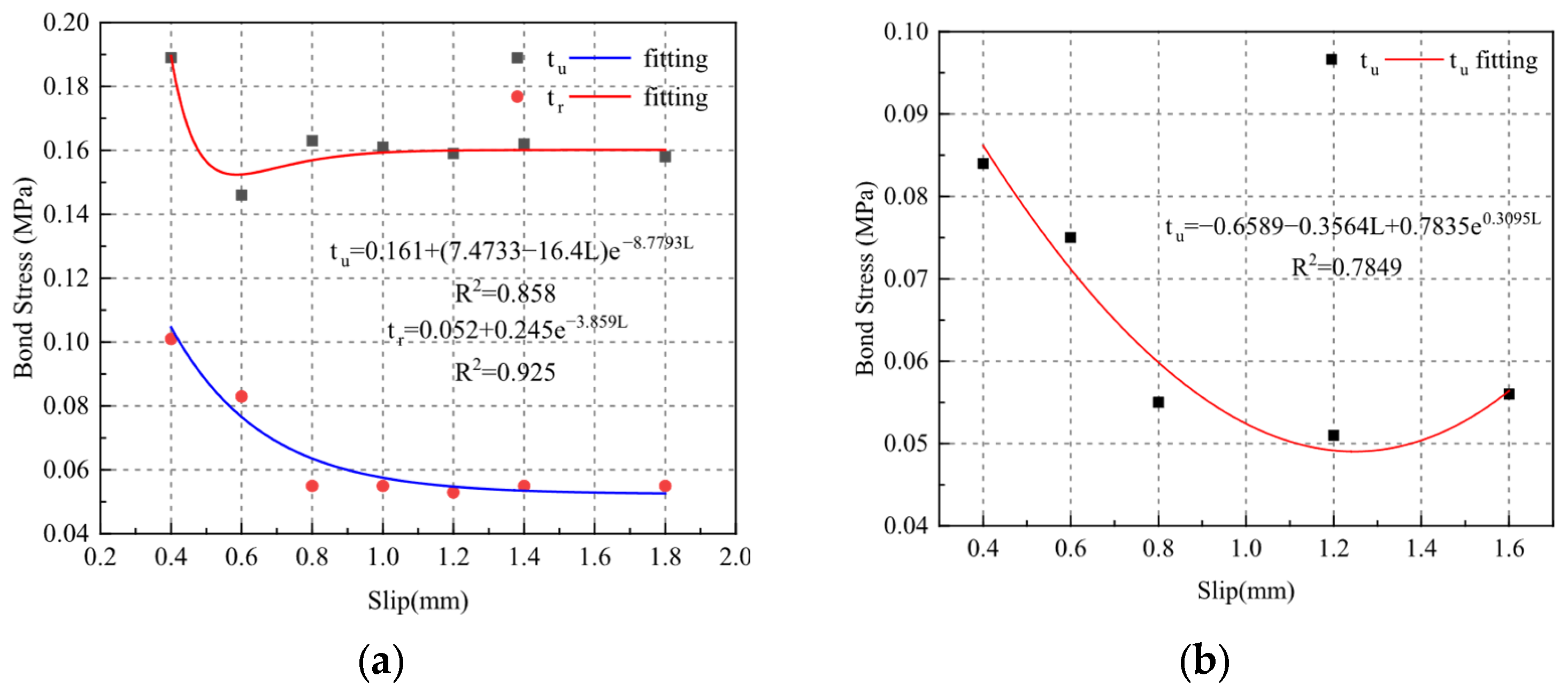
5. Calculation Formula and Validation of Characteristic Bond Strength
6. Conclusions
Author Contributions
Funding
Data Availability Statement
Acknowledgments
Conflicts of Interest
References
- Xu, Y.; Xiong, G.; Wu, J.; Liu, J.; Jing, L. Experimental investigation of lateral resistance of CFS walls with rigid diagonal bracings. J. Constr. Steel Res. 2022, 198, 107333. [Google Scholar] [CrossRef]
- Pakizeh, M.R.; Parastesh, H.; Hajirasouliha, I.; Farahbod, F. Seismic performance of CFS shear wall systems filled with polystyrene lightweight concrete: Experimental investigation and design methodology. Steel Compos. Struct. Int. J. 2023, 46, 497–512. [Google Scholar]
- Wei, J.; Wang, T.; Zhong, Y.; Jin, Y.; Du, H. Performance Evaluation of Foamed Concrete with Lightweight Aggregate: Strength, Shrinkage, and Thermal Conductivity. J. Mater. 2024, 17, 3869. [Google Scholar] [CrossRef] [PubMed]
- Wu, R.; Hu, Z.; Tong, J. Evaluation of hysteretic performance of horizontally placed corrugated steel plate shear walls with vertical stiffeners. Buildings 2024, 14, 779. [Google Scholar] [CrossRef]
- Zirakian, T. Methodical investigations on seismic retrofitting of steel plate shear wall systems. Buildings 2024, 14, 258. [Google Scholar] [CrossRef]
- Li, Y.; Wei, J.; Han, A.; Xu, Y.; Qiao, M.; He, D. Influence of geopolymer foam concrete on the mechanical performance of cold formed steel built-up columns. J. Case Stud. Constr. Mater. 2025, 22, e04479. [Google Scholar] [CrossRef]
- Li, J.; Chen, Z.; Chen, W.; Xu, Z. Seismic performance of pre-cast self-insulation shear walls made by a new type of foam concrete with high strength and low thermal conductivity. Structures 2020, 24, 124–136. [Google Scholar] [CrossRef]
- Xu, Z.; Chen, Z.; Osman, B.H.; Yang, S. Seismic performance of high-strength lightweight foamed concrete-filled cold-formed steel shear walls. J. Constr. Steel Res. 2018, 143, 148–161. [Google Scholar] [CrossRef]
- Liu, B.; Bai, G.-L.; Wang, Z.-Z. The bond stress-slip full curve equation between the RAC and H-shaped: Experimental, theoretical and numerical simulation investigation. Constr. Build. Mater. 2021, 311, 125311. [Google Scholar] [CrossRef]
- Ming, M.; Zheng, S.; Zhang, Y.; Zheng, Y.; Yang, S.; Song, M. Experimental study on the bond-slip behavior and stress transfer mechanism between shaped steel and high-performance fiber-reinforced concrete. Structures 2021, 34, 5013–5028. [Google Scholar] [CrossRef]
