Sign in to use this feature.

Years

Between: -

Subjects

remove_circle_outline
remove_circle_outline
remove_circle_outline
remove_circle_outline
remove_circle_outline
remove_circle_outline
remove_circle_outline
remove_circle_outline
remove_circle_outline

Journals

Article Types

Countries / Regions

Search Results (175)

Search Parameters:
Keywords = curtain wall

Order results
Result details
Results per page
Select all
Export citation of selected articles as:
18 pages, 3576 KB  
Article
External Annular Air Curtain to Mitigate Aerosol Pollutants in Wet-Mix Shotcrete Processes
by Kunhua Liu, Shu Wang, Zhen Guo, Longzhe Jin and Junyong Cui
Buildings 2026, 16(1), 110; https://doi.org/10.3390/buildings16010110 - 25 Dec 2025
Viewed by 221
Abstract
Dust generation from wet-mix shotcrete (WMS) is a major source of aerosol pollutants in underground construction. However, research on aerosol pollutant control equipment during the WMS process is still scarce. To achieve effective control of aerosol pollution during WMS production, this study introduced [...] Read more.
Dust generation from wet-mix shotcrete (WMS) is a major source of aerosol pollutants in underground construction. However, research on aerosol pollutant control equipment during the WMS process is still scarce. To achieve effective control of aerosol pollution during WMS production, this study introduced and applied air curtain dust suppression technology. A multi-dimensional jet test platform was used to investigate the dust suppression effects of a direct air curtain, an inner ring wall-attached air curtain, and an outer ring wall-attached air curtain during WMS production. By analyzing the variation characteristics of the dust concentration curve, key characteristic points were determined, and the diffusion phase and sedimentation phase were demarcated. With the incorporation of a K-C air curtain, the range reduction rates for the diffusion and sedimentation phases reached 51.92% and 80.85%, respectively, with an aerosol control efficiency of 57.10%. Additionally, numerical simulation was conducted to investigate the flow field characteristics during WMS production. It was found that the radial velocity gradient of the entire flow field in the spatial coordinate system was reduced, with a maximum reduction rate of 57% at (Y-axis = 560 mm). Furthermore, the affected area of the vorticity in the main jet shear layer was significantly reduced. Full article
(This article belongs to the Section Building Energy, Physics, Environment, and Systems)
Show Figures

Figure 1

28 pages, 7730 KB  
Article
Low-Carbon Design Strategies for Transparent Building Envelopes in Hot-Summer–Cold-Winter Climate Zones—Experimental and Numerical Simulation Study Based on the High-Performance Sunroom Laboratory in Central-Southern Anhui
by Haowei Hu, Yukun Zhu, Mingzuo Cheng, Shuguang Zhu, Guotao Zhu and Jun Xu
Sustainability 2025, 17(23), 10544; https://doi.org/10.3390/su172310544 - 25 Nov 2025
Viewed by 424
Abstract
The widespread use of transparent building envelope structures satisfies people’s needs for architectural esthetics and daylighting. However, they also feature notable drawbacks such as high energy consumption, poor thermal insulation performance of traditional glass curtain walls, significant solar heat gain in summer and [...] Read more.
The widespread use of transparent building envelope structures satisfies people’s needs for architectural esthetics and daylighting. However, they also feature notable drawbacks such as high energy consumption, poor thermal insulation performance of traditional glass curtain walls, significant solar heat gain in summer and heat loss in winter, which lead to “cold in winter and hot in summer” indoors, reliance on high-power air conditioning, and energy consumption far exceeding that of opaque walls. Even when coated or insulated glazing is adopted, improper design can still fail to effectively reduce the overall heat transfer coefficient, placing higher demands on the daylighting performance and solar radiation control of transparent envelopes in existing buildings. Through experiments and numerical simulations, this study systematically analyzes the performance of different types of glass used in transparent building envelope structures and their impacts on building energy consumption. Based on the climatic characteristics of central-southern Anhui, measured data were compared between a Low E-glass sunroom and a conventional tempered glass sunroom. The results show that the solar radiation transmittance of the Low-e glass is only 45.31% of that of ordinary glass, the peak indoor temperature is reduced by 6–7 °C, and nighttime temperature fluctuations are smaller, verifying its excellent thermal insulation performance and thermal stability. To further investigate, the Ecotect software 2011 was used to simulate the daylighting performance of 12 types of glazing and the radiation transmittance under 19 conditions. The results indicate: triple-glazed vacuum composite silver-coated glass exhibits excellent shading performance suitable for summer; single-silver-coated glass has the best daylighting performance, and Triple-Silver coatings combined with high-transmission substrates can improve the daylight factor by 10.55%; argon-filled insulated glazing reduces radiation by 6.5% compared with ordinary IGUs, making it more suitable for the climate of central-southern Anhui. The study shows that optimization of transparent envelopes must be predicated on regional climate, combining experimentally validated glazing thermal parameters with simulation-based design optimization to provide theoretical support and technical references for glass selection and transparent envelope design in near-zero energy buildings in central-southern Anhui. Full article
(This article belongs to the Special Issue Energy and Environment: Policy, Economics and Modeling)
Show Figures

