Due to scheduled maintenance work on our servers, there may be short service disruptions on this website between 11:00 and 12:00 CEST on March 28th.
Sign in to use this feature.

Years

Between: -

Subjects

remove_circle_outline
remove_circle_outline
remove_circle_outline
remove_circle_outline
remove_circle_outline
remove_circle_outline
remove_circle_outline
remove_circle_outline
remove_circle_outline

Journals

remove_circle_outline
remove_circle_outline
remove_circle_outline
remove_circle_outline
remove_circle_outline
remove_circle_outline
remove_circle_outline
remove_circle_outline
remove_circle_outline
remove_circle_outline
remove_circle_outline

Article Types

Countries / Regions

remove_circle_outline
remove_circle_outline
remove_circle_outline
remove_circle_outline
remove_circle_outline
remove_circle_outline
remove_circle_outline
remove_circle_outline

Search Results (548)

Search Parameters:
Keywords = conservation behaviour

Order results
Result details
Results per page
Select all
Export citation of selected articles as:
25 pages, 5434 KB  
Article
An Experimental Study on the Consolidation of Earthen Surfaces Using Nanoparticle-Based Products
by Silvia Rescic, Loredana Luvidi, Oana Adriana Cuzman and Barbara Sacchi
Heritage 2026, 9(4), 130; https://doi.org/10.3390/heritage9040130 (registering DOI) - 26 Mar 2026
Abstract
This paper presents the results of research conducted as part of a bilateral cooperation project between National Research Council (Italy) and Chinese Academy of Cultural Heritage (China) for the conservation of the earthen walls of Ancient Ulanbay City (Xinjiang, China). In 2007 and [...] Read more.
This paper presents the results of research conducted as part of a bilateral cooperation project between National Research Council (Italy) and Chinese Academy of Cultural Heritage (China) for the conservation of the earthen walls of Ancient Ulanbay City (Xinjiang, China). In 2007 and 2012, conservation interventions were carried out on the remains of the ancient walls, focusing on areas at risk of collapse. This involved the construction of new adobe masonry (sun-dried earthen bricks and mud mortar) to support the ancient rammed-earth walls, which required consolidation treatments due to their exposure to weathering. In order to support the site’s conservation efforts, several nanoproducts were selected for testing as consolidants for the adobe bricks. Nano-silica (NanoEstel) and nano-lime (Calosil E25), with and without ethyl silicate, and a nano-calcium oxalate-functionalized ethyl silicate (SurfaPore FX WB) were tested and compared with commonly used products for surface consolidation. Ethyl silicate was applied alone as a reference treatment. The mixtures tested in this research had not been previously explored, thus offering new opportunities to identify suitable solutions for the consolidation of earthen structures exposed to environmental conditions. In this study, adobe bricks were sampled from the archaeological site, and the effectiveness of each treatment was assessed based on changes in chromatic appearance, cohesion, and water behaviour. The results showed different behaviours of nanoproducts. Nano-silica, alone or especially in combination with ethyl silicate, is overall more effective than nano-lime for the consolidation of earthen materials, thanks to its greater compatibility with these materials. Full article
(This article belongs to the Section Cultural Heritage)
54 pages, 3951 KB  
Review
Conserved Pathways, Divergent Outcomes: A Cross-Species Genomic Perspective on the Cancer–Neurodegeneration Paradox
by Bhargavi Rajarathinam, Durga Nandan, Parvathy Venugopal, Amritha M. Nair, Subin John, Bipin G. Nair and Rajaguru Aradhya
Int. J. Mol. Sci. 2026, 27(7), 2989; https://doi.org/10.3390/ijms27072989 - 25 Mar 2026
Abstract
Neurodegeneration and cancer are fundamentally distinct disorders: one signifies gradual neuronal loss while the latter signifies uncontrolled cell growth and survival. However, emerging evidence explores an inverse association between these conditions, suggesting that they do not arise from independent biological processes. Understanding the [...] Read more.
Neurodegeneration and cancer are fundamentally distinct disorders: one signifies gradual neuronal loss while the latter signifies uncontrolled cell growth and survival. However, emerging evidence explores an inverse association between these conditions, suggesting that they do not arise from independent biological processes. Understanding the context-dependent behaviour of major pathways (for example, p53, PI3K/AKT/mTOR, Wnt, and immune–stress signaling) remains pivotal in elucidating the relationship between these two diseases. Pathways promoting early-life fitness, tissue repair, and tumor suppression in dividing cells can become detrimental later in life for post-mitotic neurons. Cross-species genomics studies reveal how evolution has repeatedly adapted these shared networks to balance cancer resistance with survival. Research on species exhibiting exceptional longevity and disease resistance, including naked mole rats and bowhead whales, shows that cancer resistance and longevity are not fixed traits but rather are controlled by precise regulatory mechanisms. In this review, we integrate insights from broad species genomics and multi-omic and single-cell studies to understand how evolutionarily conserved molecular crosstalks diverge at the interface of cancer and neurodegeneration. Full article
Show Figures

