Due to scheduled maintenance work on our servers, there may be short service disruptions on this website between 11:00 and 12:00 CEST on March 28th.
Sign in to use this feature.

Years

Between: -

Subjects

remove_circle_outline
remove_circle_outline
remove_circle_outline
remove_circle_outline
remove_circle_outline
remove_circle_outline
remove_circle_outline
remove_circle_outline

Journals

Article Types

Countries / Regions

Search Results (39)

Search Parameters:
Keywords = customized floating-point

Order results
Result details
Results per page
Select all
Export citation of selected articles as:
22 pages, 4435 KB  
Article
Semantic Mapping in Public Indoor Environments Using Improved Instance Segmentation and Continuous-Frame Dynamic Constraint
by Yumin Lu, Xueyu Feng, Zonghuan Guo, Jianchao Wang, Lin Zhou and Yingcheng Lin
Electronics 2026, 15(7), 1392; https://doi.org/10.3390/electronics15071392 (registering DOI) - 26 Mar 2026
Abstract
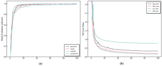
Reliable semantic perception is crucial for service robots operating in complex public indoor environments. However, existing semantic mapping approaches often face the dual challenges of high computational overhead and semantic redundancy in maps. To address these limitations, this paper proposes a low-resource semantic [...] Read more.
Reliable semantic perception is crucial for service robots operating in complex public indoor environments. However, existing semantic mapping approaches often face the dual challenges of high computational overhead and semantic redundancy in maps. To address these limitations, this paper proposes a low-resource semantic mapping framework based on improved instance segmentation and dynamic constraints from consecutive frames. First, we design the lightweight model MS-YOLO, which adopts MobileNetV4 as its backbone network and incorporates the SHViT neck module, effectively optimizing the balance between detection accuracy and computational cost. Second, we propose a consecutive frame dynamic constraint method that eliminates redundant object annotations through consecutive frame stability verification. Experimental results relating to both fusion and custom datasets demonstrate that compared to YOLOv8n-seg, MS-YOLO achieves improvements in accuracy, recall, and mAP@0.5, while reducing the number of parameters by 11.7% and floating-point operations (FLOPs) by 32.2%. Furthermore, compared to YOLOv11n-seg and YOLOv5n-seg, its FLOPs are reduced by 17.2% and 25.5%, respectively. Finally, the successful deployment and field validation of this system on the Jetson Orin NX platform demonstrate its real-time capability and engineering practicality for edge computing in public indoor service robots. Full article
(This article belongs to the Section Artificial Intelligence)
Show Figures

Figure 1

23 pages, 2136 KB  
Article
Coarse-to-Fine Contrast Maximization for Energy-Efficient Motion Estimation in Edge-Deployed Event-Based SLAM
by Kyeongpil Min, Jongin Choi and Woojoo Lee
Micromachines 2026, 17(2), 176; https://doi.org/10.3390/mi17020176 - 28 Jan 2026
Viewed by 435
Abstract
Event-based vision sensors offer microsecond temporal resolution and low power consumption, making them attractive for edge robotics and simultaneous localization and mapping (SLAM). Contrast maximization (CMAX) is a widely used direct geometric framework for rotational ego-motion estimation that aligns events by warping them [...] Read more.
Event-based vision sensors offer microsecond temporal resolution and low power consumption, making them attractive for edge robotics and simultaneous localization and mapping (SLAM). Contrast maximization (CMAX) is a widely used direct geometric framework for rotational ego-motion estimation that aligns events by warping them and maximizing the spatial contrast of the resulting image of warped events (IWE). However, conventional CMAX is computationally inefficient because it repeatedly processes the full event set and a full-resolution IWE at every optimization iteration, including late-stage refinement, incurring both event-domain and image-domain costs. We propose coarse-to-fine contrast maximization (CCMAX), a computation-aware CMAX variant that aligns computational fidelity with the optimizer’s coarse-to-fine convergence behavior. CCMAX progressively increases IWE resolution across stages and applies coarse-grid event subsampling to remove spatially redundant events in early stages, while retaining a final full-resolution refinement. On standard event-camera benchmarks with IMU ground truth, CCMAX achieves accuracy comparable to a full-resolution baseline while reducing floating-point operations (FLOPs) by up to 42%. Energy measurements on a custom RISC-V–based edge SoC further show up to 87% lower energy consumption for the iterative CMAX pipeline. These results demonstrate an energy-efficient motion-estimation front-end suitable for real-time edge SLAM on resource- and power-constrained platforms. Full article
(This article belongs to the Topic Collection Series on Applied System Innovation)
Show Figures

