Sign in to use this feature.

Years

Between: -

Subjects

remove_circle_outline
remove_circle_outline
remove_circle_outline
remove_circle_outline
remove_circle_outline
remove_circle_outline
remove_circle_outline
remove_circle_outline
remove_circle_outline

Journals

Article Types

Countries / Regions

Search Results (153)

Search Parameters:
Keywords = cycle spatiotemporal parameters

Order results
Result details
Results per page
Select all
Export citation of selected articles as:
18 pages, 2076 KB  
Article
Biomechanical Analysis of an Elite Para Standing Cross-Country Skier Using Lower Limb Prostheses: A Case Study
by Cristina De Vito, Cristian Pasluosta, Patrick Ofner, Leonie Hirsch, Natalie Mrachacz-Kersting, Uwe Kersting, Thomas Stieglitz, Walter Rapp and Laura Gastaldi
Sensors 2026, 26(1), 149; https://doi.org/10.3390/s26010149 - 25 Dec 2025
Abstract
Para cross-country (XC) skiing has become a prominent sport since its debut at the Örnsköldsvik Winter Olympic Games in 1976. Nevertheless, the lack of studies focusing on standing para XC skiing highlights the need to provide a comprehensive description of this sport, investigating [...] Read more.
Para cross-country (XC) skiing has become a prominent sport since its debut at the Örnsköldsvik Winter Olympic Games in 1976. Nevertheless, the lack of studies focusing on standing para XC skiing highlights the need to provide a comprehensive description of this sport, investigating how different prosthetic devices may influence the athletic outcome. In this exploratory case study, the biomechanics of an elite standing para-athlete, with a right-sided transfemoral amputation, was investigated. Tests were performed during diagonal XC skiing on a treadmill, at different speeds and inclinations. Specifically, two different prosthetic feet were compared: the athlete used an Ottobock Genium X3 prosthetic knee with either the Ottobock Taleo or the Ottobock Evanto prosthetic foot. Inertial Measurement Units (IMUs) were employed to estimate joint angles and detect pole hits and lifts. Additionally, data were collected using embedded sensors in the knee prosthesis. Diagonal stride spatiotemporal parameters were further calculated. Results revealed that the Evanto foot significantly increased swing phase duration and hip range of motion, while generating higher knee torque, ankle torque, and axial loading compared to the Taleo foot. This research represents the first application of the employed testing methodology to para standing XC skiing, and it therefore provides a framework for future studies on this discipline. Full article
(This article belongs to the Special Issue Wearable Sensors for Biomechanics Applications—2nd Edition)
Show Figures

Figure 1

13 pages, 711 KB  
Article
Exoskeleton-Assisted Gait: Exploring New Rehabilitation Perspectives in Degenerative Spinal Cord Injury
by Martina Regazzetti, Mirko Zitti, Giovanni Lazzaro, Samuel Vianello, Sara Federico, Błażej Cieślik, Agnieszka Guzik, Carlos Luque-Moreno and Pawel Kiper
Technologies 2026, 14(1), 17; https://doi.org/10.3390/technologies14010017 - 25 Dec 2025
Abstract
Background: Recovery following incomplete spinal cord injury (iSCI) remains challenging, with conventional rehabilitation often emphasizing compensation over functional restoration. As most new spinal cord injury cases preserve some motor or sensory pathways, there is increasing interest in therapies that harness neuroplasticity. Robotic exoskeletons [...] Read more.
Background: Recovery following incomplete spinal cord injury (iSCI) remains challenging, with conventional rehabilitation often emphasizing compensation over functional restoration. As most new spinal cord injury cases preserve some motor or sensory pathways, there is increasing interest in therapies that harness neuroplasticity. Robotic exoskeletons provide a promising means to deliver task-specific, repetitive gait training that may promote adaptive neural reorganization. This feasibility study investigates the feasibility, safety, and short-term effects of exoskeleton-assisted walking in individuals with degenerative iSCI. Methods: Two cooperative male patients (patients A and B) with degenerative iSCI (AIS C, neurological level L1) participated in a four-week intervention consisting of one hour of neuromotor physiotherapy followed by one hour of exoskeleton-assisted gait training, three times per week. Functional performance was assessed using the 10-Meter Walk Test, while gait quality was examined through spatiotemporal gait analysis. Vendor-generated surface electromyography (sEMG) plots were available only for qualitative description. Results: Patient A demonstrated a clinically meaningful increase in walking speed (+0.15 m/s). Spatiotemporal parameters showed mixed and non-uniform changes, including longer cycle, stance, and swing times, which reflect a slower stepping pattern rather than improved efficiency or coordination. Patient B showed a stable walking speed (+0.03 m/s) and persistent gait asymmetries. Qualitative sEMG plots are presented descriptively but cannot support interpretations of muscle recruitment patterns or neuromuscular changes. Conclusions: In this exploratory study, exoskeleton-assisted gait training was feasible and well tolerated when combined with conventional physiotherapy. However, observed changes were heterogeneous and do not allow causal or mechanistic interpretation related to neuromuscular control, muscle recruitment, or device-specific effects. These findings highlight substantial inter-individual variability and underscore the need for larger controlled studies to identify predictors of response and optimize rehabilitation protocols. Full article
Show Figures

