Due to scheduled maintenance work on our servers, there may be short service disruptions on this website between 11:00 and 12:00 CEST on March 28th.
Sign in to use this feature.

Years

Between: -

Subjects

remove_circle_outline
remove_circle_outline
remove_circle_outline
remove_circle_outline
remove_circle_outline
remove_circle_outline
remove_circle_outline
remove_circle_outline
remove_circle_outline

Journals

remove_circle_outline
remove_circle_outline
remove_circle_outline
remove_circle_outline
remove_circle_outline
remove_circle_outline
remove_circle_outline
remove_circle_outline
remove_circle_outline
remove_circle_outline

Article Types

Countries / Regions

remove_circle_outline
remove_circle_outline
remove_circle_outline
remove_circle_outline
remove_circle_outline

Search Results (383)

Search Parameters:
Keywords = cyclic behaviour

Order results
Result details
Results per page
Select all
Export citation of selected articles as:
18 pages, 3768 KB  
Review
The Effect of Clay Plasticity on Thermally Induced Volume Change of Saturated Clay: A State-of-the-Art Review
by Dinitha Vidurapriya and Hossam Abuel-Naga
Minerals 2026, 16(3), 303; https://doi.org/10.3390/min16030303 - 13 Mar 2026
Viewed by 251
Abstract
This review comprehensively examines the influence of clay plasticity on thermally induced volume changes in saturated clays, which is a critical factor in the design and performance of energy geostructures, nuclear waste repositories, and thermal ground improvement systems. This study synthesises experimental and [...] Read more.
This review comprehensively examines the influence of clay plasticity on thermally induced volume changes in saturated clays, which is a critical factor in the design and performance of energy geostructures, nuclear waste repositories, and thermal ground improvement systems. This study synthesises experimental and theoretical findings, demonstrating that the plasticity index and mineralogical composition significantly govern the magnitude and nature of volume change during heating and cooling cycles, with stress history playing a pivotal role. Unlike previous review papers that primarily discuss general thermo-mechanical behaviour or constitutive modelling frameworks, this review explicitly focuses on plasticity as the central unifying parameter influencing thermally induced volume change. It further provides a structured synthesis that integrates plasticity, stress history, and microstructural mechanisms. Normally consolidated clays exhibit irreversible thermal contraction, which intensifies with plasticity, whereas highly overconsolidated clays typically exhibit reversible expansion. Lightly overconsolidated clays exhibit transitional behaviour characterised by initial expansion followed by collapse. This review links these macroscopic responses to microstructural mechanisms, including interparticle physicochemical forces, diffuse double-layer dynamics, and bound water behaviour, highlighting the limitations of idealised electrochemical models and emphasising the importance of micromechanical processes. It further explores how plasticity modulates temperature-dependent reductions in preconsolidation pressure, thermal softening, cyclic thermal deformation, and time-dependent thermal creep, with higher plasticity clays showing greater sensitivity and longer stabilisation periods. The findings underscore the necessity of incorporating plasticity and stress history into constitutive models to accurately predict the thermo-mechanical behaviour of clays under service conditions, with significant implications for the long-term reliability of thermal geotechnical applications. Full article
(This article belongs to the Section Clays and Engineered Mineral Materials)
Show Figures