Figure 1

19 pages, 5291 KB  
Article
Numerical Simulations of a Motion-Based Latching Control Strategy for Enhanced Wave Energy Conversion in a Point Absorber
by Sabrina Galbo and Stefano Malavasi
Energies 2025, 18(24), 6387; https://doi.org/10.3390/en18246387 - 5 Dec 2025
Viewed by 496
Abstract
The power take-off (PTO) system is central to wave energy converter (WEC) performance, and therefore control strategies are essential to effectively enhance energy absorption and device response. However, many existing controls often rely on predictive or mechanically complex approaches that limit their practical [...] Read more.
The power take-off (PTO) system is central to wave energy converter (WEC) performance, and therefore control strategies are essential to effectively enhance energy absorption and device response. However, many existing controls often rely on predictive or mechanically complex approaches that limit their practical and numerical implementation. This work proposes a passive, non-predictive, sub-optimal PTO control strategy suitable for CFD modeling. This study focuses on latching control, which temporarily restrains the device, introducing a novel release mechanism based solely on the float’s angular velocity and providing a simple motion-based criterion. A nearshore point absorber serves as the reference device, featuring a single degree of oscillation achieved through a heaving float. CFD simulations are conducted using a FLOW-3D (HYDRO) model previously developed at Politecnico di Milano, in which the PTO is modeled as a torsional spring object. Software customization enables damping modulation, and the latching strategy is refined by optimizing the threshold angular velocity under two monochromatic wave conditions. Results show an approximate 20% increase in absorbed energy, improved phase alignment, and a clear operational threshold-velocity window, indicating that the proposed motion-based strategy can effectively enhance WEC performance. Further assessments under additional wave conditions will help establish its robustness and validate its broader applicability. Full article
Show Figures

Figure 1

22 pages, 18974 KB  
Article
Lightweight 3D CNN for MRI Analysis in Alzheimer’s Disease: Balancing Accuracy and Efficiency
by Kerang Cao, Zhongqing Lu, Chengkui Zhao, Jiaming Du, Lele Li, Hoekyung Jung and Minghui Geng
J. Imaging 2025, 11(12), 426; https://doi.org/10.3390/jimaging11120426 - 28 Nov 2025
Viewed by 1282
Abstract
Alzheimer’s disease (AD) is a progressive neurodegenerative disorder characterized by subtle structural changes in the brain, which can be observed through MRI scans. Although traditional diagnostic approaches rely on clinical and neuropsychological assessments, deep learning-based methods such as 3D convolutional neural networks (CNNs) [...] Read more.
Alzheimer’s disease (AD) is a progressive neurodegenerative disorder characterized by subtle structural changes in the brain, which can be observed through MRI scans. Although traditional diagnostic approaches rely on clinical and neuropsychological assessments, deep learning-based methods such as 3D convolutional neural networks (CNNs) have recently been introduced to improve diagnostic accuracy. However, their high computational complexity remains a challenge. To address this, we propose a lightweight magnetic resonance imaging (MRI) classification framework that integrates adaptive multi-scale feature extraction with structural pruning and parameter optimization. The pruned model achieving a compact architecture with approximately 490k parameters (0.49 million), 4.39 billion floating-point operations, and a model size of 1.9 MB, while maintaining high classification performance across three binary tasks. The proposed framework was evaluated on the Alzheimer’s Disease Neuroimaging Initiative dataset, a widely used benchmark for AD research. Notably, the model achieves a performance density(PD) of 189.87, where PD is a custom efficiency metric defined as the classification accuracy per million parameters (% pm), which is approximately 70× higher than the basemodel, reflecting its balance between accuracy and computational efficiency. Experimental results demonstrate that the proposed framework significantly reduces resource consumption without compromising diagnostic performance, providing a practical foundation for real-time and resource-constrained clinical applications in Alzheimer’s disease detection. Full article
(This article belongs to the Special Issue AI-Driven Image and Video Understanding)
Show Figures