Figure 1

15 pages, 1587 KB  
Article
Accuracy and Inter-Subject Variability of Gait Event Detection Methods Based on Optical and Inertial Motion Capture
by Vinicius Cavassano Zampier, Morten Bilde Simonsen, Fabio Augusto Barbieri and Anderson Souza Oliveira
Sensors 2025, 25(24), 7652; https://doi.org/10.3390/s25247652 - 17 Dec 2025
Viewed by 304
Abstract
Gait events (instant of heel strikes and instant of toe-offs) are essential for extracting spatiotemporal parameters and segmenting biological signals (electromyography (EMG) and electroencephalography (EEG)) based on gait cycle. While force platforms and optical motion capture (OMC) are ideal for identifying GE, inertial [...] Read more.
Gait events (instant of heel strikes and instant of toe-offs) are essential for extracting spatiotemporal parameters and segmenting biological signals (electromyography (EMG) and electroencephalography (EEG)) based on gait cycle. While force platforms and optical motion capture (OMC) are ideal for identifying GE, inertial measurement units (IMUs) are more applicable. This study compared the accuracy and variability from IMU- and OMC-based gait event detection methods compared with gold-standard ground reaction force (GRF) detection. Seventeen healthy adults (31 ± 8 years) walked along a 10 m walkway instrumented with force plates. Foot kinematics were recorded using two retro-reflective markers on each foot and an IMU on the sacrum. Gait events were identified using two OMC-based (OMC1, OMC2) and two IMU-based (IMU1, IMU2) algorithms. Accuracy was evaluated using root-mean-square error (RMSE) relative to GRF, and within-subject variability was assessed using coefficient of variation (CoV). The results from the instant of heel strikes, OMC1 yielded a lower RMSE (14 ms) than IMU1 (50 ms) and IMU2 (61 ms) (p < 0.001). For the instant of toe-offs, OMC1 demonstrated a lower RMSE (17 ms), differing from IMU1 (54 ms) and IMU2 (74 ms) (p < 0.001). IMU2 exhibited greatest variability (CoV = 24 ms) compared with OMC1 (7 ms) and IMU1 (9 ms) (p < 0.001). Our results highlight lower accuracy and higher variability in gait event detection using sacrum-mounted IMUs. Despite its convenience, researchers should consider the limitations of using IMUs for EMG/EEG data segmentation. Future studies validating gait event detection methods should report some type of variability metric. Full article
Show Figures

Figure 1

26 pages, 11926 KB  
Article
STC-DeepLAINet: A Transformer-GCN Hybrid Deep Learning Network for Large-Scale LAI Inversion by Integrating Spatio-Temporal Correlations
by Huijing Wu, Ting Tian, Qingling Geng and Hongwei Li
Remote Sens. 2025, 17(24), 4047; https://doi.org/10.3390/rs17244047 - 17 Dec 2025
Viewed by 237
Abstract
Leaf area index (LAI) is a pivotal biophysical parameter linking vegetation physiological processes and macro-ecological functions. Accurate large-scale LAI estimation is indispensable for agricultural management, climate change research, and ecosystem modeling. However, existing methods fail to efficiently extract integrated spatial-spectral-temporal features and lack [...] Read more.
Leaf area index (LAI) is a pivotal biophysical parameter linking vegetation physiological processes and macro-ecological functions. Accurate large-scale LAI estimation is indispensable for agricultural management, climate change research, and ecosystem modeling. However, existing methods fail to efficiently extract integrated spatial-spectral-temporal features and lack targeted modeling of spatio-temporal dependencies, compromising the accuracy of LAI products. To address this gap, we propose STC-DeepLAINet, a Transformer-GCN hybrid deep learning architecture integrating spatio-temporal correlations via the following three synergistic modules: (1) a 3D convolutional neural networks (CNNs)-based spectral-spatial embedding module capturing intrinsic correlations between multi-spectral bands and local spatial features; (2) a spatio-temporal correlation-aware module that models temporal dynamics (by “time periods”) and spatial heterogeneity (by “spatial slices”) simultaneously; (3) a spatio-temporal pattern memory attention module that retrieves historically similar spatio-temporal patterns via an attention-based mechanism to improve inversion accuracy. Experimental results demonstrate that STC-DeepLAINet outperforms eight state-of-the-art methods (including traditional machine learning and deep learning networks) in a 500 m resolution LAI inversion task over China. Validated against ground-based measurements, it achieves a coefficient of determination (R2) of 0.827 and a root mean square error (RMSE) of 0.718, outperforming the GLASS LAI product. Furthermore, STC-DeepLAINet effectively captures LAI variability across typical vegetation types (e.g., forests and croplands). This work establishes an operational solution for generating large-scale high-precision LAI products, which can provide reliable data support for agricultural yield estimation and ecosystem carbon cycle simulation, while offering a new methodological reference for spatio-temporal correlation modeling in remote sensing inversion. Full article
Show Figures

