Next Article in Journal
Long-Term Variability of the Hydrological Regime and Its Response to Climate Warming in the Zhizdra River Basin of the Eastern European Plain
Previous Article in Journal
Comprehensive Analysis of the Failure Potential of a Motorway Landslide in Dabu County, China
 
 
Font Type:
Arial Georgia Verdana
Font Size:
Aa Aa Aa
Line Spacing:
Column Width:
Background:
Article

Axial Groundwater Contaminant Dispersion Modeling for a Finite Heterogeneous Porous Medium

by
Rashmi Radha
* and
Mritunjay Kumar Singh
Department of Mathematics and Computing, Indian Institute of Technology (Indian School of Mines), Dhanbad 826004, India
*
Author to whom correspondence should be addressed.
Water 2023, 15(14), 2676; https://doi.org/10.3390/w15142676
Submission received: 10 May 2023 / Revised: 16 July 2023 / Accepted: 19 July 2023 / Published: 24 July 2023
(This article belongs to the Special Issue Groundwater Modeling and Groundwater Contamination)

Abstract

In this study, a two-dimensional contaminant transport model with time-varying axial input sources subject to non-linear sorption, decay, and production is numerically solved to find the concentration distribution profile in a heterogeneous, finite soil medium. The axial input sources are assigned on the coordinate axes of the soil medium, with background sources varying sinusoidally with space. The groundwater velocities are considered space-dependent in the longitudinal and transversal directions. Various forms of axial input sources are considered to study their transport patterns in the medium. The alternating direction implicit (ADI) and Crank-Nicolson (CN) methods are applied to approximate the two-dimensional governing equation, and the obtained algebraic system of equations in each case is further solved by MATLAB scripts. Both approximate solutions are illustrated graphically for various hydrological input data. The influence of various hydrogeological input parameters, such as the medium’s porosity, density, sorption conditions, dispersion coefficients, etc., on the contaminant distribution is analyzed. Further, the influence of constant and varying velocity parameters on groundwater contaminant transport is studied. The stability of the proposed model is tested using the Peclet and Courant numbers. Substantial similarity is observed when the approximate solution obtained using the CN method is compared with the finite element method in a special case. The proposed approximate solution is compared with the existing numerical solutions, and an overall agreement of 98–99% is observed between them. Finally, the stability analysis reveals that the model is stable and robust.

1. Introduction

Groundwater has been identified as a key route for contaminant migration, leading to underground pollution and soil water contamination. Over the last several decades, groundwater contamination has become a significant issue in various countries. A realistic, physically-based mathematical model is necessary to study the extent of the contaminant movement, build a sophisticated groundwater utilization plan, and prevent polluted groundwater from posing high risks to human health. Typically, the groundwater contaminant concentration distribution is modeled using the advection-dispersion equation (ADE). Numerical and analytical solutions of the ADE are commonly used for depicting the plume movement of pollutants in the groundwater system. Several studies have been found to model the groundwater contamination problem using classical one-dimensional (1D), two-dimensional (2D), or three-dimensional (3D) ADEs [1,2,3,4,5,6,7]. The solutions in these studies were obtained using various state-of-the-art analytical and numerical methods. Although analytical models necessitate the reduction of several assumptions, they are nonetheless required since sensitivity analysis is considerably easier to perform on analytical models than on numerical models for determining characteristic variables that impact pollutant movement. In addition, analytical models can also be used to identify the best grid size for formulating a numerical model or evaluating the accuracy of the numerical solution. In the past, several authors have used different analytical methods (Laplace transform technique, Hankel transform, Green’s function method, etc.) to solve the ADEs with certain complex hydrological parameters such as heterogeneity of the medium and unsteadiness of the medium [8,9]. However, analytical approaches are often challenging to solve ADEs, and moreover, their solutions are infeasible to obtain in the case of complicated hydrological parameters and non-linear ADEs. In such situations, semi-analytical or numerical approaches may be suitable.
There is a growing trend toward using semi-analytical methods for solving ADEs with integer or fractional-order derivatives. Solutions to non-linear differential equations can be efficiently obtained using semi-analytical approaches [10], which are otherwise difficult to obtain using traditional analytical approaches. Suk et al., [11] solved a 2D ADE subject to variable boundary conditions under tidal fluctuations of subsurface water using the semi-analytical method. The generalized integral transform and matrix exponential techniques were used to obtain the solution of the 2D transport equation, and the results were validated with the semi-analytical method of 1D ADE reported by [12] and the finite element method (FEM). Also, Kumar et al., [13] discussed a 1D ADE by homotopy analysis method (HAM) with time-dependent velocity and considered a non-linear time-dependent dispersion coefficient. The solution was validated with the analytical solution and found good agreement. However, semi-analytical approaches give solutions in truncated series form. Convergence of the solution is one of the issues with such solutions. In such cases, numerical approaches prove to be a better alternative than both analytical and semi-analytical approaches in terms of accuracy and computational feasibility.
The numerical method generally translates differential equations specified in continuous space and time into a wide range of discretized equations [14]. Several numerical methods, such as the finite volume method (FVM), FEM, finite difference method (FDM), boundary element method (BEM), mesh-free method, etc., have been proposed in the literature [15,16] to achieve the discretized space. FDM is classical and widely popular among all these methods since it eases computational complexity by translating the set of partial differential equations into a set of algebraic equations. Numerous 1D, 2D, and 3D ADEs have been solved with various schemes of FDM such as backward time-centered space (BTCS), forward time-centered space (FTCS), upwind schemes, Du-Fort Frankel, Crank-Nicolson (CN) scheme, alternating direct implicit (ADI) method, etc. Recently, Appadu et al., [17] solved an ADE using three different schemes of FDM, i.e., a non-standard finite difference scheme, a third-order upwind scheme, and a fourth-order upwind scheme. It was found that the non-standard finite difference scheme is substantially better than the third- and fourth-order upwind schemes. Also, Johari et al., [18] employed the ADI methods for 2D ADEs, while Hutomo et al. [19] applied the Du-Fort Frankel method for solving a 2D ADE with variable coefficients. Singh et al., [20] solved a non-linear reactive ADE by explicit FDM and calculated the stability of their model using the von Neumann method. The solution was validated with the existing analytical solution and found a substantial similarity between them. FDM was also used in the past for solving fractional-order derivatives (ADEs). Su et al., [21] solved a fractional-order space derivative ADE by using the fractional CN scheme. Later, Heris et al., [22] used the fractional backward differential formula method to obtain the solution for a 1D fractional ADE. Several studies exploring fractional-order ADEs for groundwater contamination transport modeling have been exhaustively reviewed by [23]. The article discusses the various challenges and recommendations for fractional-order ADEs to be used as a real-world tool to predict groundwater contaminant transport more effectively and accurately. ADI and CN methods are more suitable among various FDM schemes since both are implicit methods and unconditionally first-order and second-order accurate, respectively. Several authors have implemented these methods to solve their problems.
Tian and Ge, [24] applied the ADI method to the unsteady ADE problem. The von Neuman analysis method was used to verify the proposed method’s stability. The authors found their solution to be unconditionally stable and accurate as fourth-order and second-order with respect to space and time, respectively. Later, Tian, [25] solved a 2D ADE in the transient system using the rational high-order compact ADI technique. The method was found to be unconditionally stable, having fourth-order and second-order accuracy with respect to space-time, respectively. Recently, Chew et al., [26] applied the Half-sweep Newton Successive Over Relaxation numerical method for dealing with a 1D non-linear porous medium equation. The authors found that their method gave an unconditionally stable solution and, hence, was a suitable numerical method for non-linear partial differential equations.
In the context of groundwater contaminant transport problems, predicting the contaminant migration profile is a key challenge due to several limitations and model assumptions about the underlying physical phenomenon. There have been continuous efforts by several researchers to improve the accuracy of the prediction. A few of the critical parameters that affect the model’s accuracy are the assumed nature of the contaminant input source and the nature of porous media. In most of the research on contaminant concentration distribution profiles, the input source was considered a point source [27,28]. Although the point source assumption eases the calculations from a computational perspective, it doesn’t yield a satisfactory prediction of the contaminant trajectory. Point pollutant sources are generated or found from a single source, whereas non-point pollutant sources are generated from diffused sources, resulting in the release of pollutants over a wide area. Excess fertilizer and pesticides from cropland, oil, grease, and toxic chemicals from urban runoff are examples of non-point pollutant sources. The innate heterogeneity of porous media is well known and thus warrants inclusion in the groundwater contaminant transport modeling exercise [29]. Various studies in the literature indicate that the assumption of a heterogeneous medium offers enhanced capabilities to account for scale-dependent dispersion and characterize abnormal transport [30]. Thus, the axial input source assumption and heterogeneous medium present a resemblance to the realistic scenarios and governing physics of the transport problem. In this study, non-point pollutant sources are considered along the coordinate axes, typically known as axial input or line sources. Such input sources can be commonly found in angular-type agricultural lands [31]. The authors studied solute transport with axial input sources for uniform flow. However, their treatment of contaminant transport phenomena assuming a homogenous medium would be a limitation in realistic scenarios.
With these research gaps discussed so far, we propose a model for analyzing the contaminant transport with the axial input sources having non-linear sorption, decay, and production terms in a heterogeneous medium. The approximate solution of the model was achieved by employing the CN and ADI methods. Because of the heterogeneous medium, the present work is more realistic in nature and gives an accurate prediction of the contaminant concentration migration profile in groundwater reservoirs. To the authors’ best knowledge, no such type of problem has been solved previously in the heterogeneous medium case. Further, several test cases were formulated to broaden the analysis of the impacts of different parameters influencing the contamination process. To this effect, the impact of different types of axial input sources, such as exponential, sinusoidal, and asymptotical, is obtained. In particular, sinusoidally varying time-dependent axial sources might be of interest to study the contaminant transport process in hilly regions. Further, we also characterized the contaminant transport in different soil mediums and the non-linearity power α for Langmuir sorption for all the axial input sources considered in this paper. All the graphical solutions in the present study were obtained using the CN method for different geological formations and hydrological input data. Finally, a PDEtool-based validation strategy (a partial differential solver package in MATLAB software based on FEM) is chosen to compare the numerical approximations obtained for the proposed model problem.

