Sign in to use this feature.

Years

Between: -

Subjects

remove_circle_outline
remove_circle_outline
remove_circle_outline
remove_circle_outline
remove_circle_outline
remove_circle_outline
remove_circle_outline

Journals

Article Types

Countries / Regions

Search Results (24)

Search Parameters:
Keywords = continuum damage mechanics (CDM)

Order results
Result details
Results per page
Select all
Export citation of selected articles as:
21 pages, 4411 KB  
Article
Life Damage Online Monitoring Technology of a Steam Turbine Rotor Start-Up Based on an Empirical-Statistical Model
by Wenhe Liu, Baoguo Liang, Xuhui Wu, Mengmeng Yang, Zhihe Sun, Yucong Li, Mingze Yao, Zhanyang Xu and Feng Zhang
Technologies 2025, 13(9), 417; https://doi.org/10.3390/technologies13090417 - 15 Sep 2025
Viewed by 449
Abstract
In order to achieve fast and accurate life damage online monitoring of the steam turbine rotor, it was significant to propose an empirical-statistical model using a machine learning algorithm instead of finite element simulation to improve the effect of operation. The finite element [...] Read more.
In order to achieve fast and accurate life damage online monitoring of the steam turbine rotor, it was significant to propose an empirical-statistical model using a machine learning algorithm instead of finite element simulation to improve the effect of operation. The finite element method was used to calculate the maximum stress during the start-up schedule. The linear CDM (Continuum Damage Mechanics) and nonlinear CDM were applied to assess the creep-fatigue damage of the steam turbine rotor. A empirical-statistical model of a 600 MW steam turbine rotor was established by using temperature change rate and maximum stress according to the finite element result samples, which is proposed by compared R2 of SVR (Support Vector Regression), LSTM (Long Short-Term Memory) and RRM (Ridge Regression Method), which was also verified by finite element simulation under a random start-up parameters. The results showed that the creep-fatigue damage could be calculated by nonlinear CDM for more safety rather than linear CDM. The R2 of SVR (Support Vector Regression), LSTM (Long Short-Term Memory) and RRM were 0.9377, 0.9647 and 0.999, respectively. RRM was more suitable for the empirical-statistical model establishment of the steam turbine rotor. By comparing the empirical-statistical model result and finite element result under random parameters of the start-up schedule, the error is 0.51%. Full article
Show Figures

Figure 1

42 pages, 3989 KB  
Review
Numerical Analysis of Damage in Composites: From Intra-Layer to Delamination and Data-Assisted Methods
by Alireza Taherzadeh-Fard, Alejandro Cornejo, Sergio Jiménez and Lucia G. Barbu
Mathematics 2025, 13(10), 1578; https://doi.org/10.3390/math13101578 - 10 May 2025
Cited by 1 | Viewed by 2424
Abstract
The simulation of damage in composite materials is an important research area that impacts different engineering applications from aerospace structures to renewable energy systems. This review provides a comprehensive analysis of current damage modeling approaches, including intra-layer and inter-layer failures. Various numerical strategies, [...] Read more.
The simulation of damage in composite materials is an important research area that impacts different engineering applications from aerospace structures to renewable energy systems. This review provides a comprehensive analysis of current damage modeling approaches, including intra-layer and inter-layer failures. Various numerical strategies, such as continuum damage mechanics (CDM), cohesive zone models (CZM), extended finite element methods (XFEM), phase-field models (PFM), and peridynamics (PD), are examined to assess their efficiency in predicting crack initiation, propagation, and interaction. Additionally, the role of data-assisted (driven) techniques, such as machine learning, in enhancing predictive capabilities is explored. This review highlights the strengths and limitations of each approach, underscoring the need for further advancements in computational efficiency, multiscale modeling, and integration with experimental data. The findings serve as a foundation for future research into optimizing damage prediction techniques to improve the reliability and durability of composite structures. Full article
(This article belongs to the Special Issue Advanced Computational Mechanics)
Show Figures

