Sign in to use this feature.

Years

Between: -

Subjects

remove_circle_outline
remove_circle_outline
remove_circle_outline
remove_circle_outline
remove_circle_outline
remove_circle_outline

Journals

Article Types

Countries / Regions

Search Results (20)

Search Parameters:
Keywords = courant number

Order results
Result details
Results per page
Select all
Export citation of selected articles as:
21 pages, 34821 KB  
Article
The Study and Application of Quadrilateral Space-Time Absolute Nodal Coordinate Formulation Cable Element
by Dekun Chen, Jia Feng, Naidan Hou and Zhou Huang
Machines 2025, 13(12), 1112; https://doi.org/10.3390/machines13121112 - 2 Dec 2025
Viewed by 312
Abstract
The construction of a high-order shape function is a key and difficulty for unstructured grid mesh and sliding boundary problems. In this paper, a construction method of space-time absolute nodal coordinate formulation quadrilateral cable (SACQ) is proposed, and the accuracy of the SACQ [...] Read more.
The construction of a high-order shape function is a key and difficulty for unstructured grid mesh and sliding boundary problems. In this paper, a construction method of space-time absolute nodal coordinate formulation quadrilateral cable (SACQ) is proposed, and the accuracy of the SACQ element is studied and verified with three different applications. First, the shape function of SACQ is constructed with spatiotemporal reduction coordinates, and the action integral of SACQ is composed with the Lagrangian function and discrete with perspective transformation. Second, the numerical convergence region is discussed and determined with the Courant number. Furthermore, a space-time nodal dislocation and its relation with the Courant number are studied. The simulation and verification are focusing on some realistic problems. Finally, a one-sided impact, a free-flexible pendulum, a taut string with a sliding boundary and a deployable guyed mast under an impact transverse wave are simulated. In these problems, an unstructured grid meshed with SACQ has similar energy convergence and accuracy to a structured grid but shows better efficiency. Full article
(This article belongs to the Section Advanced Manufacturing)
Show Figures

Figure 1

18 pages, 9431 KB  
Article
Modeling Hydraulic Transient Process in Long-Distance Water Transfer Systems Using a MUSCL-Type FVM Approach
by Yifei Li and Jijian Lian
Water 2025, 17(16), 2480; https://doi.org/10.3390/w17162480 - 20 Aug 2025
Viewed by 974
Abstract
To gain deeper insights into the influence of pipe parameters on water hammer properties and achieve the accurate simulation of the hydraulic transient process in pipeline systems, the Finite Volume Method (FVM) is adopted. The solution scheme, incorporating a second-order MUSCL-type reconstruction, is [...] Read more.
To gain deeper insights into the influence of pipe parameters on water hammer properties and achieve the accurate simulation of the hydraulic transient process in pipeline systems, the Finite Volume Method (FVM) is adopted. The solution scheme, incorporating a second-order MUSCL-type reconstruction, is derived, and the numerical solution process is detailed. For enhanced accuracy, the unsteady friction term is included in the numerical solution of the governing water hammer equations. The method is validated through a comparison with experimental data and the verification of mesh and Courant number independence, confirming both its efficiency and accuracy. The calculation error of the peak water head is less than 5%. Finally, an engineering case is studied to investigate valve arrangement and operation. Optimization yields the optimal valve position and operating parameters. This analysis provides valuable reference for pipeline system design. Full article
(This article belongs to the Section Hydraulics and Hydrodynamics)
Show Figures

