Life Damage Online Monitoring Technology of a Steam Turbine Rotor Start-Up Based on an Empirical-Statistical Model
Abstract
1. Introduction
2. Method
2.1. The Process Parameters of Start-Up
2.2. Finite Element Analysis Configuration
2.2.1. Finite Element Model
2.2.2. Boundary Condition
3. Result
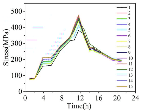
3.1. Temperature and Stress Analysis
3.2. Low-Cycle Fatigue Calculation
3.3. Creep Life Calculation
3.4. Creep-Fatigue Life Calculation
4. Distribution
4.1. Empirical-Statistical Model by Machine Learning Algorithm
4.2. Training of the Empirical-Statistical Model
4.2.1. Empirical-Statistical Model Based on SVR (Support Vector Regression)
4.2.2. Empirical-Statistical Model Based on LSTM (Long Short-Term Memory)
4.2.3. Empirical-Statistical Model Based on RRM (Ridge Regression Method)
4.3. The Empirical-Statistical Model Establishment and Verification
5. Conclusions
- (1)
- The creep-fatigue damage of the steam turbine rotor is more recommended by using nonlinear CDM rather than linear CDM, which is safer for the unit operation.
- (2)
- The maximum stress of the steam turbine rotor can be calculated by the steam temperature change rate under different stages during the start-up schedule. The R2 of SVR, LSTM and RRM is 0.9377, 0.9647 and 0.999, respectively. RRM is suitable for the empirical-statistical model establishment of the steam turbine rotor.
- (3)
- By comparing the empirical-statistical model result and finite element result under random parameters of the start-up schedule, the error is 0.51%.
Author Contributions
Funding
Institutional Review Board Statement
Informed Consent Statement
Data Availability Statement
Conflicts of Interest
References
- Li, B.; Cao, Y.; He, T.; Si, F. Thermodynamic analysis and operation strategy optimization of coupled molten salt energy storage system for coal-fired power plant. Appl. Therm. Eng. 2024, 236, 121702. [Google Scholar] [CrossRef]
- Zhu, G.; Guo, D.; Li, J.; Xie, Y.; Zhang, D. Intelligent steam turbine start-up control based on deep reinforcement learning. Energy 2025, 320, 135335. [Google Scholar] [CrossRef]
- Rusin, A.; Nowak, G.; Łukowicz, H.; Kosman, W.; Chmielniak, T.; Kaczorowski, M. Selecting optimal conditions for the turbine warm and hot start-up. Energy 2021, 214, 118836. [Google Scholar] [CrossRef]
- Ji, D.-M.; Sun, J.-Q.; Sun, Q.; Guo, H.-C.; Ren, J.-X.; Zhu, Q.-J. Optimization of start-up scheduling and life assessment for a steam turbine. Energy 2018, 160, 19–32. [Google Scholar] [CrossRef]
- Badur, J.; Bryk, M. Accelerated start-up of the steam turbine by means of controlled cold team injection. Energy 2019, 173, 1242–1255. [Google Scholar] [CrossRef]
- Ji, D.-M.; Sun, J.-Q.; Dui, Y.; Ren, J.-X. The optimization of the start-up scheduling for a 320 MW steam turbine. Energy 2017, 125, 345–355. [Google Scholar] [CrossRef]
- Celik, Y.; Ma, L.; Ingham, D.; Pourkashanian, M. Aerodynamic investigation of the start-up process of H-type vertical axis wind turbines using CFD. J. Wind. Eng. Ind. Aerodyn. 2020, 204, 104252. [Google Scholar] [CrossRef]
- Matsumoto, H.; Eki, Y.; Nigawara, S. An operation support expert system based on on-line dynamics simulation and fuzzy reasoning for startup schedule optimization in fossil power plants. IEEET Energy Convers. 1993, 8, 674–680. [Google Scholar] [CrossRef]