Figure 1

20 pages, 8274 KB  
Article
A Structural Optimization Framework for Biodegradable Magnesium Interference Screws
by Zhenquan Shen, Xiaochen Zhou, Ming Zhao and Yafei Li
Biomimetics 2025, 10(4), 210; https://doi.org/10.3390/biomimetics10040210 - 28 Mar 2025
Viewed by 595
Abstract
Biodegradable magnesium alloys have garnered increasing attention in recent years, with magnesium alloy–based biomedical devices being clinically used. Unlike biologically inert metallic materials, magnesium-based medical devices degrade during service, resulting in a mechanical structure that evolves over time. However, there are currently few [...] Read more.
Biodegradable magnesium alloys have garnered increasing attention in recent years, with magnesium alloy–based biomedical devices being clinically used. Unlike biologically inert metallic materials, magnesium-based medical devices degrade during service, resulting in a mechanical structure that evolves over time. However, there are currently few computer-aided engineering methods specifically tailored for magnesium-based medical devices. This paper introduces a structural optimization framework for Mg-1Ca interference screws, accounting for degradation using a continuum damage model (CDM). The Optimal Latin Hypercube Sampling (OLHS) technique was employed to sample within the design space. Pull-out strengths were used as the optimization objective, which were calculated through finite element analysis (FEA). Both Response Surface Methodology (RSM) and Kriging models were employed as surrogate models and optimized using the Sequential Quadratic Programming (SQP) algorithm. The results from the Kriging model were validated through FEA, and were found to be acceptable. The relationships between the design parameters, the rationale behind the methodology, and its limitations are discussed. Finally, a final design is proposed along with recommendations for interference screw design. Full article
Show Figures

Figure 1

27 pages, 13706 KB  
Article
A New CDM-Based Approach for the Nonlinear Numerical Structural Analysis of Flax Fiber Reinforced Plastic
by Rostislav Svidler, Roman Rinberg, Sascha Mueller and Lothar Kroll
Modelling 2025, 6(1), 5; https://doi.org/10.3390/modelling6010005 - 15 Jan 2025
Cited by 1 | Viewed by 1936
Abstract
Fibre-reinforced polymers based on natural fibers, such as flax fibers, exhibit pronounced nonlinear orthotropic material behavior. This presents a significant challenge in finite element analysis (FEA) simulations, as the nonlinear constitutive models available in commercial FEA tools are difficult to apply and fail [...] Read more.
Fibre-reinforced polymers based on natural fibers, such as flax fibers, exhibit pronounced nonlinear orthotropic material behavior. This presents a significant challenge in finite element analysis (FEA) simulations, as the nonlinear constitutive models available in commercial FEA tools are difficult to apply and fail to capture all the material’s specific characteristics. Relying on initial or reduced secant moduli in linear quasi-static analyses of deformations or stress states can result in inaccurate outcomes and overly optimistic strength predictions, particularly in compression-dominated cases. However, with appropriate modifications, classical laminate theory (CLT) can be adapted for nonlinear analysis. This involves iteratively updating the components of the stiffness matrix for the unidirectional (UD) ply during the calculation process based on the current strain state and stress interactions. This study presents and discusses a computational algorithm for the FEA software ABAQUS/CAE 2019, which incorporates material-related orthotropic nonlinearities and stress-dependent interactions within the CLT framework. The algorithm represents a single-scale material model at the meso level (UD ply) and is based on the concept of orthotropic elasto-damage within the framework of continuum damage mechanics (CDM) theory. Numerical implementation is achieved through a user-defined field (USDFLD) subroutine, accompanied by a pre-processing Python script for managing experimental data, computing data fields, and calculating parameters. As shown below, this type of implementation appears justified compared to a user material subroutine (UMAT) subroutine in terms of computational efficiency and practicality. Full article
(This article belongs to the Special Issue Finite Element Simulation and Analysis)
Show Figures