Figure 1

28 pages, 7273 KB  
Article
Comparative Study on Flux Solution Methods of Discrete Unified Gas Kinetic Scheme
by Wenqiang Guo
Entropy 2025, 27(5), 528; https://doi.org/10.3390/e27050528 - 15 May 2025
Viewed by 773
Abstract
In this work, the Simpson method is proposed to calculate the interface flux of a discrete unified gas kinetic scheme (DUGKS) according to the distribution function at the node and the midpoint of the interface, which is noted by Simpson–DUGKS. Moreover, the optimized [...] Read more.
In this work, the Simpson method is proposed to calculate the interface flux of a discrete unified gas kinetic scheme (DUGKS) according to the distribution function at the node and the midpoint of the interface, which is noted by Simpson–DUGKS. Moreover, the optimized DUGKS and Simpson–DUGKS considering the force term are derived. Then, the original DUGKS, optimized DUGKS, and Simpson–DUGKS are compared and analyzed in theory. Finally, the numerical tests are performed under different grid numbers (N). In the steady unidirectional flow (Couette flow and Poiseuille flow), the three methods are stable under different Courant–Friedrichs–Lewy (CFL) numbers, and the calculated L2 errors are the same. In the Taylor–Green vortex flow, the L2 error of the optimized DUGKS is the smallest with respect to the analytical solution of velocity, but the L2 error of the optimized DUGKS is the largest with respect to the analytical solution of density. In the lid-driven cavity flow, the results of the optimized DUGKS deviate more from the reference results in terms of accuracy, especially in the case of a small grid number. In terms of computational efficiency, it should be noted that the computational time of optimized DUGKS increases by about 40% compared with the original DUGKS when CFL = 0.1 and N = 16, and the calculation time of Simpson–DUGKS is reduced by about 59% compared with the original DUGKS when CFL = 0.95 and N = 16. Full article
(This article belongs to the Special Issue Mesoscopic Fluid Mechanics)
Show Figures

Figure 1

14 pages, 3387 KB  
Article
Numerical Dissipation Compensation in Liquid Column Separation: An Improved DVCM Approach
by Wenhao Chen, Jianqun Jiang, Zhihong Long, Liyun Peng, Yonghong Jiang and Weiping Cheng
Water 2025, 17(6), 805; https://doi.org/10.3390/w17060805 - 11 Mar 2025
Cited by 1 | Viewed by 674
Abstract
Accurate water hammer mitigation simulation is crucial for designing and protecting pipeline systems. This study draws on the principles of the Muskingum method to develop an improved discrete vaporous cavity model (DVCM) that enhances computational accuracy. The key improvements include significantly reducing numerical [...] Read more.
Accurate water hammer mitigation simulation is crucial for designing and protecting pipeline systems. This study draws on the principles of the Muskingum method to develop an improved discrete vaporous cavity model (DVCM) that enhances computational accuracy. The key improvements include significantly reducing numerical dissipation by optimizing the Courant number (Cn) and adjusting the friction coefficient (f) to balance numerical and physical dissipation. Specifically, the predictive accuracy of the node water head was improved by 69.93%, and the accuracy of the liquid–column separation time was enhanced by 77.21%. These enhancements were achieved by proposing an equivalent treatment method for numerical and physical dissipation, ensuring that the model’s total dissipation matches actual physical conditions. The validation process involved simulating the liquid column separation process using data from the Simpson experiment. The results demonstrated a high degree of consistency with the experimental data, confirming the effectiveness of the proposed method. Full article
(This article belongs to the Section Hydraulics and Hydrodynamics)
Show Figures

Figure 1

15 pages, 7022 KB  
Article
Optimization Design for Support Points of the Body-Mounted Solar Panel
by Qingwu Liu, Jisong Yu, Zhenjia Wang, Hao Cheng, Shanbo Chen and Lei Zhang
Aerospace 2025, 12(1), 6; https://doi.org/10.3390/aerospace12010006 - 25 Dec 2024
Cited by 1 | Viewed by 1224
Abstract
Body-mounted solar panels are extensively utilized in satellite construction due to their simple structure and robust vibration resistance. The quantity and arrangement of support points on the body-mounted solar panel significantly affect its natural frequency. Thus, the design of these support points is [...] Read more.
Body-mounted solar panels are extensively utilized in satellite construction due to their simple structure and robust vibration resistance. The quantity and arrangement of support points on the body-mounted solar panel significantly affect its natural frequency. Thus, the design of these support points is a crucial aspect of the design process for body-mounted solar panels. This study presents a method for determining the support points of body-mounted solar panels, enabling rapid and precise identification of the quantity and positioning of these points based on the stated natural frequency in the design. First, a new algorithm is proposed, based on the finite element method, to optimize the positioning of support points on the body-mounted solar panel without the need for remeshing. Utilizing this algorithm, the distinct impacts of support point positioning and stiffness on the natural frequency of the solar panel are investigated, and the practical principles are proposed for quickly and accurately identifying the optimal locations of support points to maximize the natural frequency of the solar panel, given a predetermined number of support points. Subsequently, based on Courant–Fischer’s theorem, a method to ascertain the least quantity of support points through two modal analyses is presented. By integrating the aforementioned principles and method, a two-step procedure for identifying the quantity and positioning of support points is developed. Ultimately, the proposed two-step procedure is implemented in the design of the solar panel of the Jilin-1XXX satellite. The modal test reveals that the natural frequency of the solar panel surpasses the design index criteria, hence validating the efficacy and feasibility of the optimal design technique for the support points of the body-mounted solar panel presented in this study. Full article
(This article belongs to the Section Astronautics & Space Science)
Show Figures