2. Contaminant Transport Model (CTM)

The governing contaminant transport equation is derived based on the mass conservation law and Fick’s law. Under the consideration of contaminant sorption in the porous medium, the solid and liquid phase concentrations (i.e., C h [ ML 3 ] and S h [ MM 1 ] , respectively) take place in the process of transportation. The 2D contaminant transport in a heterogeneous and anisotropic porous medium having a decay rate η [ T 1 ] , constant porosity φ , bulk density ρ [ ML 3 ] , and production rate δ ML 3 T 1 , is expressed as [3]:
C h t = x D x x C h x + y D y y C h y u x C h x v y C h y η C h + δ ρ φ S h t
where, u x [ LT 1 ] and v y [ LT 1 ] are seepage velocities, D x x [ LT 2 ] and D y y [ LT 2 ] are the dispersion coefficients down the horizontal and vertical directions, respectively.
Periodic initial input problems exist in both natural and human-designed systems. In the case of natural groundwater contaminant analysis, a periodic pattern in the concentration levels may typically be caused by seasonal variations. On the other hand, pollutants can also be discharged at fixed intervals in man-made discharges. Such periodicity is found to be best represented by a sinusoidally varying, space-dependent background distribution [32]. Thus, in this paper, initially, a sinusoidally varying space-dependent background concentration is considered in the non-uniform porous medium as [33]:
C h x , y , t = c 0 sin m log ( 1 + a 1 x ) ( 1 + a 2 y )   ;   x 0 , L , y 0 , H ,   t = 0
where c 0 [ ML 3 ] is a constant background concentration, a 1 and a 2 are heterogeneity parameters, m is the arbitrary constant, L [ L ] and H [ L ] denotes the finite lengths in the x , y directions, respectively.
Figure 1 depicts the geometry of the proposed model, in which the axial input sources assigned along the x - and y -directions follow the Dirichlet boundary conditions. In the present study, periodic, exponential, and asymptotic [32,34,35] axial input sources are considered. The boundary conditions for the proposed model are specified as follows:
C h x , y , t = c 1 f 1 ( m 1 t )   ;   y = 0 ,   x > 0 ,   t > 0
C h x , y , t = c 2 f 2 m 2 t   ;   y > 0 ,   x = 0 ,   t > 0
where, c 1 [ ML 3 ] and c 2 [ ML 3 ] are the constants denoting the sources of input concentrations down the x and y directions, respectively, m 1 and m 2 are decay constant parameters along the x - and y -directions, respectively.
At the outlet boundaries, the boundary conditions are defined as follows:
lim x L C h x = 0   ;   y > 0 ,   t > 0
lim y H C h y = 0   ;   x > 0 ,   t > 0
The conceptual model corresponding to the 2D contaminant dispersion in a porous soil medium with axial input sources and Neumann boundary conditions [31] is depicted in Figure 1.
The relationship between the solid and liquid phase contaminant concentrations sorbed onto the soil particles at a constant temperature is known as the isotherm. When the sorption process occurs very quickly compared to the flow velocity, it attains an equilibrium state known as the equilibrium sorption isotherm. The present study uses the equilibrium-state sorption isotherm. The sorption isotherm may be either linear or non-linear. The linear sorption isotherm applies to low solute concentrations and absorption. In the linear sorption isotherm, there is no upper limit to the solute sorption onto the soil particles. However, the solute transport is more realistic for the non-linear sorption model as compared to the linear sorption model [36,37]. There are two types of non-linear sorption: Freundlich and Langmuir. The Freundlich sorption is defined as S h = k d C h q , where k d [ M q L 3 q ] is the sorption coefficient and q is the empirically determined non-linearity parameter varying from 0 to 1. The Freundlich sorption isotherm is the most preferable and widely used isotherm so far, but it also does not have an upper limit on the solute sorption onto the soil particles. The Langmuir sorption, which specifies an upper limit of the solute sorption onto the soil particle, is defined as S h = α k l C h 1 + α C h where α   [ M 1 L 3 ] is known as the Langmuir constant and k l denotes the maximum sorption capacity [38,39,40,41]. Using the relationships of either Freundlich or Langmuir sorption isotherms between S h and C h in Equation (1) yields
R C h t = x D x x C h x + y D y y C h y u x C h x v y C h y η C h + δ ,
where, R = 1 + ρ q k d φ C h q 1 ,   for   Freundlich   sorption   isotherm 1 + ρ α k l φ 1 + α C h 2 ,   for   Langmuir   sorption   isotherm is known as the retardation factor.
Due to the heterogeneity of the medium, the horizontal and transversal seepage velocities depend on space, and according to [8], the velocities are defined as follows:
u x = u 1 + a 1 x   and   v y = v 1 + a 2 y ,
where, u and v are initial groundwater velocities, and a 1 , a 2 are heterogeneity parameters. The idea of classical dispersion theory [42], is as follows:
D x x = D x 0 1 + a 1 x β   and   D y y = D y 0 1 + a 2 y β ,
where, D x 0 [ LT 2 ] and D y 0 LT 2 are initial dispersion coefficients. Using Equations (8) and (9) for β = 2 , Equation (7) becomes
R C h t = D x 0 1 + a 1 x 2 2 C h x 2 + D y 0 1 + a 2 y 2 2 C h y 2 u 1 x C h x v 1 y C h y η C h + δ
where, u 1 x = u x 2 a 1 D x 0 1 + a 1 x , v 1 y = v y 2 a 2 D y 0 1 + a 2 y , and η = η + u a 1 + v a 2 .
Using transformations X = 1 a 1 log 1 + a 1 x and Y = 1 a 2 log 1 + a 2 y [8] in Equation (10) yields:
R C h t = D x 0 2 C h X 2 + D y 0 2 C h Y 2 u 1 C h X v 1 C h Y η C h + δ
where, u 1 = u D x 0 a 1 and v 1 = v D y 0 a 2 .
The new space domain following the transformation of the geometrical conditions is given as:
C h X , Y , t = c 0 sin m X a 1 + Y a 2 ;   X 0 , L ,   Y 0 , H ,   t = 0
C h X , Y , t = c 1 f 1 m 1 t ;   Y = 0 ,   X 0 , t > 0
C h X , Y , t = c 2 f 2 m 2 t ;   Y 0 ,   X = 0 , t > 0
lim X L C h X = 0 ;   Y > 0 , t > 0
lim Y H C h Y = 0 ;   X > 0 , t > 0

2.1. FDM-Based Solution of the Proposed CTM

The derivation of the solution begins by first splitting t into P subintervals of Δ t different sizes. Similarly, L and H are split into M and N subintervals, with each subinterval having Δ X and Δ Y size respectively. Initially, the CN and ADI methods are used for obtaining the numerical approximations of the proposed model described in Equation (11), along with the conditions described by Equations (12)–(16). Following the initial approximation, a penta-diagonal structure of linear algebraic equations for the CN and two batches of the tri-diagonal structure of linear algebraic equations for the ADI method at each discrete time interval Δ t are obtained. In the next stage, the set of algebraic equations obtained in the previous step is solved at fixed time intervals using MATLAB scripts to obtain graphical solutions. The mathematical formulations of the proposed numerical approximations are discussed in the following sub-sections.