Figure 1

21 pages, 1823 KB  
Article
Bi-Dentate Pyridyl Alkoxide Complexes of Aluminium and Vanadium: Synthesis, Structure and ROP Capability
by Shunsuke Sato, Ignas Motuzis, Mark R. J. Elsegood, Kotohiro Nomura and Carl Redshaw
Catalysts 2026, 16(3), 259; https://doi.org/10.3390/catal16030259 - 13 Mar 2026
Viewed by 340
Abstract
The reaction of the pyridylalcohol Ph2C(OH)CH2-2-py-6-Me (IH) with Me3Al in refluxing toluene led to the isolation of the dimer [AlMe2(μ-OC(Me)Ph2)]2 (1), whilst at ambient temperature the complex [( [...] Read more.
The reaction of the pyridylalcohol Ph2C(OH)CH2-2-py-6-Me (IH) with Me3Al in refluxing toluene led to the isolation of the dimer [AlMe2(μ-OC(Me)Ph2)]2 (1), whilst at ambient temperature the complex [(I)AlMe2]·MeCN (2·MeCN) was isolated. Complex 1 is also readily available via the interaction of diphenylethanol and Me3Al. Similar treatment of iPr2C(OH)CH2-2-py-6-Me (IIH) at ambient temperature afforded [(II)AlMe2] (3). Treatment of IH and IIH with [VO(OiPr)3] led to oxo-bridged complexes of the type [(VO)(μ2-O)(I/II)]2 (I (4·0.67MeCN), II (5)). The molecular structures of 15 are reported. These complexes have been employed as catalysts for the ring-opening polymerization (ROP) of the cyclic esters ε-caprolactone (ε-CL) and δ-valerolactone (δ-VL). For aluminium, complex 1/BnOH produced medium- to high-molecular-weight (Mn) PCL at 20 to 110 °C in solution, though some bi-/multi-modal behaviour was observed; for melts the Mn values were toward the lower end. For complexes 2 and 3, far lower Mn values for PCL were observed at 20 °C in solution and as melts, whilst in solution at 110 °C higher Mn values were achieved, though with less control. In general, Mn values for the PCL obtained using the vanadium complexes were low (≤8560 Da for 4, ≤2920 Da for 5). In the case of PVL, 1/BnOH in solution exhibited higher Mn values at lower temperatures with good control, and when employed as a melt, the Mn was toward the higher end (30,830 Da) observed. For 2/BnOH, much lower Mn values (≤2740 Da) were recorded both in solution and as a melt, whilst for 3, high Mn values were only observed in the absence of BnOH. Low Mn values (≤2920 Da) were also observed for the vanadium complexes 4 and 5. Kinetic results (both ε-CL and δ-VL) revealed that the vanadium complexes, particularly 4, outperformed the aluminium complexes. MALDI-ToF spectra revealed the formation of linear PCL polymers with BnO/H end groups for the aluminium/BnOH complexes in solution, and cyclic polymers when employed as melts. For vanadium, cyclic PCL polymers were the major family present. In the case of PVL, linear (BnO/H end groups) and cyclic polymers were observed when employing the Al/BnOH systems, whilst cyclic polymers were observed for vanadium. Copolymerization of ε-CL and δ-VL using 4/BnOH at 110 °C over 24 h led to incomplete conversion and formation of a random-type copolymer. Full article
(This article belongs to the Special Issue Synthetic Coordination and Organometallic Chemistry)
Show Figures

Graphical abstract

18 pages, 2261 KB  
Article
Cyclic Acidic Beverage Exposure Induces Formulation-Dependent Mechanical Softening and Tribological Alterations in Microhybrid and Nanohybrid Dental Resin Composites
by Żaneta Anna Mierzejewska, Patrycja Wołosiewicz, Kamila Łukaszuk, Bartłomiej Rusztyn, Jan Borys and Bożena Antonowicz
J. Funct. Biomater. 2026, 17(3), 139; https://doi.org/10.3390/jfb17030139 - 11 Mar 2026
Viewed by 249
Abstract
Dental resin composites are routinely exposed to chemically aggressive beverages that may compromise long-term functional performance. This study investigated the structure–property–tribology relationships of four restorative composites (Filtek Z250, Filtek Z550, Herculite, and Herculite Ultra) subjected to cyclic immersion in beverages with different pH [...] Read more.
Dental resin composites are routinely exposed to chemically aggressive beverages that may compromise long-term functional performance. This study investigated the structure–property–tribology relationships of four restorative composites (Filtek Z250, Filtek Z550, Herculite, and Herculite Ultra) subjected to cyclic immersion in beverages with different pH values. A total of 120 cylindrical specimens (7 mm diameter, 2 mm thickness; n = 5 per material per condition) were fabricated and exposed to mineral water, tea, coffee, Coca-Cola®, Cola Light®, and red wine for 28 days under cyclic conditions. Microhardness, surface roughness (Ra), steady-state coefficient of friction (COF), and mass variation were evaluated. All composites exhibited significant microhardness reduction after acidic exposure (p < 0.05), with the greatest decrease observed for Herculite Ultra in red wine (−47.4%) and Coca-Cola® (−35.3%). Filtek Z250 demonstrated the highest baseline hardness and the lowest degradation susceptibility. Surface roughness changes were formulation-dependent, with Herculite Ultra showing pronounced roughening (ΔRa up to +0.074 µm), whereas Filtek Z550 exhibited erosion-driven smoothing (ΔRa down to −0.068 µm). Tribological behaviour was primarily governed by matrix softening rather than roughness alterations, with softened systems displaying unstable frictional responses (COF range: 0.127–0.697; p < 0.05). The results indicate that polymer matrix stability plays a more critical role in long-term functional performance than surface roughness or mass variation alone. Clinically, frequent exposure to acidic and solvent-containing beverages may accelerate mechanical and tribological degradation of susceptible composite formulations. Full article
(This article belongs to the Special Issue Biomaterials in Dentistry: Current Status and Advances)
Show Figures