Figure 1

16 pages, 6457 KB  
Article
Analysis of Damage Value of Aluminum Alloys—Application of a Continuum Damage Mechanics Model
by Vishavbandhu Kanwar, Vishwanath Managuli and Y. S. Upadhyaya
Appl. Mech. 2024, 5(4), 908-923; https://doi.org/10.3390/applmech5040050 - 1 Dec 2024
Viewed by 1567
Abstract
Damage refers to the degradation of a material subjected to an external condition such as loading, temperature, and environment. Several investigations have been undertaken to understand the damage of materials like steel, aluminum alloy, titanium alloy, and other materials. However, a comprehensive study [...] Read more.
Damage refers to the degradation of a material subjected to an external condition such as loading, temperature, and environment. Several investigations have been undertaken to understand the damage of materials like steel, aluminum alloy, titanium alloy, and other materials. However, a comprehensive study on the range of damage values for various materials is scarce. Therefore, an attempt has been made in the current study to investigate the range of damage values of 32 aluminum alloys because of their widespread applications in the aerospace, railway, automotive, and marine industries. The damage value of materials is determined by incorporating the Continuum Damage Mechanics (CDM)-based Bhattacharya and Ellingwood model. This model demands the monotonic properties of materials as inputs, and these are obtained from the literature. The critical damage values of the alloys were determined, and their values vary in the range of 0.1 to 0.9. It was observed that damage value is primarily influenced by plastic strain. The variation in the damage value of aluminum alloys is also analyzed under different plastic strain conditions. The comprehensive results of critical damage value and the variation in the damage value of the aluminum alloys obtained helps in selecting an appropriate aluminum alloy for applications where damage criteria play a significant role. Full article
Show Figures

Figure 1

24 pages, 16351 KB  
Article
Study on the Low-Velocity Impact Response and Damage Mechanisms of Thermoplastic Composites
by Liu Han, Hui Qi, Jinshui Yang, Fuqing Chu, Changliang Lin, Pingan Liu and Qian Zhang
Polymers 2024, 16(6), 791; https://doi.org/10.3390/polym16060791 - 13 Mar 2024
Cited by 6 | Viewed by 3558
Abstract
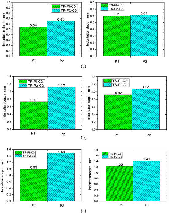
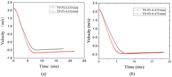
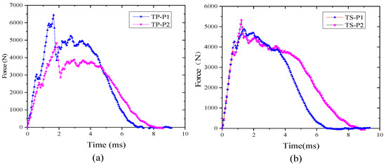
A comparative experimental and numerical study of the impact behaviour of carbon-fiber-reinforced thermoplastic (TP) and thermoset (TS) composites has been carried out. On the one hand, low velocity impact (LVI) tests were performed on TP and TS composites with different lay-up sequences at [...] Read more.
A comparative experimental and numerical study of the impact behaviour of carbon-fiber-reinforced thermoplastic (TP) and thermoset (TS) composites has been carried out. On the one hand, low velocity impact (LVI) tests were performed on TP and TS composites with different lay-up sequences at different energy levels, and the damage modes and microscopic damage mechanisms after impact were investigated using macroscale inspection, C-scan inspection, and X-ray-computed tomography. The comparative results show that the initial damage valve force under LVI depends not only on the material, but also on the layup sequence. The initial valve force of the P2 soft layer with lower stiffness is about 11% lower than that of the P1 quasi-isotropic layer under the same material, while the initial valve force of thermoplastic composites is about 28% lower than that of thermoset composites under the same stacking order. Under the same stacking order and impact energy level, the damage area and depth of TP composites are smaller than those of TS composites; while under the same material and impact energy level, the indentation depth of P2 plies is greater than that of P1 plies, and the damage area of P2 plies is smaller than that of P1 plies, but the change of thermoplastic composites is not as obvious as that of thermoset composites. This indicates that TP composites have a higher initial damage threshold energy and impact resistance at the same lay-up order, while increasing the lay-up ratio of the same material by 45° improves the impact resistance of the structure. In addition, a damage model based on continuum damage mechanics (CDM) was developed to predict different damage modes of thermoplastic composites during low velocity impact, and the analytical results were compared with the experimental results. At an impact energy of 4.45 J/mm, the error of the initial damage valve force is 5.26% and the error of the maximum impact force is 4.36%. The simulated impact energy and impact velocity curves agree with the experimental results, indicating that the finite element model has good reliability. Full article
(This article belongs to the Section Polymer Composites and Nanocomposites)
Show Figures