Figure 1

25 pages, 7384 KB  
Article
Remote Sensing-Assisted Physical Modelling of Complex Spatio-Temporal Nitrate Leaching Patterns from Silvopastoral Systems
by Kiril Manevski, Magdalena Ullfors, Maarit Mäenpää, Uffe Jørgensen, Ji Chen and Anne Grete Kongsted
Remote Sens. 2025, 17(24), 3965; https://doi.org/10.3390/rs17243965 - 8 Dec 2025
Viewed by 256
Abstract
Affordable optical data from Unmanned Aerial Vehicles (UAVs) coupled with process-based models could constitute an integrative platform to map complex spatio-temporal patterns of nitrate leaching and reduce uncertainties in tightening the nitrogen (N) cycle of silvopastoral systems. This study uses field data from [...] Read more.
Affordable optical data from Unmanned Aerial Vehicles (UAVs) coupled with process-based models could constitute an integrative platform to map complex spatio-temporal patterns of nitrate leaching and reduce uncertainties in tightening the nitrogen (N) cycle of silvopastoral systems. This study uses field data from a commercial farm in Denmark with lactating sows housed in paddocks with pastures flanking a central zone of poplars, either pruned (P) or unpruned (tall, T), each with resources (feed and hut) on the same (S) or opposite side (O) of the tree zone. The poplar leaf area index derived from canopy cover using a computer vision approach on true-colour UAV imagery was fed to a process-based model alongside soil data and geostatistical analyses to derive the soil water balance across the paddocks and explicitly map the variation in soil nitrate leaching. The results showed clear patterns not seen before of nitrate leaching hotspots shifting from high values in the pre-study year without animals to diluted lower values in the main study year involving the pigs. The results also showed a seasonal and spatial variation of 7 to 860 kg N ha−1 year−1, a wide leaching range otherwise difficult to capture, by employing only a process-based model using mean effective parameters. Nitrate leaching was in the order PO > PS > TO > TS. The N cycle was tightened with T regardless of S/O. The approach could be improved with more machine learning-aided process-based modelling to operationally monitor complex silvopastoral systems to alleviate nitrate leaching in outdoor pig systems. Full article
Show Figures

Graphical abstract

38 pages, 5688 KB  
Article
Seasonal and Spatial Microbial Community Dynamics Along the Shallow Southwest Florida Continental Shelf
by Trevor R. Tubbs, Robert Marlin Smith, Adam B. Catasus, Puspa L. Adhikari, James G. Douglass and Hidetoshi Urakawa
Coasts 2025, 5(4), 47; https://doi.org/10.3390/coasts5040047 - 2 Dec 2025
Viewed by 636
Abstract
Microbial communities play a crucial role in coastal ecosystem function, yet their seasonal and spatial dynamics in response to environmental change remain underexplored in tropical and subtropical regions. This yearlong study investigated microbial composition in water, sinking particles, and sediments along an inshore–offshore [...] Read more.
Microbial communities play a crucial role in coastal ecosystem function, yet their seasonal and spatial dynamics in response to environmental change remain underexplored in tropical and subtropical regions. This yearlong study investigated microbial composition in water, sinking particles, and sediments along an inshore–offshore gradient influenced by the Caloosahatchee River Estuary in southwest Florida. The region has been altered by rapid coastal development and was struck by Hurricane Ian in September 2022. Environmental parameters exhibited significant spatiotemporal variation, shaping microbial beta diversity in all habitats. Sediment communities showed the greatest hurricane-induced disruption but returned to pre-disturbance conditions within six months. Dominant microbial classes included Alphaproteobacteria, Bacteroidia, and Gammaproteobacteria. Biogeochemical cycling taxa displayed strong habitat specificity, such as Desulfobulbia which dominated sinking particles, Desulfobacteria which was abundant in sediments, and Nitrosomonadaceae and Nitrosopumilaceae which were key nitrifiers in water and sediments, respectively. Particle–sediment taxonomic overlap suggests resuspension processes. Several inshore microbial indicators were consistently present across microbial habitats, especially at estuarine sites, suggesting the estuary as a microbial diversity reservoir for the coastal zone. These results highlight the value of long-term microbial monitoring to understand ecosystem change and resilience in dynamic coastal environments. Full article
Show Figures