Figure 1

28 pages, 7684 KB  
Article
Cyclic Response Characteristics of SCC Extended End-Plate Reduced Web Section (RWS) Connections
by Fahad Falah Almutairi and Konstantinos Daniel Tsavdaridis
Buildings 2026, 16(5), 1005; https://doi.org/10.3390/buildings16051005 - 4 Mar 2026
Viewed by 220
Abstract
This study investigates the cyclic behaviour of demountable steel–concrete composite extended end-plate reduced web section (RWS) connections for the first time, aiming to facilitate post-seismic beam replacement. A validated high-fidelity finite element (FE) model was developed to analyse 285 FE models, evaluating response [...] Read more.
This study investigates the cyclic behaviour of demountable steel–concrete composite extended end-plate reduced web section (RWS) connections for the first time, aiming to facilitate post-seismic beam replacement. A validated high-fidelity finite element (FE) model was developed to analyse 285 FE models, evaluating response characteristics based on the Ibarra–Medina–Krawinkler model. Key parameters, including the influence of composite action over the web opening, web opening diameter, and end-distance, were considered. Findings indicate that RWS connections with medium to large web openings experience cyclic strength degradation while remaining compliant with American and European seismic standards. Additionally, bolted shear studs yielded a more stable and predictable contribution to the connection’s strength up to 5%, outperforming traditional welded studs in consistency. This research emphasises the importance of aligning web opening size and location with capacity design ratios between connection components for acceptable seismic performance, proposing specific web opening sizes and locations to enhance structural resilience. Full article
Show Figures

Figure 1

24 pages, 4162 KB  
Article
Behavioural Trajectories and Spatial Responses: A Study on Lag Sequential Analysis and Design Framework for Elderly Caregivers in Chinese Dual-Earner Households
by Qi An, Wanli Xing, Yuzhe Wang and Xiuyu Li
Sustainability 2026, 18(5), 2326; https://doi.org/10.3390/su18052326 - 27 Feb 2026
Viewed by 354
Abstract
The present study examines the behavioural trajectories and spatial utilisation of elderly caregivers within intergenerational families, set against the backdrop of China’s accelerating ageing population and the widespread prevalence of dual-income households. Existing studies predominantly rely on static data, which makes it difficult [...] Read more.
The present study examines the behavioural trajectories and spatial utilisation of elderly caregivers within intergenerational families, set against the backdrop of China’s accelerating ageing population and the widespread prevalence of dual-income households. Existing studies predominantly rely on static data, which makes it difficult to capture the dynamic relationship between behaviour and space. The present study employs lagged sequence analysis in combination with non-participatory observation and video recording techniques to conduct a 14-day behavioural tracking and sequence analysis of two typical dual-income families in Beijing (totaling 2137 behavioural events), thereby establishing a research framework of “behavioural observation, sequence analysis, and design translation.” The identification of three typical behavioural sequence patterns was achieved through the implementation of behavioural coding, spatio-temporal trajectory modelling, and sequence correlation testing. The identified sequence patterns are as follows: a simple “cooking–eating” sequence, a complex “child-centred” sequence, and a cyclical “housework–rest–communication” sequence. These patterns exposed fundamental contradictions with prevailing spatial functions. The study proposes synergistic spatial and furniture design strategies to support elderly caregivers’ behavioural flow, alleviate caregiving burdens, and foster intergenerational integration. This research not only validates the methodological value of lag sequence analysis in behaviour-driven design but also provides theoretical and empirical foundations for sustainable residential environments that promote intergenerational cohesion and reduce caregiving stress. Full article
Show Figures