- Huang, Z.; Huang, X.; Li, W.; Chen, C.; Li, Y.; Lin, Z.; Liao, W.-I. Bond-slip behavior of H-shaped steel embedded in UHPFRC. Steel Compos. Struct. 2021, 38, 563–582. [Google Scholar]
- Wei, J.; Yang, Q.; Yu, Y.; Wang, Q.; Zhou, L.; Chen, F. Study of bond–slip behavior and constitutive model of a new M-section steel-skeleton concrete. Materials 2022, 15, 6776. [Google Scholar] [CrossRef] [PubMed]
- Wang, C.; Zhou, Y.; Cao, F.; Su, T.; Wang, F. Bond behavior between section steel and concrete in partially encased composite structural members. J. Constr. Build. Mater. 2023, 400, 132521. [Google Scholar] [CrossRef]
- Chen, H.; Wang, Y.; Xu, Z.; Shi, F.; Lv, H.; Zhang, Y.; Sun, Y. Bond-Slip Behavior Between C-Shaped Steel and Foamed Concrete in CTS Composite Structural Members. Buildings 2024, 14, 3751. [Google Scholar] [CrossRef]
- Xu, T.; Wang, Y.; Liang, C. The interfacial bond-slip behavior of I-section steel and reactive powder concrete at high temperatures. J. Constr. Build. Mater. 2022, 314, 125656. [Google Scholar] [CrossRef]
- Sun, H.; Chen, J.; Hu, X.; Hu, P. Bond-Slip Behavior Between Steel Section and Geopolymer Concrete. Bull. Chin. Ceram. Soc. 2022, 41, 3475–3484. [Google Scholar] [CrossRef]
- Chen, L.; Wang, S.; Yin, C.; Li, S. Experimental study on constitutive relationship between checkered steel and concrete. J. Constr. Build. Mater. 2019, 210, 483–498. [Google Scholar] [CrossRef]
- JGJ/T 341-2014; Technical Specification for Application of Vacuum Insulation Panels in Buildings. Ministry of Housing and Urban-Rural Development of the People’s Republic of China (MOHURD): Beijing, China, 2014.
- GB/T 228.1-2021; Metallic Materials—Tensile Testing—Part 1: Method of Test at Room Temperature. State Administration for Market Regulation (SAMR)/Standardization Administration of China (SAC): Beijing, China, 2021.
- GB/T 17657-2022; Test Methods of Evaluating the Properties of Wood-Based Panels and Surface Finished Wood-Based Panels. State Administration for Market Regulation (SAMR)/Standardization Administration of China (SAC): Beijing, China, 2022.
- JGJ/T 101-2015; Specification for Seismic Test of Buildings. Ministry of Housing and Urban-Rural Development of the People’s Republic of China (MOHURD): Beijing, China, 2015.
- GB 50011-2010; Code for Seismic Design of Buildings. Ministry of Housing and Urban-Rural Development of the People’s Republic of China (MOHURD): Beijing, China, 2010.