Figure 1

17 pages, 5448 KB  
Article
Mechanics of Pure Bending and Eccentric Buckling in High-Strain Composite Structures
by Jimesh D. Bhagatji, Oleksandr G. Kravchenko and Sharanabasaweshwara Asundi
Materials 2024, 17(4), 796; https://doi.org/10.3390/ma17040796 - 7 Feb 2024
Cited by 4 | Viewed by 2158
Abstract
To maximize the capabilities of nano- and micro-class satellites, which are limited by their size, weight, and power, advancements in deployable mechanisms with a high deployable surface area to packaging volume ratio are necessary. Without progress in understanding the mechanics of high-strain materials [...] Read more.
To maximize the capabilities of nano- and micro-class satellites, which are limited by their size, weight, and power, advancements in deployable mechanisms with a high deployable surface area to packaging volume ratio are necessary. Without progress in understanding the mechanics of high-strain materials and structures, the development of compact deployable mechanisms for this class of satellites would be difficult. This paper presents fabrication, experimental testing, and progressive failure modeling to study the deformation of an ultra-thin composite beam. The research study examines the deformation modes of a post-deployed boom under repetitive pure bending loads using a four-point bending setup and bending collapse failure under eccentric buckling. The material and fabrication challenges for ultra-thin, high-stiffness (UTHS) composite boom are discussed in detail. The continuum damage mechanics (CDM) model for the beam is calibrated using experimental coupon testing and was used for a finite element explicit analysis of the boom. It is shown that UTHS can sustain a bending radius of 14 mm without significant fiber and matrix damage. The finite element model accurately predicts the localized transverse fiber damage under eccentric buckling and buckling stiffness of 15.6 N/mm. The results of the bending simulation were found to closely match the experimental results, indicating that the simulation accurately shows deformation stages and predicts damage to the material. The findings of this research provide a better understanding of the structure characteristics with the progressive damage model of the UTHS boom, which can be used for designing a complex deployable payload for nano-micro-class satellites. Full article
Show Figures

Figure 1

30 pages, 5291 KB  
Article
Progressive Fatigue Modelling of Open-Hole Glass-Fibre Epoxy Laminates
by Victor Maneval, Nils-Petter Vedvik and Andreas T. Echtermeyer
J. Compos. Sci. 2023, 7(12), 516; https://doi.org/10.3390/jcs7120516 - 12 Dec 2023
Cited by 7 | Viewed by 2713
Abstract
The failure of composite laminates under cyclic fatigue loads is complex, as multiple failure mechanisms are in play at different scales and interact with each other. Predicting the remaining fatigue life as well as the residual capacities of a composite laminate or component [...] Read more.
The failure of composite laminates under cyclic fatigue loads is complex, as multiple failure mechanisms are in play at different scales and interact with each other. Predicting the remaining fatigue life as well as the residual capacities of a composite laminate or component is crucial, particularly for safety-critical applications. A progressive fatigue model is proposed to describe the catastrophic failure of open-hole laminates under tensile cyclic fatigue. To represent both intra-laminar and inter-laminar damage, a combination of a continuum damage mechanics model (CDM) and a discrete cohesive zone model (CZM) is implemented in the finite element (FE) software Abaqus. The CDM combines fibre- and matrix-dominated S-N curves with the Palmgren–Miner accumulation rule and Hashin’s residual strength to form a fatigue failure criterion differentiating between fibre failure (FF) and matrix failure (MF). The CZM implemented in this work is the CF20 model proposed by NASA. Fatigue cycling is simulated using an external cycle-jump scheme, where the stiffness degradation is conducted between the FE simulations outside of the implicit solver [90/0] s. Glass fibre reinforced polymer (GFRP) open-hole specimens were tested in tensile cyclic fatigue at a load ratio of 0.1. The experiments were reproduced numerically and the results compared. After calibration of a set of parameters based on one load level, the model was able to reproduce the experimental S-N curve very well, predicting a slope of −0.10, while the experimental value was −0.11. The failure sequence of the laminate was also successfully reproduced. The growth of the split from the hole, and its interaction with inter-laminar delamination, was successfully captured. The proposed approach was able to describe the fatigue failure of an open-hole laminate with a minimal set of material inputs using a simplified fatigue damage model while avoiding convergence issues. Full article
(This article belongs to the Section Composites Modelling and Characterization)
Show Figures