Figure 1

24 pages, 5802 KB  
Article
A Weibull Distribution-Based Corrosion Rate Model for Intelligent Monitoring of Steel Structures in Marine Splash Zones
by Quanfeng Ouyang, Jiahuan Rao and Chuanrui Guo
Sensors 2026, 26(4), 1401; https://doi.org/10.3390/s26041401 - 23 Feb 2026
Viewed by 368
Abstract
Steel structures in marine splash zones (MSZ) experience severe corrosion owing to high humidity and frequent wet–dry cycles, which poses considerable threats to structural integrity and operational safety. To achieve intelligent, real-time corrosion monitoring, this study presents a corrosion-rate model based on the [...] Read more.
Steel structures in marine splash zones (MSZ) experience severe corrosion owing to high humidity and frequent wet–dry cycles, which poses considerable threats to structural integrity and operational safety. To achieve intelligent, real-time corrosion monitoring, this study presents a corrosion-rate model based on the Weibull distribution, intended to serve as the core algorithm of smart corrosion sensors that continuously provide corrosion depth data via techniques such as electrochemical impedance spectroscopy or fiber optic sensing. The model was validated through systematic laboratory salt-spray cyclic tests that simulated MSZ conditions; corrosion behaviour was analysed by means of mass-loss measurements, electrochemical impedance spectroscopy (EIS), scanning electron microscopy (SEM) and energy-dispersive X-ray spectroscopy (EDS). The results reveal a three-stage corrosion progression and confirm that the Weibull model accurately captures the time-variant corrosion behaviour under different splash intensities. The model thus provides a reliable algorithmic foundation for intelligent corrosion monitoring, enabling real-time assessment of structural safety and prediction of residual life. Full article
(This article belongs to the Special Issue Novel Applications of Smart Sensors in Civil Infrastructure)
Show Figures

Figure 1

28 pages, 5028 KB  
Article
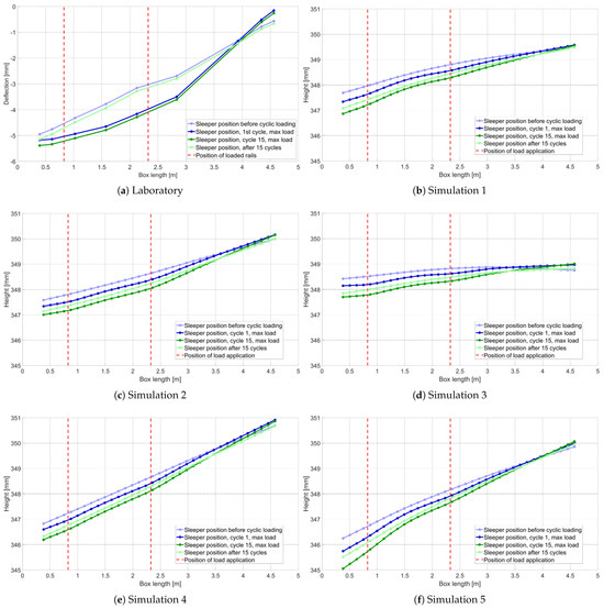
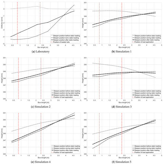
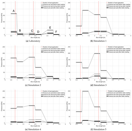
Investigating the Settlement Behaviour of Long Turnout Sleepers Using DEM
by Paul Pircher, Nishant Kumar, Martin Quirchmair, Ferdinand Pospischil and Klaus Six
Appl. Sci. 2026, 16(4), 1715; https://doi.org/10.3390/app16041715 - 9 Feb 2026
Viewed by 403
Abstract
Ballast void formation is a known issue in railway turnouts, yet the underlying mechanisms remain insufficiently understood. This study investigates the mechanical response of a long turnout sleeper lying on a ballast bed under loading using both full-scale laboratory experiments and Discrete Element [...] Read more.
Ballast void formation is a known issue in railway turnouts, yet the underlying mechanisms remain insufficiently understood. This study investigates the mechanical response of a long turnout sleeper lying on a ballast bed under loading using both full-scale laboratory experiments and Discrete Element Method (DEM) simulations to study the correlation between applied load, sleeper deformation, sleeper-ballast interface pressure and residual settlement. The DEM simulations employed a deformable sleeper model using the PFacet approach in the Yade framework and an elasto-plastic contact law accounting for edge breakage (Conical Damage Model) to reproduce ballast-ballast and sleeper-ballast contact behaviour. Results show that the DEM model can replicate key experimental trends, including asymmetric sleeper bending, uplift, and the evolution of ballast pressure distribution in the short term. Under extended cyclic loading, the simulation reproduces the progressive formation of stable bedding conditions and the emergence of ballast voids, aligning with experimental observations. A simplified approach to represent USPs via reduced contact stiffness yielded realistic deformation and pressure behaviour, although residual settlement differed. The results demonstrate that DEM can reproduce and explain sleeper-ballast interaction mechanisms, providing mechanistic insight into how uneven pressure distribution and ballast rearrangement contribute to void formation in turnouts. Full article
Show Figures