Figure 1

12 pages, 1498 KB  
Article
MOC-Z Model of Transient Cavitating Flow in Viscoelastic Pipe
by Giuseppe Pezzinga
Water 2024, 16(11), 1610; https://doi.org/10.3390/w16111610 - 4 Jun 2024
Cited by 1 | Viewed by 1809
Abstract
In this paper, a unitary method for the solution of transient cavitating flow in viscoelastic pipes is proposed in the framework of the method of characteristics (MOC) and a Z-mirror numerical scheme (MOC-Z model). Assuming a standard form of the continuity equation allows [...] Read more.
In this paper, a unitary method for the solution of transient cavitating flow in viscoelastic pipes is proposed in the framework of the method of characteristics (MOC) and a Z-mirror numerical scheme (MOC-Z model). Assuming a standard form of the continuity equation allows the unified treatment of both viscoelasticity and cavitation. An extension of the MOC-Z is used for Courant numbers less than 1 to overcome a few cases with numerical instabilities. Four viscoelastic models were considered: a Kelvin–Voigt (KV) model without the instantaneous strain, and three generalised Kelvin–Voigt models with one, two, and three KV elements (GKV1, GKV2, and GKV3, respectively). The use of viscoelastic parameters of KV and GKV models calibrated for transient flow tests without cavitation allows good comparisons between experimental and numerical pressure versus time for transient tests with cavitation. Whereas for tests without cavitation, the mean absolute error (MAE) always decreases when the complexity of the model increases (from KV to GKV1, GKV2, and GKV3) for all the considered tests, this does not happen for tests with cavitation, probably because the decreasing capacity of parameter generalization for the increasing complexity of the model. In particular, in the examined cases, the KV model performs better than the GKV1 and the GKV3 models in three cases out of five, and the GKV2 model performs better than the GKV3 model in three cases out of five. Furthermore, the GKV2 model performs better than the KV model only in three cases out of five. Full article
Show Figures

Figure 1

25 pages, 7881 KB  
Article
Axial Groundwater Contaminant Dispersion Modeling for a Finite Heterogeneous Porous Medium
by Rashmi Radha and Mritunjay Kumar Singh
Water 2023, 15(14), 2676; https://doi.org/10.3390/w15142676 - 24 Jul 2023
Cited by 3 | Viewed by 2646
Abstract
In this study, a two-dimensional contaminant transport model with time-varying axial input sources subject to non-linear sorption, decay, and production is numerically solved to find the concentration distribution profile in a heterogeneous, finite soil medium. The axial input sources are assigned on the [...] Read more.
In this study, a two-dimensional contaminant transport model with time-varying axial input sources subject to non-linear sorption, decay, and production is numerically solved to find the concentration distribution profile in a heterogeneous, finite soil medium. The axial input sources are assigned on the coordinate axes of the soil medium, with background sources varying sinusoidally with space. The groundwater velocities are considered space-dependent in the longitudinal and transversal directions. Various forms of axial input sources are considered to study their transport patterns in the medium. The alternating direction implicit (ADI) and Crank-Nicolson (CN) methods are applied to approximate the two-dimensional governing equation, and the obtained algebraic system of equations in each case is further solved by MATLAB scripts. Both approximate solutions are illustrated graphically for various hydrological input data. The influence of various hydrogeological input parameters, such as the medium’s porosity, density, sorption conditions, dispersion coefficients, etc., on the contaminant distribution is analyzed. Further, the influence of constant and varying velocity parameters on groundwater contaminant transport is studied. The stability of the proposed model is tested using the Peclet and Courant numbers. Substantial similarity is observed when the approximate solution obtained using the CN method is compared with the finite element method in a special case. The proposed approximate solution is compared with the existing numerical solutions, and an overall agreement of 98–99% is observed between them. Finally, the stability analysis reveals that the model is stable and robust. Full article
(This article belongs to the Special Issue Groundwater Modeling and Groundwater Contamination)
Show Figures

