Failure Mechanisms and Changes in Load-Bearing Capacity of Sinusoidal Corrugated Girders Under Fatigue and Static Loading
Highlights
- Full-scale sinusoidal-web girders tested under static and fatigue loading.
- Two failure modes identified: local web buckling and lateral–torsional buckling.
- Fatigue life mainly governed by load range ΔF within the tested cycle range.
- Global stiffness remains stable until crack initiation, then degrades with damage.
- Nominal-stress design is conservative for the investigated welded flange details.
- Results support safer design of sinusoidal-web girders under repeated loading.
Abstract
1. Introduction
2. Materials and Methods
2.1. Experimental Programme
2.2. Test Elements and Materials (Geometry and Fabrication)
2.3. Instrumentation and Measured Values
2.4. Test Configuration and Loading Procedure
3. Results and Discussion
3.1. Static Load Results
3.1.1. Displacement Versus Load Relationship
3.1.2. Mode and Propagation of Failure
3.1.3. Deformation Distribution
3.2. Monotonic Load Results
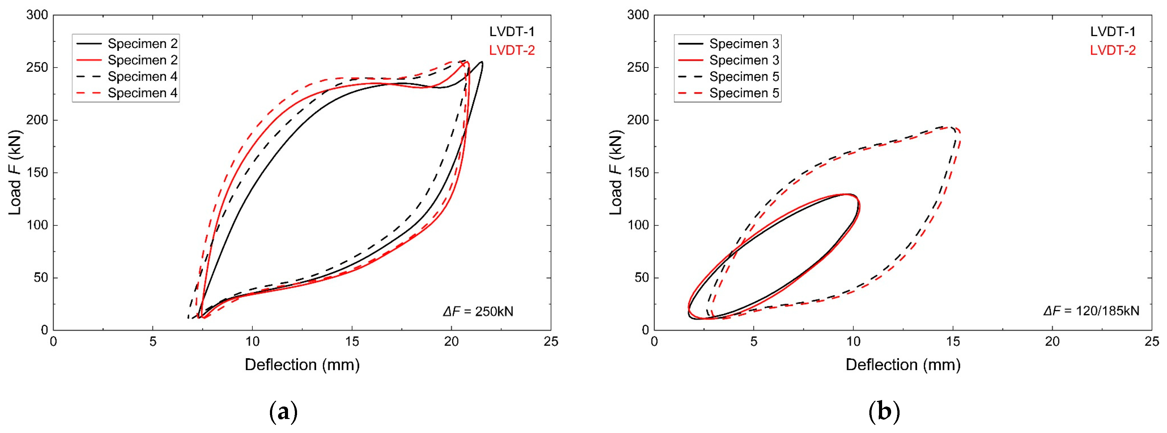
3.2.1. Displacement Versus Load Relationship
3.2.2. Failure Modes and Fatigue Crack Propagation
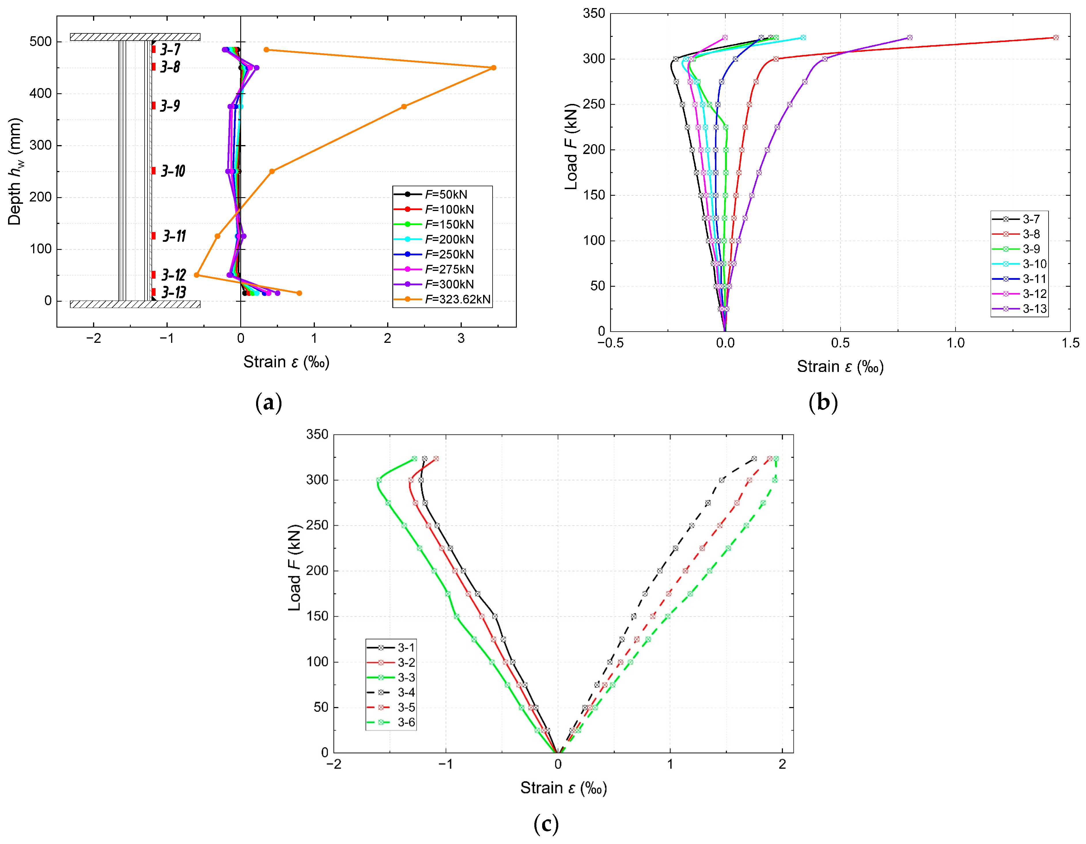
3.2.3. Stress Distribution
3.2.4. Evolution of Stiffness
3.3. Monotonic and Static Load Results
3.3.1. Displacement Versus Load Relationship
3.3.2. Mode and Propagation of Failure
3.3.3. Deformation Distribution
3.4. Discussion and Comparison with Previous Studies
4. Conclusions
- 1.
- Failure mechanisms. Two main failure mechanisms were observed: (I) local buckling of the sinusoidal web combined with yielding of the flanges, and (II) a combined failure involving local web buckling and global lateral–torsional buckling after prior cyclic loading. The second mechanism occurred only in the pre-fatigued specimen with significant residual torsional deformations.
- 2.