Figure 1

25 pages, 73925 KB  
Article
Attention-Guided Edge-Optimized Network for Real-Time Detection and Counting of Pre-Weaning Piglets in Farrowing Crates
by Ning Kong, Tongshuai Liu, Guoming Li, Lei Xi, Shuo Wang and Yuepeng Shi
Animals 2025, 15(17), 2553; https://doi.org/10.3390/ani15172553 - 30 Aug 2025
Cited by 1 | Viewed by 1066
Abstract
Accurate, real-time, and cost-effective detection and counting of pre-weaning piglets are critical for improving piglet survival rates. However, achieving this remains technically challenging due to high computational demands, frequent occlusion, social behaviors, and cluttered backgrounds in commercial farming environments. To address these challenges, [...] Read more.
Accurate, real-time, and cost-effective detection and counting of pre-weaning piglets are critical for improving piglet survival rates. However, achieving this remains technically challenging due to high computational demands, frequent occlusion, social behaviors, and cluttered backgrounds in commercial farming environments. To address these challenges, this study proposes a lightweight and attention-enhanced piglet detection and counting network based on an improved YOLOv8n architecture. The design includes three key innovations: (i) the standard C2f modules in the backbone were replaced with an efficient novel Multi-Scale Spatial Pyramid Attention (MSPA) module to enhance the multi-scale feature representation while a maintaining low computational cost; (ii) an improved Gather-and-Distribute (GD) mechanism was incorporated into the neck to facilitate feature fusion and accelerate inference; and (iii) the detection head and the sample assignment strategy were optimized to align the classification and localization tasks better, thereby improving the overall performance. Experiments on the custom dataset demonstrated the model’s superiority over state-of-the-art counterparts, achieving 88.5% precision and a 93.8% mAP0.5. Furthermore, ablation studies showed that the model reduced the parameters, floating point operations (FLOPs), and model size by 58.45%, 46.91% and 56.45% compared to those of the baseline YOLOv8n, respectively, while achieving a 2.6% improvement in the detection precision and a 4.41% reduction in the counting MAE. The trained model was deployed on a Raspberry Pi 4B with ncnn to verify the effectiveness of the lightweight design, reaching an average inference speed of <87 ms per image. These findings confirm that the proposed method offers a practical, scalable solution for intelligent pig farming, combining a high accuracy, efficiency, and real-time performance in resource-limited environments. Full article
(This article belongs to the Section Pigs)
Show Figures

Figure 1

15 pages, 3633 KB  
Article
HSS-YOLO Lightweight Object Detection Model for Intelligent Inspection Robots in Power Distribution Rooms
by Liang Li, Yangfei He, Yingying Wei, Hucheng Pu, Xiangge He, Chunlei Li and Weiliang Zhang
Algorithms 2025, 18(8), 495; https://doi.org/10.3390/a18080495 - 8 Aug 2025
Cited by 1 | Viewed by 1000
Abstract
Currently, YOLO-based object detection is widely employed in intelligent inspection robots. However, under interference factors present in dimly lit substation environments, YOLO exhibits issues such as excessively low accuracy, missed detections, and false detections for critical targets. To address these problems, this paper [...] Read more.
Currently, YOLO-based object detection is widely employed in intelligent inspection robots. However, under interference factors present in dimly lit substation environments, YOLO exhibits issues such as excessively low accuracy, missed detections, and false detections for critical targets. To address these problems, this paper proposes HSS-YOLO, a lightweight object detection model based on YOLOv11. Initially, HetConv is introduced. By combining convolutional kernels of different sizes, it reduces the required number of floating-point operations (FLOPs) and enhances computational efficiency. Subsequently, the integration of Inner-SIoU strengthens the recognition capability for small targets within dim environments. Finally, ShuffleAttention is incorporated to mitigate problems like missed or false detections of small targets under low-light conditions. The experimental results demonstrate that on a custom dataset, the model achieves a precision of 90.5% for critical targets (doors and two types of handles). This represents a 4.6% improvement over YOLOv11, while also reducing parameter count by 10.7% and computational load by 9%. Furthermore, evaluations on public datasets confirm that the proposed model surpasses YOLOv11 in assessment metrics. The improved model presented in this study not only achieves lightweight design but also yields more accurate detection results for doors and handles within dimly lit substation environments. Full article
(This article belongs to the Section Algorithms for Multidisciplinary Applications)
Show Figures