Figure 1

28 pages, 18713 KB  
Article
Sustainable Design of Artificial Ground Freezing Schemes Based on Thermal-Energy Efficiency Analysis
by Jun Hu, Hanyu Dang, Ying Nie, Junxin Shi, Zhaokui Sun, Dan Zhou and Yongchang Yang
Sustainability 2025, 17(22), 10143; https://doi.org/10.3390/su172210143 - 13 Nov 2025
Viewed by 509
Abstract
To enhance the design and construction efficiency of artificial ground freezing (AGF) in water-rich sandy strata, this study takes the No. 2 cross-passage of Zhengzhou Metro Line 8 as a case study and conducts an integrated analysis combining field monitoring and numerical simulation. [...] Read more.
To enhance the design and construction efficiency of artificial ground freezing (AGF) in water-rich sandy strata, this study takes the No. 2 cross-passage of Zhengzhou Metro Line 8 as a case study and conducts an integrated analysis combining field monitoring and numerical simulation. During the freezing process, a sensor network was deployed to capture real-time data on temperature distribution and pore water pressure evolution. Based on the collected measurements, a three-dimensional hydrothermal coupled model was developed using COMSOL Multiphysics 6.1 and validated against field data. The results demonstrate a distinct multi-stage evolution in the formation of the frozen curtain, with the highest heat exchange rate observed at the initial phase. Under a 50-day freezing schedule, increasing the average coolant temperature by 4 °C still yielded a frozen wall that meets the design thickness requirement. Additionally, several cost-effective freezing schemes were explored to accommodate varying construction timelines. This study supports sustainable urban infrastructure development by minimizing energy consumption during artificial ground freezing (AGF) processes. Full article
Show Figures

Figure 1

27 pages, 3445 KB  
Article
Deformation Characteristics of an Ultra-Deep Foundation Pit Supported by Servo Steel Struts in Reclaimed Areas
by Junming Cai, Yunan Li, Ze Wu, Bin Peng and Yong Hu
Buildings 2025, 15(22), 4044; https://doi.org/10.3390/buildings15224044 - 10 Nov 2025
Viewed by 532
Abstract
This paper presents a case study on an ultra-deep excavation in a reclaimed area supported by servo steel struts, addressing the limited case-specific data on deformation behavior under such complex geological conditions. Comprehensive monitoring of the pit structure and surrounding environment was performed [...] Read more.
This paper presents a case study on an ultra-deep excavation in a reclaimed area supported by servo steel struts, addressing the limited case-specific data on deformation behavior under such complex geological conditions. Comprehensive monitoring of the pit structure and surrounding environment was performed throughout construction. Results highlight significant time-dependent deformation due to the rheological behavior of artificial fill and soft soil, with metro tunnel displacement during suspension phases contributing up to 29% of the total. Servo steel struts, via active axial force compensation, reduced maximum diaphragm wall displacement by 24%, ground settlement by 29%, and pipeline settlement by 46% compared to conventional supports. Integrated measures, including bottom-sealed diaphragm walls, isolation piles, and grouting curtains, successfully confined tunnel deformation within 5.4 mm, complying with strict safety criteria. A strong linear correlation between tunnel and wall displacements was observed, enabling a predictive envelope model for deformation. This study underscores the efficacy of servo steel struts in controlling excavation-induced deformation in reclaimed areas and offers practical insights for designing and managing ultra-deep excavations in similar challenging settings. Full article
(This article belongs to the Section Building Structures)
Show Figures