Figure 1

24 pages, 18378 KB  
Article
A Comparative Study on the Mechanical Properties of Open-Hole Carbon Fiber-Reinforced Thermoplastic and Thermosetting Composite Materials
by Liu Han, Yao Song, Hui Qi, Jin-Shui Yang, Shuang Li and Ping-An Liu
Polymers 2023, 15(22), 4468; https://doi.org/10.3390/polym15224468 - 20 Nov 2023
Cited by 10 | Viewed by 2838
Abstract
In this paper, the damage initiation/propagation mechanisms and failure modes of open-hole carbon fiber-reinforced thermoplastic composites and thermosetting composites with tension, compression, and bearing loads are investigated, respectively, by experiments and finite element simulations. The experimental evaluations are performed on the specimens using [...] Read more.
In this paper, the damage initiation/propagation mechanisms and failure modes of open-hole carbon fiber-reinforced thermoplastic composites and thermosetting composites with tension, compression, and bearing loads are investigated, respectively, by experiments and finite element simulations. The experimental evaluations are performed on the specimens using the Combined Loading Compression (CLC) test method, the tensile test method, and the single-shear test method. The differences in macroscopic damage initiation, evolution mode, and damage characteristics between thermoplastic composite materials and thermosetting composite material open-hole structures are obtained and analyzed under compressive load. Based on scanning electron microscope SEM images, a comparative analysis is conducted on the micro-failure modes of fibers, matrices, and fiber/matrix interfaces in the open-hole structures of thermoplastic and thermosetting composites under compressive load. The differences between thermoplastic and thermosetting composites were analyzed from the micro-failure mechanism. Finally, based on continuum damage mechanics (CDM), a damage model is also developed for predicting the initiation and propagation of damage in thermoplastic composites. The model, which can capture fiber breakage and matrix crack, as well as the nonlinear response, is used to conduct virtual compression tests, tensile test, and single-shear test, respectively. Numerical simulation results are compared with the extracted experimental results. The displacement-load curve and failure modes match the experimental result, which indicates that the finite element model has good reliability. Full article
Show Figures

Figure 1

15 pages, 5086 KB  
Article
Fatigue Life and Crack Initiation in Monopile Foundation by Fatigue FE Analysis
by Zhen-Ming Wang, Kyong-Ho Chang, Shazia Muzaffer and Mikihito Hirohata
Processes 2023, 11(5), 1317; https://doi.org/10.3390/pr11051317 - 24 Apr 2023
Cited by 4 | Viewed by 2590
Abstract
The construction of new renewable energy infrastructures and the development of new ocean resources continues to proceed apace. In this regard, the increasing size and capacity of offshore wind turbines demands that the size of their accompanying supporting marine structures likewise increase. The [...] Read more.
The construction of new renewable energy infrastructures and the development of new ocean resources continues to proceed apace. In this regard, the increasing size and capacity of offshore wind turbines demands that the size of their accompanying supporting marine structures likewise increase. The types of marine structures utilized for these offshore applications include gravity base, monopile, jacket, and tripod structures. Of these four types, monopile structures are widely used, given that they are comparatively easy to construct and more economical than other structures. However, constant exposure to harsh cyclic environmental loads can cause material deterioration or the initiation of fatigue cracks, which can then lead to catastrophic failures. In this paper, a 3D fatigue finite element analysis was performed to predict both the fatigue life and the crack initiation of a welded monopile substructure. The whole analysis was undertaken in three steps. First, a 3D non-steady heat conduction analysis was used to calculate the thermal history. Second, a thermal load was induced, as an input in 3D elastoplastic analysis, in order to determine welding residual stresses and welding deformation. Finally, the plastic strain and residual stress were used as inputs in a 3D fatigue FE analysis in order to calculate fatigue crack initiation and fatigue life. The 3D fatigue finite element analysis was based on continuum damage mechanics (CDM) and elastoplastic constitutive equations. The results obtained from the 3D fatigue finite element analysis were compared with hot spot stresses and Det Norske Veritas (DNV-GL) standards. Full article
(This article belongs to the Special Issue Reliability and Engineering Applications)
Show Figures