Figure 1

14 pages, 1419 KB  
Article
GhostBlock-Augmented Lightweight Gaze Tracking via Depthwise Separable Convolution
by Jing-Ming Guo, Yu-Sung Cheng, Yi-Chong Zeng and Zong-Yan Yang
Electronics 2025, 14(15), 2978; https://doi.org/10.3390/electronics14152978 - 25 Jul 2025
Viewed by 893
Abstract
This paper proposes a lightweight gaze-tracking architecture named GhostBlock-Augmented Look to Coordinate Space (L2CS), which integrates GhostNet-based modules and depthwise separable convolution to achieve a better trade-off between model accuracy and computational efficiency. Conventional lightweight gaze-tracking models often suffer from degraded accuracy due [...] Read more.
This paper proposes a lightweight gaze-tracking architecture named GhostBlock-Augmented Look to Coordinate Space (L2CS), which integrates GhostNet-based modules and depthwise separable convolution to achieve a better trade-off between model accuracy and computational efficiency. Conventional lightweight gaze-tracking models often suffer from degraded accuracy due to aggressive parameter reduction. To address this issue, we introduce GhostBlocks, a custom-designed convolutional unit that combines intrinsic feature generation with ghost feature recomposition through depthwise operations. Our method enhances the original L2CS architecture by replacing each ResNet block with GhostBlocks, thereby significantly reducing the number of parameters and floating-point operations. The experimental results on the Gaze360 dataset demonstrate that the proposed model reduces FLOPs from 16.527 × 108 to 8.610 × 108 and parameter count from 2.387 × 105 to 1.224 × 105 while maintaining comparable gaze estimation accuracy, with MAE increasing only slightly from 10.70° to 10.87°. This work highlights the potential of GhostNet-augmented designs for real-time gaze tracking on edge devices, providing a practical solution for deployment in resource-constrained environments. Full article
Show Figures

Figure 1

27 pages, 9802 KB  
Article
Flight-Safe Inference: SVD-Compressed LSTM Acceleration for Real-Time UAV Engine Monitoring Using Custom FPGA Hardware Architecture
by Sreevalliputhuru Siri Priya, Penneru Shaswathi Sanjana, Rama Muni Reddy Yanamala, Rayappa David Amar Raj, Archana Pallakonda, Christian Napoli and Cristian Randieri
Drones 2025, 9(7), 494; https://doi.org/10.3390/drones9070494 - 14 Jul 2025
Cited by 13 | Viewed by 1940
Abstract
Predictive maintenance (PdM) is a proactive strategy that enhances safety, minimizes unplanned downtime, and optimizes operational costs by forecasting equipment failures before they occur. This study presents a novel Field Programmable Gate Array (FPGA)-accelerated predictive maintenance framework for UAV engines using a Singular [...] Read more.
Predictive maintenance (PdM) is a proactive strategy that enhances safety, minimizes unplanned downtime, and optimizes operational costs by forecasting equipment failures before they occur. This study presents a novel Field Programmable Gate Array (FPGA)-accelerated predictive maintenance framework for UAV engines using a Singular Value Decomposition (SVD)-optimized Long Short-Term Memory (LSTM) model. The model performs binary classification to predict the likelihood of imminent engine failure by processing normalized multi-sensor data, including temperature, pressure, and vibration measurements. To enable real-time deployment on resource-constrained UAV platforms, the LSTM’s weight matrices are compressed using Singular Value Decomposition (SVD), significantly reducing computational complexity while preserving predictive accuracy. The compressed model is executed on a Xilinx ZCU-104 FPGA and uses a pipelined, AXI-based hardware accelerator with efficient memory mapping and parallelized gate calculations tailored for low-power onboard systems. Unlike prior works, this study uniquely integrates a tailored SVD compression strategy with a custom hardware accelerator co-designed for real-time, flight-safe inference in UAV systems. Experimental results demonstrate a 98% classification accuracy, a 24% reduction in latency, and substantial FPGA resource savings—specifically, a 26% decrease in BRAM usage and a 37% reduction in DSP consumption—compared to the 32-bit floating-point SVD-compressed FPGA implementation, not CPU or GPU. These findings confirm the proposed system as an efficient and scalable solution for real-time UAV engine health monitoring, thereby enhancing in-flight safety through timely fault prediction and enabling autonomous engine monitoring without reliance on ground communication. Full article
(This article belongs to the Special Issue Advances in Perception, Communications, and Control for Drones)
Show Figures