- Matsumoto, H.; Ohsawa, Y. Startup optimization of a combined cycle power plant based on cooperative fuzzy reasoning. IEEET Energy Convers. 1997, 12, 51–59. [Google Scholar] [CrossRef]
- Kamiya, A.; Kawai, K.; Ono, I.; Kobayashi, S. Theoretical proof of edge search strategy applied power plant start-up scheduling. IEEE Trans. Syst. Man Cybern. Part B (Cybern.) 2002, 32, 316–331. [Google Scholar] [CrossRef] [PubMed]
- Shirakawa, M.; Kawai, K.; Arakawa, M.; Nakayama, H. Intelligent start-up schedule optimization system for a thermal power plant. IFAC Proc. Vol. 2006, 39, 189–194. [Google Scholar] [CrossRef]
- Belkhir, F.; Cabo, D.K.; Feigner, F.; Frey, G. Optimal startup control of a steam power plant using the JModelica platform. IFAC-Pap. 2015, 48, 204–209. [Google Scholar] [CrossRef]
- Hübel, M.; Meinke, S.; Andrén, M.T.; Wedding, C.; Nocke, J.; Gierow, C.; Hassel, E.; Funkquist, J. Modelling and simulation of a coal-fired power plant for start-up optimisation. Appl. Energy 2017, 208, 319–331. [Google Scholar] [CrossRef]
- Shirakawa, M.; Yun, Y.; Arakawa, M. Intelligent multi-objective model predictive control applied to steam turbine start-up. J. Adv. Mech. Des. Syst. 2018, 12, JAMDSM0007. [Google Scholar] [CrossRef]
- Zhao, B.; Liu, L.; Zhang, W. Optimization of cold end system of steam turbine. Front. Energy Power Eng. China 2008, 2, 348–353. [Google Scholar] [CrossRef]
- Abadi, S.N.R.; Ahmadpour, A.; Meyer, J. CFD-based shape optimization of steam turbine blade cascade in transonic two phase flows. Appl. Therm. Eng. 2017, 112, 1575–1589. [Google Scholar] [CrossRef]
- Nowak, G.; Rusin, A. Using the artificial neural network to control the steam turbine heating process. Appl. Therm. Eng. 2016, 108, 204–210. [Google Scholar] [CrossRef]
- Hamzaoui, Y.E.; Rodríguez, J.A.; Hernández, J.A.; Salazar, V. Optimization of operating conditions for steam turbine using an artificial neural network inverse. Appl. Therm. Eng. 2015, 75, 648–657. [Google Scholar] [CrossRef]
- Banaszkiewicz, M. The low-cycle fatigue life assessment method for online monitoring of steam turbine rotors. Int. J. Fatigue 2018, 113, 311–323. [Google Scholar] [CrossRef]
- Filippatos, A.; Langkamp, A.; Gude, M. Influence of gradual damage on the structural dynamic behaviour of composite rotors: Simulation assessment. Materials 2018, 11, 2453. [Google Scholar] [CrossRef]
- Nikolaeva, S.I.; Veselova, N.M.; Zelyakovsky, D.V.; Nekhoroshev, D.D.; Sekaev, V. The efficiency evaluation of the power plants turbines control to optimize the agro-industrial complex objects power supply. IOP Conf. Ser. Earth Environ. Sci. 2022, 1069, 012033. [Google Scholar] [CrossRef]
- Rzadkowski, R.; Lampart, P.; Kwapisz, L.; Szymaniak, M.; Drewczynski, M. Transient thermoelastic analysis of a steam turbine during its start-up from the cold state. Adv. Vib. Eng. 2011, 10, 35–39. [Google Scholar]
- Wang, W.; Zhang, H.; Liu, P.; Li, Z.; Ni, W.; Uechi, H.; Matsumura, T. A finite element method approach to the temperature distribution in the inner casing of a steam turbine in a combined cycle power plant. Appl. Therm. Eng. 2016, 105, 18–27. [Google Scholar] [CrossRef]
- Leyzerovich, A.S. Reduce stress with proper on-line rotor temperature monitoring. Power 2007, 25, 827. [Google Scholar] [CrossRef]