- Influence of fatigue loading parameters. For the tested girders and within the investigated ranges of stress ranges and numbers of cycles, the load range ΔF had a more pronounced influence on fatigue damage, stiffness degradation and residual ultimate capacity than the variation in the number of cycles N. Higher load ranges led to a stronger reduction in residual capacity even when the total number of cycles was relatively low. These observations are specific to the present tests and are not intended to replace the general S–N/F–N description used in fatigue design.
- 3.
- Residual stiffness and role of transverse stiffeners. Despite the accumulation of fatigue damage in the web and flanges, the global stiffness in the elastic range remained almost unchanged up to the late stages of loading, and the girders retained a significant portion of their original ultimate load after pre-fatigue. The use of shortened transverse stiffeners under the concentrated loads allowed the buckled web zone to propagate beyond the stiffener location, resulting in slightly conservative ultimate loads compared with an equivalent configuration with full-depth stiffeners.
- 4.
- Torsional effects and implications for design. The corrugated web contributed little to the torsional stiffness of the cross section, so torsional resistance was mainly provided by the flanges and transverse stiffeners. In most tests torsional effects had a limited influence on the bending capacity, but in the pre-fatigued specimen exhibiting lateral–torsional buckling, they interacted with local web buckling and reduced the ultimate load. The results highlight the need to consider lateral–torsional buckling and realistic load ranges in the design and assessment of sinusoidal corrugated-web girders. Further experimental and numerical studies, including a wider range of load ranges and numbers of cycles up to and beyond 2 × 106 cycles, are recommended to characterise long-life fatigue behaviour and to support more refined design rules.