Figure 1

19 pages, 4592 KB  
Article
Finite Volume Method for Modeling the Load-Rejection Process of a Hydropower Plant with an Air Cushion Surge Chamber
by Jianwei Lu, Guoying Wu, Ling Zhou and Jinyuan Wu
Water 2023, 15(4), 682; https://doi.org/10.3390/w15040682 - 9 Feb 2023
Cited by 4 | Viewed by 2652
Abstract
The pipe systems of hydropower plants are complex and feature special pipe types and various devices. When the Method of Characteristics (MOC) is used, interpolation or wave velocity adjustment is required, which may introduce calculation errors. The second-order Finite Volume Method (FVM) was [...] Read more.
The pipe systems of hydropower plants are complex and feature special pipe types and various devices. When the Method of Characteristics (MOC) is used, interpolation or wave velocity adjustment is required, which may introduce calculation errors. The second-order Finite Volume Method (FVM) was presented to simulate water hammer and the load-rejection process of a hydropower plant with an air cushion surge chamber, which has rarely been considered before. First, the governing equations were discretized by FVM and the flux was calculated by a Riemann solver. A MINMOD slope limiter was introduced to avoid false oscillation caused by data reconstruction. The virtual boundary strategy was proposed to simply and effectively handle the complicated boundary problems between the pipe and the various devices, and to unify the internal pipeline and boundary calculations. FVM results were compared with MOC results, exact solutions, and measured values, and the sensitivity analysis was conducted. When the Courant number was equal to 1, the results of FVM and MOC were consistent with the exact solution. When the Courant number was less than 1, compared with MOC, the second-order FVM results were more accurate with less numerical dissipation. As the Courant number gradually decreased, the second-order FVM simulations were more stable. For the given numerical accuracy, second-order FVM had higher computational efficiency. The simulations of load rejection showed that compared with the MOC results, the second-order FVM calculations were closer to the measured values. For hydropower plants with complex pipe systems, wave velocity or the Courant number should be adjusted during MOC calculation, resulting in calculation error, and the error value is related to the parameters of the air cushion surge chamber (initial water depth, air cushion height, etc.). The second-order FVM can more accurately, stably, and efficiently simulate the load-rejection process of hydropower plants compared with MOC. Full article
(This article belongs to the Special Issue About an Important Phenomenon—Water Hammer)
Show Figures

Figure 1

16 pages, 5895 KB  
Article
Parallel Accelerated Fifth-Order WENO Scheme-Based Pipeline Transient Flow Solution Model
by Tiexiang Mo and Guodong Li
Appl. Sci. 2022, 12(14), 7350; https://doi.org/10.3390/app12147350 - 21 Jul 2022
Cited by 2 | Viewed by 2373
Abstract
The water hammer phenomenon is the main problem in long-distance pipeline networks. The MOC (Method of characteristics) and finite difference methods lead to severe constraints on the mesh and Courant number, while the finite volume method of the second-order Godunov scheme has limited [...] Read more.
The water hammer phenomenon is the main problem in long-distance pipeline networks. The MOC (Method of characteristics) and finite difference methods lead to severe constraints on the mesh and Courant number, while the finite volume method of the second-order Godunov scheme has limited intermittent capture capability. These methods will produce severe numerical dissipation, affecting the computational efficiency at low Courant numbers. Based on the lax-Friedrichs flux splitting method, combined with the upstream and downstream virtual grid boundary conditions, this paper uses the high-precision fifth-order WENO scheme to reconstruct the interface flux and establishes a finite volume numerical model for solving the transient flow in the pipeline. The model adopts the GPU parallel acceleration technology to improve the program’s computational efficiency. The results show that the model maintains the excellent performance of intermittent excitation capture without spurious oscillations even at a low Courant number. Simultaneously, the model has a high degree of flexibility in meshing due to the high insensitivity to the Courant number. The number of grids in the model can be significantly reduced and higher computational efficiency can be obtained compared with MOC and the second-order Godunov scheme. Furthermore, this paper analyzes the acceleration effect in different grids. Accordingly, the acceleration effect of the GPU technique increases significantly with the increase in the number of computational grids. This model can support efficient and accurate fast simulation and prediction of non-constant transient processes in long-distance water pipeline systems. Full article
(This article belongs to the Special Issue Applied Hydrodynamics)
Show Figures