- Zhao, N.; Wang, W.; Zhang, J.; Liu, Y. Numerical investigation on life improvement of low-cycle fatigue for an ultra-supercritical steam turbine rotor. J. Mech. Sci. Technol. 2016, 30, 1747–1754. [Google Scholar] [CrossRef]
- Radin, Y.A.; Kontorovich, T.S.; Golov, P.V. Monitoring the thermal stress state in steam turbines. Power Technol. Eng. 2020, 53, 719–723. [Google Scholar] [CrossRef]
- Nayebi, A. Creep analysis of a thin tube and continuum damage mechanics application. Mech. Res. Commun. 2010, 37, 412–416. [Google Scholar] [CrossRef]
- Mayer, H. Fatigue damage of low amplitude cycles in low carbon steel. J. Mater. Sci. 2009, 44, 4919–4929. [Google Scholar] [CrossRef]
- Xu, X.; Ming, W.; Zhou, Y.; Wu, J. Unlock the flexibility of combined heat and power for frequency response by coordinative control with batteries. IEEE Trans. Ind. Inf. 2020, 17, 3209–3219. [Google Scholar] [CrossRef]
- Guo, D.; Liu, T.; Zhang, D.; Xie, Y. Fast reconstruction method of the stress field for the steam turbine rotor based on deep fully convolutional network. J. Eng. Gas. Turbines Power 2022, 144, 021023. [Google Scholar] [CrossRef]
- Zhang, F.; Sun, M.; Sun, B.; Zhang, F.; Bai, Y.; Liu, Z. Temperature Dependency on the Microscopic Mechanism in the Normal Direction of Wrought AZ31 Sheet under Dynamic Compressive Behavior. Materials 2021, 14, 7436. [Google Scholar] [CrossRef]
- Sehitoglu, H. Fatigue life prediction of notched members based on local strain and elastic-plastic fracture mechanics concepts. Eng. Fract. Mech. 1983, 18, 609–621. [Google Scholar] [CrossRef]
- Kosman, G.; Rusin, A. The influence of the start-ups and cyclic loads of steam turbines conducted according to European standards on the component’s life. Energy 2001, 26, 1083–1099. [Google Scholar] [CrossRef]
- Jing, J.; Meng, G.; Sun, Y. An effective continuum damage mechanics model for creep-fatigue life assessment of a steam turbine rotor. Int. J. Press. Vessel. Pip. 2003, 80, 389–396. [Google Scholar] [CrossRef]
- Adinarayana, N.; Sastri, V.M.K. Estimation of convective heat transfer coefficients in industrial steam turbines. J. Press. Vessel. Technol. 1996, 118, 247–250. [Google Scholar] [CrossRef]
- Yuan, L.J. Thermal Stress Calculation and Start-Up Optimize of Intermediate Pressure Cylinder Start of 300MW Steam Turbine. Doctoral Dissertation, Northeast Dianli University, Jilin, China, 2005. [Google Scholar]
- Li, Y.W.; Li, C.B.; Wang, M.Y.; Wang, Z.Q. Investigation on low-cycle performance of 30Cr1Mo1V rotor steel and damage evolution. Turbine Technol. 1998, 40, 184–187. [Google Scholar]
- He, J.; Chen, J.; Sun, Q. Effect of loading rate on low-cycle fatigue properties of turbine rotor steel. Procedia Mater. Sci. 2014, 3, 1773–1779. [Google Scholar] [CrossRef]
- Jing, J.; Guang, M.; Yi, S.; Xia, S.B. A continuum damage mechanics model on creep rupture life assessment of a steam turbine rotor. J. Eng. Gas. Turbines Power 2006, 128, 173–177. [Google Scholar] [CrossRef]
- Wang, W.; Buhl, P.; Klenk, A.; Liu, Y. Study of creep–fatigue behavior in a 1000 MW rotor using a unified viscoplastic constitutive model with damage. Int. J. Damage Mech. 2016, 25, 178–202. [Google Scholar] [CrossRef]
- Rusin, A.; Nowak, G.; Lipka, M. Practical algorithms for online thermal stress calculations and heating process control. J. Therm. Stress. 2014, 37, 1286–1301. [Google Scholar] [CrossRef]