Author Contributions
Funding
Institutional Review Board Statement
Informed Consent Statement
Data Availability Statement
Acknowledgments
Conflicts of Interest
Abbreviations
| afI | Wave amplitude |
| bf | Flange width |
| E | Young’s modulus |
| fu | Tensile strength |
| fy | Yield strength |
| n | Tensile strain hardening exponent |
| C | Strength coefficient |
| h | Girder height |
| hs | Wave height |
| hw | Web height |
| L | Girder length |
| L0 | Calculated girder length |
| q | Wavelength |
| S | Developed wavelength |
| tf | Flange thickness |
| tw | Web thickness |
| ΔF | Load amplitude |
| N | Number of cycles to failure |
| σnom | Nominal stress |
| σhs | Design stress |
| M | Bending moment |
| V | Shear force |
References
- EN 1993-1-5; Eurocode 3: Design of Steel Structures. Part 1-5: Plated Structural Elements. CEN: Brussels, Belgium, 2006.
- Kim, Y.D.; White, D.W. Transverse Stiffener Requirements to Develop Shear-Buckling and Postbuckling Resistance of Steel I-Girders. J. Struct. Eng. 2013, 140, 04013098. [Google Scholar] [CrossRef]
- Prathebha, P.; Jane Helena, H. Corrugated Web Steel Girders-A State of the Art Review. Int. J. Eng. Res. Dev. 2018, 14, 14–19. [Google Scholar]
- Elgaaly, M.; Seshadri, A.; Rodriquez, R.; Ibrahim, S. Bridge Girders with Corrugated Webs. Transp. Res. Rec. J. Transp. Res. Board 2000, 1696, 162–170. [Google Scholar] [CrossRef]
- Ibrahim, S.A.; El-Dakhakhni, W.W.; Elgaaly, M. Behavior of Bridge Girders with Corrugated Webs under Monotonic and Cyclic Loading. Eng. Struct. 2006, 28, 1941–1955. [Google Scholar] [CrossRef]
- Hassanein, M.F.; Kharoob, O.F. Behavior of Bridge Girders with Corrugated Webs: (I) Real Boundary Condition at the Juncture of the Web and Flanges. Eng. Struct. 2013, 57, 554–564. [Google Scholar] [CrossRef]
- Hassanein, M.F.; Kharoob, O.F. Behavior of Bridge Girders with Corrugated Webs: (II) Shear Strength and Design. Eng. Struct. 2013, 57, 544–553. [Google Scholar] [CrossRef]
- Yanlin, G.; Feng, L.; Tao, L.; Ziqin, J.; Hang, C. Design Principle and Application of Components with Sinusoidal Corrugated Web. Constr. Technol. 2012, 41, 20–25. [Google Scholar]
- Harrison, J.D. Exploratory Fatigue Test of Two Girders with Corrugated Webs. Br. Weld. J. 1965, 12, 121–125. [Google Scholar]
- Korashy, M.; Varga, J. Comparative Investigation of Fatigue Strength of Beams with Web Plate Stiffened in the Traditional Way and by Corrugation. Acta Tech. 1979, 89, 309–346. [Google Scholar]
- Pasternak, H.; Branka, P. Zum Tragverhalten von Wellstegträgern. Bauingenieur 1998, 73, 437–444. [Google Scholar]
- Dilger, K.; Pasternak, H.; Vogt, M.; Urner, M.; Bachmann, V.; Kubieniec, G. Insatz Der Schweißsimulation Zur Systematischen Entwicklung Verbesserter Modelle Für Die Berechnung Der Tragfähigkeit Komplexer Stahlleichtbaustrukturen; P 785/08/2008/IGF-Nr.287 ZBG; Verlag und Vertriebsgesellschaft mbH: Düsseldorf, Germany, 2013. [Google Scholar]