Figure 1

32 pages, 28911 KB  
Article
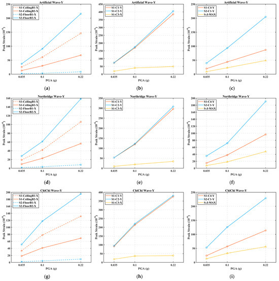
Seismic Performance of a Modular Steel Building with Glass Curtain Walls: Shaking Table Tests
by Yucong Nie, Xinxin Zhang, Xiang Yuan Zheng, Xinyu Xie, Kehao Qian, Yuanting Li, Zhan Zhao and Wenjun Xu
Sustainability 2025, 17(21), 9443; https://doi.org/10.3390/su17219443 - 24 Oct 2025
Viewed by 836
Abstract
Modular steel buildings represent a structural system distinguished by rapid construction and environmental sustainability. The modular units and steel components of modular steel structures can be recycled, making this approach an important technology for sustainable development. Glass curtain walls, commonly used as facade [...] Read more.
Modular steel buildings represent a structural system distinguished by rapid construction and environmental sustainability. The modular units and steel components of modular steel structures can be recycled, making this approach an important technology for sustainable development. Glass curtain walls, commonly used as facade systems in modern architecture, have recently appeared in several modular steel buildings. In this study, a seven-story model steel building is designed with a geometric scale factor of 1/9 to investigate its global and local safety in terms of seismic responses. Two glass curtain walls are installed on the seventh story of the model structure. A series of shaking table tests is conducted under varying seismic intensity levels (PGA = 0.035 g, 0.1 g, 0.22 g, 0.31 g). The results show the acceleration responses at the top story are predominantly governed by the fundamental translational modes (first mode and second mode). A slight stiffness degradation of a ratio less than 8.0% appears after the tests. The modular steel structure exhibits a significant acceleration amplification effect under almost all examined load cases. The measured peak structural accelerations (PSAs) notably exceed the limitations specified in current codes. The finite element simulation has validated such amplification. In addition, compared to these global responses, the glass curtain walls exhibit even higher PSAs, making them more vulnerable than the main steel frame. Therefore, the unfavorable seismic performance of modular steel buildings is manifested, and more attention needs to be paid to their design principles. Full article
Show Figures

Figure 1

13 pages, 1205 KB  
Article
Analytical Type-Curve Method for Hydraulic Parameter Estimation in Leaky Confined Aquifers with Fully Enclosed Rectangular Cutoff Walls
by Jing Fu, Yan Wang, Xiaojin Xiao, Huiming Lin and Qinggao Feng
Water 2025, 17(20), 2972; https://doi.org/10.3390/w17202972 - 15 Oct 2025
Viewed by 610
Abstract
In deep excavation dewatering engineering, fully enclosed cutoff walls are widely implemented to improve the efficiency of dewatering in the pit and prevent adverse environmental impacts such as land subsidence and damage to adjacent infrastructure. However, the presence of such impermeable barriers fundamentally [...] Read more.
In deep excavation dewatering engineering, fully enclosed cutoff walls are widely implemented to improve the efficiency of dewatering in the pit and prevent adverse environmental impacts such as land subsidence and damage to adjacent infrastructure. However, the presence of such impermeable barriers fundamentally alters flow dynamics, rendering conventional aquifer test interpretation methods inadequate. This study presents a novel closed-form analytical solution for transient drawdown in a leaky confined aquifer bounded by a rectangular, fully enclosed cutoff wall under constant-rate pumping. The solution is rigorously derived by applying the mirror image method within a superposition framework, explicitly accounting for the barrier effect of the curtain. A type-curve matching methodology is developed to inversely estimate key aquifer parameters—transmissivity, storativity, and vertical leakage coefficient—while incorporating the geometric and boundary effects of the curtain. The approach is validated against field data from a pumping test conducted at a deep excavation site in Wuhan, China. Excellent agreement is observed between predicted and measured drawdowns across multiple observation points, confirming the model’s fidelity. The proposed solution and parameter estimation technique provide a physically consistent, analytically tractable, and computationally efficient framework for interpreting pumping tests in constrained aquifer systems, thereby improving predictive reliability in dewatering design and supporting sustainable groundwater management in urban underground construction. Full article
(This article belongs to the Special Issue Advances in Water Related Geotechnical Engineering)
Show Figures