- Min, J.H.; Lee, Y. Bankruptcy prediction using support vector machine with optimal choice of kernel function parameters. Expert. Syst. Appl. 2005, 28, 603–614. [Google Scholar] [CrossRef]
- Li, Z.; Shi, J.; Li, M.; Fan, S.; Yao, K.; Wan, J. Online monitoring and fault early warning prediction method for the operational status of steam turbine sliding pin systems. Meas. Sci. Technol. 2025, 36, 016220. [Google Scholar] [CrossRef]
- Martin, G.; Galih, B. Data Reduction and Reconstruction of Wind Turbine Wake Employing Data Driven Approaches. Energies 2022, 15, 3773. [Google Scholar] [CrossRef]
- Martin-Diaz, I.; Morinigo-Sotelo, D.; Duque-Perez, O.; Osornio-Rios, R.A.; Romero-Troncoso, R.J. Hybrid algorithmic approach oriented to incipient rotor fault diagnosis on induction motors. ISA Trans. 2018, 80, 427–438. [Google Scholar] [CrossRef] [PubMed]
- Lv, M.; Li, H. Nonlinear Chirp Component Decomposition: A method based on elastic network regression. IEEE Trans. Instrum. Meas. 2021, 99, 3515813. [Google Scholar] [CrossRef]




















| Parameters | Temperature (°C) | ||||||
|---|---|---|---|---|---|---|---|
| 25 | 100 | 200 | 300 | 400 | 500 | 600 | |
| Young modulus (GPa) | 214 | 212 | 205 | 199 | 190 | 178 | 176 |
| Poisson ratio | 0.288 | 0.292 | 0.287 | 0.299 | 0.294 | 0.305 | 0.305 |
| Linear expansion coefficient (106 1/K) | 11.99 | 11.99 | 12.81 | 13.25 | 13.66 | 13.92 | 14.15 |
| Thermal conductivity (W/m K) | 44.8 | 44.8 | 44.8 | 42.8 | 40.8 | 37.5 | 35.3 |
| Specific heat (J/Kg K) | 599 | 599 | 599 | 624 | 666 | 720 | 804 |
| Temperature (°C) | Ultimate Strength (MPa) | Yield Strength (MPa) | Elongation (%) | Reduction of Area (%) |
|---|---|---|---|---|
| 25 | 811 | 653 | 20 | 56 |
| 200 | 731 | 593 | 17 | 53 |
| 300 | 703 | 571 | 17.3 | 55 |
| 427 | 648 | 532 | 20 | 61 |
| 482 | 598 | 507 | 22 | 65 |
| 510 | 565 | 482 | 23.4 | 69 |
| 538 | 532 | 465 | 25.5 | 74.5 |
| Temperature (°C) | ||
|---|---|---|
| 25 | 749.4 | 0.0504 |
| 280 | 734.0 | 0.0542 |
| 400 | 716.3 | 0.0662 |
| 480 | 629.1 | 0.0687 |
| 510 | 592.7 | 0.0648 |
| 538 | 495.9 | 0.0485 |
| 565 | 484.2 | 0.0458 |
| (MPa) | |||
|---|---|---|---|
| 419.38 | 0.00221 | 1.03 | 139.41 |
| (MPa) | Temperature (°C) | (h) | |
|---|---|---|---|
| 193 | 516.97 | 0.90 |
| Year | Fatigue Damage | Creep Damage | Creep-Fatigue Damage by Linear CDM | Creep-Fatigue Damage by Nonlinear CDM |
|---|---|---|---|---|
| 22 | 0.0865 | 0.0157 | 0.1022 | 0.132 |
| 23 | 0.0918 | 0.0164 | 0.1083 | 0.1426 |
| 24 | 0.0974 | 0.0172 | 0.1146 | 0.1536 |
| 25 | 0.1032 | 0.0179 | 0.1211 | 0.16625 |
| 26 | 0.1092 | 0.0187 | 0.1279 | 0.1794 |
| 27 | 0.1155 | 0.0195 | 0.1349 | 0.1944 |
| 28 | 0.1220 | 0.0202 | 0.1423 | 0.21 |
| 29 | 0.1289 | 0.0210 | 0.1499 | 0.2262 |
| 30 | 0.1361 | 0.0218 | 0.1579 | 0.2607 |
| 35 | 0.1791 | 0.0257 | 0.2048 | 0.40075 |
| 40 | 0.2427 | 0.0297 | 0.2724 | 0.5408 |
| S1 (°C/h) | S2 (°C/h) | S3 (°C/h) | S4 (°C/h) | S5 (°C/h) | S6 (°C/h) | S7 (°C/h) | (MPa) | Time (h) |
|---|---|---|---|---|---|---|---|---|
| 20.45 | 58.86 | 4.36 | 62.96 | 6.99 | 0.72 | 7.84 | 381.25 | 20.89 |
| No. | S1 (°C/h) | S2 (°C/h) | S3 (°C/h) | S4 (°C/h) | S5 (°C/h) | S6 (°C/h) | S7 (°C/h) | Time (h) |