Figure 1

13 pages, 4244 KB  
Proceeding Paper
Soil Moisture Mapping Using Sentinel-1 SAR Data and Cloud-Based Regression Modeling on Google Earth Engine
by Tarun Teja Kondraju, Selvaprakash Ramalingam, Rajan G. Rejith, Amrita Bhandari, Rabi N. Sahoo and Rajeev Ranjan
Environ. Earth Sci. Proc. 2025, 36(1), 9; https://doi.org/10.3390/eesp2025036009 - 27 Nov 2025
Viewed by 546
Abstract
Soil moisture is an essential environmental parameter affecting hydrological cycles, agricultural productivity, and climate systems. Conventional in situ measurements are precise but do not provide the spatiotemporal coverage for large applications. This research provides an extensive framework for estimating and mapping surface soil [...] Read more.
Soil moisture is an essential environmental parameter affecting hydrological cycles, agricultural productivity, and climate systems. Conventional in situ measurements are precise but do not provide the spatiotemporal coverage for large applications. This research provides an extensive framework for estimating and mapping surface soil moisture by integrating Sentinel-1 Synthetic Aperture Radar (SAR) data with machine learning in the Google Earth Engine (GEE) cloud platform. The study area is the agricultural region of Perambalur district in Tamil Nadu State, India. The research took place between September 2018 and January 2019. The dual-polarized (VV and VH) Sentinel-1 C-band images were collected in tandem with ground truth soil moisture data collected through the gravimetric method. A set of SAR indices and engineered features were extracted from the backscattering coefficients (σ°). A random forest (RF) machine learning model was used in this study to estimate soil moisture. The RF model incorporating the complete set of engineered features showed a coefficient of determination (R2) of 0.694 and a root mean square error (RMSE) of 1.823 (Soil moisture %). The complete processing and modeling workflow was encapsulated in the GEE-based software tool (version 1) providing an accessible, user-friendly platform for generating near-real-time maps of soil moisture. This research proves that the combination of Sentinel-1 data with clever machine-learning algorithms in the GEE cloud platform provides a scalable, efficient, and potent tool for operational soil moisture mapping serving applications in precision agriculture and in the management of the water resource. Full article
(This article belongs to the Proceedings of The 2nd International Electronic Conference on Land)
Show Figures

Figure 1

19 pages, 4577 KB  
Article
Accuracy Assessment of Remote Sensing Forest Height Retrieval for Sustainable Forest Management: A Case Study of Shangri-La
by Haoxiang Xu, Xiaoqing Zuo, Yongfa Li, Xu Yang, Yuran Zhang and Yunchuan Li
Sustainability 2025, 17(22), 10067; https://doi.org/10.3390/su172210067 - 11 Nov 2025
Viewed by 416
Abstract
Forest height is a critical parameter for understanding ecosystem functions, assessing carbon stocks, and supporting sustainable forest management. Its accurate measurement is essential for climate change mitigation and understanding the global carbon cycle. While traditional methods like field surveys and airborne LiDAR provide [...] Read more.
Forest height is a critical parameter for understanding ecosystem functions, assessing carbon stocks, and supporting sustainable forest management. Its accurate measurement is essential for climate change mitigation and understanding the global carbon cycle. While traditional methods like field surveys and airborne LiDAR provide accurate measurements, their high costs and limited spatial coverage make them impractical for the large-scale, dynamic monitoring required for effective sustainability initiatives. This research presents a multi-source remote sensing fusion approach to tackle this problem. For regional forest height inversion, it includes Sentinel-1 SAR, Sentinel-2 multispectral images, ICESat-2 lidar, and SRTM DEM data. Sentinel-1 + ICESat-2 + SRTM, Sentinel-2 + ICESat-2 + SRTM, and Sentinel-1 + Sentinel-2 + ICESat-2 + SRTM were the three data combination methods built using Shangri-La Second-class Category Resource Survey data as ground truth. An accuracy assessment was performed using three machine learning models: Light Gradient Boosting (LightGBM), Extreme Gradient Boosting (XGBoost), and Random Forest (RF). Based on the results, the ideal configuration using the LightGBM model and the following sensors: Sentinel-1, Sentinel-2, ICESat-2, and SRTM yields a correlation coefficient of 0.72, an RMSE of 5.52 m, and an MAE of 4.08 m. The XGBoost model obtained r = 0.716, RMSE = 5.55 m, and MAE = 4.10 m using the same data combination as the Random Forest model, which produced r = 0.706, RMSE = 5.63 m, and MAE = 4.16 m. The multi-source comprehensive fusion technique produced the greatest results; however, including either Sentinel-1 or Sentinel-2 enhances model performance, according to comparisons across multiple data combinations. This work presents an efficient technological strategy for monitoring forest height in complex terrains, thereby providing a scalable and robust methodological reference for supporting sustainable forest management and large-scale ecological assessment. The proposed multi-source spatiotemporal fusion framework, coupled with systematic model evaluation, demonstrates significant potential for operational applications, especially in regions with limited LiDAR coverage. Full article
(This article belongs to the Section Sustainable Forestry)
Show Figures