- Sause, R.; Abbas, H.H.; Driver, R.G.; Anami, K.; Fisher, J.W. Fatigue Life of Girders with Trapezoidal Corrugated Webs. J. Struct. Eng. 2006, 132, 1070–1078. [Google Scholar] [CrossRef]
- Ibrahim, S.A.; El-Dakhakhni, W.W.; Elgaaly, M. Fatigue of Corrugated-Web Plate Girders: Experimental Study. J. Struct. Eng. 2006, 132, 1371–1380. [Google Scholar] [CrossRef]
- Anami, K.; Sause, R.; Abbas, H.H. Fatigue of Web-Flange Weld of Corrugated Web Girders: 1. Influence of Web Corrugation Geometry and Flange Geometry on Web-Flange Weld Toe Stresses. Int. J. Fatigue 2005, 27, 373–381. [Google Scholar] [CrossRef]
- Anami, K.; Sause, R. Fatigue of Web-Flange Weld of Corrugated Web Girders: 2. Analytical Evaluation of Fatigue Strength of Corrugated Web-Flange Weld. Int. J. Fatigue 2005, 27, 383–393. [Google Scholar] [CrossRef]
- Kövesdi, B.; Dunai, L. Fatigue Life of Girders with Trapezoidally Corrugated Webs: An Experimental Study. Int. J. Fatigue 2014, 64, 22–32. [Google Scholar] [CrossRef]
- Wei, G.; Ye, F.; Li, S.; Chen, S. Analysis of the Fatigue Crack Evolution of Corrugated Web Girders. Metals 2019, 9, 869. [Google Scholar] [CrossRef]
- Xu, J.; Sun, H.; Cai, S.; Sun, W.; Zhang, B. Fatigue Testing and Analysis of I-Girders with Trapezoidal Corrugated Webs. Eng. Struct. 2019, 196, 109344. [Google Scholar] [CrossRef]
- Zhao, Y.; Liu, H.; Cai, S.; Sun, H. Mixed-Mode Fatigue Crack Growth Analysis of I-Shaped Steel Girders with Trapezoidal Corrugated-Webs. J. Constr. Steel. Res. 2022, 190, 107153. [Google Scholar] [CrossRef]
- Zhang, H.; Li, L.; Ma, W.; Luo, Y.; Li, Z.; Kuai, H. Effects of Welding Residual Stresses on Fatigue Reliability Assessment of a PC Beam Bridge with Corrugated Steel Webs under Dynamic Vehicle Loading. Structures 2022, 45, 1561–1572. [Google Scholar] [CrossRef]
- Liu, X.; Xiong, Z.; Liu, Y.; Li, J.; Liang, C. Optimization and Fatigue Assessment of Girders with Large-Dimension Corrugated Steel Webs. Structures 2024, 64, 106619. [Google Scholar] [CrossRef]
- Tong, L.; Zhao, Z.; Zuo, G.; Wang, H.; Pan, C. Experimental Study on Fatigue Behavior of Trapezoidal Corrugated-Web Girders Based on T-Section Members. Eng. Struct. 2024, 298, 117078. [Google Scholar] [CrossRef]
- Zuo, G.; Tong, L.; Zhao, Z.; Wang, H.; Shi, W.; Yan, Y. Experimental Study on Fatigue Strength of Trapezoidal Corrugated-Web Steel Girders Based on Hot Spot Stress Method. Thin-Walled Struct. 2025, 208, 112814. [Google Scholar] [CrossRef]
- Hlal, F.; Al-Emrani, M. Detail Categories for the Flange-to-Web Weld Detail in Corrugated Web Girders. Eng. Struct. 2025, 324, 119342. [Google Scholar] [CrossRef]
- EN 1993-1-9; Eurocode 3: Design of Steel Structures. Part 1-9: Fatigue. CEN: Brussels, Belgium, 2005.
