Sign in to use this feature.

Years

Between: -

Subjects

remove_circle_outline
remove_circle_outline
remove_circle_outline
remove_circle_outline
remove_circle_outline
remove_circle_outline
remove_circle_outline
remove_circle_outline
remove_circle_outline

Journals

remove_circle_outline
remove_circle_outline
remove_circle_outline
remove_circle_outline
remove_circle_outline
remove_circle_outline
remove_circle_outline
remove_circle_outline
remove_circle_outline
remove_circle_outline
remove_circle_outline
remove_circle_outline
remove_circle_outline
remove_circle_outline
remove_circle_outline
remove_circle_outline
remove_circle_outline
remove_circle_outline
remove_circle_outline
remove_circle_outline
remove_circle_outline
remove_circle_outline
remove_circle_outline
remove_circle_outline
remove_circle_outline
remove_circle_outline
remove_circle_outline
remove_circle_outline
remove_circle_outline
remove_circle_outline

Article Types

Countries / Regions

remove_circle_outline
remove_circle_outline
remove_circle_outline
remove_circle_outline
remove_circle_outline
remove_circle_outline

Search Results (2,310)

Search Parameters:
Keywords = conservation outcomes

Order results
Result details
Results per page
Select all
Export citation of selected articles as:
20 pages, 3491 KB  
Article
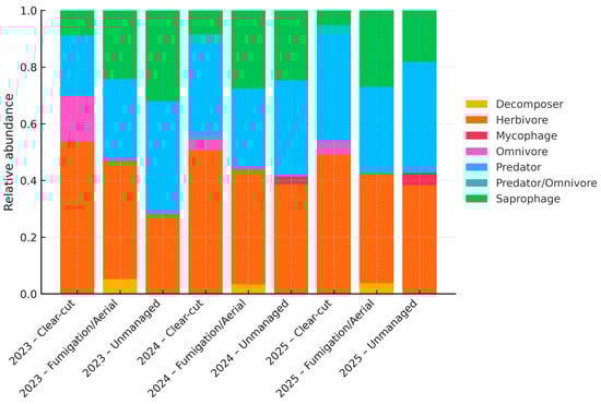
Pine Wilt Disease Control and Biodiversity: Three-Year Impacts of Management Regimes
by Man-Leung Ha, Chong Kyu Lee and Hyun Kim
Sustainability 2026, 18(3), 1244; https://doi.org/10.3390/su18031244 - 26 Jan 2026
Abstract
Control measures for pine wilt disease (PWD) are widely implemented, yet multi-year field comparisons that track biodiversity trajectories across contrasting management regimes remain limited. We conducted a 3-year (2023–2025) replicated study across nine pine-forest sites in Gyeongsangnam-do, Republic of Korea, comparing three management [...] Read more.
Control measures for pine wilt disease (PWD) are widely implemented, yet multi-year field comparisons that track biodiversity trajectories across contrasting management regimes remain limited. We conducted a 3-year (2023–2025) replicated study across nine pine-forest sites in Gyeongsangnam-do, Republic of Korea, comparing three management regimes (Clear-cut, Fumigation/Aerial, Unmanaged) to evaluate regime-associated patterns in ground-active beetle diversity, activity density, and community composition while considering understory vegetation cover. Regime-associated differences were consistent but dynamic: Unmanaged stands generally supported higher richness and Shannon diversity (H′), Clear-cut stands showed the lowest diversity immediately after harvest, and Fumigation/Aerial stands maintained the highest activity density. Assemblage composition separated strongly among regimes within each year, and indicator taxa highlighted regime-associated assemblage states, notably Pheropsophus jessoensis (Fumigation/Aerial), Carabus tuberculosus (Clear-cut), and Blindus strigosus (Unmanaged). Because regimes were assigned at the site level and were partially confounded by geographic region, we interpreted these outcomes as region-structured, regime-associated patterns rather than strictly causal effects. We recommend integrating PWD management with retention forestry (e.g., partial canopy and deadwood retention) and routine biodiversity monitoring to reconcile effective disease suppression with the long-term conservation of forest biodiversity. Full article
Show Figures