Figure 1

19 pages, 5130 KB  
Article
Effect of Hydraulic Projects on the Phytoplankton Community Structure in the Mainstream of the Ganjiang River
by Jie Zhu, Jinfu Liu, Shiyu Zhou, Yezhi Huang, Guangshun Liu, Yuwei Chen, Yu Xia, Ting He and Wei Li
Water 2025, 17(21), 3126; https://doi.org/10.3390/w17213126 - 31 Oct 2025
Viewed by 458
Abstract
To elaborate on the effects of hydraulic projects and physicochemical factors on the spatiotemporal distribution of phytoplankton communities, we monitored the phytoplankton communities and related water parameters in the Ganjiang River’s main channel over a five-year period. The survey revealed 65 species across [...] Read more.
To elaborate on the effects of hydraulic projects and physicochemical factors on the spatiotemporal distribution of phytoplankton communities, we monitored the phytoplankton communities and related water parameters in the Ganjiang River’s main channel over a five-year period. The survey revealed 65 species across six phyla, with Chlorophyta, Cyanophyta and Bacillariophyta as the most diverse groups. Phytoplankton abundance and biomass exhibited significant seasonal variations (p < 0.001), peaking in summer and autumn and reaching their lowest values in winter and spring. Spatially, phytoplankton abundance and biomass were not significantly different (p > 0.05), the abundance and biomass of Cyanophyta were higher in the two reservoir areas compared to the upstream sampling points. This suggests that the hydraulic projects altered the river’s flow and velocity, which led to a succession in phytoplankton community composition. Correlation analysis showed a strong positive association between the abundance and biomass of both Cyanophyta and Chlorophyta and water temperature (p < 0.001), but showed a significant negative relationship with nitrogen (p < 0.05). In contrast, Bacillariophyta abundance and biomass were positively and significantly correlated with ammonium nitrogen (p < 0.05). Redundancy analysis confirmed that water temperature and nitrogen are the primary environmental variables influencing the phytoplankton community’s succession. The direct alteration of river hydrodynamic characteristics by hydraulic projects, coupled with the reservoir-induced water stratification and its influence on vertical water temperature distribution, ultimately results in the profound reshaping of the phytoplankton community structure through coupled effects with nitrogen cycling. The findings from this study can scientifically inform the ecological scheduling, water quality management and water supply security of the Ganjiang River basin’s cascade reservoirs. Full article
(This article belongs to the Special Issue Wetland Water Quality Monitoring and Assessment)
Show Figures