Figure 1

18 pages, 2891 KB  
Article
Narrow-Bandpass One-Step Leapfrog Hybrid Implicit-Explicit Algorithm with Convolutional Boundary Condition for Its Applications in Sensors
by Yangjing Wang, Yongjun Xie, Haolin Jiang and Peiyu Wu
Sensors 2022, 22(12), 4445; https://doi.org/10.3390/s22124445 - 12 Jun 2022
Cited by 7 | Viewed by 1973
Abstract
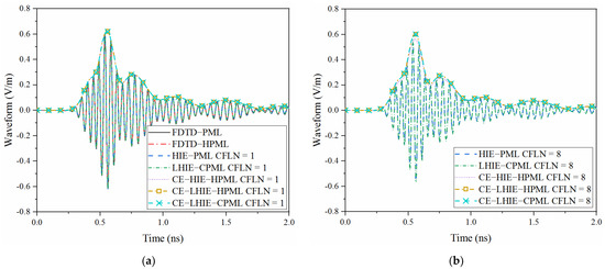
A large number of sensors work in the narrow bandpass circumstance. Meanwhile, some of them hold fine details merely along one and two dimensions. In order to efficiently simulate these sensors and devices, the one-step leapfrog hybrid implicit-explicit (HIE) algorithm with the complex [...] Read more.
A large number of sensors work in the narrow bandpass circumstance. Meanwhile, some of them hold fine details merely along one and two dimensions. In order to efficiently simulate these sensors and devices, the one-step leapfrog hybrid implicit-explicit (HIE) algorithm with the complex envelope (CE) method and absorbing boundary condition is proposed in the narrow bandpass circumstance. To be more precise, absorbing boundary condition is implemented by the higher order convolutional perfectly matched layer (CPML) formulation to further enhance the absorption during the entire simulation. Numerical examples and their experiments are carried out to further illustrate the effectiveness of the proposed algorithm. The results show considerable agreement with the experiment and theory resolution. The relationship between the time step and mesh size can break the Courant–Friedrichs–Levy condition which indicates the physical size/selection mesh size. Such a condition indicates that the proposed algorithm behaviors are considerably accurate due to the rational choice in discretized mesh. It also shows decrement in simulation duration and memory consumption compared with the other algorithms. In addition, absorption performance can be improved by employing the proposed higher order CPML algorithm during the whole simulation. Full article
(This article belongs to the Section Intelligent Sensors)
Show Figures

Figure 1

20 pages, 7199 KB  
Article
The Effects of a Morphed Trailing-Edge Flap on the Aeroacoustic and Aerodynamic Performance of a 30P30N Aerofoil
by Joseph Watkins and Abdessalem Bouferrouk
Acoustics 2022, 4(1), 248-267; https://doi.org/10.3390/acoustics4010015 - 3 Mar 2022
Cited by 11 | Viewed by 5947
Abstract
This paper presents initial results on the aeroacoustic and aerodynamic effects of morphing the trailing-edge flap of the 30P30N aerofoil, over five flap deflections (5–25°), at an 8° angle of attack and a Reynolds number of Re=9.2×105 [...] Read more.
This paper presents initial results on the aeroacoustic and aerodynamic effects of morphing the trailing-edge flap of the 30P30N aerofoil, over five flap deflections (5–25°), at an 8° angle of attack and a Reynolds number of Re=9.2×105. The Ffowcs-Williams–Hawkings acoustic analogy estimates the far-field noise, whilst the flow field is solved using URANS with the four-equation Transition SST model. Aerodynamic and aeroacoustic simulation data for the 30P30N’s full configuration compare well with experimental results. A Courant number (C) ≤ 1 should be used for resolving tonal noise, whilst a C of up to 4 is sufficient for broadband noise. Sound pressure level results show an average 11% reduction in broadband noise across all flap deflections and frequencies for the morphed configuration compared with the conventional, single-slotted flap. The morphed flap eliminates the multiple tonal peaks observed in the conventional design. Beyond 15° flap deflection, the morphing flap achieves higher stall angles, but with increased drag, leading to a maximum reduction of 17% in Cl/Cd ratio compared with the conventional flap. The methodology reported here for the 30P30N is a quick tool for initial estimates of the far-field noise and aerodynamic performance of a morphing flap at the design stage. Full article
Show Figures