Figure 1

11 pages, 542 KB  
Review
Spondylolysis: A Narrative Review of Etiology, Diagnosis, and Management
by Vanessa Madden, Adam Ayoub, Jonathan Thomas and Ian Thomas
Int. J. Environ. Res. Public Health 2026, 23(2), 153; https://doi.org/10.3390/ijerph23020153 - 26 Jan 2026
Abstract
Background: Spondylolysis is a stress fracture of the pars interarticularis, most common in adolescents and athletes involved in sports requiring repetitive spinal loading, extension, and rotation. The condition is often underdiagnosed due to delays in presentation and diagnosis, particularly among non-orthopedic providers. Aims: [...] Read more.
Background: Spondylolysis is a stress fracture of the pars interarticularis, most common in adolescents and athletes involved in sports requiring repetitive spinal loading, extension, and rotation. The condition is often underdiagnosed due to delays in presentation and diagnosis, particularly among non-orthopedic providers. Aims: This review aims to summarize the current understanding of spondylolysis, focusing on its etiology, diagnosis, management strategies, and identify gaps in research for future exploration. Methods: A structured literature search was conducted in PubMed to identify studies relevant to pediatric and adolescent spondylolysis, spondylosis, and spondylolisthesis, particularly in the context of athletic injuries. The initial search yielded 143 citations. Applying filters for English language publications within the past five years reduced this to 125 citations. Limiting to populations that were aged 18 years and under returned 50 studies. After screening the titles and abstracts, 12 non-specific or irrelevant articles (including letters to the editor) were excluded, leaving a final dataset of 38 articles for detailed review. In addition, foundational and landmark studies outside this window were included to provide historical and conceptual context, bringing the total evidence base to 50 papers. Findings: Spondylolysis most commonly affects the L5 vertebra, with a higher incidence in male athletes. Conservative treatments like physical therapy and bracing are effective, especially when initiated early. However, the efficacy of bracing remains debated, with limited evidence on long-term clinical benefits. Surgical intervention is considered for severe or non-responsive cases. Diagnostic methods, including CT and MRI, are preferred, with emerging techniques like ultrasound showing potential for non-ionizing, cost-effective, early detection. Implications: Early diagnosis and treatment are crucial for preventing progression to spondylolisthesis. While conservative treatments often yield favorable outcomes, more research is needed to compare the effectiveness of bracing and pharmacological interventions. Future studies should focus on long-term outcomes, cost-effective, non-ionizing diagnostic methods, and the role of emerging therapies like regenerative medicine. A multi-disciplinary approach is vital for optimal patient care, particularly in young athletes. Full article
(This article belongs to the Special Issue Sports-Related Injuries in Children and Adolescents)
Show Figures

Figure 1

29 pages, 3011 KB  
Systematic Review
Climate-Related Extreme Weather and Urban Mental Health: A Traditional and Bayesian Meta-Analysis
by Teerachai Amnuaylojaroen, Nichapa Parasin and Surasak Saokaew
Earth 2026, 7(1), 14; https://doi.org/10.3390/earth7010014 - 25 Jan 2026
Abstract
Climate change-induced extreme weather events increasingly threaten public health, with a particularly acute impact on the mental well-being of urban populations. This study evaluates regional disparities in mental health outcomes associated with climate-induced extreme weather in urban environments, where social and infrastructural vulnerabilities [...] Read more.
Climate change-induced extreme weather events increasingly threaten public health, with a particularly acute impact on the mental well-being of urban populations. This study evaluates regional disparities in mental health outcomes associated with climate-induced extreme weather in urban environments, where social and infrastructural vulnerabilities exacerbate environmental stressors. We synthesized data from cohort and cross-sectional studies using both traditional frequentist and Bayesian meta-analytic frameworks to assess the mental health sequelae of extreme weather events (e.g., heatwaves, floods, droughts, and storms). The traditional meta-analysis indicated a significant increase in the odds of adverse mental health outcomes (OR = 1.32, 95% CI: 1.07–1.57). However, this global estimate was characterized by extreme heterogeneity (I2 = 95.8%), indicating that the risk is not uniform but highly context-dependent. Subgroup analyses revealed that this risk is concentrated in specific regions; the strongest associations were observed in Africa (OR = 2.23) and Europe (OR = 2.26). Conversely, the Bayesian analysis yielded a conservative estimate, suggesting a slight reduction in odds (mean OR = 0.92, 95% CrI: 0.87–0.98). This divergence is driven by the Bayesian model’s shrinkage of high-magnitude outliers toward the high-precision data observed in resilient, high-income settings (e.g., USA). Given the extreme heterogeneity observed (I2 = 95.8%), we caution against interpreting either pooled estimate as a universal effect size. Instead, the regional subgroup findings—particularly the consistently elevated risks in Africa and Europe—offer more stable and policy-relevant conclusions. These findings emphasize urgent, context-specific interventions in urban areas facing compounded climate social risks. Full article
Show Figures