2.2. CN method-Based Approximate Solution

The time derivative of the ADE (Equation (11)) is estimated using the CN finite difference scheme at the grid point i , j , n + 1 2 , while the space derivative is estimated by their central approximations at the n th and n + 1 th levels. To ensure that the resultant finite difference approximations are linearized, the retardation factor R given in Equation (11) is calculated using the previous time level ( n th time level) [40]. This yields the following approximation of Equation (11):
R i , j n C h i , j n + 1 C h i , j n Δ t = D x 0 2 C h i 1 , j n + 1 2 C h i , j n + 1 + C h i + 1 , j n + 1 Δ X 2 + C h i 1 , j n 2 C h i , j n + C h i + 1 , j n Δ X 2 + D y 0 2 C h i , j 1 n + 1 2 C h i , j n + 1 + C h i , j + 1 n + 1 Δ Y 2 + C h i , j 1 n 2 C h i , j n + C h i , j + 1 n Δ Y 2 u 1 2 C h i + 1 , j n + 1 C h i 1 , j n + 1 2 Δ X + C h i + 1 , j n C h i 1 , j n 2 Δ X v 1 2 C h i , j + 1 n + 1 C h i , j 1 n + 1 2 Δ Y + C h i , j + 1 n C h i , j 1 n 2 Δ Y η 2 C h i , j n + 1 + C h i , j n + δ
Equation (17) is rearranged in the following form:
r 2 4 + r 4 2 C h i , j 1 n + 1 r 1 4 + r 3 2 C h i 1 , j n + 1 + R i , j n + r 3 + r 4 + η 2 C h i , j n + 1 + r 1 4 r 3 2 C h i + 1 , j n + 1 + r 2 4 r 4 2 C h i , j + 1 n + 1 = r 2 4 + r 4 2 C h i , j 1 n + r 1 4 + r 3 2 C h i 1 , j n + R i , j n r 3 r 4 η 2 C h i , j n r 1 4 r 3 2 C h i + 1 , j n r 2 4 r 4 2 C h i , j + 1 n + δ Δ t
where, j = 1 , 2 , , N 1 , i = 1 , 2 , , M 1 , r 1 = u 1 Δ t Δ X , r 2 = v 1 Δ t Δ Y , r 3 = D x 0 Δ t Δ X 2 , and r 4 = D y 0 Δ t Δ Y 2 .
Further, Equations (15) and (16) at the time levels n and n + 1 can be written as follows:
C h i + 1 , j n = C h i 1 , j n ;   i = M
C h i , j + 1 n = C h i , j 1 n ;   i = N
C h i + 1 , j n + 1 = C h i 1 , j n + 1 ;   i = M
C h i , j + 1 n + 1 = C h i , j 1 n + 1 ;   i = N
Applying Equations (19) and (21) to Equation (18) yields:
r 2 4 + r 4 2 C h i , j 1 n + 1 r 3 C h i 1 , j n + 1 + R i , j n + r 3 + r 4 + η 2 C h i , j n + 1 + r 2 4 r 4 2 C h i , j + 1 n + 1 = r 2 4 + r 4 2 C h i , j 1 n + r 3 C h i 1 , j n + R i , j n r 3 r 4 η 2 C h i , j n r 2 4 r 4 2 C h i , j + 1 n + δ Δ t
where, j = 1 , 2 , , N 1 and i = M .
Applying Equations (20) and (22) to Equation (18) yields:
r 4 C h i , j 1 n + 1 r 1 4 + r 3 2 C h i 1 , j n + 1 + R i , j n + r 3 + r 4 + η 2 C h i , j n + 1 + r 1 4 r 3 2 C h i + 1 , j n + 1 = r 4 C h i , j 1 n + r 1 4 + r 3 2 C h i 1 , j n + R i , j n r 3 r 4 η 2 C h i , j n r 1 4 r 3 2 C h i + 1 , j n + δ Δ t
where, j = N and i = 1 , 2 , , M 1 .
Further, applying Equations (19)–(22) in Equation (18) gives:
r 4 C h i , j 1 n + 1 r 3 C h i 1 , j n + 1 + R i , j n + r 3 + r 4 + η 2 C h i , j n + 1 = r 4 C h i , j 1 n + r 3 C h i 1 , j n + R i , j n r 3 r 4 η 2 C h i , j n + δ Δ t
where, i = M and j = N .
The numerical approximation of the transport equation given by Equation (11) is derived using the combined set of coupled Equations (19) and (23)–(25). Specifically, equating M = N these sets of coupled equations result in a M × M penta-diagonal form of linear algebraic equations for each iteration. In this paper, graphical visualizations of the final numerical derivations, which have been obtained using MATLAB codes, for different cases are presented and discussed in the result section.