Figure 1

17 pages, 6528 KB  
Article
New Damage Accumulation Model for Spall Propagation Mechanism in Bearing Raceways
by Ravit Ohana, Renata Klein, Roni Shneck and Jacob Bortman
Materials 2023, 16(4), 1750; https://doi.org/10.3390/ma16041750 - 20 Feb 2023
Cited by 3 | Viewed by 2329
Abstract
The aim of this study was to investigate the spall propagation mechanism in ball bearing raceways using physics-based models. Spalling is one of the most common types of bearing failures that can lead to catastrophic failure. This research takes a step forward toward [...] Read more.
The aim of this study was to investigate the spall propagation mechanism in ball bearing raceways using physics-based models. Spalling is one of the most common types of bearing failures that can lead to catastrophic failure. This research takes a step forward toward developing a prognostic tool for ball bearings. It is first necessary to understand the spall progression process in order to formulate a constitutive law of spall deterioration and to estimate the amount of remaining useful life. Fragment formation in the vicinity of the spall edge was found to consist of surface and sub-surface cracks that eventually coalesce, and a fragment is released from the raceway, based on naturally-developed spalls. Here, we describe a physics-based model, integrating a dynamic model with a finite element one to simulate this process. A continuum damage mechanics (CDM) approach and fracture mechanics tools were embedded into the finite element model to simulate the damage propagation. The formation of cracks in the vicinity of the spall (surface and sub-surface cracks) were studied using this effective stress CDM model, and the propagation of the cracks was examined using two approaches: a fracture mechanics approach and an accumulated inelastic hysteresis energy CDM approach. The latter also predicts the overall process of a single fragment release. The simulation results of the spall propagation models are supported by experimental results of spalls from both laboratory experimental bearings and an in-service Sikorsky CH-53 helicopter swashplate bearing. The results obtained show that the impact of the ball on the spall edge affects the crack propagation and the appearance of the surface and sub-surface cracks. Both release the residual stresses and cause crack propagation until a fragment is released. Full article
Show Figures

Figure 1

29 pages, 15922 KB  
Article
A New Stress-Based Formulation for Modeling Notched Fiber-Reinforced Laminates
by Xian Liu, Linxin Wang, Quantian Luo, Zhonghao Bai, Qing Li and Jian Hu
Polymers 2022, 14(24), 5552; https://doi.org/10.3390/polym14245552 - 19 Dec 2022
Cited by 1 | Viewed by 2418
Abstract
Laminated plates are often modeled with infinite dimensions in terms of the so-called Whitney–Nuismer (WN) stress criteria, which form a theoretical basis for predicting the residual properties of open-hole structures. Based upon the WN stress criteria, this study derived a new formulation involving [...] Read more.
Laminated plates are often modeled with infinite dimensions in terms of the so-called Whitney–Nuismer (WN) stress criteria, which form a theoretical basis for predicting the residual properties of open-hole structures. Based upon the WN stress criteria, this study derived a new formulation involving finite width; the effects of notch shape and size on the applicability of new formulae and the tensile properties of carbon-fiber-reinforced plastic (CFRP) laminates were investigated via experimental and theoretical analyses. The specimens were prepared by using laminates reinforced by plain woven carbon fiber fabrics and machined with or without an open circular hole or a straight notch. Standard tensile tests were performed and measured using the digital image correlation (DIC) technique, aiming to characterize the full-field surface strain. Continuum damage mechanics (CDMs)-based finite element models were developed to predict the stress concentration factors and failure processes of notched specimens. The characteristic distances in the stress criterion models were calibrated using the experimental results of un-notched and notched specimens, such that the failure of carbon fiber laminates with or without straight notches could be analytically predicted. The experimental results demonstrated well the effectiveness of the present formulations. The new formula provides an effective approach to implementing a finite-width stress criterion for evaluating the tensile properties of notched fiber-reinforced laminates. In addition, the notch size has a great effect on strength prediction while the fiber direction has a great influence on the fracture mode. Full article
Show Figures

Graphical abstract

17 pages, 6519 KB  
Article
Assessment of Mechanical Properties for Three-Dimensional Needled Composites: A Geometric Partitioning Strategy Dealing with Mesoscopic Needling Damage
by Rongqiao Wang, Yu Liu, Xi Liu, Dianyin Hu, Jiangbo Han, Penghui Ma and Xiaojun Guo
Materials 2022, 15(16), 5659; https://doi.org/10.3390/ma15165659 - 17 Aug 2022
Cited by 6 | Viewed by 2319
Abstract
A geometric partitioning strategy was proposed to evaluate the mechanical properties of three-dimensional needled composites. The microstructure of the composite was divided to accurately characterize the mesoscopic damage in the needling regions and the macroscopic damage in the un-needling regions, to balance the [...] Read more.
A geometric partitioning strategy was proposed to evaluate the mechanical properties of three-dimensional needled composites. The microstructure of the composite was divided to accurately characterize the mesoscopic damage in the needling regions and the macroscopic damage in the un-needling regions, to balance the computational accuracy and efficiency. The general method of cells (GMC) models along with the damage criteria were established for different material phases in the needling regions, while the continuum damage mechanics (CDM) model was adopted to portray the damage evolution in the un-needling regions. Through conducting the multi-scale simulation, the mechanical properties of the needled composites were predicted, based upon which the effect of repeated needling on the mesoscale damage process was further investigated. Results showed that the predictions are in good agreement with the experiments, with a relative error of 2.6% for strength and 4.4% for failure strain. The proposed approach can provide guidance for the process optimization and design of needled composites. Full article
(This article belongs to the Special Issue Advanced Composite Materials: Theory, Design and Applications)
Show Figures