Figure 1

26 pages, 2943 KB  
Review
Data-Driven Strategic Sustainability Initiatives of Beef and Dairy Genetics Consortia: A Comprehensive Landscape Analysis of the US, Brazilian and European Cattle Industries
by Karun Kaniyamattam, Megha Poyyara Saiju and Miguel Gonzalez
Sustainability 2026, 18(3), 1186; https://doi.org/10.3390/su18031186 - 24 Jan 2026
Viewed by 57
Abstract
The sustainability of the beef and dairy industry requires a systems approach that integrates environmental stewardship, social responsibility, and economic viability. Over the past two decades, global genetics consortia have advanced data-driven germplasm programs (breeding and conservation programs focusing on genetic resources) to [...] Read more.
The sustainability of the beef and dairy industry requires a systems approach that integrates environmental stewardship, social responsibility, and economic viability. Over the past two decades, global genetics consortia have advanced data-driven germplasm programs (breeding and conservation programs focusing on genetic resources) to enhance sustainability across cattle systems. These initiatives employ multi-trait selection indices aligned with consumer demands and supply chain trends, targeting production, longevity, health, and reproduction, with outcomes including greenhouse gas mitigation, improved resource efficiency and operational safety, and optimized animal welfare. This study analyzes strategic initiatives, germplasm portfolios, and data platforms from leading genetics companies in the USA, Europe, and Brazil. US programs combine genomic selection with reproductive technologies such as sexed semen and in vitro fertilization to accelerate genetic progress. European efforts emphasize resource efficiency, welfare, and environmental impacts, while Brazilian strategies focus on adaptability to tropical conditions, heat tolerance, and disease resistance. Furthermore, mathematical models and decision support tools are increasingly used to balance profitability with environmental goals, reducing sustainability trade-offs through data-driven resource allocation. Industry-wide collaboration among stakeholders and regulatory bodies underscores a rapid shift toward sustainability-oriented cattle management strategies, positioning genetics and technology as key drivers of genetically resilient and sustainable breeding systems. Full article
(This article belongs to the Collection Sustainable Livestock Production and Management)
Show Figures

Figure 1

21 pages, 1038 KB  
Review
A Systematic Review of Factors Influencing Life Cycle Assessment Outcomes in Aquaponics
by Syed Ejaz Hussain Mehdi, Aparna Sharma, Suleman Shahzad, Sandesh Pandey, Fida Hussain, Woochang Kang and Sang-Eun Oh
Water 2026, 18(3), 301; https://doi.org/10.3390/w18030301 - 23 Jan 2026
Viewed by 90
Abstract
Aquaponic systems are the integration of aquaculture and hydroponic systems to enhance productivity, reduce land use, and improve sustainability. This review focused on commonly used life cycle assessment (LCA) methodologies, system boundaries, and functional units used in aquaponics, standard impact categories, and identified [...] Read more.
Aquaponic systems are the integration of aquaculture and hydroponic systems to enhance productivity, reduce land use, and improve sustainability. This review focused on commonly used life cycle assessment (LCA) methodologies, system boundaries, and functional units used in aquaponics, standard impact categories, and identified hotspots. The scope is worldwide and encompasses a variety of aquaponic designs, fish species, and crops, illustrating the diversity of the systems examined. The analysis indicates that aquaponics provides the considerable environmental advantages of decreased fertilizer consumption and water conservation in comparison with aquaculture and hydroponic system. However, aquaponics systems are characterized by high energy consumption and may produce greater greenhouse gas (GHG) emissions compared to traditional farming methods when reliant on fossil fuel energy sources. Studies show that fish feed production, system infrastructure, and electricity usage for pumps, lights, heating, and other controls are hotspots. Harmonized comparisons of previous studies show methodological differences, especially in fish–plant co-production. Despite these variations, most believe that energy efficiency, renewable energy, feed optimization, and waste reuse may make aquaponics more sustainable. The study recommends the inclusion of broader environmental and social impacts. Also, future focus might be on making a standard functional unit or specifying system boundaries which might provide different accurate outcomes. Full article
(This article belongs to the Special Issue Advanced Water Management for Sustainable Aquaculture)
28 pages, 1929 KB  
Systematic Review
Implant-Supported Auricular Prostheses: Current Evidence and a Six-Year Clinical Case Report with Navigated Flapless Placement
by Gerardo Pellegrino, Leonardo Ciocca, Carlo Barausse, Subhi Tayeb, Claudia Angelino, Martina Sansavini and Pietro Felice
Appl. Sci. 2026, 16(3), 1192; https://doi.org/10.3390/app16031192 - 23 Jan 2026
Viewed by 103
Abstract
Background: Auricular defects resulting from congenital anomalies, trauma, or oncologic resection pose significant functional and psychosocial challenges. When autologous reconstruction is not feasible or not desired, implant-retained auricular prostheses represent a reliable alternative with high patient satisfaction. This study aimed to systematically [...] Read more.
Background: Auricular defects resulting from congenital anomalies, trauma, or oncologic resection pose significant functional and psychosocial challenges. When autologous reconstruction is not feasible or not desired, implant-retained auricular prostheses represent a reliable alternative with high patient satisfaction. This study aimed to systematically evaluate the clinical performance of craniofacial implants used for auricular prosthetic rehabilitation, focusing on implant survival, prosthetic outcomes, workflow typologies, and complications. A secondary objective was to illustrate the long-term validity of a minimally invasive navigation technique through a clinical case with 6-year follow-up. Methods: A systematic review was conducted according to PRISMA guidelines. Clinical studies published between 2005 and 2025 reporting outcomes of implant-retained auricular prostheses were searched in PubMed and Scopus databases. Data were extracted on implant type, survival rates, prosthetic performance, workflow, and complications. Risk of bias was assessed using appropriate tools based on each study design. Results: A total of thirty-two studies were included, comprising fifteen case reports, fifteen case series, one cohort study, and one prospective observational study. Implant survival was consistently high across all workflow categories, with failures predominantly associated with irradiated or anatomically compromised bone. Prosthetic outcomes were favorable, showing excellent esthetics, stable retention, and high patient satisfaction irrespective of manufacturing method, although digital and navigation-assisted workflows improved reproducibility, symmetry, and planning precision. Complication rates were low and generally limited to mild peri-abutment inflammation manageable with conservative care. The clinical case confirmed these findings, showing stable osseointegration, healthy soft tissues, and uncompromised prosthetic function at 6-year follow-up. Conclusions: Implant-retained auricular prostheses show predictable long-term success, independent of whether traditional, hybrid, or fully digital workflows are employed. Digital technologies enhance surgical accuracy, minimize morbidity, and streamline prosthetic fabrication, although high-quality comparative studies remain limited. Full article
(This article belongs to the Special Issue Innovative Techniques and Materials in Implant Dentistry)
Show Figures