Figure 1

26 pages, 12151 KB  
Article
Toward Automatic 3D Model Reconstruction of Building Curtain Walls from UAV Images Based on NeRF and Deep Learning
by Zeyu Li, Qian Wang, Hongzhe Yue and Xiang Nie
Remote Sens. 2025, 17(19), 3368; https://doi.org/10.3390/rs17193368 - 5 Oct 2025
Cited by 2 | Viewed by 1332
Abstract
The Automated Building Information Modeling (BIM) reconstruction of existing building curtain walls is crucial for promoting digital Operation and Maintenance (O&M). However, existing 3D reconstruction technologies are mainly designed for general architectural scenes, and there is currently a lack of research specifically focused [...] Read more.
The Automated Building Information Modeling (BIM) reconstruction of existing building curtain walls is crucial for promoting digital Operation and Maintenance (O&M). However, existing 3D reconstruction technologies are mainly designed for general architectural scenes, and there is currently a lack of research specifically focused on the BIM reconstruction of curtain walls. This study proposes a BIM reconstruction method from unmanned aerial vehicle (UAV) images based on neural radiance field (NeRF) and deep learning-based semantic segmentation. The proposed method compensates for the lack of semantic information in traditional NeRF methods and could fill the gap in the automatic reconstruction of semantic models for curtain walls. A comprehensive high-rise building is selected as a case study to validate the proposed method. The results show that the overall accuracy (OA) for semantic segmentation of curtain wall point clouds is 71.8%, and the overall dimensional error of the reconstructed BIM model is less than 0.1m, indicating high modeling accuracy. Additionally, this study compares the proposed method with photogrammetry-based reconstruction and traditional semantic segmentation methods to further validate its effectiveness. Full article
(This article belongs to the Section AI Remote Sensing)
Show Figures

Figure 1

21 pages, 6779 KB  
Article
Reinforcement Learning-Enabled Adaptive Control for Climate-Responsive Kinetic Building Facades
by Zhuorui Li, Jinzhao Tian, Guanzhou Ji, Tiffany Cheng, Vivian Loftness and Xu Han
Buildings 2025, 15(16), 2977; https://doi.org/10.3390/buildings15162977 - 21 Aug 2025
Cited by 1 | Viewed by 1837
Abstract
As people spend most of their time indoors, the quality of the indoor lighting environment plays a crucial role in occupant health, mood, and productivity. While modern glazed curtain walls improve daylighting potential, they also heighten the risks of glare and associated solar [...] Read more.
As people spend most of their time indoors, the quality of the indoor lighting environment plays a crucial role in occupant health, mood, and productivity. While modern glazed curtain walls improve daylighting potential, they also heighten the risks of glare and associated solar heat gains that may result in occupant discomfort and overheating. To continuously ensure visual comfort while providing shading, kinetic responsive facades controlled by sensors and actuators can change the angles of the elements. Conventional control methods for shading devices mainly involve the unified control of each element. However, as each element of the kinetic responsive facade can be controlled independently, the number of potential control actions increases exponentially with the number of facade elements and possible angles. Traditional rule-based methods are challenging for handling this multi-objective high-dimensional control problem. This paper introduces a novel self-learning, real-time reinforcement learning (RL) controller that can interact with the environment to find a globally optimal control solution for each element in kinetic responsive facades, thereby meeting visual quality and shading goals. The configuration and workflow of the proposed RL controller are introduced and tested vertically, diagonally, and radially folding responsive facades. The results demonstrate that the proposed RL controller effectively maintains horizontal and vertical illuminance, with 72.92% of test points in occupied spaces falling within the defined comfort range. Additionally, it keeps the daylight glare probability (DGP) below 0.35, a level generally considered imperceptible. Full article
(This article belongs to the Section Building Energy, Physics, Environment, and Systems)
Show Figures