Figure 1

19 pages, 51503 KB  
Article
LSANet: Lightweight Super Resolution via Large Separable Kernel Attention for Edge Remote Sensing
by Tingting Yong and Xiaofang Liu
Appl. Sci. 2025, 15(13), 7497; https://doi.org/10.3390/app15137497 - 3 Jul 2025
Cited by 2 | Viewed by 1472
Abstract
In recent years, remote sensing imagery has become indispensable for applications such as environmental monitoring, land use classification, and urban planning. However, the physical constraints of satellite imaging systems frequently limit the spatial resolution of these images, impeding the extraction of fine-grained information [...] Read more.
In recent years, remote sensing imagery has become indispensable for applications such as environmental monitoring, land use classification, and urban planning. However, the physical constraints of satellite imaging systems frequently limit the spatial resolution of these images, impeding the extraction of fine-grained information critical to downstream tasks. Super-resolution (SR) techniques thus emerge as a pivotal solution to enhance the spatial fidelity of remote sensing images via computational approaches. While deep learning-based SR methods have advanced reconstruction accuracy, their high computational complexity and large parameter counts restrict practical deployment in real-world remote sensing scenarios—particularly on edge or low-power devices. To address this gap, we propose LSANet, a lightweight SR network customized for remote sensing imagery. The core of LSANet is the large separable kernel attention mechanism, which efficiently expands the receptive field while retaining low computational overhead. By integrating this mechanism into an enhanced residual feature distillation module, the network captures long-range dependencies more effectively than traditional shallow residual blocks. Additionally, a residual feature enhancement module, leveraging contrast-aware channel attention and hierarchical skip connections, strengthens the extraction and integration of multi-level discriminative features. This design preserves fine textures and ensures smooth information propagation across the network. Extensive experiments on public datasets such as UC Merced Land Use and NWPU-RESISC45 demonstrate LSANet’s competitive or superior performance compared to state-of-the-art methods. On the UC Merced Land Use dataset, LSANet achieves a PSNR of 34.33, outperforming the best-baseline HSENet with its PSNR of 34.23 by 0.1. For SSIM, LSANet reaches 0.9328, closely matching HSENet’s 0.9332 while demonstrating excellent metric-balancing performance. On the NWPU-RESISC45 dataset, LSANet attains a PSNR of 35.02, marking a significant improvement over prior methods, and an SSIM of 0.9305, maintaining strong competitiveness. These results, combined with the notable reduction in parameters and floating-point operations, highlight the superiority of LSANet in remote sensing image super-resolution tasks. Full article
Show Figures