Figure 1

20 pages, 2647 KB  
Article
Spatial-Scale Dependence and Non-Stationarity of Ecosystem Service Interactions and Their Drivers in the Black Soil Region of Northeast China During Multiple Ecological Restoration Projects
by Si-Yuan Yang, Ming Zhang, Hao-Rui Li, Shuai Ma and Liang-Jie Wang
Forests 2026, 17(2), 149; https://doi.org/10.3390/f17020149 - 23 Jan 2026
Viewed by 64
Abstract
The black soil region of Northeast China (NEC) is China’s most important food production base. Long-term inefficient land use has made its ecosystem vulnerable to widespread degradation, prompting the implementation of ecological restoration projects (ERPs) to enhance ecosystem service (ES) resilience. Yet, the [...] Read more.
The black soil region of Northeast China (NEC) is China’s most important food production base. Long-term inefficient land use has made its ecosystem vulnerable to widespread degradation, prompting the implementation of ecological restoration projects (ERPs) to enhance ecosystem service (ES) resilience. Yet, the complex interactions among key ESs, including grain production (GP), water yield (WY), soil conservation (SC), and carbon storage (CS), as well as the spatial non-stationarity of their driving factors post-ERPs, have caused spatially heterogeneous, scale-dependent ES relationships. To address these gaps, this study aims to analyze temporal changes in ESs across multiple scales in NEC from 2000 to 2020. By mapping the interactions and quantifying their intensities, we revealed spatial variations in driving factors under different ERPs. The results show that the Natural Wetland Conservation Project (NWCP) and Three-North Shelterbelt Program (TNSP) have led to overall improvements in all ESs. In contrast, the Grain for Green Program (GFGP), the Land Salinity/Sodicity Amelioration Project (LASP), and the Natural Forests Conservation Program (NFCP) are associated with trade-offs between ESs. Interactions between ESs exhibited clear spatial scale dependence, and the dominant drivers varied across scales and restoration contexts. These findings highlight the importance of considering spatial scale and non-stationarity when evaluating ecological restoration outcomes. This study provides a scientific basis for the development and management of ecological restoration programs in intensively managed agricultural regions worldwide, particularly those undergoing multiple, overlapping restoration interventions, from a multi-scale spatial perspective. Full article
(This article belongs to the Section Forest Ecology and Management)
10 pages, 1501 KB  
Article
Total Hip Arthroplasty with the Conservative Cementless MINIMA Size 1 Stem in Patients with a Small Femoral Canal: 3–6 Years of Follow-Up
by Maros Hrubina, Marian Melisik, Zoltan Cibula, Peter Lisy, Juraj Cabala, Milan Cipkala, Lubica Kasakova and Jana Hrubinova
J. Clin. Med. 2026, 15(2), 861; https://doi.org/10.3390/jcm15020861 - 21 Jan 2026
Viewed by 63
Abstract
Background: The objective of this study was to evaluate the short-term clinical and radiological outcomes of a conservative cementless stem (Minima) in total hip arthroplasty (THA) for patients presenting with a narrow femoral canal. Methods: We retrospectively analyzed 18 patients (18 THAs) who [...] Read more.
Background: The objective of this study was to evaluate the short-term clinical and radiological outcomes of a conservative cementless stem (Minima) in total hip arthroplasty (THA) for patients presenting with a narrow femoral canal. Methods: We retrospectively analyzed 18 patients (18 THAs) who received a size 1 Minima stem between 2018 and 2022. Clinical assessment was performed using the Harris Hip Score (HHS). Radiological evaluation focused on stem migration, trabecular bone development, cortical hypertrophy, and the presence of radiolucent or reactive lines. Implant survival was determined using Kaplan–Meier analysis. Results: The mean patient age was 51.6 years, with an average follow-up of 57 months. The mean HHS improved significantly from 38.3 preoperatively to 96.4 at the final evaluation (p < 0.001). Initial stem migration occurred in two hips (11.1%) within the first 6 postoperative months, with no further progression or loosening observed thereafter. Bony trabecular development was identified in Gruen zones 3 (27.8%), 4 (5.5%), and 5 (16.7%). Reactive lines were present around four stems (zones 3–5). One intraoperative complication (5.5%) occurred (acetabular component migration during trial reduction), which required screw fixation. No revisions were performed. Both clinical and radiological implant survival at the final follow-up was 100.0%. Conclusions: At a mean follow-up of 57 months, the use of the size 1 Minima stem in patients with a narrow femoral canal demonstrated excellent clinical and radiological outcomes. These findings suggest that this conservative stem is a reliable option for this specific patient population. Full article
(This article belongs to the Special Issue Advances in Trauma and Orthopedic Surgery: 3rd Edition)
Show Figures