Figure 1

19 pages, 8653 KB  
Article
Influence of Failure Criteria and Intralaminar Damage Progression Numerical Models on the Prediction of the Mechanical Behavior of Composite Laminates
by Aniello Riccio, Concetta Palumbo, Valerio Acanfora, Andrea Sellitto and Angela Russo
J. Compos. Sci. 2021, 5(12), 310; https://doi.org/10.3390/jcs5120310 - 26 Nov 2021
Cited by 19 | Viewed by 3834
Abstract
This work evaluates the effectiveness of commonly adopted local damage evolution methods and failure criteria in finite element analysis for the simulation of intralaminar damage propagation in composites under static loading conditions. The proposed numerical model is based on a User Defined Material [...] Read more.
This work evaluates the effectiveness of commonly adopted local damage evolution methods and failure criteria in finite element analysis for the simulation of intralaminar damage propagation in composites under static loading conditions. The proposed numerical model is based on a User Defined Material subroutine (USERMAT) implemented in Ansys. This model is used to predict the evolution of damage within each specific lamina of a composite laminate by introducing both sudden and gradual degradation rules. The main purpose of the simulations is to quantitatively assess the influence of the adopted failure criteria in conjunction with degradation laws on the accuracy of the numerical predictions in terms of damage evolution and failure load. The mechanical behavior of an open hole tension specimen and of a notched stiffened composite panel under shear loading conditions have been numerically simulated by Progressive Damage Models (PDM). Different failure criteria have been implemented in the developed Ansys USERMAT, together with sudden and gradual degradation rules based on the Continuum Damage Mechanics (CDM) approach. Numerical results have been validated against experimental data to assess the effects of the different failure criteria and damage evolution law on the global mechanical response and local damage predictions in composite laminates. Full article
(This article belongs to the Special Issue Feature Papers in Journal of Composites Science in 2021)
Show Figures

Figure 1

12 pages, 4750 KB  
Article
Characterization and Numerical Modelling of Through-Thickness Metallic-Pin-Reinforced Fibre/Thermoplastic Composites under Bending Loading
by Holger Böhm, Hailun Zhang, Benjamin Gröger, Andreas Hornig and Maik Gude
J. Compos. Sci. 2020, 4(4), 188; https://doi.org/10.3390/jcs4040188 - 16 Dec 2020
Cited by 9 | Viewed by 3218
Abstract
Through-Thickness Reinforcement (TTR) technologies are well suited to improving the mechanical properties in the out-of-plane direction of fibre-reinforced composites. However, besides the enhancement of delamination resistance and thus the prevention of overall catastrophic failure, the presence of additional reinforcement elements in the composite [...] Read more.
Through-Thickness Reinforcement (TTR) technologies are well suited to improving the mechanical properties in the out-of-plane direction of fibre-reinforced composites. However, besides the enhancement of delamination resistance and thus the prevention of overall catastrophic failure, the presence of additional reinforcement elements in the composite structure affects also the mechanical properties in in-plane direction. In this work, the flexural behaviour of a glass-polypropylene (GF/PP) hybrid yarn-based composite with TTR in form of metallic pins has been investigated experimentally and numerically. The insertion of the metallic pins is realized via thermoactivated pinning technology (TAP). In four-point-bending tests, it is shown that the flexural stiffness and strength decreases with an increase of the overall pin density. Hereby, it is observed that the pins act as crack initiators. For numerical modelling on specimen level, a continuum damage mechanic (CDM) model is used to predict the nonlinear deformation response of the composite, as well as fibre fracture and matrix cracking. A debonding and slipping phenomena of the pin in the composite is modelled by a cohesive zone modelling approach for the interface between pin and composite. Full article
(This article belongs to the Special Issue Through Thickness-Reinforced Composites)
Show Figures

Figure 1

Back to TopTop