2.3. ADI Method-Based Approximate Solution of CTM

Crank-Nicolson (CN) is the conventional approach for obtaining numerical approximations to generic transport equations. However, they result in a complicated multi-dimensional system of equations and are often infeasible for complex transport phenomena with many parameters. On the other hand, the ADI method involves solving a system of equations with a simple structure at each iteration. A generic approach to solving PDEs using the ADI method involves approximating x and y derivatives in two stages. In the first stage, the x derivative is approximated by an implicit scheme, and the y derivative is approximated by an explicit scheme. In the second stage, the y derivative is approximated by an implicit scheme, and the x derivative is approximated by an explicit scheme. Solving the two stages results in tridiagonal matrices, which are then solved to get the final approximate solution.
Similar to solving PDEs using the generic approach of the ADI method, in this paper too, the overall process of approximation using the ADI method is carried out in two steps. In the first step, the entire spatio-temporal derivatives of Equation (11) are substituted by the second-order central difference estimations such that the derivatives of x-terms are estimated at the n + 1 2 th time level with unknown concentration and y-terms are estimated at the n th time level with known concentration. The resultant equation after the substitution in Equation (11) is given as:
R i , j n C h i , j n + 1 C h i , j n Δ t / 2 = D x 0 C h i 1 , j n + 1 / 2 2 C h i , j n + 1 / 2 + C h i + 1 , j n + 1 / 2 Δ X 2 + D y 0 C h i , j 1 n 2 C h i , j n + C h i , j + 1 n Δ Y 2 u 1 C h i + 1 , j n + 1 / 2 C h i 1 , j n + 1 / 2 2 Δ X v 1 C h i , j + 1 n C h i , j 1 n 2 Δ Y η 2 C h i , j n + 1 / 2 + δ
After rearrangement, Equation (26) yields:
r 5 C h i 1 , j n + 1 / 2 + r 6 C h i , j n + 1 / 2 + r 7 C h i + 1 , j n + 1 / 2 = r 8 C h i , j 1 n + r 9 C h i , j n r 10 C h i , j + 1 n
where, r 5 = u 1 Δ t 4 Δ X + D x 0 Δ t 2 Δ X 2 ; r 6 = R i , j n + D x 0 Δ t Δ X 2 + η Δ t 4 ; r 7 = u 1 Δ t 4 Δ X D x 0 Δ t 2 Δ X 2 ; r 8 = v 1 Δ t 4 Δ Y + D y 0 Δ t 2 Δ Y 2 ; r 9 = R i , j n + D y 0 Δ t Δ Y 2 ; r 10 = v 1 Δ t 4 Δ Y D y 0 Δ t 2 Δ Y 2 , i goes form 1 to M 1 for every value of j = 1 , 2 , , N 1 .
In the second phase, the method is reversed for the next half-time interval. Using Equation (11), the y derivative components are approximated by the implicit scheme (i.e., n + 1 time step) with an unknown concentration, whereas x derivative components are approximated by the explicit scheme (i.e., n + 1 / 2 time step) with a known concentration. Consequently, at this point, Equation (11) is represented as:
r 8 C h i , j 1 n + 1 + r 11 C h i , j n + 1 r 10 C h i , j + 1 n + 1 = r 5 C h i 1 , j n + 1 / 2 + r 12 C h i , j n + 1 / 2 + r 7 C h i + 1 , j n + 1 / 2
where, r 11 = R i , j n + D y 0 Δ t Δ Y 2 and r 12 = R i , j n D x 0 Δ t Δ X 2 η Δ t 4 .
Further, the estimation of the derivative boundary conditions described in Equations (15) and (16) for the endpoints, i.e., for i = M and j = N , is given as:
C h i + 1 , j n + 1 / 2 = C h i 1 , j n + 1 / 2 ;   i = M
C h i , j + 1 n + 1 = C h i , j 1 n + 1 ;   j = N
At the n th time level and boundary point j = N , the estimation of Equation (16) is produced as:
C h i , j + 1 n = C h i , j 1 n ;   j = N
Using Equation (29) in Equation (27) and Equation (30) in Equation (28), we obtain, respectively, the following:
r 7 r 5 C h i 1 , j n + 1 / 2 + r 6 C h i , j n + 1 / 2 = r 8 C h i , j 1 n + r 9 C h i , j n r 10 C h i , j + 1 n
where, j = 1 , 2 , , N 1 , and i = M , and
r 8 r 10 C h i , j 1 n + 1 + r 11 C h i , j n + 1 = r 5 C h i 1 , j n + 1 / 2 + r 12 C h i , j n + 1 / 2 + r 7 C h i + 1 , j n + 1 / 2
where, j = N , i = 1 , 2 , , M 1 .
Similarly, using Equation (29) in Equation (28) and Equation (31) in Equation (27), we obtain the following:
r 5 C h i 1 , j n + 1 / 2 + r 6 C h i , j n + 1 / 2 + r 7 C h i + 1 , j n + 1 / 2 = r 8 r 10 C h i , j 1 n + r 9 C h i , j n
where, j = N , i = 1 , 2 , , M 1 , and
r 8 C h i , j 1 n + 1 + r 11 C h i , j n + 1 r 10 C h i , j + 1 n + 1 = r 7 r 5 C h i 1 , j n + 1 / 2 + r 12 C h i , j n + 1 / 2
where, j = 1 , 2 , , N 1 , and i = M .
Using Equation (29) and Equation (31) in Equation (27) yields:
r 7 r 5 C h i 1 , j n + 1 / 2 + r 6 C h i , j n + 1 / 2 = r 8 r 10 C h i , j 1 n + r 9 C h i , j n ;   j = N   and   i = M
Using Equation (29) and Equation (30) in Equation (28) yields:
r 8 r 10 C h i , j 1 n + 1 + r 11 C h i , j n + 1 = r 7 r 5 C h i 1 , j n + 1 / 2 + r 12 C h i , j n + 1 / 2 ;   j = N   and   i = M
On solving the two sets of coupled Equations (27), (28), (32)–(37) for M = N , two separate tridiagonal systems of linear equations are obtained. For illustration, graphical solutions to these systems are obtained using MATLAB scripts and further discussed in the following section. Further, to summarize all the steps, we present an algorithm (Algorithm 1) below that contains the step-wise description of obtaining the solutions presented in this paper.
Algorithm 1: Axial Input Source Contaminant Transport System
Input
D x 0 , D y 0 : Dispersion coefficients
u , v : Advection coefficients
c 0 : initial background source
c 1 , c 2 : constant input sources
φ : porosity of soil medium
L , H : space domains length
t : time interval
M , N : Number of spatial nodes in x and y directions
P : Number of time steps
m 1 , m 2 : Decay parameters
Output
C h x , y , t : Concentration distribution matrix
Step 1: Spatial transformation:
   Transform old transformation x , y of space variable into new transformation X , Y
Step 2: Mesh formation:
   Construct mesh size of the space domain and time interval Δ X , Δ Y , Δ t
Step 3: Initialize the initial and axial boundary condition concentration matrix c as follows:
   a) for j 1 : N + 1
     for i 1 : M + 1
       c i , j , 1 c 0 × sin m × a 1 × i 1 × d X + a 2 × j 1 × d Y
     end for
    end for
  b) for k 2 : P + 1
       for i 1 : M + 1
          c i , 1 , k c 1 × sin m 1 × ( k 1 ) × d t
       end for
       for j 1 : N + 1
             c 1 , j , k c 2 × sin m 2 × ( k 1 ) × d t
       end for
   end for
Step 4: Repeat this step for P time steps to compute the following:
  A)
Retardation matrix R (Freundlich and Langmuir)
  B)
The penta-diagonal coefficient matrices A and B for calculating concentration values for each time step
  C)
Compute the unknowns and solve the system of equations C = B1_inv × B × Z as follows:
  • i) compute B1_inv = inverse(A)
  • ii) Repeat this step for the P-1 time step to compute the final concentration values at each time step as follows:
      a)
    Compute Z
      b)
    For each column of C from index 2….M, update the values as follows: C = B×Z
End