- Laterza, M.; D’amato, M.; Casamassima, V.M. Stress-Life Curves Method for Fatigue Assessment of Ancient Brick Arch Bridges. Int. J. Archit. Herit 2017, 11, 843–858. [Google Scholar] [CrossRef]
- Roberts, T.M.; Hughes, T.G.; Dandamudi, V.R.; Bell, B. Quasi-Static and High Cycle Fatigue Strength of Brick Masonry. Constr. Build. Mater. 2006, 20, 603–614. [Google Scholar] [CrossRef]
- Abbas, H.H.; Sause, R.; Driver, R.G. Shear Strength and Stability of High Performance Steel Corrugated Web Girders. In Proceedings of Structural Stability Research Council Annual Technical Session; SSRC: Rolla, MO, USA, 2002; pp. 361–387. [Google Scholar]
- Abbas, H.H.; Sause, R.; Driver, R.G. Behavior of Corrugated Web I-Girders under in-Plane Loads. J. Eng. Mech. 2006, 132, 806–814. [Google Scholar] [CrossRef]
- Górecki, M.; Śledziewski, K. Experimental Investigation of Impact Concrete Slab on the Bending Behavior of Composite Bridge Girders with Sinusoidal Steel Web. Materials 2020, 13, 273. [Google Scholar] [CrossRef] [PubMed]
- Górecki, M.; Śledziewski, K. Influence of Corrugated Web Geometry on Mechanical Properties of I-Beam: Laboratory Tests. Materials 2022, 15, 277. [Google Scholar] [CrossRef]
- Zevallos, E.; Hassanein, M.F.; Real, E.; Mirambell, E. Shear Evaluation of Tapered Bridge Girder Panels with Steel Corrugated Webs near the Supports of Continuous Bridges. Eng. Struct. 2016, 113, 149–159. [Google Scholar] [CrossRef]
- He, J.; Liu, Y.; Chen, A.; Yoda, T. Mechanical Behavior and Analysis of Composite Bridges with Corrugated Steel Webs: State-of-the-Art. Int. J. Steel Struct. 2012, 12, 321–338. [Google Scholar] [CrossRef]
- Siokola, W. The Corrugated Web Beam—Production and Application of Girders with Corrugated Web. Stahlbau 1997, 66, 595–605. [Google Scholar]
- Pasternak, H.; Robra, J.; Bachmann, V. Sinusoidal Corrugated Web Beams with Increased Web Thickness-Manufacturing Technology and Load Carrying Capacity. Bauingenieur 2009, 84, 415–419. [Google Scholar]
- EN 1993-1-1; Eurocode 3: Design of Steel Structures—Part 1-1: General Rules and Rules for Buildings. CEN: Brussels, Belgium, 2008.
- Hollomon, J.H. Tensile Deformation. Trans. AIME 1945, 162, 268–290. [Google Scholar]
- ISO 10275; Metallic Materials—Sheet and Strip—Determination of Tensile Strain Hardening Exponent. International Organization for Standardization: Geneva, Switzerland, 2020.
- Zuo, G.; Tong, L.; Zhao, Z.; Wang, H.; Shi, W.; Yan, Y. SCF Formulae of Corrugated-Web Steel Girders: Experiments and Numerical Analysis. J. Constr. Steel Res. 2025, 228, 109445. [Google Scholar] [CrossRef]
- Hobbacher, A.F.; Baumgartner, J. Recommendations for Fatigue Design of Welded Joints and Components; IIW Collection; Springer Nature: Berlin/Heidelberg, Germany, 2016; ISBN 978-3-031-57666-9. [Google Scholar]
- Wang, C.S.; Duan, L.; Wang, S.C.; Hu, J.Y. Fatigue Strength and Fatigue Life Evaluation of National Cultural Relic Steel Bridges. In Proceedings of the 13th International Conference on Fracture 2013, ICF 2013, Beijing, China, 16–21 June 2013; Volume 6, pp. 4881–4887. [Google Scholar]
- Ramberg, W.; Osgood, W.R. Description of Stress-Strain Curves by Three Parameters; Technical Note No. 902; National Advisory Committee For Aeronautics: Washington, DC, USA, 1943. [Google Scholar]
- Al Zamzami, I.; Susmel, L. On the Accuracy of Nominal, Structural, and Local Stress Based Approaches in Designing Aluminium Welded Joints against Fatigue. Int. J. Fatigue 2017, 101, 137–158. [Google Scholar] [CrossRef]
- Hu, T. Comparative Study on the Welded Structure Fatigue Strength Assessment Method. AIP Conf. Proc. 2018, 1955, 30029. [Google Scholar] [CrossRef]