- Yin, Z.Q. Development of High-Strength Foamed Concrete and Study on Bond-Slip Behavior Between Light Steel and Foamed Concrete. Master’s Thesis, Southeast University, Nanjing, China, 2018. [Google Scholar]






















| Specimen | Specimen Cross-Sectional Dimensions (mm) | Foamed Concrete Strength | Anchorage Length of Steel L (mm) | Loading Method |
|---|---|---|---|---|
| A-01 | 120 × 400 | FC-08 | 400 | Monotonic loading |
| A-02 | 500 | |||
| A-03 | 600 | |||
| B-01 | 400 | reloading cyclically | ||
| B-02 | 500 | |||
| B-03 | 600 |
| Density Grades | Portland Cement | Water | Concrete Fibers | Fly Ash | Foam | Water-Reducing Agent |
|---|---|---|---|---|---|---|
| FC-08 | 664 | 350 | 23 | 130 | 163 | 6.4 |
| Density Grades | Average Density (kg/m3) | Prismatic Compressive Strength (MPa) | Cube Compressive Strength (MPa) | Elastic Modulus (GPa) |
|---|---|---|---|---|
| FC-08 | 756 | 6.51 | 7.39 | 0.78 |
| Steel Type | Thickness (mm) | Yield Strength (MPa) | Tensile Strength (MPa) | Elastic Modulus (GPa) | Poisson’s Ratio |
|---|---|---|---|---|---|
| Q345 | 3.0 | 293 | 401 | 204.72 | 0.3 |
| fbo/fco | K | v | ||
|---|---|---|---|---|
| 30° | 0.1 | 1.16 | 0.6667 | 0.005 |
| Anchorage Length (mm) | Monotonic Loading Specimens | Cyclic Loading of Specimens | |||||||
|---|---|---|---|---|---|---|---|---|---|
| (MPa) | (MPa) | (MPa) | |||||||
| Test Value | Calculated Value | Test/Calculation | Test Value | Calculated Value | Test/Calculation | Test Value | Calculated Value | Test/Calculation | |
| 500 | 0.160 | 0.157 | 1.017 | 0.092 | 0.088 | 1.045 | 0.08 | 0.078 | 1.026 |
| 1600 | 0.157 | 0.161 | 0.975 | 0.055 | 0.053 | 1.038 | - | - | - |
| 400 [23] | 0.124 | 0.190 | 0.653 | 0.094 | 0.104 | 0.904 | 0.095 | 0.086 | 1.10 |
| 600 [23] | 0.112 | 0.153 | 0.732 | 0.057 | 0.076 | 0.750 | 0.122 | 0.076 | 1.61 |
| 800 [23] | 0.107 | 0.158 | 0.677 | 0.063 | 0.063 | 1.00 | 0.086 | 0.063 | 1.37 |
Disclaimer/Publisher’s Note: The statements, opinions and data contained in all publications are solely those of the individual author(s) and contributor(s) and not of MDPI and/or the editor(s). MDPI and/or the editor(s) disclaim responsibility for any injury to people or property resulting from any ideas, methods, instructions or products referred to in the content. |
© 2026 by the authors. Licensee MDPI, Basel, Switzerland. This article is an open access article distributed under the terms and conditions of the Creative Commons Attribution (CC BY) license.
Share and Cite
Chen, H.; Zhang, Y.; Xu, Z.; Zhang, H.; Sun, Y.; Wang, Y. Effect of Anchorage Length on Bond–Slip Behavior of Cold-Formed Checkered Steel and Foamed Concrete. Buildings 2026, 16, 1221. https://doi.org/10.3390/buildings16061221
Chen H, Zhang Y, Xu Z, Zhang H, Sun Y, Wang Y. Effect of Anchorage Length on Bond–Slip Behavior of Cold-Formed Checkered Steel and Foamed Concrete. Buildings. 2026; 16(6):1221. https://doi.org/10.3390/buildings16061221
Chicago/Turabian StyleChen, Haitao, Yaoyong Zhang, Zhifeng Xu, Huichao Zhang, Yanze Sun, and Yishun Wang. 2026. "Effect of Anchorage Length on Bond–Slip Behavior of Cold-Formed Checkered Steel and Foamed Concrete" Buildings 16, no. 6: 1221. https://doi.org/10.3390/buildings16061221
APA StyleChen, H., Zhang, Y., Xu, Z., Zhang, H., Sun, Y., & Wang, Y. (2026). Effect of Anchorage Length on Bond–Slip Behavior of Cold-Formed Checkered Steel and Foamed Concrete. Buildings, 16(6), 1221. https://doi.org/10.3390/buildings16061221