Figure 1

32 pages, 7126 KB  
Article
Switchable Building-Integrated Photovoltaic–Thermal Curtain Wall for Building Integration
by Masoud Valinejadshoubi, Anna-Maria Sigounis, Andreas K. Athienitis and Ashutosh Bagchi
Processes 2025, 13(8), 2512; https://doi.org/10.3390/pr13082512 - 9 Aug 2025
Cited by 1 | Viewed by 1074
Abstract
This study presents a novel switchable multi-inlet Building integrated photovoltaic/thermal (BIPV/T) curtain wall system designed to enhance solar energy utilization in commercial buildings. The system integrates controllable air inlets and motorized dampers that dynamically adjust airflow patterns in response to real-time environmental conditions [...] Read more.
This study presents a novel switchable multi-inlet Building integrated photovoltaic/thermal (BIPV/T) curtain wall system designed to enhance solar energy utilization in commercial buildings. The system integrates controllable air inlets and motorized dampers that dynamically adjust airflow patterns in response to real-time environmental conditions such as solar irradiance, ambient air temperature, and PV panel temperature. A steady-state energy balance model, developed using a thermal network analogy and implemented in Python, was used to simulate winter operation in Montréal, Canada. Three operating modes with different air inlet configurations were assessed to evaluate system performance across variable air velocities and solar conditions. Results indicate that the switchable system improves combined thermal and electrical generation by 2% to 25% compared to fixed one- or two-inlet systems. Under low irradiance and air velocity, one-inlet operation is dominant, while higher solar gain and airflow favor two-inlet configurations. The system demonstrates effective temperature control and enhanced energy yield through optimized airflow management. This work highlights the potential of integrated control strategies and modular façade design in improving the efficiency of solar building envelope systems and offers practical implications for scalable deployment in energy-efficient, heating-dominated climates. Full article
(This article belongs to the Special Issue Design and Optimisation of Solar Energy Systems)
Show Figures

Figure 1

30 pages, 6787 KB  
Article
Modeling Ontology-Based Decay Analysis and HBIM for the Conservation of Architectural Heritage: The Big Gate and Adjacent Curtain Walls in Ibb, Yemen
by Basema Qasim Derhem Dammag, Dai Jian, Abdulkarem Qasem Dammag, Yahya Alshawabkeh, Sultan Almutery, Amer Habibullah and Ahmad Baik
Buildings 2025, 15(15), 2795; https://doi.org/10.3390/buildings15152795 - 7 Aug 2025
Cited by 1 | Viewed by 1069
Abstract
The conservation of architectural heritage (AH) in regions threatened by natural and human-induced factors requires interdisciplinary approaches that integrate physical documentation with semantic modeling. This study introduces a comprehensive framework combining Historic Building Information Modeling (HBIM) with ontology-based modeling aligned with the CIDOC [...] Read more.
The conservation of architectural heritage (AH) in regions threatened by natural and human-induced factors requires interdisciplinary approaches that integrate physical documentation with semantic modeling. This study introduces a comprehensive framework combining Historic Building Information Modeling (HBIM) with ontology-based modeling aligned with the CIDOC Conceptual Reference Model (CIDOC CRM). Focusing on the Big Gate and adjacent curtain walls in Ibb, Yemen, where the gate is entirely lost, the study reconstructs the structure using historical photographs, eyewitness accounts, and analogical references. The methodology incorporates UAV and terrestrial photogrammetry surveys, point cloud generation, and semantic enrichment using Autodesk Revit V. 2024 and Protégé V. 5.5. Decay phenomena such as cracks, efflorescence, and disintegration were ontologically classified and spatially linked to the HBIM model, revealing deterioration patterns concerning historical phases and environmental exposure. The resulting system enables dynamic documentation, facilitates strategic conservation planning, and enhances data interoperability across heritage platforms. The proposed framework is transferable to other heritage sites, supporting both the conservation of extant structures and the reconstruction of lost ones. Full article
(This article belongs to the Special Issue BIM Methodology and Tools Development/Implementation)
Show Figures