Figure 1

14 pages, 509 KB  
Review
Meaningful Experiences in Nature: A Review of Their Role in Shaping Urban Conservation
by Ayanda G. Masombuka, Engela P. de Crom and Kelly A. Marnewick
Conservation 2026, 6(2), 38; https://doi.org/10.3390/conservation6020038 - 24 Mar 2026
Viewed by 94
Abstract
This review synthesises the existing literature on meaningful experiences in nature and their potential to shape conservation behaviour in urban protected areas. Empirical evidence suggests that individuals are more likely to engage in environmental stewardship when they have meaningful encounters with nature. Such [...] Read more.
This review synthesises the existing literature on meaningful experiences in nature and their potential to shape conservation behaviour in urban protected areas. Empirical evidence suggests that individuals are more likely to engage in environmental stewardship when they have meaningful encounters with nature. Such experiences, characterised by strong emotional connection and lasting cognitive impact, can transform perceptions, emotions, and behaviours, as a result motivating pro-conservation actions. To achieve this, a thematic synthesis approach was adopted, guided by inclusion criteria that consider empirical studies, theoretical frameworks, and cultural and spiritual narratives. Drawing on theories such as biophilia and constructivism, the review explores how emotional responses (e.g., awe, wonder, transcendence and life-changing moments) nurture a deeper connection to nature and inspire conservation-oriented behaviours. The findings highlight the importance of designing nature-based activities that evoke meaningful experiences, bridging the gap between emotional connection and practical conservation action. Full article
Show Figures

Figure 1

25 pages, 11671 KB  
Article
Spatial Priorities for Protecting the Black Sea Harbour Porpoise: Abundance and Habitat Suitability in Bulgarian Waters
by Venceslav Delov, Krastio Dimitrov, Konstantin Mihaylov, Georgi Terziyski, Yana Stoyanova, Petar Dimov, Nikolay Nedyalkov, Gergana Nikolova, Boris Karakushev and Nikolay Natchev
Oceans 2026, 7(2), 28; https://doi.org/10.3390/oceans7020028 - 20 Mar 2026
Viewed by 166
Abstract
The Black Sea harbour porpoise (Phocoena phocoena relicta Abel, 1905) is an endemic cetacean with poorly understood spatial ecology in Bulgarian waters. This study aimed to update knowledge on its distribution, abundance, and habitat use throughout the Bulgarian Exclusive Economic Zone (EEZ). [...] Read more.
The Black Sea harbour porpoise (Phocoena phocoena relicta Abel, 1905) is an endemic cetacean with poorly understood spatial ecology in Bulgarian waters. This study aimed to update knowledge on its distribution, abundance, and habitat use throughout the Bulgarian Exclusive Economic Zone (EEZ). We conducted systematic aerial line-transect surveys in all four seasons between October 2022 and October 2023, combined with distance sampling and MaxEnt habitat modelling. Porpoises were present year-round across the EEZ, with marked seasonal shifts in distribution and habitat preferences. Highest densities were observed in spring, while winter distributions were concentrated offshore. Habitat suitability was dynamic, with key high-use areas identified near Cape Emine and in southern offshore waters near the Turkish border. Overall, about 40% of the EEZ represented high-suitability habitat. These findings provide the first comprehensive, year-round baseline for P. p. relicta in Bulgarian waters, highlighting the species’ flexible habitat use and seasonality. The study was conducted under extraordinary conditions due to regional military activity, which may have influenced porpoise behaviour and spatial patterns. The provided results are critical for designing effective conservation and management measures in the face of both natural and anthropogenic pressures and threats. Full article
Show Figures