3. Results and Discussions

In this study, the 2D ADE, taking into account the non-linear sorption, decay, and source terms with periodic initial conditions and three forms of time-varying axial input boundary conditions (given in Table 1) is solved by CN and ADI methods for a heterogeneous medium. The temporally dependent axial sources c 1 f 1 m 1 t and c 2 f 2 m 2 t are defined as shown in Table 1.
Dispersion and advective coefficients are taken as space-dependent (i.e., D x x = D x 0 1 + a 1 x 2 , D y y = D y 0 1 + a 2 y 2 , u x = u 1 + a 1 x , v y = v 1 + a 2 y ). Periodic initial and boundary conditions with identical input values of the advection and dispersion coefficients in the horizontal and vertical directions are considered. Input data from [43] are used for obtaining the graphical form of the solutions to the governing equation and are given as follows:
M = 30 ,   N = 30 ,   P = 100 ,   L = 1   k m ,   H = 1   k m ,   c 0 = 0.05 ,   c 1 = 1 ,   c 2 = 1 ,   D x 0 = 0.16   k m 2 / y e a r ,   D y 0 = 0.16   k m 2 / y e a r ,   u 0 = 0.016   k m / y e a r ,   v 0 = 0.016   k m / y e a r , ρ = 2.65 ,   φ = 0.32 G r a v e l ,   k d = 0.15 ,   η = 0.02 ,   δ = 0.04 ,   m = 2 ,   m 1 = 0.01   y e a r 1 , m 2 = 0.01   year 1 ,   α = 0.25 ,   k l = 0.30 ,   a 1 = 0.03 ,   a 2 = 0.03
The pollutant distribution patterns by CN and ADI methods, assuming periodic initial and boundary conditions in the gravel-type soil medium at time t = 1 year are presented in Figure 2 and Figure 3. As evident from the figures, the pollutant concentration attains the highest level at the origin and gradually decreases with respect to distance to reach the lowest level near the extreme boundaries. Further, it is observed that the spread of the pollutant concentration is mirror-imaged around the diagonal line, possibly caused by the assumption of an identical distribution profile of input pollutant concentration along the coordinate axes.
Figure 4 depicts the contour of the pollutant distribution pattern obtained using the CN and ADI methods under the assumption of linear sorption. For the present case, periodic initial and boundary conditions with a gravel-type soil medium for the time period t = 1 are considered. As evident, the pollutant concentration is maximum along the coordinate axes and decreases with respect to distance towards the extreme boundaries. It may be noted in Figure 2, Figure 3 and Figure 4 that the concentration could be negative since the assumed sinusoidal initial and boundary conditions in this work are known to manifest fluctuations in the concentration and thus output a few negative values [33].
An earlier study by [31] elaborated on the efficacy of the CN method over the ADI method for solving contaminant transport for axial input sources. A paucity of such research analyses in the literature prompted us to carry out a similar comparative analysis for our case too. In addition, for the generalizability of the results, findings based on the numerical results must be compared in different cases. Since the cases in the literature and the proposed problem in this work are different, presenting ADI and CN would further help to generalize the conclusions. We found a similarity in the results with the literature; hence, for the cases reported in Figure 5 and subsequent cases, the CN method-based graphical solutions alone are reported in this paper. Typically, the accuracy and error of a numerical solution are obtained by validating it against the analytical solutions of the given model problem. However, for the model problem considered in this paper, obtaining an analytical solution is complicated and computationally infeasible. Hence, for the present work, the numerical solution of the proposed model obtained using the CN method is validated using the PDEtool box, as it is generally considered a benchmark for validating numerical solutions of PDEs. The approximate solution to the model problem considered in this paper is obtained for a special case using the following data: D x x = D y y = 0.16   k m / y e a r 2 ; m = m 1 = m 2 = 0 as shown in Figure 5. As evident from Figure 5, a satisfactory agreement is observed between the proposed numerical solution (CN-based) and the PDEtool-based solution. As observed from the figure, concentration patterns are nearly identical near the inlet and outlet boundaries, whereas a marginal gap is found near the middle of the domain. Further, an apparent uniformity in the contaminant concentration pattern beyond 0.5 km is observed, which becomes constant towards the final boundary. The overall trend suggests that the contaminant concentration reaches a maximum level at the inlet boundary, decays with space, and hits a minimum level near the outlet boundary.
Figure 6(a) illustrates the graphical comparison of the numerical solution for the proposed model with the data ( c 0 = 0.03 , c 1 = 0.5 , c 2 = 0.5 , m 1 = 0.001   y e a r 1 , m 2 = 0.001   y e a r 1 ,   u 0 = 0.015   k m / y e a r ,   v 0 = 0.015   k m / y e a r , D x 0 = 0.15 k m 2 / y e a r , D y 0 = 0.15 k m 2 / y e a r , ρ = 2.19 , k d = 0.25 , φ = 0.55 ) taken from the previous literature given by [31]. To this effect, the proposed model is transformed into a homogeneous medium without source-sink terms by taking dispersion coefficients and velocities as constants. Also, the initial condition is taken as a constant, and the Dirichlet boundaries are taken as an exponential type. It is found that the pollutant concentration strength of the proposed model solution is identical and shows close agreement with that of [31].
The proposed numerical solution was compared graphically with the previous existing numerical solution [44] for 1D contaminant transport with spatially varying transport parameters. The proposed 2D ADE model in this work was reduced to a 1D ADE transport problem by setting all the y -directional terms to zero and subsequently taking the input source as a single point source. The input data considered for comparison is as follows: c 0 = 0 , c 1 = 1 , c 2 = 0 , a 1 = 0.1 , a 2 = 0.0 , u 0 = 0.06   k m / y e a r , v 0 = 0   k m / y e a r D x 0 = 0.71   k m 2 / y e a r , D y 0 = 0   k m 2 / y e a r . We have used the above data in our model with previous numerical solutions. As observed, both solutions match closely, as shown in Figure 6b. Statistically, the relative match for the proposed solution with the numerical methods shown in Figure 6a,b is found to be 99.7% and 97.2%, respectively.
In general, the level of contaminant concentration is a factor of different geological formations in the 2D heterogeneous porous medium; hence, the pattern of pollutant concentration levels in geological formulations of different porosities is investigated in the present study. For this case, different soil mediums, such as clayey sand, fine sand, and silty, represented by porosity, φ = 0.37 , 0.46 , 0.64 are considered. Figure 7a shows the pollutant distribution profiles in various soil mediums at time t = 2 years estimated using the CN method, assuming linear sorption for periodic initial and axial boundaries. The pollutant concentration is highest for silty sand compared to clayey sand and fine sand. In contrast, the pollutant concentration hits the minimum level in the clayey sand. The effect of different soil mediums on the concentration distribution is shown in Figure 7b for exponential axial input sources subject to a constant initial concentration value at a given time t = 2 years. The contaminant level decreases with the decrease in the soil’s medium porosity. Figure 7c depicts the concentration distribution pattern for different soil mediums for asymptotically varying axial input sources with a constant initial concentration value under non-linear sorption for time t = 2 year. It is observed that the contaminant concentration level in the silty medium is higher than in the fine sand. In contrast, the contaminant concentration reaches the lowest level in the clayey sand for asymptotically varying axial input sources. Also, concentration reaches its minimum value at the final boundary. Also, it is observed that the distribution of contaminant concentration patterns is similar in the sinusoidal and asymptotic cases but opposite in nature in the exponential case. Since the exponential input source typically represents a sorption-dominated flow process, a higher porosity (more pore space) causes more retardation of the contaminant particles, and hence a slower decay rate is observed.
Figure 8 shows the pollutant transport profile at time t = 2 years for different bulk densities of contaminant concentrations ( ρ = 2.19 ,   2.65 ) in the gravel medium assumed to be in a solid matrix-type packing. To characterize the concentration profile in this case, periodic boundary conditions are considered. It is observed that the initial pollutant concentration for both bulk densities considered is similar near the inlet boundaries. However, as evident from Figure 8, contaminant concentration diminishes relatively fast for a higher bulk density ( ρ = 2.65 ) compared to a low bulk density ( ρ = 2.19 ).
Figure 9 illustrates the effects of the fractional power of q ( 0.3 , 0.6 , 0.9 ) over non-linear Freundlich sorption of contaminant distribution at time t = 2 years in the gravel medium. For this case, constant initial conditions and periodic boundary conditions are considered. It is evident from Figure 9 that with rising values of q , which represent the nonlinearity of the model, the contaminant concentration decreases.
Figure 10 presents the concentration distribution profile at different times ( t = 2 , 2.5 years) subject to periodic initial conditions in a heterogeneous groundwater flow system. Initial and boundary conditions are assumed to be periodic for both time domains. In general, it is observed that the concentration distribution decreases with increasing time domain up to some spatial distance. However, beyond a certain threshold distance, the concentration distribution increases with increasing time. It is observed that the concentration distribution profile depends on the nature of the initial and boundary conditions.
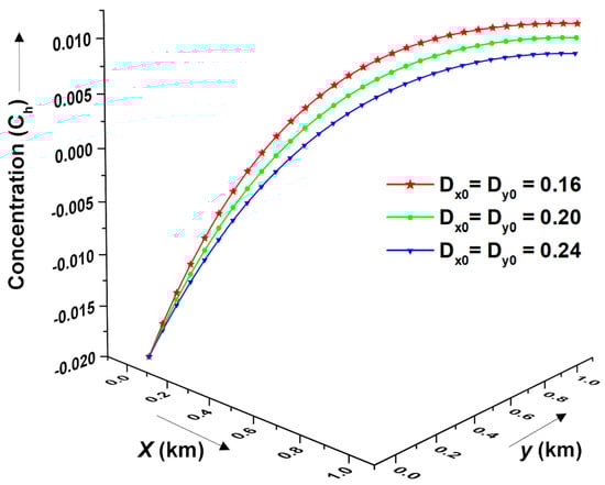
Figure 11 presents the effect of the dispersion coefficients D x 0 , D y 0 = 0.16 , 0.20 , 0.24 in the longitudinal and transversal directions over the concentration distribution profiles. It is observed that even with a marginal fluctuation in the dispersion coefficients, the resultant concentration distribution profile varies significantly at each point of the domain. The possible reason for such behavior may be attributed to the critical balance of the advection-dispersion flow process, which is altered by the change in the dispersion coefficients. Overall, the concentration value increases as the dispersion coefficients decrease for any given fixed time domain.
The dependency of the contaminant concentration profile on the non-linearity power α under Langmuir sorption is illustrated in Figure 12. Different forms of axial input sources, such as sinusoidal, exponential, and asymptotic, are depicted in Figure 12a–c, respectively. It is observed that the non-linearity terms for the sinusoidal and exponential cases are similar in nature, whereas they are the opposite in nature for the asymptotic case. This difference in contaminant distribution is possibly caused by the underlying physical phenomenon. In sinusoidal and exponential cases, the dispersion phenomenon is dominant and causes a gradual decrease in the contaminant concentration. In contrast, in the asymptotical case, the contaminant concentration reaches a saturation point where it does not change significantly. In addition, the dispersion process for the asymptotical case is relatively weaker compared to the other two cases. These factors may cause different distribution patterns, as observed in Figure 12a–c. The contaminant concentration for the sinusoidal and exponential axial input sources decreases with increasing values of the non-linearity term. However, in asymptotic cases, contaminant concentration increases with an increase in the non-linearity power α .
Figure 13 shows the graphical validation of the proposed model for the heterogeneous silty (i.e., φ = 0.64 ) type porous medium. For this case, the input source is considered to be a point source, and hence we set x = 0 , y = 0 at the Dirichlet boundaries. Further, the initial background source concentration is assumed to be zero (i.e., c 0 = 0 ). Data from [45] ( a 1 = 0.1 , a 2 = 0.1 , u 0 = 1.05   k m / y e a r , v 0 = 0.15   k m / y e a r , D x 0 = 1.1   k m 2 / y e a r , D y 0 = 0.1   k m 2 /   y e a r ) and [46] ( D x 0 = 5 × 0.24   m 2 / d a y , D y 0 = 0.25   m 2 / d a y , u 0 = 0.24   m / d a y , v 0 = 0.25   m / d a y , a 1 = 0 , a 2 = 0 ) were fed into the proposed model, and its output was compared to the output obtained by the data considered by the authors. As evident, a similar overall trend of the contaminant profile—a spatially diminishing concentration trend towards the edge of the domain, is observed between the various existing models and the proposed model for the respective datasets considered. The rationale behind this graphical comparison was to establish the correctness of the input data considered in this work.
Figure 14, presented in this study, provides a comparative analysis between the constant velocity and variable velocity of groundwater flow conditions. The constant velocity assumption implicitly refers to a homogenous medium, whereas variable velocity refers to a heterogeneous medium. For constant velocities, the advection and dispersion coefficients were kept constant without any spatial dependence, as expressed in Equation (1). In general, it is observed that the overall contaminant concentration may either increase or decrease depending on the specific initial or boundary conditions. As observed from Figure 14a, which represents the exponential boundary condition, contaminant concentration decreases for both the constant and variable velocities; however, the dip in the constant velocity case is greater than the variable velocity case toward the end of the boundary. In contrast, for sinusoidal (Figure 14b) and asymptotic (Figure 14c), there is an overall trend of increasing contaminant concentration, albeit at different rates for constant and variable groundwater flow velocities. A higher peak concentration is observed for the constant velocity condition compared to the variable velocity condition.
Peclet and courant numbers are often used in the context of groundwater contamination phenomena to explain the transport dynamics, i.e., establish a relation between the advection-diffusion processes, and quantify the flow rate of contaminants for various geological formations [9]. Mathematically, the Peclet number and Courant number are defined as:
P e = u 0 x φ D x 0 ;   C r = u 0 t φ x
A high Peclet number shows that the advection process is the cardinal transport mechanism, while a low Peclet number shows that the dispersion mechanism dominates the transport phenomenon. The courant number gives the number of particles in the medium that are transported in a given time interval. The ideal value of the Courant number must be less than 0.7 [47].
The relationship between the Peclet number and the porosity of the various geological formations is also addressed. As evident from Figure 15, the Peclet number increases as the porosity decreases, and vice versa. With a decrease in the Peclet number (increase in porosity), the overall contaminant concentration is found to be higher. The pollutant concentration decreases with space and approaches its lowest value near the extremes of the boundary. Similarly, in the case of the Courant number, the contaminant concentration is also predicted for the different geological formations.
Figure 16 depicts the contaminant concentration in various media with distinct Courant numbers at a specific time period. We observed that as porosity values decreased, the Courant number increased. The nature of the contaminant concentration is also demonstrated, and it is noted that concentration values rise as the courant number decreases at each of the positions. These concentration levels decrease with distance and approach their lowest value near the final boundary.
Figure 17 shows the contaminant transport dynamics using a plot between the Peclet and Courant numbers for various transport mediums with different inter-porosity ranges. As observed from Figure 17, the general trend within a given medium indicates a non-linear relationship between Pe and Cr with an increase in the inter-medium porosity. For advection-dispersion problems, the stability of the numerical solution can be inferred using the Peclet number. The solution will oscillate when the absolute value of the Peclet number is greater than two [48]. In the present problem, since the Peclet number is less than two, the proposed numerical solution is stable and hence not discussed in the manuscript.