Figure 1

19 pages, 3853 KB  
Article
YOLOv8-MSP-PD: A Lightweight YOLOv8-Based Detection Method for Jinxiu Malus Fruit in Field Conditions
by Yi Liu, Xiang Han, Hongjian Zhang, Shuangxi Liu, Wei Ma, Yinfa Yan, Linlin Sun, Linlong Jing, Yongxian Wang and Jinxing Wang
Agronomy 2025, 15(7), 1581; https://doi.org/10.3390/agronomy15071581 - 28 Jun 2025
Cited by 3 | Viewed by 1051
Abstract
Accurate detection of Jinxiu Malus fruits in unstructured orchard environments is hampered by frequent overlap, occlusion, and variable illumination. To address these challenges, we propose YOLOv8-MSP-PD (YOLOv8 with Multi-Scale Pyramid Fusion and Proportional Distance IoU), a lightweight model built on an enhanced YOLOv8 [...] Read more.
Accurate detection of Jinxiu Malus fruits in unstructured orchard environments is hampered by frequent overlap, occlusion, and variable illumination. To address these challenges, we propose YOLOv8-MSP-PD (YOLOv8 with Multi-Scale Pyramid Fusion and Proportional Distance IoU), a lightweight model built on an enhanced YOLOv8 architecture. We replace the backbone with MobileNetV4, incorporating unified inverted bottleneck (UIB) modules and depth-wise separable convolutions for efficient feature extraction. We introduce a spatial pyramid pooling fast cross-stage partial connections (SPPFCSPC) module for multi-scale feature fusion and a modified proportional distance IoU (MPD-IoU) loss to optimize bounding-box regression. Finally, layer-adaptive magnitude pruning (LAMP) combined with knowledge distillation compresses the model while retaining performance. On our custom Jinxiu Malus dataset, YOLOv8-MSP-PD achieves a mean average precision (mAP) of 92.2% (1.6% gain over baseline), reduces floating-point operations (FLOPs) by 59.9%, and shrinks to 2.2 MB. Five-fold cross-validation confirms stability, and comparisons with Faster R-CNN and SSD demonstrate superior accuracy and efficiency. This work offers a practical vision solution for agricultural robots and guidance for lightweight detection in precision agriculture. Full article
(This article belongs to the Section Precision and Digital Agriculture)
Show Figures

Figure 1

22 pages, 675 KB  
Article
Enhancing CuFP Library with Self-Alignment Technique
by Fahimeh Hajizadeh, Tarek Ould-Bachir and Jean Pierre David
Computers 2025, 14(4), 118; https://doi.org/10.3390/computers14040118 - 24 Mar 2025
Viewed by 844
Abstract
High-Level Synthesis (HLS) tools have transformed FPGA development by streamlining digital design and enhancing efficiency. Meanwhile, advancements in semiconductor technology now support the integration of hundreds of floating-point units on a single chip, enabling more resource-intensive computations. CuFP, an HLS library, facilitates the [...] Read more.
High-Level Synthesis (HLS) tools have transformed FPGA development by streamlining digital design and enhancing efficiency. Meanwhile, advancements in semiconductor technology now support the integration of hundreds of floating-point units on a single chip, enabling more resource-intensive computations. CuFP, an HLS library, facilitates the creation of customized floating-point operators with configurable exponent and mantissa bit widths, providing greater flexibility and resource efficiency. This paper introduces the integration of the self-alignment technique (SAT) into the CuFP library, extending its capability for customized addition-related floating-point operations with enhanced precision and resource utilization. Our findings demonstrate that incorporating SAT into CuFP enables the efficient FPGA deployment of complex floating-point operators, achieving significant reductions in computational latency and improved resource efficiency. Specifically, for a vector size of 64, CuFPSAF reduces execution cycles by 29.4% compared to CuFP and by 81.5% compared to vendor IP while maintaining the same DSP utilization as CuFP and reducing it by 59.7% compared to vendor IP. These results highlight the efficiency of SAT in FPGA-based floating-point computations. Full article
Show Figures