Figure 1

28 pages, 478 KB  
Systematic Review
Bovine Respiratory Mycoplasmas and the Commensal–Pathogen Continuum: A Systematic Review of Vaccines and Diagnostic Approaches
by Gebremeskel Mamu Werid, Yassein M. Ibrahim, Ashenafi Kiros Wubshet, Joshua W. Aleri, Farhid Hemmatzadeh and Kiro R. Petrovski
Animals 2026, 16(6), 960; https://doi.org/10.3390/ani16060960 - 19 Mar 2026
Viewed by 154
Abstract
Mycoplasmas colonise bovine respiratory mucosal surfaces as commensal organisms, yet certain species may contribute to bovine respiratory disease complex (BRDC) when host and environmental conditions favour pathogenic expression. Clinical outcome is context-dependent, with species ranging from assumed true commensals (M. arginini, [...] Read more.
Mycoplasmas colonise bovine respiratory mucosal surfaces as commensal organisms, yet certain species may contribute to bovine respiratory disease complex (BRDC) when host and environmental conditions favour pathogenic expression. Clinical outcome is context-dependent, with species ranging from assumed true commensals (M. arginini, M. bovirhinis) to pathobionts (M. bovis) and less frequently reported species (M. alkalescens, M. canadense) and an opportunist (M. dispar). The absence of a synthesis applying a commensal–pathogen continuum framework to bovine respiratory mycoplasmas while jointly evaluating carriage, vaccine performance, and diagnostic interpretability represents a key gap. The objective of this paper is to evaluate available evidence on vaccination, diagnostics, and control of bovine respiratory mycoplasmas within a commensal–pathogen continuum framework. The preparation of this paper followed the preferred reporting items for systematic reviews and meta-analyses (PRISMA) 2020 and synthesis without meta-analysis (SWiM) guidelines. PubMed, Scopus, and Web of Science were searched through 12 December 2025. Of 6119 records identified, 212 studies met predefined Population, Intervention, Comparator, Outcome, Study design (PICOS) criteria and were classified into four domains: carriage and prevalence (n = 73), diagnostic performance (n = 71), pathogenesis and immune evasion (n = 53), and vaccine efficacy (n = 15). Risk of bias was assessed using domain-appropriate tools. Evidence certainty was evaluated using the Grading of Recommendations, Assessment, Development and Evaluation (GRADE) framework. M. bovis dominated the literature (199/212; 93.9%), reflecting concentrated research investment, with M. dispar (22; 10.4%), M. bovirhinis (19; 9.0%), M. arginini (4; 1.9%), M. canadense (1; 0.5%), and M. alkalescens (1; 0.5%) also well documented. M. bovirhinis and M. arginini were consistently recovered from clinically healthy cattle, supporting their classification as true commensals. M. bovis exhibited pathobiont behaviour. Nasopharyngeal carriage was reported in 18–58% of healthy cattle and progressed to clinical disease (estimated 15–40%) in a context-dependent manner. Whole-cell bacterins demonstrated inconsistent efficacy, whereas virulence-factor vaccines showed more consistently positive outcomes. Future vaccines targeting conserved virulence-associated antigens and designed to elicit mucosal immunity may provide higher levels and more consistent protection than conventional whole-cell bacterin formulations. The majority of diagnostic studies detected mycoplasma presence without distinguishing colonisation from causation. Bovine respiratory mycoplasma species occupy distinct positions on the commensal–pathogen continuum, with direct implications for vaccine design, diagnostic interpretation, and disease control. Integrated control combining syndrome-aligned diagnostics and targeted vaccination was the approach most consistently supported by the available evidence. Full article
(This article belongs to the Section Animal Reproduction)
21 pages, 2592 KB  
Article
Measurement and Numerical Modelling of Swim Bladder Resonance Properties of Recently Euthanised Brown Trout (Salmo trutta)
by William Luocheng Wu, Philip Ericsson, Paul Kemp and Paul Robert White
Fishes 2026, 11(3), 169; https://doi.org/10.3390/fishes11030169 - 15 Mar 2026
Viewed by 194
Abstract
Swim bladders in some teleost fish can act as gas-filled cavities that oscillate under acoustic pressure and transfer the sound energy to the inner ears. Quantifying the resonance frequency and damping of these oscillations is useful for linking swim bladder mechanics to hearing-related [...] Read more.
Swim bladders in some teleost fish can act as gas-filled cavities that oscillate under acoustic pressure and transfer the sound energy to the inner ears. Quantifying the resonance frequency and damping of these oscillations is useful for linking swim bladder mechanics to hearing-related and behavioural questions, but many established direct-measure approaches have relied on open-water deployments and careful avoidance of boundary reflections, making experiments logistically demanding and difficult to reproduce (e.g., requiring deep-water sites, careful control of surface/boundary reflections, and complex deployment geometries). This study presents a compact laboratory methodology for estimating swim bladder resonance properties using a closed, fully water-filled, stainless-steel impedance tube. Broadband pseudorandom excitation is applied via an end-plate shaker, and the acoustic response of the system is recorded using wall-mounted hydrophones. Resonance peaks are identified using power spectral estimates of recorded signals, allowing resonance frequency and quality factor to be extracted from the peak location and −3 dB bandwidth. The approach is first established using inflated latex balloons as surrogate encapsulated gas cavities, providing a controlled benchmark for repeatability and interpretation. It is then applied to recently euthanised brown trout (Salmo trutta), where clear resonance features attributable to the swim bladder are observed and show systematic variation with body size. A coupled finite element model reproduces the principal resonance behaviour under the experimental loading and supports interpretation of the measured peaks as swim bladder resonance. The results provide a validated foundation for subsequent non-invasive measurements on live, free-swimming fish, as well as for future applications where swim bladder condition may be relevant to management or conservation. Full article
Show Figures