Figure 1

22 pages, 5839 KB  
Article
Fire Safety of Curtain Walling: Evidence-Based Critical Review and New Test Configuration Proposal for EN 1364-4
by Arritokieta Eizaguirre-Iribar, Raya Stoyanova Trifonova, Peter Ens and Xabier Olano-Azkune
Fire 2025, 8(8), 311; https://doi.org/10.3390/fire8080311 - 6 Aug 2025
Viewed by 4523
Abstract
This article focuses on the fire safety risks associated with conventional glass–aluminum façades—with a particular focus on stick and unitized curtain walling systems—providing an overview of possible fire spread mechanisms, considering the role of the curtain wall in maintaining compartmentation at the spandrel [...] Read more.
This article focuses on the fire safety risks associated with conventional glass–aluminum façades—with a particular focus on stick and unitized curtain walling systems—providing an overview of possible fire spread mechanisms, considering the role of the curtain wall in maintaining compartmentation at the spandrel zone. First, it analyzes some of the relevant requirements of different European building regulations. Then, it provides a test evidence-based critical analysis of the gaps and loopholes in the relevant fire resistance standard for partial curtain wall configurations (EN 1364-4), where the evaluation of the propagation within the façade system is not necessarily considered in the fire-resistant spandrel zone. Finally, it presents a proposal for addressing these gaps in the form of a theoretical concept for a new test configuration and additional assessment criteria. This is followed by an initial experimental analysis of the concept. The standard testing campaign showed that temperature rise in mullions can exceed 180 °C after 30 min if limiting measures are not considered in the façade design. However, this can be only detected if framing is in the non-exposed area of the sample, being part of the evaluation surface. Meanwhile, differences are detected between the results from standard and new assessment criteria in the new configuration proposed, including a more rapid temperature rise for framing elements (207 K in a second level mullion at minute 90) than for the common non-exposed assessment surface of the sample (172 K at the same time) in cases where cavities are not protected. Accordingly, the proposed configuration successfully detected vertical temperature transfer within mullions, which can remain undetected in standard EN 1364-4 tests, highlighting the potential for fire spread even in EI120-rated assemblies. Full article
Show Figures