Figure 1

16 pages, 661 KB  
Article
Assessment of Patient Expectations and Preferences Following OPHL: Results from an Evaluation Study
by Erika Crosetti, Francesca Piccinini, Anastasia Dyrda, Daniela Nassisi, Marco Fantini and Giovanni Succo
Curr. Oncol. 2026, 33(1), 63; https://doi.org/10.3390/curroncol33010063 - 21 Jan 2026
Viewed by 68
Abstract
Open partial horizontal laryngectomy (OPHL) is a key conservative option for laryngeal cancer, with established oncological outcomes but limited data on functional results and patient perspectives. Voice preservation is mainly associated with type I OPHL, whereas types II–III often result in significant but [...] Read more.
Open partial horizontal laryngectomy (OPHL) is a key conservative option for laryngeal cancer, with established oncological outcomes but limited data on functional results and patient perspectives. Voice preservation is mainly associated with type I OPHL, whereas types II–III often result in significant but broadly comparable impairments, making vocal decline the main limitation of OPHL. Patient-reported outcomes (PROs) help clarify the balance between treatment efficacy and side effects. This single-institution study analyzed 70 consecutive OPHL patients (12 women, 17.1%; 58 men, 82.9%), mean age 65.9 years (SD 8.96), with a median follow-up of 52.5 months (range 2–218). PROs were assessed using the Priority Scale, the V-RQOL, the MDADI, the Decisional Conflict Scale, the Decisional Regret Scale, and the Brief Pain Inventory. The Priority Scale showed that curing cancer (98.6%) and prolonging life (82.9%) were top concerns, while only 34.3% prioritized natural voice preservation. V-RQOL averaged 77.4/100, indicating limited impact of voice on quality of life; MDADI was 78.5/100, reflecting minimal swallowing difficulties. Decisional Conflict averaged 34.3/100, with 30% reporting no difficulty; Decisional Regret was low (13.0/100), with only 1.4% expressing moderate regret. Most patients (78.6%) reported no pain. Overall, OPHL provided satisfactory functional and decisional outcomes, with high patient satisfaction despite the complexity of treatment. Full article
(This article belongs to the Section Head and Neck Oncology)
Show Figures