Graphical abstract

19 pages, 1333 KB  
Review
How Forests May Reduce the Incidence of Destructive Tropical Cyclones, Hurricanes and Typhoons
by Douglas Sheil
Forests 2026, 17(3), 359; https://doi.org/10.3390/f17030359 - 13 Mar 2026
Viewed by 209
Abstract
Tropical cyclones kill thousands and inflict vast destruction annually. While ocean temperatures and atmospheric conditions dominate their formation and behaviour, forests’ potential influence has received little systematic attention. This review examines whether and how forests may affect tropical cyclone frequency, intensity, and behaviour. [...] Read more.
Tropical cyclones kill thousands and inflict vast destruction annually. While ocean temperatures and atmospheric conditions dominate their formation and behaviour, forests’ potential influence has received little systematic attention. This review examines whether and how forests may affect tropical cyclone frequency, intensity, and behaviour. Support varies by mechanism and stage. Post-landfall effects have the strongest support: forests slow storms, moderate wind speeds and curb flooding through enhanced soil infiltration. Forests also influence storm tracks, though magnitudes are uncertain. Pre-landfall effects are less certain. These include processes that modify offshore humidity, temperature, and aerosols. The Biotic Pump theory proposes that forest cover creates pressure gradients drawing moisture inland, reducing its availability for ocean storms. Forest influences are likely to be most evident near thresholds for storm formation or intensification, where small perturbations in conditions can alter outcomes. This context-dependency reconciles divergent findings and aids the integration of forests into climate risk assessments. Forest conservation provides clear post-landfall protection; pre-landfall effects, while uncertain, further strengthen the case for protection and highlight research priorities. Full article
(This article belongs to the Section Forest Meteorology and Climate Change)
Show Figures