Figure 1

20 pages, 16857 KB  
Article
D-YOLO: A Lightweight Model for Strawberry Health Detection
by Enhui Wu, Ruijun Ma, Daming Dong and Xiande Zhao
Agriculture 2025, 15(6), 570; https://doi.org/10.3390/agriculture15060570 - 7 Mar 2025
Cited by 12 | Viewed by 2623
Abstract
In complex agricultural settings, accurately and rapidly identifying the growth and health conditions of strawberries remains a formidable challenge. Therefore, this study aims to develop a deep framework, Disease-YOLO (D-YOLO), based on the YOLOv8s model to monitor the health status of strawberries. Key [...] Read more.
In complex agricultural settings, accurately and rapidly identifying the growth and health conditions of strawberries remains a formidable challenge. Therefore, this study aims to develop a deep framework, Disease-YOLO (D-YOLO), based on the YOLOv8s model to monitor the health status of strawberries. Key innovations include (1) replacing the original backbone with MobileNetv3 to optimize computational efficiency; (2) implementing a Bidirectional Feature Pyramid Network for enhanced multi-scale feature fusion; (3) integrating Contextual Transformer attention modules in the neck network to improve lesion localization; and (4) adopting weighted intersection over union loss to address class imbalance. Evaluated on our custom strawberry disease dataset containing 1301 annotated images across three fruit development stages and five plant health states, D-YOLO achieved 89.6% mAP on the train set and 90.5% mAP on the test set while reducing parameters by 72.0% and floating-point operations by 75.1% compared to baseline YOLOv8s. The framework’s balanced performance and computational efficiency surpass conventional models including Faster R-CNN, RetinaNet, YOLOv5s, YOLOv6s, and YOLOv8s in comparative trials. Cross-domain validation on a maize disease dataset demonstrated D-YOLO’s superior generalization with 94.5% mAP, outperforming YOLOv8 by 0.6%. The framework’s balanced performance (89.6% training mAP) and computational efficiency surpass conventional models, including Faster R-CNN, RetinaNet, YOLOv5s, YOLOv6s, and YOLOv8s, in comparative trials. This lightweight solution enables precise, real-time crop health monitoring. The proposed architectural improvements provide a practical paradigm for intelligent disease detection in precision agriculture. Full article
(This article belongs to the Section Artificial Intelligence and Digital Agriculture)
Show Figures

Figure 1

15 pages, 10730 KB  
Article
An Efficient Forest Smoke Detection Approach Using Convolutional Neural Networks and Attention Mechanisms
by Quy-Quyen Hoang, Quy-Lam Hoang and Hoon Oh
J. Imaging 2025, 11(2), 67; https://doi.org/10.3390/jimaging11020067 - 19 Feb 2025
Cited by 2 | Viewed by 1774
Abstract
This study explores a method of detecting smoke plumes effectively as the early sign of a forest fire. Convolutional neural networks (CNNs) have been widely used for forest fire detection; however, they have not been customized or optimized for smoke characteristics. This paper [...] Read more.
This study explores a method of detecting smoke plumes effectively as the early sign of a forest fire. Convolutional neural networks (CNNs) have been widely used for forest fire detection; however, they have not been customized or optimized for smoke characteristics. This paper proposes a CNN-based forest smoke detection model featuring novel backbone architecture that can increase detection accuracy and reduce computational load. Since the proposed backbone detects the plume of smoke through different views using kernels of varying sizes, it can better detect smoke plumes of different sizes. By decomposing the traditional square kernel convolution into a depth-wise convolution of the coordinate kernel, it can not only better extract the features of the smoke plume spreading along the vertical dimension but also reduce the computational load. An attention mechanism was applied to allow the model to focus on important information while suppressing less relevant information. The experimental results show that our model outperforms other popular ones by achieving detection accuracy of up to 52.9 average precision (AP) and significantly reduces the number of parameters and giga floating-point operations (GFLOPs) compared to the popular models. Full article
Show Figures