Figure 1

13 pages, 2919 KB  
Article
Machine Learning-Driven Prediction of Spatiotemporal Dynamics of Active Nuclei During Drosophila Embryogenesis
by Parisa Boodaghi Malidarreh, Priyanshi Borad, Biraaj Rout, Anna Makridou, Shiva Abbasi, Mohammad Sadegh Nasr, Jillur Rahman Saurav, Kelli D. Fenelon, Jai Prakash Veerla, Jacob M. Luber and Theodora Koromila
Int. J. Mol. Sci. 2025, 26(21), 10338; https://doi.org/10.3390/ijms262110338 - 23 Oct 2025
Viewed by 631
Abstract
In this study, we apply machine learning to model the spatiotemporal dynamics of gene expression during early Drosophila embryogenesis. By optimizing model architecture, feature selection, and spatial grid resolution, we developed a predictive pipeline capable of accurately classifying active nuclei and forecasting their [...] Read more.
In this study, we apply machine learning to model the spatiotemporal dynamics of gene expression during early Drosophila embryogenesis. By optimizing model architecture, feature selection, and spatial grid resolution, we developed a predictive pipeline capable of accurately classifying active nuclei and forecasting their future distribution in time. We evaluated the model on two reporter constructs for the short gastrulation (sog) gene, sogD and sogD_∆Su(H), allowing us to assess its performance across distinct genetic contexts. The model achieved high accuracy on the wild-type sogD dataset, particularly along the dorsal–ventral (DV) axis during nuclear cycle 14 (NC14), and accurately predicted expression in the central regions of both wild-type and Suppressor of Hairless (Su(H)) mutant enhancers, sogD_∆Su(H). Bootstrap analysis confirmed that the model performed better in the central region than at the edges, where prediction accuracy dropped. Our previous work showed that Su(H) can act both as a repressor at the borders and as a stabilizer of transcriptional bursts in the center of the sog expression domain. This dual function is not unique to Su(H); other broadly expressed transcription factors also exhibit context-dependent regulatory roles, functioning as activators in some regions and repressors in others. These results highlight the importance of spatial context in transcriptional regulation and demonstrate the ability of machine learning to capture such nuanced behavior. Looking ahead, incorporating mechanistic features such as transcriptional bursting parameters into predictive models could enable simulations that forecast not just where genes are expressed but also how their dynamics unfold over time. This form of in silico enhancer mutagenesis would make it possible to predict the effects of specific binding site changes on both spatial expression patterns and underlying transcriptional activity, offering a powerful framework for studying cis-regulatory logic and modeling early developmental processes across diverse genetic backgrounds. Full article
(This article belongs to the Special Issue Modulation of Transcription: Imag(in)ing a Fundamental Mechanism)
Show Figures

Figure 1

25 pages, 7582 KB  
Article
A Novel Framework for Long-Term Forest Disturbance Monitoring: Synergizing the LandTrendr Algorithm with CNN in Northeast China
by Zhaoyi Zheng, Ying Yu, Xiguang Yang, Xinyi Yuan and Zhuohan Hou
Remote Sens. 2025, 17(21), 3521; https://doi.org/10.3390/rs17213521 - 23 Oct 2025
Viewed by 841
Abstract
As carbon cycling and global environmental protection gain increasing attention, forest disturbance research has intensified worldwide. Constrained by limited data availability, existing frameworks often rely on extracting individual spectral bands for simple binary disturbance detection, lacking systematic approaches to visualize and classify causes [...] Read more.
As carbon cycling and global environmental protection gain increasing attention, forest disturbance research has intensified worldwide. Constrained by limited data availability, existing frameworks often rely on extracting individual spectral bands for simple binary disturbance detection, lacking systematic approaches to visualize and classify causes of disturbance over large areas. Accurately identifying disturbance types is critical because different disturbances (e.g., fires, logging, pests) exhibit vastly different impacts on forest structure, successional pathways and, consequently, forest carbon sequestration and storage capacities. This study proposes an integrated remote sensing and deep learning (DL) method for forest disturbance type identification, enabling high-precision monitoring in Northeast China from 1992 to 2023. Leveraging the Google Earth Engine platform, we integrated Landsat time-series data (30 m resolution), Global Forest Change data, and other multi-source datasets. We extracted four key vegetation indices (NDVI, EVI, NBR, NDMI) to construct long-term forest disturbance feature series. A comparative analysis showed that the proposed convolutional neural network (CNN) model with six feature bands achieved 5.16% higher overall accuracy and a 6.92% higher Kappa coefficient than a random forest (RF) algorithm. Remarkably, even with only six features, the CNN model outperformed the RF model trained on fifteen features, achieving a 0.4% higher overall accuracy and a 0.58% higher Kappa coefficient, while utilizing 60% fewer parameters. The CNN model accurately classified forest disturbances—including fires, pests, logging, and geological disasters—achieving a 92.26% overall accuracy and an 89.04% Kappa coefficient. This surpasses the 81.4% accuracy of the Global Forest Change product. The method significantly improves the spatiotemporal accuracy of regional-scale forest monitoring, offering a robust framework for tracking ecosystem dynamics. Full article
Show Figures