Figure 1

17 pages, 1742 KB  
Article
Assessment of Aerodynamic Properties of the Ventilated Cavity in Curtain Wall Systems Under Varying Climatic and Design Conditions
by Nurlan Zhangabay, Aizhan Zhangabay, Kenzhebek Akmalaiuly, Akmaral Utelbayeva and Bolat Duissenbekov
Buildings 2025, 15(15), 2637; https://doi.org/10.3390/buildings15152637 - 25 Jul 2025
Cited by 1 | Viewed by 905
Abstract
Creating a comfortable microclimate in the premises of buildings is currently becoming one of the priorities in the field of architecture, construction and engineering systems. The increased attention from the scientific community to this topic is due not only to the desire to [...] Read more.
Creating a comfortable microclimate in the premises of buildings is currently becoming one of the priorities in the field of architecture, construction and engineering systems. The increased attention from the scientific community to this topic is due not only to the desire to ensure healthy and favorable conditions for human life but also to the need for the rational use of energy resources. This area is becoming particularly relevant in the context of global challenges related to climate change, rising energy costs and increased environmental requirements. Practice shows that any technical solutions to ensure comfortable temperature, humidity and air exchange in rooms should be closely linked to the concept of energy efficiency. This allows one not only to reduce operating costs but also to significantly reduce greenhouse gas emissions, thereby contributing to sustainable development and environmental safety. In this connection, this study presents a parametric assessment of the influence of climatic and geometric factors on the aerodynamic characteristics of the air cavity, which affect the heat exchange process in the ventilated layer of curtain wall systems. The assessment was carried out using a combined analytical calculation method that provides averaged thermophysical parameters, such as mean air velocity (Vs), average internal surface temperature (tin.sav), and convective heat transfer coefficient (αs) within the air cavity. This study resulted in empirical average values, demonstrating that the air velocity within the cavity significantly depends on atmospheric pressure and façade height difference. For instance, a 10-fold increase in façade height leads to a 4.4-fold increase in air velocity. Furthermore, a three-fold variation in local resistance coefficients results in up to a two-fold change in airflow velocity. The cavity thickness, depending on atmospheric pressure, was also found to affect airflow velocity by up to 25%. Similar patterns were observed under ambient temperatures of +20 °C, +30 °C, and +40 °C. The analysis confirmed that airflow velocity is directly affected by cavity height, while the impact of solar radiation is negligible. However, based on the outcomes of the analytical model, it was concluded that the method does not adequately account for the effects of solar radiation and vertical temperature gradients on airflow within ventilated façades. This highlights the need for further full-scale experimental investigations under hot climate conditions in South Kazakhstan. The findings are expected to be applicable internationally to regions with comparable climatic characteristics. Ultimately, a correct understanding of thermophysical processes in such structures will support the advancement of trends such as Lightweight Design, Functionally Graded Design, and Value Engineering in the development of curtain wall systems, through the optimized selection of façade configurations, accounting for temperature loads under specific climatic and design conditions. Full article
(This article belongs to the Section Building Energy, Physics, Environment, and Systems)
Show Figures

Figure 1

20 pages, 5957 KB  
Article
Plasticity and Fracture Behavior of High-Strength Bolts Considering Steel Shear Behavior
by Yajun Zhang, Longteng Liang, Jian Zhu and Ruilin Zhang
Buildings 2025, 15(14), 2430; https://doi.org/10.3390/buildings15142430 - 10 Jul 2025
Viewed by 881
Abstract
The accurate description of plasticity and fracture behavior is essential in numerically investigating the mechanical responses of high-strength bolts under tension, shear and coupling loads. However, based on the von Mises criterion, inputting the constitutive relation and damage model from the tensile coupon [...] Read more.
The accurate description of plasticity and fracture behavior is essential in numerically investigating the mechanical responses of high-strength bolts under tension, shear and coupling loads. However, based on the von Mises criterion, inputting the constitutive relation and damage model from the tensile coupon test into the finite element method cannot properly predict the shear behavior of high-strength bolts. Cylindrical tensile coupons and shear specimens of common and weathering high-strength bolts are tested to obtain the complete tensile and shear responses. The combined S-V model and the modified shear constitutive model are collaboratively used to calibrate and describe the tensile and shear constitutive relations of high-strength bolts, and then the Bao–Wierzbicki model is used to predict the tensile and shear fracture behaviors. Furthermore, the collaborating method is used to discuss the applicable range of tensile and shear constitutive models for high-strength bolts under a tensile–shear coupling load, based on numerical analysis against available experimental data in the literature. The loading angle of 30° along the bolt rod is defined as the cut-off to differentiate high-strength bolts under a tensile- or shear-dominated state, and the corresponding mechanical responses of high-strength bolts can be predicted well based on the tensile and shear constitutive models, respectively. Full article
Show Figures