Figure 1

16 pages, 3922 KB  
Article
Nanomaterial Enhanced PVDF Mixed Matrix Membranes for Microfluidic Electrochemical Desalination
by Haya Taleb, Gopal Venkatesh, Sofian Kanan, Raed Hashaikeh, Nidal Hilal and Naif Darwish
Membranes 2026, 16(2), 62; https://doi.org/10.3390/membranes16020062 - 2 Feb 2026
Viewed by 783
Abstract
This work provides a systematic experimental study for the electrochemical desalination of saline water using an electrospun permselective polyvinylidene difluoride (PVDF) membrane. Several nano additives were initially screened during membrane development; however, only the materials that demonstrated stable dispersion, reproducible membrane formation, and [...] Read more.
This work provides a systematic experimental study for the electrochemical desalination of saline water using an electrospun permselective polyvinylidene difluoride (PVDF) membrane. Several nano additives were initially screened during membrane development; however, only the materials that demonstrated stable dispersion, reproducible membrane formation, and consistent electrochemical behaviour, namely graphene oxide (GO) and carbon nanotubes (CNTs) were selected for full analysis in this study. Accordingly, the study focuses on pure PVDF, PVDF/GO, and PVDF/CNTs membranes integrated with an alternating Ag/AgCl electrode system. The silver electrode is prepared by spray-coating of silver nanoparticles on high surface carbon cloth, whereas the AgCl electrode was prepared electrochemically from the Ag electrode using a three-electrode electrochemical cell. The electrochemical behaviour of various modified electrodes (bare carbon cloth, Ag/carbon cloth, Ag/nafion/carbon black/PVDF, and Ag/nafion/carbon cloth) was evaluated using cyclic voltammetry (CV), electrochemical impedance spectroscopy (EIS), and X-Ray Diffraction (XRD). The electrode prepared using Nafion and PVDF as binders with carbon black as conductive additive exhibited the highest current response and lowest charge-transfer resistance. When coupled with this optimized electrode, the PVDF/GO membrane delivered the best desalination performance, achieving an ion removal efficiency of 68%, a salt adsorption capacity (SAC) of 775.40 mg/g, and a specific energy consumption (SEC) of 16.17 kJ/mole values superior to those reported in the literature. Full article
Show Figures

Figure 1

18 pages, 4206 KB  
Article
Constitutive Model of Duplex Stainless Steel: Experimental Investigation and Genetic Algorithm-Based Parameter Calibration
by Lin Chen and Keyang Ning
Buildings 2026, 16(3), 579; https://doi.org/10.3390/buildings16030579 - 29 Jan 2026
Viewed by 261
Abstract
Duplex stainless steel (S22053) is increasingly favoured in construction and marine engineering due to its superior corrosion resistance, toughness, and high strength-to-weight ratio. This study presents a comprehensive investigation into the mechanical behaviour of duplex stainless steel under both monotonic and cyclic loading. [...] Read more.
Duplex stainless steel (S22053) is increasingly favoured in construction and marine engineering due to its superior corrosion resistance, toughness, and high strength-to-weight ratio. This study presents a comprehensive investigation into the mechanical behaviour of duplex stainless steel under both monotonic and cyclic loading. First, monotonic behaviour is characterized, and the applicability of existing constitutive models is verified. Addressing the complexity of parameter identification for the cyclic constitutive model, a genetic algorithm (GA)-based calibration framework for the Chaboche model is proposed. This approach overcomes the subjectivity and inefficiency of traditional manual fitting. The proposed method is validated against experimental hysteresis curves, demonstrating high accuracy and providing a reliable basis for the seismic design of duplex stainless steel structures. Full article
(This article belongs to the Special Issue Seismic Performance of Steel and Composite Structures)
Show Figures