- Zhang, Y.M.; Hassanein, M.F.; Shao, Y.B.; Al-Emrani, M. Small-Scale Laterally-Unrestrained Corrugated Web Girders: (I) LTB Tests and Numerical Validation. Thin-Walled Struct. 2022, 180, 109775. [Google Scholar] [CrossRef]
- Bärnkopf, E.; Jáger, B.; Kövesdi, B. Lateral–Torsional Buckling Resistance of Corrugated Web Girders Based on Deterministic and Stochastic Nonlinear Analysis. Thin-Walled Struct. 2022, 180, 109880. [Google Scholar] [CrossRef]
- Jáger, B.; Dunai, L.; Kövesdi, B. Lateral-Torsional Buckling Strength of Corrugated Web Girders—Experimental Study. Structures 2022, 43, 1275–1290. [Google Scholar] [CrossRef]
- Pimenta, R.J.; Queiroz, G.; Diniz, S.M.C. Reliability-Based Design Recommendations for Sinusoidal-Web Beams Subjected to Lateral-Torsional Buckling. Eng. Struct. 2015, 84, 195–206. [Google Scholar] [CrossRef]
- Hajdú, G.; Pasternak, H.; Papp, F. Lateral-Torsional Buckling Assessment of I-Beams with Sinusoidally Corrugated Web. J. Constr. Steel Res. 2023, 207, 107916. [Google Scholar] [CrossRef]














| Length | Calculated Length | Height | Flange | Corrugated Web | Wavelength | Wave Amplitude | Wave Height | Developed Wavelength |
|---|---|---|---|---|---|---|---|---|
| L | L0 | h | tf × bf | tw × hw | q | af | hs | S |
| 6510 | 6045 | 540 | 20 × 200 | 3 × 500 | 155 | 21.5 | 43 | 178 |
| Location | Thickness | Young’s Modulus | Yield Strength | Tensile Strength |
|---|---|---|---|---|
| [mm] | [GPa] | [MPa] | [MPa] | |
| Corrugated web | 3 | 207 | 370 | 506 |
| Flange | 20 | 209 | 379 | 514 |
| Location | Tensile Strain Hardening Exponent | Strength Coefficient |
|---|---|---|
| [-] | [MPa] | |
| Corrugated web | 0.1589 | 779 |
| Flange | 0.1494 | 757 |
| Specimen | Fmin | Fmax | ΔF |
|---|---|---|---|
| [kN] | [kN] | [kN] | |
| 2 | 10 | 260 | 250 |
| 3 | 10 | 130 | 120 |
| 195 | 185 | ||
| 4 | 10 | 260 | 250 |
| 5 | 10 | 195 | 185 |
| Specimens | Load History | Fg | 0.85Fg | δmax | δ0.85Fg | Fgsamples1/Fgi |
|---|---|---|---|---|---|---|
| [kN] | [kN] | [mm] | [mm] | [%] | ||
| 1 | static only | 323.62 | 275.08 | 91.82 | 6.87 | 100 |
| 4 | 223,200 N (ΔF = 250 kN) + static | 175.03 | 148.78 | 65.47 | 2.54 | 54.09% (−45.91%) |
| 5 | 1,250,000 N (ΔF = 185 kN) + static | 184.40 | 156.74 | 79.76 | 3.37 | 56.98% (−43.02%) |
Disclaimer/Publisher’s Note: The statements, opinions and data contained in all publications are solely those of the individual author(s) and contributor(s) and not of MDPI and/or the editor(s). MDPI and/or the editor(s) disclaim responsibility for any injury to people or property resulting from any ideas, methods, instructions or products referred to in the content. |
© 2025 by the authors. Licensee MDPI, Basel, Switzerland. This article is an open access article distributed under the terms and conditions of the Creative Commons Attribution (CC BY) license (https://creativecommons.org/licenses/by/4.0/).
Share and Cite
Śledziewski, K.; Górecki, M. Failure Mechanisms and Changes in Load-Bearing Capacity of Sinusoidal Corrugated Girders Under Fatigue and Static Loading. Materials 2025, 18, 5614. https://doi.org/10.3390/ma18245614
Śledziewski K, Górecki M. Failure Mechanisms and Changes in Load-Bearing Capacity of Sinusoidal Corrugated Girders Under Fatigue and Static Loading. Materials. 2025; 18(24):5614. https://doi.org/10.3390/ma18245614
Chicago/Turabian StyleŚledziewski, Krzysztof, and Marcin Górecki. 2025. "Failure Mechanisms and Changes in Load-Bearing Capacity of Sinusoidal Corrugated Girders Under Fatigue and Static Loading" Materials 18, no. 24: 5614. https://doi.org/10.3390/ma18245614
APA StyleŚledziewski, K., & Górecki, M. (2025). Failure Mechanisms and Changes in Load-Bearing Capacity of Sinusoidal Corrugated Girders Under Fatigue and Static Loading. Materials, 18(24), 5614. https://doi.org/10.3390/ma18245614