4. Conclusions

This work analyzes the influence of varying migration parameters and the nature of input sources (axial) on a two-dimensional reactive transport system. The CN and ADI methods are used to derive approximate solutions to the modeled problem. The present study is carried out for various time-dependent axial input sources of the transport system: (a) sinusoidal, (b) exponential, and (c) asymptotical. Further, the phenomenon of non-linear sorption is incorporated into the proposed model. To investigate the influence of spatially varying transport parameters, a quadratic space-dependent dispersion coefficient and a linear space-dependent function for the migration velocity terms are considered. As per the author’s best knowledge, there are no specific studies on the 2D reactive transport for axial input sources in a heterogeneous medium, as studies from the literature have primarily focused on analyses for uniform flow axial input sources. The results presented in this paper are a step forward toward building more robust and realistic models for contaminant transport. The novelty of the proposed model, therefore, is the advancement in the understanding of the contaminant transport model and the improvement of the accuracy of the prediction by including realistic flow parameters. The proposed method can be further extended to 3D axial input source or multi-directional contaminant transport modeling, thereby encompassing more realistic scenarios in groundwater modeling. The critical findings of the presented work are summarized as follows:
  • Results of iterating over all the combinations of pollutant transport dynamics for the two-dimensional reactive system suggest that the peak concentration strengths are alike for homogeneous and heterogeneous media.
  • A substantial influence of various soil media is observed for the different types of axial input sources, such as sinusoidally, asymptotically, and exponentially varying non-point sources. It is observed that with an increase in the porosity values, contaminant distribution also increases for sinusoidal and exponential cases. However, in the asymptotic case, concentration distribution decreases with increasing porosity values.
  • The apparent effect of different values of α parameters of Langmuir sorption for the three types of axial input sources (sinusoidal, exponential, and asymptotical) is observed. It is found that with an increase in the α parameter, the concentration distribution also increases for sinusoidally varying input sources. In contrast, the contaminant concentration decreases when α parameter is increased for the exponentially varying input sources.
  • A comparison of the derived solution of the proposed model with the preceding approximate model solution of the same model from several authors is successfully carried out. Further, the validation under the special case is carried out for the special case ( D x x = D y y = 0.16   k m / y e a r 2 ; m = m 1 = m 2 = 0 ) of the proposed model by PDEtool and found good agreement between them. In the present study, the CN method is found to have an advantage over the ADI method.
  • The influence of constant and varying velocity parameters on groundwater contaminant transport was examined. Although the effect was found to be a function of initial or boundary conditions, the order of the impact is marginal.
  • Finally, the model’s stability and contaminant transport dynamics in different media are tested using the Peclet and Courant numbers. The model is found to be stable, as indicated by the observed Peclet number.

Author Contributions

Conceptualization, R.R. and M.K.S.; methodology, R.R.; formal analysis, R.R.; investigation, R.R.; writing—original draft preparation, R.R.; writing—review and editing, R.R. and M.K.S.; supervision, M.K.S.; All authors have read and agreed to the published version of the manuscript.

Funding

This research was funded by the Indian Institute of Technology (Indian School of Mines), Dhanbad, for providing financial assistance through the Junior Research Fellowship (JRF) scheme. This work is also partially supported by the Department of Science and Technology (DST) Science and Engineering Research Board (SERB), Govt. of India, grant number EMR/2016/001628.

Data Availability Statement

No new data were created or analyzed in this study. Data sharing is not applicable to this article.

Acknowledgments

The authors are thankful to the Indian Institute of Technology (Indian School of Mines), Dhanbad, for providing financial assistance through the JRF scheme.

Conflicts of Interest

The authors declare no conflict of interest. The funders had no role in the design of the study; in the collection, analysis, or interpretation of data; in the writing of the manuscript; or in the decision to publish the results.

Nomenclature

SymbolDimensionDescription
C h [ ML 3 ] Liquid phase contaminant concentration in heterogeneous medium
R [ ] Retardation factor
S h [ MM 1 ] Solid phase contaminant concentration in heterogeneous medium
ρ [ ML 3 ] Density
φ [ ] Porosity
η [ T 1 ] First-order decay rate coefficient
δ [ ML 3 T 1 ] Zero-order production rate
u x , v y [ LT 1 ] Advection coefficients in x , y directions
D x x , D y y [ L 2 T 1 ] Dispersion coefficient in x , y directions
x , y [ L ] Distance variables in Longitudinal Transversal directions
t [ T ] Time variable
k d [ M 1 L 3 ] Sorption coefficient
k l [ MM 1 ] Maximum sorption capacity
u , v [ LT 1 ] Initial groundwater velocities in x , y directions
D x 0 , D y 0 [ L 2 T 1 ] Constant dispersion coefficients in x , y directions
m 1 , m 2 [ T 1 ] Flow resistant coefficients
a 1 , a 2 [ L 1 ] Heterogeneity parameters of the porous medium
c 0 [ ML 3 ] Initial constant solute concentration
c 1 , c 2 [ ML 3 ] Sources of input concentration