Figure 1

24 pages, 5920 KB  
Article
Mechanical, Fatigue, and Thermal Characterization of ASA, Nylon 12, PC, and PC-ABS Manufactured by Fused Filament Fabrication (FFF)
by Ângela Rodrigues, Ricardo Branco, Margarida Franco, Rui Silva, Cândida Malça and Rui F. Martins
Polymers 2026, 18(2), 302; https://doi.org/10.3390/polym18020302 - 22 Jan 2026
Viewed by 490
Abstract
Additive manufacturing has been widely adopted in industry as an alternative to traditional manufacturing processes for complex component production. In fact, a diverse range of materials, particularly polymers, can be processed using 3D printing for biomechanical applications (e.g., prosthetics). However, in-depth evaluation of [...] Read more.
Additive manufacturing has been widely adopted in industry as an alternative to traditional manufacturing processes for complex component production. In fact, a diverse range of materials, particularly polymers, can be processed using 3D printing for biomechanical applications (e.g., prosthetics). However, in-depth evaluation of these materials is necessary to determine their suitability for demanding applications, such as those involving cyclic loading. Following previous work that studied Polylactic Acid (PLA) and Polyethylene Terephthalate Glycol-modified (PETG) under experimental fatigue testing, this study examines the fatigue behaviour of other current 3D-printed polymeric materials, namely Acrylonitrile Styrene Acrylate (ASA), Polycarbonate (PC), Polyamide 12 (Nylon 12), and Polycarbonate–Acrylonitrile Butadiene Styrene (blend) (PC-ABS), for which fatigue data remain limited or even non-existent. The findings revealed performance differences on Tensile Strength (σR), Young’s Modulus and Ultimate Strain among tensile specimens made from these materials and characterised S-N curves for both high-cycle (HCF) and low-cycle (LCF) fatigue regimes at room temperature, with a tensile load ratio (R = 0.05). These results establish relationships among fatigue limit and quasi-static mechanical properties, namely 25% × σr for ASA (8 MPa), 7% × σr for PC (3.6 MPa), 17% × σr for Nylon 12 (7.4 MPa), and 15% × σr for PC-ABS (4.7 MPa), as well as between mechanical properties and preliminary potential biomechanical applications. Main conclusions were further supported by micro-computed tomography (micro-CT), which revealed levels of porosity in between 4% and 11%, thermogravimetric analysis (TGA), differential scanning calorimetry (DSC), and Fourier transform infrared spectroscopy (FTIR). Full article
(This article belongs to the Special Issue Research Progress on Mechanical Behavior of Polymers, 2nd Edition)
Show Figures

Figure 1

36 pages, 7218 KB  
Article
Effectiveness of Passive CFRP and Active Fe-SMA Confinement in Enhancing Drift Capacity and Seismic Performance of RC Columns Under Extreme Drift Levels
by Adel Al Ekkawi and Raafat El-Hacha
Buildings 2026, 16(1), 243; https://doi.org/10.3390/buildings16010243 - 5 Jan 2026
Viewed by 430
Abstract
This study presents an experimental investigation into the seismic performance of seismically deficient reinforced concrete (RC) bridge columns retrofitted with passive and active confinement systems. Four single-cantilever RC columns, representing 1/3-scale bridge piers, were constructed with poor transverse reinforcement detailing to simulate seismic [...] Read more.
This study presents an experimental investigation into the seismic performance of seismically deficient reinforced concrete (RC) bridge columns retrofitted with passive and active confinement systems. Four single-cantilever RC columns, representing 1/3-scale bridge piers, were constructed with poor transverse reinforcement detailing to simulate seismic deficiency. One column was left un-strengthened for baseline comparison, while the remaining three were retrofitted using: (1) a CFRP jacket, (2) welded Fe-SMA plates, and (3) bolted Fe-SMA plates. All columns were subjected to quasi-static lateral cyclic push-only loading reaching extreme drift levels exceeding 16% and high loading rates up to 6 mm/s. The study specifically explores the confinement effectiveness of CFRP and thermally activated Fe-SMA plates, comparing their contributions to lateral strength, ductility, energy dissipation, failure mode, and damage suppression. The results show that while the as-built column failed at 3.65% drift due to brittle flexural-shear failure, all retrofitted columns demonstrated significantly enhanced ductility, drift capacity, and post-peak behaviour. The CFRP and Fe-SMA jackets effectively delayed damage initiation, minimized core degradation, and improved energy dissipation. The bolted Fe-SMA system exhibited the highest and full restoration of lateral strength, while the welded system achieved the greatest increase in cumulative energy dissipation of around 40%. This research highlights the practical advantages and seismic effectiveness of Fe-SMA and CFRP confinement systems under extreme drift levels. However, future work should explore full-scale column applications, refine anchorage techniques for improved composite interaction, and investigate long-term durability under cyclic environmental conditions. Full article
Show Figures