Figure 1

22 pages, 4251 KB  
Article
Application of Curtain Grouting for Seepage Control in the Dongzhuang Dam: A 3D Fracture Network Modeling Approach
by Ning Xia, Wen Nie, Zhenjia Yang, Yang Wu and Tuo Li
Buildings 2025, 15(14), 2415; https://doi.org/10.3390/buildings15142415 - 10 Jul 2025
Viewed by 845
Abstract
This study presents a 3D fracture network modeling approach for designing curtain grouting systems in building foundations, utilizing geological mapping data from the Dongzhuang Project. A one-dimensional Markov chain model is applied to simulate the transitions in fracture density, while fracture orientation and [...] Read more.
This study presents a 3D fracture network modeling approach for designing curtain grouting systems in building foundations, utilizing geological mapping data from the Dongzhuang Project. A one-dimensional Markov chain model is applied to simulate the transitions in fracture density, while fracture orientation and size are characterized using Fisher and statistical distribution models. To enhance the prediction accuracy, a correction method is introduced to refine the transition matrices. The model’s reliability is validated using tunnel wall fracture data and borehole detection, demonstrating strong agreement in both trend and magnitude. In under 100,000 simulations, when the allowable absolute error is set to 1, the optimal accuracy can reach 80%. Reliability analysis confirms the robustness of the approach, with 99.91% of predictions within a ± 2 error margin. The final fracture network model effectively captures spatial heterogeneity and fracture penetration across various foundation layers; the spatial distribution density index of fractures can provide a reference basis for optimizing the layout of impermeable curtains in complex geological conditions. This integrated modeling approach offers a reliable tool for improving grouting strategies in building foundation projects and other civil infrastructure. Full article
Show Figures

Figure 1

20 pages, 2551 KB  
Article
Theoretical Study on Impact of Solar Radiation Heat Gain on Thermal Comfort and Energy Efficiency in Glass Curtain Wall Buildings Based on PMV Index
by Haoyu Chen, Jinzhe Nie, Yuzhe Liu and Yuelin Li
Buildings 2025, 15(13), 2228; https://doi.org/10.3390/buildings15132228 - 25 Jun 2025
Cited by 2 | Viewed by 3731
Abstract
With rapid global urbanization, glass curtain wall buildings have been widely adopted due to aesthetics and natural lighting. However, during summer time, intense solar radiation leads to significant indoor heat gain, which adversely affect thermal comfort and energy efficiency. The conventional air conditioning [...] Read more.
With rapid global urbanization, glass curtain wall buildings have been widely adopted due to aesthetics and natural lighting. However, during summer time, intense solar radiation leads to significant indoor heat gain, which adversely affect thermal comfort and energy efficiency. The conventional air conditioning systems are typically equipped with a cooling capacity sufficient to maintain an indoor air temperature at the design values specified in the Design standard for energy efficiency of public buildings, which fails to account for the effects of radiation temperature, potentially resulting in reduced thermal comfort and energy inefficiency. By integrating the Thermal Comfort Tool to calculate the PMV index, this study evaluates the affection of solar heat gain on indoor occupants’ thermal comfort and proposes an optimized air temperature control strategy to realize thermal comfort. Based on the dynamic air temperature strategy, an energy consumption model is developed to evaluate the affection of solar radiation on energy consumption for glass curtain wall buildings based on the PMV index. The synergistic effects of shading measures are then evaluated. This study conducts simulation analysis using an office building with a glass curtain wall located in Beijing as a case study. When accounting for radiant heat gain, a significant portion of the time (53.89%) fall outside the thermal comfort range, even when the air conditioning is set to the designated temperature. To maintain thermal comfort, the air conditioning temperature must be lowered by 1.4–3.5 °C, resulting in a 28.08% increase in energy consumption. To address this issue, this study finds that installing interior shading can reduce radiant heat gain. Under the same thermal comfort conditions, the required air temperature reduction is only 0.8–2.1 °C, leading to a 24.26% reduction in energy consumption compared to the case without interior shading. Full article
Show Figures

Figure 1

Back to TopTop