Figure 1

22 pages, 4982 KB  
Article
Real-Time Analysis of Concrete Placement Progress Using Semantic Segmentation
by Zifan Ye, Linpeng Zhang, Yu Hu, Fengxu Hou, Rui Ma, Danni Luo and Wenqian Geng
Buildings 2026, 16(2), 434; https://doi.org/10.3390/buildings16020434 - 20 Jan 2026
Viewed by 95
Abstract
Concrete arch dams represent a predominant dam type in water conservancy and hydropower projects in China. The control of concrete placement progress during construction directly impacts project quality and construction efficiency. Traditional manual monitoring methods, characterized by delayed response and strong subjectivity, struggle [...] Read more.
Concrete arch dams represent a predominant dam type in water conservancy and hydropower projects in China. The control of concrete placement progress during construction directly impacts project quality and construction efficiency. Traditional manual monitoring methods, characterized by delayed response and strong subjectivity, struggle to meet the demands of modern intelligent construction management. This study introduces machine vision technology to monitor the concrete placement process and establishes an intelligent analysis system for construction scenes based on deep learning. By comparing the performance of U-Net and DeepLabV3+ semantic segmentation models in complex construction environments, the U-Net model, achieving an IoU of 89%, was selected to identify vibrated and non-vibrated concrete areas, thereby optimizing the concrete image segmentation algorithm. A comprehensive real-time analysis method for placement progress was developed, enabling automatic ternary classification and progress calculation for key construction stages, including concrete unloading, spreading, and vibration. In a continuous placement case study of Monolith No. 3 at a project site, the model’s segmentation results showed only an 8.2% error compared with manual annotations, confirming the method’s real-time capability and reliability. The research outcomes provide robust data support for intelligent construction management and hold significant practical value for enhancing the quality and efficiency of hydraulic engineering construction. Full article
(This article belongs to the Section Building Structures)
Show Figures

Figure 1

15 pages, 2662 KB  
Case Report
Multidisciplinary Approach for Dental Management of Congenital Insensitivity to Pain with Anhidrosis: Clinical Case Report with 12-Month Follow-Up
by Almoataz B. A. T. Abdel-bari, Mohamed Fawzy, Khaled A. Saad and Hatem A. Alhadainy
Dent. J. 2026, 14(1), 68; https://doi.org/10.3390/dj14010068 - 20 Jan 2026
Viewed by 118
Abstract
Background: Congenital Insensitivity to Pain and Anhidrosis (CIPA) is a rare autosomal recessive disorder characterized by congenital analgesia, anhidrosis, and multisystem involvement affecting the musculoskeletal, cutaneous, oral, and para-oral structures. This case report describes the oral phenotype and multidisciplinary clinical management of a [...] Read more.
Background: Congenital Insensitivity to Pain and Anhidrosis (CIPA) is a rare autosomal recessive disorder characterized by congenital analgesia, anhidrosis, and multisystem involvement affecting the musculoskeletal, cutaneous, oral, and para-oral structures. This case report describes the oral phenotype and multidisciplinary clinical management of a child with CIPA. Case Description: A 9-year-old boy presented with poor oral hygiene, multiple severely damaged teeth, masticatory difficulty, limited mouth opening, impaired bolus control, and para-oral traumatic injuries. Medical and orthopedic history indicated recurrent painless fractures, self-inflicted injuries, cutaneous scarring, and recurrent hyperpyrexia. Oral self-injury associated with CIPA was suspected and supported by the Nociception Assessment Test and Minor’s Iodine–Starch Test. Although the clinical findings were suggestive of CIPA, the diagnosis remained presumptive due to the absence of confirmatory molecular or histopathological testing. Management: A wearable wireless continuous temperature-monitoring device was prescribed to assist in tracking hyperpyrexia associated with CIPA (RHA-CIPA). A conservative, staged, multidisciplinary treatment was planned rather than full-mouth extraction, emphasizing prevention of dental sepsis and mitigation of future self-injury. Dental procedures were performed under local anesthesia to manage discomfort related to tactile hyperesthesia. To reduce nocturnal biting and oral trauma, a hard acrylic occlusal protector was fabricated using an intraoral scanner and a 3D-printed cast. The patient was followed for 12 months. Outcomes: At the 12-month follow-up, clinical improvement was observed, with particularly notable gains in cheek elasticity and soft tissue resilience. Conclusions: This case highlights the considerable challenges involved in the interdisciplinary management of children with CIPA, including oral self-injury prevention, limited mouth opening, and the necessity of close coordination with medical specialties. These findings are descriptive observations of a single case and do not establish efficacy or generalizability of any intervention. Full article
Show Figures