References

  1. Ogata, A.; Banks, R.B. A Solution of the Differential Equation of Longitudinal Dispersion in Porous Media: Fluid Movement in Earth Materials; U.S. Government Printing Office: Washington, DC, USA, 1961. [Google Scholar]
  2. Kreft, A.; Zuber, A. On the Physical Meaning of the Dispersion Equation and Its Solutions for Different Initial and Boundary Conditions. Chem. Eng. Sci. 1978, 33, 1471–1480. [Google Scholar] [CrossRef]
  3. van Genuchten, M.T.; Alves, W.J. Analytical Solutions of the One-Dimensional Convective-Dispersive Solute Transport Equation; Technical Bullentin No. 1661; U.S. Department of Agriculture: Washington, DC, USA, 1982; 151p. [Google Scholar]
  4. Leij, F.J.; Skaggs, T.H.; van Genuchten, M.T. Analytical Solutions for Solute Transport in Three-dimensional Semi-infinite Porous Media. Water Resour. Res. 1991, 27, 2719–2733. [Google Scholar] [CrossRef]
  5. Guerrero, J.P.; Skaggs, T.H. Analytical Solution for One-Dimensional Advection-Dispersion Transport Equation with Distance-Dependent Coefficients. J. Hydrol. 2010, 390, 57–65. [Google Scholar] [CrossRef]
  6. Lee, T.-C. Applied Mathematics in Hydrogeology; CRC Press: Boca Raton, FL, USA, 2019. [Google Scholar]
  7. Chaudhary, M.; Thakur, C.K.; Singh, M.K. Analysis of 1-D Pollutant Transport in Semi-Infinite Groundwater Reservoir. Environ. Earth Sci. 2019, 79, 24. [Google Scholar] [CrossRef]
  8. Kumar, A.; Jaiswal, D.K.; Kumar, N. Analytical Solutions to One-Dimensional Advection–Diffusion Equation with Variable Coefficients in Semi-Infinite Media. J. Hydrol. 2010, 380, 330–337. [Google Scholar] [CrossRef]
  9. Singh, M.K.; Das, P. Scale Dependent Solute Dispersion with Linear Isotherm in Heterogeneous Medium. J. Hydrol. 2015, 520, 289–299. [Google Scholar] [CrossRef]
  10. Gasmi, H.; Khan, U.; Zaib, A.; Ishak, A.; Eldin, S.M.; Raizah, Z. Analysis of Mixed Convection on Two-Phase Nanofluid Flow Past a Vertical Plate in Brinkman-Extended Darcy Porous Medium with Nield Conditions. Mathematics 2022, 10, 3918. [Google Scholar] [CrossRef]
  11. Suk, H.; Chen, J.S.; Park, E.; Han, W.S. Two-Dimensional Semi-Analytical Solution of Land-Derived Solute Transport under Tidal Fluctuations Considering Variable Boundary Conditions on the Seaward Boundary. J. Hydrol. 2022, 606, 127441. [Google Scholar] [CrossRef]
  12. Suk, H. Semi-Analytical Solution of Land-Derived Solute Transport under Tidal Fluctuation in a Confined Aquifer. J. Hydrol. 2017, 554, 517–531. [Google Scholar] [CrossRef]
  13. Kumar, R.; Chatterjee, A.; Singh, M.K.; Tsai, F.T. Advances in analytical solutions for time-dependent solute transport model. J. Earth Syst. Sci. 2022, 131, 1–24. [Google Scholar] [CrossRef]
  14. Khan, U.; Zaib, A.; Abu Bakar, S.; Roy, N.C.; Ishak, A. Buoyancy Effect on the Stagnation Point Flow of a Hybrid Nanofluid toward a Vertical Plate in a Saturated Porous Medium. Case Stud. Therm. Eng. 2021, 27, 101342. [Google Scholar] [CrossRef]
  15. Angelini, O.; Brenner, K.; Hilhorst, D. A Finite Volume Method on General Meshes for a Degenerate Parabolic Convection–Reaction–Diffusion Equation. Numer. Math. 2013, 123, 219–257. [Google Scholar] [CrossRef][Green Version]
  16. Chernyshenko, A.Y.; Olshanskii, M.A.; Vassilevski, Y.V. A hybrid finite volume–finite element method for bulk–surface coupled problems. J. Comput. Phys. 2018, 352, 516–533. [Google Scholar] [CrossRef]
  17. Appadu, A.R.; Djoko, J.K.; Gidey, H.H. A Computational Study of Three Numerical Methods for Some Advection-Diffusion Problems. Appl. Math. Comput. 2016, 272, 629–647. [Google Scholar] [CrossRef]
  18. Johari, H.; Rusli, N.; Yahya, Z. Finite Difference Formulation for Prediction of Water Pollution. IOP Conf. Ser. Mater. Sci. Eng. 2018, 318, 012005. [Google Scholar] [CrossRef]
  19. Hutomo, G.D.; Kusuma, J.; Ribal, A.; Mahie, A.G.; Aris, N. February. Numerical Solution of 2-d Advection-Diffusion Equation with Variable Coefficient Using Du-Fort Frankel Method. J. Phys. Conf. Ser. 2019, 1180, 012009. [Google Scholar] [CrossRef]
  20. Singh, A.; Das, S.; Ong, S.H.; Jafari, H. Numerical Solution of Non-Linear Reaction–Advection–Diffusion Equation. J. Comput. Nonlinear Dyn. 2019, 14, 041003. [Google Scholar] [CrossRef]
  21. Su, L.; Wang, W.; Xu, Q. Finite Difference Methods for Fractional Dispersion Equations. Appl. Math. Comput. 2010, 216, 3329–3334. [Google Scholar] [CrossRef]
  22. Heris, M.S.; Javidi, M.; Ahmad, B. Analytical and Numerical Solutions of Riesz Space Fractional Advection Dispersion Equations with Delay. Comput. Model. Eng. Sci. 2019, 121, 249–272. [Google Scholar]
  23. Sun, L.; Qiu, H.; Wu, C.; Niu, J.; Hu, B.X. A Review of Applications of Fractional Advection–Dispersion Equations for Anomalous Solute Transport in Surface and Subsurface Water. Wiley Interdiscip. Rev. Water 2020, 7, e1448. [Google Scholar] [CrossRef]
  24. Tian, Z.F.; Ge, Y.B. A Fourth-Order Compact ADI Method for Solving Two-Dimensional Unsteady Convection-Diffusion Problems. J. Comput. Appl. Math. 2007, 198, 268–286. [Google Scholar] [CrossRef]
  25. Tian, Z.F. A Rational High-Order Compact ADI Method for Unsteady Convection–Diffusion Equations. Comput. Phys. Commun. 2011, 182, 649–662. [Google Scholar] [CrossRef]
  26. Chew, J.V.L.; Aruchunan, E.; Sulaiman, J. Efficiency Evaluation of Half-Sweep Newton-EGSOR Method to Solve 1D Nonlinear Porous Medium Equations. In Towards Intelligent Systems Modeling and Simulation; Springer: Cham, Switzerland, 2022; pp. 399–412. [Google Scholar]
  27. Singh, M.K.; Singh, R.K.; Pasupuleti, S. Study of Forward–Backward Solute Dispersion Profiles in a Semi-Infinite Groundwater System. Hydrol. Sci. J. 2020, 65, 1416–1429. [Google Scholar] [CrossRef]
  28. Jaiswal, D.K.; Kumar, N.; Yadav, R.R. Analytical Solution for Transport of Pollutant from Time-Dependent Locations along Groundwater. J. Hydrol. 2022, 610, 127826. [Google Scholar] [CrossRef]
  29. Huang, G.; Huang, Q.; Zhan, H. Evidence of One-Dimensional Scale-Dependent Fractional Advection–Dispersion. J. Contam. Hydrol. 2006, 85, 53–71. [Google Scholar] [CrossRef]
  30. Gao, G.; Zhan, H.; Feng, S.; Fu, B.; Huang, G. A Mobile–Immobile Model with an Asymptotic Scale-Dependent Dispersion Function. J. Hydrol. 2012, 424, 172–183. [Google Scholar] [CrossRef]
  31. Singh, R.K.; Paul, T.; Mahato, N.K.; Singh, M.K. Contaminant Dispersion with Axial Input Sources in Soil Media under Non-Linear Sorption. Environ. Technol. 2021, 44, 1903–1915. [Google Scholar] [CrossRef]
  32. Logan, J.D. Solute Transport in Porous Media with Scale-Dependent Dispersion and Periodic Boundary Conditions. J. Hydrol. 1996, 184, 261–276. [Google Scholar] [CrossRef]
  33. Mojtabi, A.; Deville, M.O. One-Dimensional Linear Advection–Diffusion Equation: Analytical and Finite Element Solutions. Comput. Fluids 2015, 107, 189–195. [Google Scholar] [CrossRef]
  34. Yadav, R.R.; Jaiswal, D.K. Two-dimensional solute transport for periodic flow in isotropic porous media: An analytical solution. Hydrol. Process. 2012, 26, 3425–3433. [Google Scholar] [CrossRef]
  35. Savovic, S.M.; Djordjevich, A. Explicit Finite Difference Solution for Contaminant Transport Problems with Constant and Oscillating Boundary Conditions. Therm. Sci. 2020, 24, 2225–2231. [Google Scholar] [CrossRef]
  36. Serrano, S.E. Propagation of Non-Linear Reactive Contaminants in Porous Media. Water Resour. Res. 2003, 39, 1228. [Google Scholar] [CrossRef]
  37. Batu, V. Applied Flow and Solute Transport Modeling in Aquifers: Fundamental Principles and Analytical and Numerical Methods; CRC Press: Boca Raton, FL, USA, 2005; ISBN 978-1-4200-3747-0. [Google Scholar]
  38. Weber, W.J.; McGinley, P.M.; Katz, L.E. Sorption Phenomena in Subsurface Systems: Concepts, Models and Effects on Contaminant Fate and Transport. Water Res. 1991, 25, 499–528. [Google Scholar] [CrossRef]
  39. Bosma, W.J.P.; Zee, S.E. Analytical Approximation for Non-Linear Adsorbing Solute Transport and First-Order Degradation. Transp. Porous Media 1993, 11, 33–43. [Google Scholar] [CrossRef]
  40. Zheng, C.; Bennett, G.D. Applied Contaminant Transport Modeling; Wiley-Interscience: New York, NY, USA, 2002; Volume 2. [Google Scholar]
  41. Aral, M.M.; Taylor, S.W. Groundwater Quantity and Quality Management; American Society of Civil Engineers: Reston, VA, USA, 2011. [Google Scholar]