Figure 1

15 pages, 1257 KB  
Article
Precise-Integration Time-Domain Formulation for Optical Periodic Media
by Joan Josep Sirvent-Verdú, Jorge Francés, Andrés Márquez, Cristian Neipp, Mariela Álvarez, Daniel Puerto, Sergi Gallego and Inmaculada Pascual
Materials 2021, 14(24), 7896; https://doi.org/10.3390/ma14247896 - 20 Dec 2021
Cited by 4 | Viewed by 2513
Abstract
A numerical formulation based on the precise-integration time-domain (PITD) method for simulating periodic media is extended for overcoming the Courant-Friedrich-Levy (CFL) limit on the time-step size in a finite-difference time-domain (FDTD) simulation. In this new method, the periodic boundary conditions are implemented, permitting [...] Read more.
A numerical formulation based on the precise-integration time-domain (PITD) method for simulating periodic media is extended for overcoming the Courant-Friedrich-Levy (CFL) limit on the time-step size in a finite-difference time-domain (FDTD) simulation. In this new method, the periodic boundary conditions are implemented, permitting the simulation of a wide range of periodic optical media, i.e., gratings, or thin-film filters. Furthermore, the complete tensorial derivation for the permittivity also allows simulating anisotropic periodic media. Numerical results demonstrate that PITD is reliable and even considering anisotropic media can be competitive compared to traditional FDTD solutions. Furthermore, the maximum allowable time-step size has been demonstrated to be much larger than that of the CFL limit of the FDTD method, being a valuable tool in cases in which the steady-state requires a large number of time-steps. Full article
Show Figures