Figure 1

15 pages, 278 KB  
Review
Ethological Constraints and Welfare-Related Bias in Laboratory Mice: Implications of Housing, Lighting, and Social Environment
by Henrietta Kinga Török and Boróka Bárdos
Animals 2026, 16(2), 314; https://doi.org/10.3390/ani16020314 - 20 Jan 2026
Viewed by 94
Abstract
Laboratory mice are the most widely used model organisms in biomedical and behavioral research, yet growing concerns regarding reproducibility and translational validity have highlighted the substantial influence of housing and husbandry conditions on experimental outcomes. Although domestication is often assumed to have rendered [...] Read more.
Laboratory mice are the most widely used model organisms in biomedical and behavioral research, yet growing concerns regarding reproducibility and translational validity have highlighted the substantial influence of housing and husbandry conditions on experimental outcomes. Although domestication is often assumed to have rendered laboratory mice fully adapted to artificial environments, evidence from ethology indicates that many core behavioral and physiological needs remain conserved. As a result, standard laboratory housing may generate chronic stress, alter behavior, and introduce systematic bias into experimental data. This narrative review critically examines how ethological constraints persisting after domestication interact with key environmental factors, social housing, environmental enrichment, ambient temperature, and lighting regimes to shape welfare and experimental validity in laboratory mice. Rather than providing an exhaustive overview of mouse behavior, the review adopts a problem-oriented and solution-focused approach, highlighting specific welfare-related mechanisms that can distort behavioral and physiological readouts. Particular attention is given to social isolation and aggression in male mice, the role of nesting material in mitigating thermal stress, and the effects of circadian disruption under standard and reversed light–dark cycles. By integrating ethological theory with laboratory animal welfare research, this review argues that housing conditions should be regarded as integral components of experimental design rather than secondary technical variables. Addressing welfare-related bias through evidence-based refinement strategies is essential for improving reproducibility, enhancing data interpretability, and strengthening the scientific validity of mouse-based research. Full article
(This article belongs to the Section Animal Welfare)
12 pages, 615 KB  
Article
Factors Affecting Axillary Lymph Node Involvement Based on Permanent Section Evaluation of the Excised Sentinel Lymph Nodes in Early-Stage Breast Cancer Patients: A Single-Center Retrospective Study
by Hakan Baysal, Tunc Eren, Kubra Kargici, Ozge Kapar, Begumhan Baysal and Orhan Alimoglu
Medicina 2026, 62(1), 213; https://doi.org/10.3390/medicina62010213 - 20 Jan 2026
Viewed by 109
Abstract
Background and Objectives: Sentinel lymph node (LN) biopsy (SLNB) remains to be the standard approach for surgical axillary staging of breast cancer (BC) patients. The aim of this study was to investigate the factors that affect axillary LN involvement in early BC patients. [...] Read more.
Background and Objectives: Sentinel lymph node (LN) biopsy (SLNB) remains to be the standard approach for surgical axillary staging of breast cancer (BC) patients. The aim of this study was to investigate the factors that affect axillary LN involvement in early BC patients. Materials and Methods: Clinically node negative early stage (cT1-2N0) BC patients having undergone breast conserving surgery (BCS) between February 2021 and January 2024 were included. During axillary exploration of all cases, sentinel LNs were excised and reserved for permanent section pathological examination (PS) only. Historical records of patients including clinicopathological features, surgical outcomes as well as pathological results were recorded and analyzed retrospectively. p < 0.05 indicated statistically significant results. Results: The study group consisted of 150 women with cT1-2N0 BC having undergone BCS with a median age of 59 (range: 25–81) years. According to the PS results of the sentinel LNs, the need for reoperation to complete axillary lymph node dissection was present in three (2%) patients. Tumors of the Luminal B subtype were significantly associated with increased sentinel LN positivity (p = 0.014). The risk of sentinel LN metastasis was found to be 5.2 times greater in patients with a Ki-67 ≥ %14 [OR: 5.224 (%95 CI:1.73–15.82, p = 0.003)] and the Ki-67 proliferation index was determined as an independent risk factor. Conclusions: In early-stage BC patients, PS of the excised sentinel LN offers sufficient axillary LN staging. On the other hand, a more careful clinical assessment is necessary for early BC patients harboring tumors with an elevated Ki-67 index and/or tumors of the Luminal B subtype. Full article
(This article belongs to the Section Surgery)
Show Figures