Figure 1

17 pages, 5101 KB  
Article
Bending Behaviour of CHS X-Joints with Curved Chords
by Chen Zhou, Jinshan Sun, Zhen Zhao, Liqiang Jiang, Xiangzhen Li, Lanzhe Rao and Lifeng Zou
Buildings 2026, 16(1), 163; https://doi.org/10.3390/buildings16010163 - 29 Dec 2025
Viewed by 325
Abstract
This paper explores the static and cyclic behaviours exhibited by X-joints fabricated from circular hollow sections (CHS) incorporating curved chords under bending loading. First, a finite element (FE) model of CHS X-joints was established, and the accuracy was validated by the test results. [...] Read more.
This paper explores the static and cyclic behaviours exhibited by X-joints fabricated from circular hollow sections (CHS) incorporating curved chords under bending loading. First, a finite element (FE) model of CHS X-joints was established, and the accuracy was validated by the test results. Then, the influence of the geometric parameters on the ultimate capacity of these joints was deeply conducted through variable parameter expansion analysis, including the chord curvature (R)-to-diameter (D) ratio α, brace diameter (d)-to-chord diameter (D) ratio β, and chord diameter (D)-to-double thickness (2T) ratio γ. In addition, the formulae for the in-plane bending bearing capacity of CHS X-joints with curved chords were examined based on the FE results and typical design guides. Finally, the hysteresis performance of the joints was investigated to modify such formulae. The results show that (1) the bending bearing capacity decreases with increasing α when 3 ≤ α ≤ 12 and changes slightly when α > 12. The bending bearing capacity increases with increasing β and decreases with increasing γ. (2) The bending bearing capacity design formula is modified by FEM results on the basis of the formula derived from Eurocode 3. The API-WSD and LRFD design codes do not consider the effect of γ, and the AIJ seems to be overly conservative. (3) In light of the hysteresis analysis, the smaller the magnitude of γ and the larger that of β, the more favourable the bending load-bearing capacity, ductility coefficient and plastic deformation capability of the joints are found to be. The bending bearing capacity under cyclic loading was close to the value under static loading when α ≥ 9, whereas a reduction coefficient of 0.9 was considered when α < 9. Comparison analyses indicated that the adjusted design formula was suitable for engineering design. Full article
(This article belongs to the Special Issue Large-Span, Tall and Special Steel and Composite Structures)
Show Figures

Figure 1

31 pages, 13626 KB  
Article
Experimental Assessment of the Influence of Drywall Infills on the Seismic Behaviour of RC Frame Buildings
by Jorge I. Garcés, Francisco J. Pallarés, Ricardo Perelló and Luis Pallarés
Buildings 2026, 16(1), 40; https://doi.org/10.3390/buildings16010040 - 22 Dec 2025
Viewed by 529
Abstract
The use of drywall as a non-structural infill has grown significantly due to its rapid and economical installation. Despite this widespread use, a common assumption in structural design is that these elements do not significantly affect seismic performance and are often ignored in [...] Read more.
The use of drywall as a non-structural infill has grown significantly due to its rapid and economical installation. Despite this widespread use, a common assumption in structural design is that these elements do not significantly affect seismic performance and are often ignored in analysis. This assumption, however, is increasingly questioned. This study presents a full-scale experimental evaluation of the influence of drywall infill on the seismic response of reinforced concrete frames under cyclic loading. The results quantify how the inclusion of these non-structural elements alters the dynamic properties and structural response of the frame. The infill increased the initial lateral stiffness by approximately three times with respect to the bare frame, thus modifying the structure’s fundamental period. The infill also altered the failure mechanism, initiating with a transient compression strut action at very low drifts, which rapidly and concurrently transitioned into a dominant membrane behavior. This membrane contribution ceased abruptly at a drift of 0.89%, prior to the life-safety limits specified by Eurocode 8. The study’s findings demonstrate the necessity of incorporating the non-linear stiffness and energy dissipation of drywall into structural models to ensure reliable and accurate predictions in seismic design methodologies. Full article
(This article belongs to the Collection Structural Analysis for Earthquake-Resistant Design of Buildings)
Show Figures