Figure 1

17 pages, 347 KB  
Article
On Conditions for L2-Dissipativity of an Explicit Finite-Difference Scheme for Linearized 2D and 3D Barotropic Gas Dynamics System of Equations with Regularizations
by Alexander Zlotnik
Symmetry 2021, 13(11), 2184; https://doi.org/10.3390/sym13112184 - 16 Nov 2021
Cited by 2 | Viewed by 1835
Abstract
We deal with 2D and 3D barotropic gas dynamics system of equations with two viscous regularizations: so-called quasi-gas dynamics (QGD) and quasi-hydrodynamics (QHD) ones. The system is linearized on a constant solution with any velocity, and an explicit two-level in time and symmetric [...] Read more.
We deal with 2D and 3D barotropic gas dynamics system of equations with two viscous regularizations: so-called quasi-gas dynamics (QGD) and quasi-hydrodynamics (QHD) ones. The system is linearized on a constant solution with any velocity, and an explicit two-level in time and symmetric three-point in each spatial direction finite-difference scheme on the uniform rectangular mesh is considered for the linearized system. We study L2-dissipativity of solutions to the Cauchy problem for this scheme by the spectral method and present a criterion in the form of a matrix inequality containing symbols of symmetric matrices of convective and regularizing terms. Analyzing these inequality and matrices, we also derive explicit sufficient conditions and necessary conditions in the Courant-type form which are rather close to each other. For the QHD regularization, such conditions are derived for the first time in 2D and 3D cases, whereas, for the QGD regularization, they improve those that have recently been obtained. Explicit formulas for a scheme parameter that guarantee taking the maximal time step are given for these conditions. An important moment is a new choice of an “average” spatial mesh step ensuring the independence of the conditions from the ratios of the spatial mesh steps and, for the QGD regularization, from the Mach number as well. Full article
23 pages, 6701 KB  
Article
Statistical Uncertainty of DNS in Geometries without Homogeneous Directions
by Jure Oder, Cédric Flageul and Iztok Tiselj
Appl. Sci. 2021, 11(4), 1399; https://doi.org/10.3390/app11041399 - 4 Feb 2021
Cited by 6 | Viewed by 1887
Abstract
In this paper, we present uncertainties of statistical quantities of direct numerical simulations (DNS) with small numerical errors. The uncertainties are analysed for channel flow and a flow separation case in a confined backward facing step (BFS) geometry. The infinite channel flow case [...] Read more.
In this paper, we present uncertainties of statistical quantities of direct numerical simulations (DNS) with small numerical errors. The uncertainties are analysed for channel flow and a flow separation case in a confined backward facing step (BFS) geometry. The infinite channel flow case has two homogeneous directions and this is usually exploited to speed-up the convergence of the results. As we show, such a procedure reduces statistical uncertainties of the results by up to an order of magnitude. This effect is strongest in the near wall regions. In the case of flow over a confined BFS, there are no such directions and thus very long integration times are required. The individual statistical quantities converge with the square root of time integration so, in order to improve the uncertainty by a factor of two, the simulation has to be prolonged by a factor of four. We provide an estimator that can be used to evaluate a priori the DNS relative statistical uncertainties from results obtained with a Reynolds Averaged Navier Stokes simulation. In the DNS, the estimator can be used to predict the averaging time and with it the simulation time required to achieve a certain relative statistical uncertainty of results. For accurate evaluation of averages and their uncertainties, it is not required to use every time step of the DNS. We observe that statistical uncertainty of the results is uninfluenced by reducing the number of samples to the point where the period between two consecutive samples measured in Courant–Friedrichss–Levy (CFL) condition units is below one. Nevertheless, crossing this limit, the estimates of uncertainties start to exhibit significant growth. Full article
(This article belongs to the Special Issue Applications of Liquid Metals II)
Show Figures

Figure 1

17 pages, 792 KB  
Article
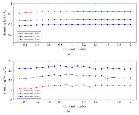
On the CFD Modelling of Slamming of the Metal Melt in High-Pressure Die Casting Involving Lost Cores
by Sebastian Kohlstädt, Michael Vynnycky and Stephan Goeke
Metals 2021, 11(1), 78; https://doi.org/10.3390/met11010078 - 1 Jan 2021
Cited by 8 | Viewed by 4331
Abstract
This paper uses computational fluid dynamics (CFD), in the form of the OpenFOAM software package, to investigate the forces on the salt core in high-pressure die casting (HPDC) when being exposed to the impact of the inflowing melt in the die filling stage, [...] Read more.
This paper uses computational fluid dynamics (CFD), in the form of the OpenFOAM software package, to investigate the forces on the salt core in high-pressure die casting (HPDC) when being exposed to the impact of the inflowing melt in the die filling stage, with particular respect to the moment of first impact—commonly known as slamming. The melt-air system is modelled via an Eulerian volume-of-fluid approach, treating the air as a compressible perfect gas. The turbulence is treated via a Reynolds-averaged Navier Stokes (RANS) approach. The RNG k-ε and the Menter SST k-ω models are both evaluated, with the use of the latter ultimately being adopted for batch computations. A study of the effect of the Courant number, with a view to establishing mesh independence, indicates that meshes which are finer, and time steps that are smaller, than those previously employed for HPDC simulations are required to capture the effect of slamming on the core properly, with respect to existing analytical models and empirical measurements. As a second step, it is then discussed what response should be expected when this force, with its spike-like morphology and small force-time integral, impacts the core. It is found that the displacement of the core due to the spike in the force is so small that, even though the force is high in value, the bending stress inside the core remains below the critical limit for fracture. It can therefore be concluded that, when assuming homogeneous crack-free material conditions, the spike in the force is not failure-critical. Full article
(This article belongs to the Section Metal Casting, Forming and Heat Treatment)
Show Figures

Figure 1

Back to TopTop