Figure 1

20 pages, 3789 KB  
Article
Explainable Intelligent Inspection of Solar Photovoltaic Systems with Deep Transfer Learning: Considering Warmer Weather Effects Using Aerial Radiometric Infrared Thermography
by Usamah Rashid Qureshi, Aiman Rashid, Nicola Altini, Vitoantonio Bevilacqua and Massimo La Scala
Electronics 2025, 14(4), 755; https://doi.org/10.3390/electronics14040755 - 14 Feb 2025
Cited by 7 | Viewed by 2835
Abstract
Solar photovoltaic (SPV) arrays play a pivotal role in advancing clean and sustainable energy systems, with a worldwide total installed capacity of 1.6 terawatts and annual investments reaching USD 480 billion in 2023. However, climate disaster effects, particularly extremely hot weather events, can [...] Read more.
Solar photovoltaic (SPV) arrays play a pivotal role in advancing clean and sustainable energy systems, with a worldwide total installed capacity of 1.6 terawatts and annual investments reaching USD 480 billion in 2023. However, climate disaster effects, particularly extremely hot weather events, can compromise the performance and resilience of SPV panels through thermal deterioration and degradation, which may lead to lessened operational life and potential failure. These heatwave-related consequences highlight the need for timely inspection and precise anomaly diagnosis of SPV panels to ensure optimal energy production. This case study focuses on intelligent remote inspection by employing aerial radiometric infrared thermography within a predictive maintenance framework to enhance diagnostic monitoring and early scrutiny capabilities for SPV power plant sites. The proposed methodology leverages pre-trained deep learning (DL) algorithms, enabling a deep transfer learning approach, to test the effectiveness of multiclass classification (or diagnosis) of various thermal anomalies of the SPV panel. This case study adopted a highly imbalanced 6-class thermographic radiometric dataset (floating-point temperature numerical values in degrees Celsius) for training and validating the pre-trained DL predictive classification models and comparing them with a customized convolutional neural network (CNN) ensembled model. The performance metrics demonstrate that among selected pre-trained DL models, the MobileNetV2 exhibits the highest F1 score (0.998) and accuracy (0.998), followed by InceptionV3 and VGG16, which recorded an F1 score of 0.997 and an accuracy of 0.998 in performing the smart inspection of 6-class thermal anomalies, whereas the customized CNN ensembled model achieved both a perfect F1 score (1.000) and accuracy (1.000). Furthermore, to create trust in the intelligent inspection system, we investigated the pre-trained DL predictive classification models using perceptive explainability to display the most discriminative data features, and mathematical-structure-based interpretability to portray multiclass feature clustering. Full article
(This article belongs to the Special Issue Power Electronics and Renewable Energy System)
Show Figures

Figure 1

16 pages, 7939 KB  
Article
A Lightweight Person Detector for Surveillance Footage Based on YOLOv8n
by Qicheng Wang, Guoqiang Feng and Zongzhe Li
Sensors 2025, 25(2), 436; https://doi.org/10.3390/s25020436 - 13 Jan 2025
Cited by 3 | Viewed by 2609
Abstract
To enable person detection tasks in surveillance footage to be deployed on edge devices and their efficient performance in resource-constrained environments in real-time, a lightweight person detection model based on YOLOv8n was proposed. This model balances high accuracy with low computational cost and [...] Read more.
To enable person detection tasks in surveillance footage to be deployed on edge devices and their efficient performance in resource-constrained environments in real-time, a lightweight person detection model based on YOLOv8n was proposed. This model balances high accuracy with low computational cost and parameter size. First, the MSBlock module was introduced into YOLOv8n. Then, a series of modifications were made to the MSBlock structure. Next, a heterogeneous PAFPN with improved MSBlock was formed using heterogeneous convolution kernels. Finally, AKConv, a variable kernel convolution, was applied to further reduce the number of parameters and the computational cost while improving accuracy. A series of experiments demonstrated that, due to these improvements, the proposed lightweight model achieved a reduction of nearly 10% in parameter size and 5% in the floating-point computational cost compared to the original YOLOv8n. Additionally, on a custom surveillance dataset, the model shows a 1.4% improvement in mAP@0.5:0.95, and on a more complex subset of the PASVOC public dataset, the model achieved a 2.8% improvement in mAP@0.5 and a 1.2% improvement in mAP@0.5:0.95, proving the high accuracy and generalization ability of the improved lightweight model. Full article
(This article belongs to the Section Sensing and Imaging)
Show Figures

Figure 1

Back to TopTop