  42. Freeze, R.A.; Cherry, J.A. Groundwater; Prentice-Hall: Hoboken, NJ, USA, 1979. [Google Scholar]
  43. Singh, M.K.; Kumari, P. Contaminant Concentration Prediction Along Unsteady Groundwater Flow. In Modelling and Simulation of Diffusive Processes: Methods and Applications; Basu, S.K., Kumar, N., Eds.; Simulation Foundations, Methods and Applications; Springer International Publishing: Cham, Switzerland, 2014; pp. 257–275. ISBN 978-3-319-05657-9. [Google Scholar]
  44. Savović, S.; Djordjevich, A. Finite Difference Solution of the One-Dimensional Advection–Diffusion Equation with Variable Coefficients in Semi-Infinite Media. Int. J. Heat Mass Transf. 2012, 55, 4291–4294. [Google Scholar] [CrossRef]
  45. Yadav, S.K.; Kumar, A.; Kumar, N. Horizontal Solute Transport from a Pulse Type Source along Temporally and Spatially Dependent Flow: Analytical Solution. J. Hydrol. 2012, 412–413, 193–199. [Google Scholar] [CrossRef]
  46. Pathania, T.; Eldho, T.I. A Moving Least Squares Based Meshless Element-Free Galerkin Method for the Coupled Simulation of Groundwater Flow and Contaminant Transport in an Aquifer. Water Resour. Manag. 2020, 34, 4773–4794. [Google Scholar] [CrossRef]
  47. Katopodes, N.D. Free-Surface Flow: Computational Methods; Butterworth-Heinemann: Oxford, UK, 2018. [Google Scholar]
  48. Alfarge, D.; Wei, M.; Bai, B. Chapter 8—Selection Criteria for Miscible Gases-Based EOR in Unconventional Liquid-Rich Reservoirs (ULR). In Developments in Petroleum Science; Alfarge, D., Wei, M., Bai, B., Bai, B., Chen, Z., Eds.; Developments in Petroleum Science; Elsevier: Amsterdam, The Netherlands, 2020; Volume 67, pp. 165–183. [Google Scholar]
Figure 1. Two-dimensional contaminant transport geometry of a soil medium with axial input sources.
Figure 1. Two-dimensional contaminant transport geometry of a soil medium with axial input sources.
Water 15 02676 g001
Figure 2. CN method-based approximation of the contaminant concentration distribution pattern in a 2D heterogeneous domain.
Figure 2. CN method-based approximation of the contaminant concentration distribution pattern in a 2D heterogeneous domain.
Water 15 02676 g002
Figure 3. ADI method-based approximation of the contaminant concentration distribution pattern in a 2D heterogeneous domain.
Figure 3. ADI method-based approximation of the contaminant concentration distribution pattern in a 2D heterogeneous domain.
Water 15 02676 g003
Figure 4. Contaminant concentration distribution patterns obtained by (a) CN method and (b) ADI method in a 2D heterogeneous domain under the assumption of linear sorption.
Figure 4. Contaminant concentration distribution patterns obtained by (a) CN method and (b) ADI method in a 2D heterogeneous domain under the assumption of linear sorption.
Water 15 02676 g004
Figure 5. Contour plot-based illustration of the distribution patterns of contaminant concentration generated by the CN method (shown by dotted lines) compared to the PDE toolbox (shown by solid lines).
Figure 5. Contour plot-based illustration of the distribution patterns of contaminant concentration generated by the CN method (shown by dotted lines) compared to the PDE toolbox (shown by solid lines).
Water 15 02676 g005
Figure 6. Comparative results of the proposed solution with the existing solution are (a) [31] for 2D axial dispersion and (b) [44] for 1D ADE.
Figure 6. Comparative results of the proposed solution with the existing solution are (a) [31] for 2D axial dispersion and (b) [44] for 1D ADE.
Water 15 02676 g006
Figure 7. Contaminant concentration distribution patterns for different soil mediums at time t = 2 years for (a) periodic, (b) exponential, and (c) asymptotic axial input sources.
Figure 7. Contaminant concentration distribution patterns for different soil mediums at time t = 2 years for (a) periodic, (b) exponential, and (c) asymptotic axial input sources.
Water 15 02676 g007
Figure 8. Contaminant concentration distribution patterns for different bulk densities.
Figure 8. Contaminant concentration distribution patterns for different bulk densities.
Water 15 02676 g008
Figure 9. Distribution pattern of the contaminant concentration for various values of the non-linearity power q .
Figure 9. Distribution pattern of the contaminant concentration for various values of the non-linearity power q .
Water 15 02676 g009
Figure 10. Contaminant concentration distribution patterns for different time domains.
Figure 10. Contaminant concentration distribution patterns for different time domains.
Water 15 02676 g010
Figure 11. Contaminant concentration distribution patterns for different dispersion coefficients.
Figure 11. Contaminant concentration distribution patterns for different dispersion coefficients.
Water 15 02676 g011
Figure 12. Contaminant concentration distribution patterns for non-linearity power α in Langmuir sorption for (a) sinusoidal, (b) exponential, and (c) asymptotic forms of input axial source.
Figure 12. Contaminant concentration distribution patterns for non-linearity power α in Langmuir sorption for (a) sinusoidal, (b) exponential, and (c) asymptotic forms of input axial source.
Water 15 02676 g012
Figure 13. Contaminant concentration distribution patterns for different sets of input data from the previous studies [45,46] compared to the proposed solution.
Figure 13. Contaminant concentration distribution patterns for different sets of input data from the previous studies [45,46] compared to the proposed solution.
Water 15 02676 g013
Figure 14. Contaminant concentration distribution patterns for varying and constant velocity parameters for (a) exponential, (b) sinusoidal, and (c) asymptotical axial sources.
Figure 14. Contaminant concentration distribution patterns for varying and constant velocity parameters for (a) exponential, (b) sinusoidal, and (c) asymptotical axial sources.
Water 15 02676 g014
Figure 15. Contaminant concentration distribution for different values of Peclect number in different soil media.
Figure 15. Contaminant concentration distribution for different values of Peclect number in different soil media.
Water 15 02676 g015
Figure 16. Contaminant concentration distribution for different values of Courant number in different soil media.
Figure 16. Contaminant concentration distribution for different values of Courant number in different soil media.
Water 15 02676 g016
Figure 17. Relation between the Peclet number (Pe) and Courant number (Cr) for various transport mediums.
Figure 17. Relation between the Peclet number (Pe) and Courant number (Cr) for various transport mediums.
Water 15 02676 g017
Table 1. Different forms of the axial input sources f 1 m 1 t , f 2 m 2 t .
Table 1. Different forms of the axial input sources f 1 m 1 t , f 2 m 2 t .
Sl. No.Forms of Axial Sources c 1 f 1 m 1 t c 2 f 2 m 2 t
1.Exponential c 1 exp m 1 t c 2 exp m 2 t
2.Sinusoidal c 1 sin m 1 t c 2 sin m 2 t
3.Asymptotic c 1 m 1 t 1 + m 1 t c 2 m 2 t 1 + m 2 t
Disclaimer/Publisher’s Note: The statements, opinions and data contained in all publications are solely those of the individual author(s) and contributor(s) and not of MDPI and/or the editor(s). MDPI and/or the editor(s) disclaim responsibility for any injury to people or property resulting from any ideas, methods, instructions or products referred to in the content.

Share and Cite

MDPI and ACS Style

Radha, R.; Singh, M.K. Axial Groundwater Contaminant Dispersion Modeling for a Finite Heterogeneous Porous Medium. Water 2023, 15, 2676. https://doi.org/10.3390/w15142676

AMA Style

Radha R, Singh MK. Axial Groundwater Contaminant Dispersion Modeling for a Finite Heterogeneous Porous Medium. Water. 2023; 15(14):2676. https://doi.org/10.3390/w15142676

Chicago/Turabian Style

Radha, Rashmi, and Mritunjay Kumar Singh. 2023. "Axial Groundwater Contaminant Dispersion Modeling for a Finite Heterogeneous Porous Medium" Water 15, no. 14: 2676. https://doi.org/10.3390/w15142676

APA Style

Radha, R., & Singh, M. K. (2023). Axial Groundwater Contaminant Dispersion Modeling for a Finite Heterogeneous Porous Medium. Water, 15(14), 2676. https://doi.org/10.3390/w15142676

Note that from the first issue of 2016, this journal uses article numbers instead of page numbers. See further details here.

Article Metrics

Back to TopTop