|---|---|---|---|---|---|---|---|---|
| 1 | 20.45 | 58.86 | 4.36 | 62.96 | 6.99 | 0.72 | 7.84 | 20.89 |
| 2 | 23.83 | 75.11 | 4.13 | 21.09 | 13.71 | 1.41 | 10.25 | 20.90 |
| 3 | 21.84 | 75.11 | 4.54 | 5.98 | 18.27 | 1.88 | 15.37 | 18.95 |
| 4 | 23.83 | 81.94 | 3.30 | 23.61 | 15.99 | 1.65 | 25.62 | 25.15 |
| 5 | 23.83 | 68.28 | 3.30 | 44.70 | 13.71 | 1.41 | 20.50 | 13.50 |
| 6 | 23.83 | 81.94 | 4.95 | 5.35 | 9.14 | 0.94 | 10.25 | 14.55 |
| 7 | 19.85 | 68.28 | 4.95 | 21.09 | 18.27 | 1.88 | 25.62 | 20.99 |
| 8 | 25.81 | 81.94 | 4.54 | 10.39 | 18.27 | 1.88 | 15.37 | 24.62 |
| 9 | 25.81 | 81.94 | 4.95 | 18.26 | 18.27 | 1.88 | 5.12 | 14.10 |
| 10 | 23.83 | 88.77 | 5.37 | 24.55 | 13.71 | 1.41 | 10.25 | 13.21 |
| 11 | 25.81 | 75.11 | 5.37 | 13.85 | 13.71 | 1.41 | 25.62 | 11.43 |
| 12 | 17.87 | 81.94 | 4.95 | 19.52 | 15.99 | 1.65 | 5.12 | 21.94 |
| 13 | 25.81 | 47.80 | 5.37 | 1.89 | 27.41 | 2.82 | 10.25 | 13.83 |
| 14 | 25.81 | 81.94 | 4.95 | 0.31 | 18.27 | 1.88 | 25.62 | 25.72 |
| 15 | 23.83 | 88.77 | 5.37 | 1.57 | 13.71 | 1.41 | 15.37 | 15.03 |
| No. | 1 | 2 | 3 | 4 | 5 | 6 | 7 | 8 |
|---|---|---|---|---|---|---|---|---|
| MS (MPa) | 381.25 | 444.66 | 464.92 | 442.98 | 410.89 | 468.83 | 440.09 | 461.74 |
| No. | 9 | 10 | 11 | 12 | 13 | 14 | 15 | - |
| MS (MPa) | 450.4 | 447.98 | 454.33 | 447.98 | 454.33 | 476.65 | 476.36 | - |
| No. | S1 (°C/h) | S2 (°C/h) | S3 (°C/h) | S4 (°C/h) | S5 (°C/h) | S6 (°C/h) | S7 (°C/h) | Time (h) |
|---|---|---|---|---|---|---|---|---|
| 1 | 21.45 | 59.86 | 5.36 | 63.96 | 6.59 | 0.62 | 3.84 | 26.52 |
Disclaimer/Publisher’s Note: The statements, opinions and data contained in all publications are solely those of the individual author(s) and contributor(s) and not of MDPI and/or the editor(s). MDPI and/or the editor(s) disclaim responsibility for any injury to people or property resulting from any ideas, methods, instructions or products referred to in the content. |
© 2025 by the authors. Licensee MDPI, Basel, Switzerland. This article is an open access article distributed under the terms and conditions of the Creative Commons Attribution (CC BY) license (https://creativecommons.org/licenses/by/4.0/).
Share and Cite
Liu, W.; Liang, B.; Wu, X.; Yang, M.; Sun, Z.; Li, Y.; Yao, M.; Xu, Z.; Zhang, F. Life Damage Online Monitoring Technology of a Steam Turbine Rotor Start-Up Based on an Empirical-Statistical Model. Technologies 2025, 13, 417. https://doi.org/10.3390/technologies13090417
Liu W, Liang B, Wu X, Yang M, Sun Z, Li Y, Yao M, Xu Z, Zhang F. Life Damage Online Monitoring Technology of a Steam Turbine Rotor Start-Up Based on an Empirical-Statistical Model. Technologies. 2025; 13(9):417. https://doi.org/10.3390/technologies13090417
Chicago/Turabian StyleLiu, Wenhe, Baoguo Liang, Xuhui Wu, Mengmeng Yang, Zhihe Sun, Yucong Li, Mingze Yao, Zhanyang Xu, and Feng Zhang. 2025. "Life Damage Online Monitoring Technology of a Steam Turbine Rotor Start-Up Based on an Empirical-Statistical Model" Technologies 13, no. 9: 417. https://doi.org/10.3390/technologies13090417
APA StyleLiu, W., Liang, B., Wu, X., Yang, M., Sun, Z., Li, Y., Yao, M., Xu, Z., & Zhang, F. (2025). Life Damage Online Monitoring Technology of a Steam Turbine Rotor Start-Up Based on an Empirical-Statistical Model. Technologies, 13(9), 417. https://doi.org/10.3390/technologies13090417