Figure 1

13 pages, 537 KB  
Article
HDR Brachytherapy in the Treatment of Skin Kaposi Sarcoma: A Mono-Institutional Series
by Bianca Santo, Elisa Ciurlia, Maria Cristina Barba, Elisa Cavalera, Rosa Coppola, Paola De Franco, Sara De Matteis, Giuseppe Di Paola, Angela Leone, Antonella Papaleo, Donatella Russo, Dino Rubini, Giuseppe Rubini and Angela Sardaro
Cancers 2026, 18(2), 319; https://doi.org/10.3390/cancers18020319 - 20 Jan 2026
Viewed by 116
Abstract
Background: Kaposi sarcoma (KS) is a multifocal, angioproliferative neoplasm strongly associated with human herpesvirus-8 infection. Radiotherapy(RT) is a well established treatment due to the intrinsic radiosensitivity of KS lesions. High-dose-rate contact brachytherapy allows precise dose delivery with optimal sparing of surrounding tissues; however, [...] Read more.
Background: Kaposi sarcoma (KS) is a multifocal, angioproliferative neoplasm strongly associated with human herpesvirus-8 infection. Radiotherapy(RT) is a well established treatment due to the intrinsic radiosensitivity of KS lesions. High-dose-rate contact brachytherapy allows precise dose delivery with optimal sparing of surrounding tissues; however, its application in KS remains poorly documented. Methods: We conducted a retrospective analysis of 10 patients with histologically confirmed KS treated with c-HDR-BRT between June 2010 and June 2023. A total of 40 cutaneous lesions were treated using Leipzig applicators with hypofractionated regimens: 10 Gy in 1 fraction, 20 Gy in 2 fractions, or 30 Gy in 3 fractions. Treatment parameters were individualized based on lesion size and location. Local control (LC), overall survival (OS), disease-specific survival (DSS), and toxicity (graded by the RTOG criteria) were evaluated. Follow-up assessments were performed every four months during the first year and annually thereafter. Results: At a median follow-up of 10.3 years, the 2-year LC, OS, and DSS rates were 100%. Complete response was achieved in 62.5% of lesions, with a partial response observed in 37.5%. Grade 1–2 acute skin toxicities were recorded in 55% of treated lesions, while grade 3 toxicity occurred in a single case (2.5%) and was managed conservatively. The hypofractionated schedule significantly improved patient compliance, particularly in those with multiple lesions requiring sequential irradiation. Conclusions: Our long-term institutional experience supports c-HDR-BRT as a feasible and well tolerated local treatment option for the management of KS, providing favorable long-term local outcomes. These results support the inclusion of c-HDR-BRT in the multidisciplinary treatment of KS, warranting further prospective evaluation. Full article
(This article belongs to the Section Cancer Therapy)
Show Figures

Figure 1

18 pages, 748 KB  
Article
Endolymphatic Sac Surgery in Refractory Ménière’s Disease: Exploratory Associations and Postoperative Clinical Outcomes in a Bicentric Cohort
by Eleonore Lebelle, Maria-Pia Tuset, Ralph Haddad, Dario Ebode, Daniel Levy, Laetitia Ros, Quentin Mat, Mary Daval, Justin Michel, Laure De Charnace and Stéphane Gargula
Audiol. Res. 2026, 16(1), 15; https://doi.org/10.3390/audiolres16010015 - 20 Jan 2026
Viewed by 97
Abstract
Background/Objectives: Endolymphatic sac surgery (ELSS) is a non-destructive surgical option for medically refractory Ménière’s disease (MD), yet factors influencing surgical outcomes remain poorly understood. This exploratory study aimed to describe clinical outcomes following ELSS and identify potential associations between preoperative characteristics and [...] Read more.
Background/Objectives: Endolymphatic sac surgery (ELSS) is a non-destructive surgical option for medically refractory Ménière’s disease (MD), yet factors influencing surgical outcomes remain poorly understood. This exploratory study aimed to describe clinical outcomes following ELSS and identify potential associations between preoperative characteristics and surgical success. Methods: This retrospective, bicentric cohort study included 45 patients with definite MD who underwent ELSS (predominantly endolymphatic duct blockage) between 2019 and 2024. Vertigo control was assessed using AAO-HNS criteria. Hearing outcomes were evaluated through pure-tone and speech audiometry. Univariate analyses explored associations between demographic, clinical, imaging, and surgical variables and treatment outcomes. Results: Surgical success (Class A/B vertigo control) was achieved in 66.7% of patients (95% CI: 51.0–80.0%). In a post hoc exploratory analysis, longer disease duration (>5 years) showed an association with better outcomes (87.5% vs. 55.2%, p = 0.029), though this threshold was not prespecified and requires validation. Hearing was preserved in 77.5% of patients at 45-day follow-up but declined progressively to 50% at 2 years. Seven patients developed postoperative Tumarkin attacks, with five requiring non-conservative interventions. ELSS demonstrated low morbidity, with one labyrinthitis as the only significant complication. Conclusions: ELSS was associated with vertigo control in two-thirds of patients with refractory MD, with a favorable safety profile. Longer disease duration before surgery may be associated with improved outcomes, though this exploratory finding requires confirmation in prospective studies. The progressive hearing decline may reflect both natural disease progression and potential surgical effects. Further research with larger cohorts is needed to establish robust predictive criteria for patient selection. Full article
(This article belongs to the Section Balance)
Show Figures

Figure 1

Back to TopTop