Graphical abstract

11 pages, 1114 KB  
Article
Gait Recovery After Total Hip Arthroplasty with Subtrochanteric Osteotomy in Highly Dislocated Hips: A Retrospective Single-Center Cohort Study
by Chan-Jin Park, Gun-Woo Lee, Chan Young Lee and Kyung-Soon Park
J. Clin. Med. 2025, 14(20), 7446; https://doi.org/10.3390/jcm14207446 - 21 Oct 2025
Viewed by 596
Abstract
Background: We aimed to analyze various gait parameters before and after THA for patients with a highly dislocated hip to examine gait recovery and whether it is continued. Methods: This was a retrospective, single-center study. We enrolled 10 patients with a [...] Read more.
Background: We aimed to analyze various gait parameters before and after THA for patients with a highly dislocated hip to examine gait recovery and whether it is continued. Methods: This was a retrospective, single-center study. We enrolled 10 patients with a highly dislocated hip (10 hips) due to developmental dysplasia of the hip (DDH) or sequelae of septic arthritis of the hip (SSH). A spatio-temporal gait analysis was performed before THA with subtrochanteric osteotomy and one year after surgery for all patients, and 5 of them had a complete follow-up gait analysis at five years postoperatively. Demographics, clinical outcome, and radiological data were collected. Results: At one year postoperatively, the terminal double support (TDS) increased from 8.6% (4.3–12.6) to 11.3% (5.8–14.0) of the gait cycle (p = 0.02). The vertical ground reaction force (vGRF) increased from 0.96 N/BW (0.69–1.30) to 1.11 N/BW (0.95–1.31) for the first peak (p = 0.045) and from 0.87 N/BW (0.59–1.12) to 1.10 N/BW (1.00–1.30) for the second peak (p = 0.001). However, there was no improvement in any gait parameters at five years postoperatively compared to one year postoperatively. The mean HHS was 57.2 (43–67) before surgery and 79.6 (61–88) at the last follow-up (p = 0.001). The preoperative leg length discrepancy (LLD), which was 43.6 mm (18.2–71.6), and improved to 9.8 mm (2.1–22.1) after surgery. Conclusions: Improvements in stance-phase stability (TDS) and vertical ground reaction forces (vGRF) enhanced gait after THA in patients with highly dislocated hips; however, these gains were only observed until 1 year postoperatively, with no further improvement thereafter. Notably, the magnitude of improvement in TDS and vGRF may exceed that typically reported after THA for primary osteoarthritis. Full article
(This article belongs to the Section Orthopedics)
Show Figures

Figure 1

19 pages, 4745 KB  
Brief Report
Optimizing Shrimp Culture Through Environmental Monitoring: Effects of Water Quality and Metal Ion Profile on Whiteleg Shrimp (Litopenaeus vannamei) Performance in a Semi-Intensive Culture Pond
by Muhammad Farhan Nazarudin, Mohammad Amirul Faiz Zulkiply, Muhammad Hasif Samsuri, Nurul Aina Syakirah Khairil Anwar, Nur Syamimie Afiqah Jamal, Norfarrah Mohamed Alipiah, Mohd Ihsanuddin Ahmad, Norhariani Mohd Nor, Ina Salwany Md Yasin, Natrah Ikhsan, Mohammad Noor Amal Azmai and Mohd Hafiz Rosli
Water 2025, 17(19), 2818; https://doi.org/10.3390/w17192818 - 25 Sep 2025
Viewed by 3276
Abstract
Water quality management is crucial for sustainable whiteleg shrimp (Litopenaeus vannamei) aquaculture, though little research has comprehensively investigated the spatiotemporal fluctuation of trace elements in tropical semi-intensive ponds. This study investigated the water quality variations and trace element concentrations in an [...] Read more.
Water quality management is crucial for sustainable whiteleg shrimp (Litopenaeus vannamei) aquaculture, though little research has comprehensively investigated the spatiotemporal fluctuation of trace elements in tropical semi-intensive ponds. This study investigated the water quality variations and trace element concentrations in an earthen pond across a 56-day culture cycle during the dry season. Physicochemical parameters (temperature, pH, salinity, dissolved oxygen, ammonia, nitrite, and nitrate) and trace elements (Cu, Zn, Mn, Fe, and Mg) were measured concurrently with shrimp growth and survival. The DO and pH readings were observed to fluctuate significantly during the mid-to-late stages of culture, with DO nearing critical thresholds (<5.0 mg L−1). A sudden increase in ammonia and nitrite levels suggested the accumulation of organic matter and a microbial imbalance. Zinc concentrations (0.28–1.00 mg L−1) approached stress-inducing levels, while magnesium remained low (10.44–10.72 mg L−1). Pearson’s correlation revealed strong positive associations between ammonia and nitrate (r = 0.95) and between DO and pH (r = 0.94), while Mg was negatively correlated with Fe (r = −0.99) and nitrite (r = −0.88). Shrimp achieved 13.43 ± 0.73 g mean weight, with 77.8% survival and an FCR of 1.08. These results provide baseline evidence that combined water quality and trace element monitoring can become an early warning framework for pond management. Future studies integrating shrimp physiology and immune responses are needed to establish direct causal relationships. Full article
(This article belongs to the Section Water, Agriculture and Aquaculture)
Show Figures