Figure 1

22 pages, 6048 KB  
Article
Impact of CeO2-Doped Bioactive Glass on the Properties of CMC/PEG Hydrogels Intended for Wound Treatment
by Sofia Pacheco, Inês Alexandra Marques, Ana Salomé Pires, Maria Filomena Botelho, Sílvia Soreto Teixeira, Manuel Graça and Sílvia Gavinho
Gels 2025, 11(12), 1010; https://doi.org/10.3390/gels11121010 - 16 Dec 2025
Viewed by 675
Abstract
Diabetes mellitus is a serious public health problem, mainly due to the difficulty in healing chronic wounds, which present an inflammatory response for long periods of time and are more vulnerable to infections. Hydrogels are a promising therapeutic solution due to their biocompatibility, [...] Read more.
Diabetes mellitus is a serious public health problem, mainly due to the difficulty in healing chronic wounds, which present an inflammatory response for long periods of time and are more vulnerable to infections. Hydrogels are a promising therapeutic solution due to their biocompatibility, biodegradability, and ability to allow controlled release of therapeutic agents. The addition of bioactive glasses doped with therapeutic ions to hydrogels can also provide specific biological responses to the system and thus improve tissue regeneration. In this study, a hydrogel based on carboxymethylcellulose and polyethylene glycol with different degrees of crosslinking and enriched with 10% by weight of CeO2-doped Bioglass 45S5 was developed. Structural, morphological, mechanical, and biological characterizations were performed on bioactive glass, hydrogels, and hydrogels enriched with bioactive glass. Structural analyses confirmed the preservation of the typical amorphous structure of Bioglass 45S5, even after the incorporation of 5% molar CeO2, as well as the effectiveness of the polymer matrix crosslinking process. Structural analyses demonstrated the preservation of the typical amorphous structure of Bioglass 45S5, even after the incorporation of 5 mol% CeO2, as well as the effectiveness of the polymer matrix cross-linking process. The hydrogels exhibited distinct behaviours in terms of water absorption and degradation, showing that the sample with the lowest concentration of crosslinkers and bioactive glass allowed for a higher expansion rate and a higher degradation rate. The hydrogel with 10 wt% BG did not compromise cell viability and showed structural integrity after being subjected to cyclic flexible deformations, indicating its safety and suitability for use in tissue engineering. Full article
(This article belongs to the Section Gel Applications)
Show Figures

Figure 1

26 pages, 5203 KB  
Article
Failure Mechanisms and Changes in Load-Bearing Capacity of Sinusoidal Corrugated Girders Under Fatigue and Static Loading
by Krzysztof Śledziewski and Marcin Górecki
Materials 2025, 18(24), 5614; https://doi.org/10.3390/ma18245614 - 14 Dec 2025
Viewed by 380
Abstract
Steel girders with corrugated webs are increasingly used in bridge and building structures subjected to cyclic variable loads, where the geometry of the corrugation plays an important role in fatigue performance. This paper investigates the fatigue behaviour and failure mechanisms of full-scale steel [...] Read more.
Steel girders with corrugated webs are increasingly used in bridge and building structures subjected to cyclic variable loads, where the geometry of the corrugation plays an important role in fatigue performance. This paper investigates the fatigue behaviour and failure mechanisms of full-scale steel girders with sinusoidal corrugated webs subjected to static and cyclic four-point bending. Five simply supported girders were tested: one reference beam under monotonic static loading, two beams under long-term cyclic loading with different load ranges ΔF and numbers of cycles N, and two beams subjected to cyclic loading followed by a static test to failure. The experimental programme focused on the influence of the load range ΔF and the number of cycles N on damage development, stiffness degradation and residual load-bearing capacity, as well as on the interaction between local web instability and global lateral–torsional buckling. The test results show that two main failure mechanisms may occur: (I) local buckling of the corrugated web combined with yielding of the flanges, and (II) a combined mechanism involving local web buckling and lateral–torsional buckling of the girder. For the investigated configurations and within the range of load ranges and numbers of cycles considered, the load range ΔF was found to be the dominant parameter governing fatigue damage, whereas the number of cycles had a secondary influence. The global stiffness of the girders in the elastic range remained almost unchanged until the late stages of loading, and even after pre-fatigue loading, the girders were able to carry a significant portion of their original ultimate load. The results provide experimental data and insight that are relevant for the fatigue assessment and design of steel girders with sinusoidal corrugated webs in bridge and building applications. Full article
(This article belongs to the Section Construction and Building Materials)
Show Figures

Figure 1

Back to TopTop