Figure 1

18 pages, 5418 KB  
Article
Validity of a Novel Algorithm to Compute Spatiotemporal Parameters Based on a Single IMU Placed on the Lumbar Region
by Giuseppe Prisco, Giuseppe Cesarelli, Maria Romano, Marina Picillo, Carlo Ricciardi, Fabrizio Esposito, Paolo Barone, Mario Cesarelli and Leandro Donisi
Sensors 2025, 25(18), 5822; https://doi.org/10.3390/s25185822 - 18 Sep 2025
Cited by 1 | Viewed by 677
Abstract
Background: A single lumbar-mounted inertial sensor offers a practical alternative to optoelectronic systems for gait analysis, simplifying measurements and improving usability in the clinical field. However, its validity can be influenced by sensor placement and signal choice. This study aimed to develop and [...] Read more.
Background: A single lumbar-mounted inertial sensor offers a practical alternative to optoelectronic systems for gait analysis, simplifying measurements and improving usability in the clinical field. However, its validity can be influenced by sensor placement and signal choice. This study aimed to develop and validate a novel algorithm for estimating spatiotemporal parameters using anteroposterior linear acceleration and angular velocity around the sagittal axis using a single inertial measurement unit (IMU) placed on the lumbar region. The proposed algorithm was validated comparing the parameters computed by the algorithm with the ones computed using a commercial wearable system based on a two-foot-mounted IMU configuration. Thirty healthy subjects underwent a 2 min walk test, and five spatiotemporal parameters were computed using the two methodologies. Study results showed that cadence and gait cycle time exhibited very high agreement, with only a small, statistically significant bias in cadence negligible for practical purposes. In contrast, swing, stance, and double-support parameters showed disagreement due to the presence of systematic proportional errors. This work introduces a novel algorithm for gait event detection and spatiotemporal parameter estimation, addressing uncertainties related to sensor placement, metric models, processing techniques, and signal selection, while avoiding synchronization issues associated with using multiple sensors. Full article
(This article belongs to the Special Issue Recent Innovations in Wearable Sensors for Biomedical Approaches)
Show Figures

Figure 1

22 pages, 7036 KB  
Article
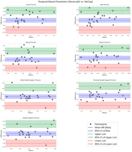
MoveLab®: Validation and Development of Novel Cross-Platform Gait and Mobility Assessments Using Gold Standard Motion Capture and Clinical Standard Assessment
by Katie Powell, Ahmad Amer, Zornitza Glavcheva-Laleva, Jenny Williams, Caomhnad O’Flaherty Farrell, Finchley Harwood, Peter Bishop and Catherine Holt
Sensors 2025, 25(18), 5706; https://doi.org/10.3390/s25185706 - 12 Sep 2025
Cited by 2 | Viewed by 1055
Abstract
Wearable health assessment devices enable real-time clinical- and home-based patient monitoring. Human gait analysis is a widely accepted musculoskeletal assessment. The 30 s Sit-to-Stand (STS) and Timed-Up-and-Go (TUG) are clinical frailty assessments used alongside gait analysis. This study assessed the reliability and validity [...] Read more.
Wearable health assessment devices enable real-time clinical- and home-based patient monitoring. Human gait analysis is a widely accepted musculoskeletal assessment. The 30 s Sit-to-Stand (STS) and Timed-Up-and-Go (TUG) are clinical frailty assessments used alongside gait analysis. This study assessed the reliability and validity of the MoveLab® (Agile Kinetic 2024) approach to measure gait spatiotemporal parameters (STPs), STS, and TUG using a waist-worn mobile phone, compared to the Gold Standard 3D marker-based motion capture (Qualisys AB, Sweden) and the Clinical Standard assessment of the STS and TUG test methods. Movement data, recorded simultaneously for 25 healthy volunteers (14 female and 11 male, Age = 31.8 ± 11.6 yrs) in a Biomechanics Laboratory using the Gold Standard system, the Clinical Standard assessments, and MoveLab®, was analyzed using Intraclass Correlation (ICC) and Bland–Altman plots (Python) to quantify the correlations, consistency, and significance across the output parameters. Comparing the methods, the STP consistency ranged from acceptable to good for all the tested parameters (ICC 0.299–0.894). The highest and lowest correlations were cycle time and terminal double support time, respectively. The TUG showed good agreement (ICC 0.757). Generally, an equal number of MoveLab® STS repetitions were observed. MoveLab® demonstrated validity and reliability for a range of key movement parameters using a pouch-worn mobile phone device in healthy adults in a controlled laboratory environment. Full article
(This article belongs to the Section Biomedical Sensors)
Show Figures

Figure 1

Back to TopTop