Figure 1

22 pages, 4266 KB  
Article
Behavioural Patterns and Responses of White-Faced Capuchins (Cebus imitator) Under Contrasting Ecotourism Pressures in Tortuguero National Park: Preliminary Findings and Management Implications
by Janire Sánchez, Álvaro Francisco Gil and Carlos Calderón-Guerrero
Diversity 2026, 18(3), 169; https://doi.org/10.3390/d18030169 - 9 Mar 2026
Viewed by 212
Abstract
Ecotourism in protected areas creates a conservation paradox: tourism revenue funds protection, yet tourism infrastructure simultaneously degrades the wildlife it protects. We examined this paradox in white-faced capuchins (Cebus imitator) in Tortuguero National Park, comparing behaviour across a high-tourism accommodation site [...] Read more.
Ecotourism in protected areas creates a conservation paradox: tourism revenue funds protection, yet tourism infrastructure simultaneously degrades the wildlife it protects. We examined this paradox in white-faced capuchins (Cebus imitator) in Tortuguero National Park, comparing behaviour across a high-tourism accommodation site (2152 monthly guests) and a strictly regulated terrestrial trail. Using focal animal and sweep sampling methods, we recorded 477 behavioural units across 261 min, analysing locomotion, feeding, and agonistic behaviours through generalized linear models. Primates in accommodation areas exhibited significantly reduced high substrate use (p = 0.005), showed a trend toward increased anthropogenic food reliance (p = 0.070), and higher—but not statistically significant—rates of agonistic behaviours (p > 0.05). The negative correlation between natural foraging and active food supply (r = −0.31) is consistent with anthropogenic provisioning that may alter primate ecological functions. These findings demonstrate that effective conservation in tourism contexts requires integrated management addressing three interconnected challenges: (1) habituation to human presence, (2) food provisioning with cascading consequences, and (3) ecosystem-level degradation through altered primate functions. We recommend evidence-based interventions including secured waste management, enforcement of wildlife feeding prohibitions, and environmental education programs with community participation. Ecotourism sustainability requires managing human–wildlife interactions and integrating local stakeholder perspectives to preserve animal welfare and ecosystem functions essential for conservation. Full article
(This article belongs to the Special Issue Conflict and Coexistence Between Humans and Wildlife)
Show Figures

Figure 1

33 pages, 22526 KB  
Article
The Analysis of a Column of the Tomb 7 Colonnade at the Tombs of the Kings Archeological Site: A Comparative Evaluation of Scan-to-FEM Methodologies
by Francesca Turchetti, Daniela Oreni, Renos Votsis, Nicholas Kyriakides, Branka Cuca and Athos Agapiou
Heritage 2026, 9(3), 100; https://doi.org/10.3390/heritage9030100 - 3 Mar 2026
Viewed by 275
Abstract
This research investigates the colonnade of Tomb 7 at the UNESCO World Heritage site of the Tombs of the Kings in Paphos, Cyprus. Specifically, a multi-drum column located at the south-east corner of the tomb is examined from both geometric and structural perspectives. [...] Read more.
This research investigates the colonnade of Tomb 7 at the UNESCO World Heritage site of the Tombs of the Kings in Paphos, Cyprus. Specifically, a multi-drum column located at the south-east corner of the tomb is examined from both geometric and structural perspectives. Being the only standing element to support the entablature on that side of the tomb, the column is crucial for maintaining the structural stability of the monument. Numerical structural analyses are performed on the column via the finite element method (FEM), supported by close-range recording techniques—particularly terrestrial laser scanning (TLS)—to generate finite element (FE) models. Several modelling strategies capable of converting point cloud data into reliable structural models are developed and compared with the aim of identifying the most effective and cost-efficient approach. Each method is analyzed in detail to evaluate its workflow, assumptions, strengths, and limitations in the context of heritage structures with complex irregular geometries. Linear static and dynamic analyses are performed on five different FE models to assess the column’s mechanical response and to understand how differences in geometric representation affect the structural behaviour. The results indicate that all approaches adequately capture the general structural response. The comparison of the different modelling strategies highlights the trade-offs between geometric accuracy, computational efficiency, and practical usability. These outcomes indicate the potential and the current limitations of exploiting point cloud data for structural analysis and contribute to the development of more robust and accurate scan-to-FEM methodologies for the conservation and assessment of cultural heritage structures. Full article
(This article belongs to the Special Issue Applications of Digital Technologies in the Heritage Preservation)
Show Figures

Figure 1

11 pages, 991 KB  
Article
Mediterranean Monk Seal Recent Findings and New Insights from Lebanese Coastal Waters
by Samer Fatfat, Ali Badreddine, Lobna Ben-Nakhla, Majd Habib, Gema Hernandez-Milian, Giulio Pojana and Luigi Bundone
Conservation 2026, 6(1), 28; https://doi.org/10.3390/conservation6010028 - 2 Mar 2026
Viewed by 408
Abstract
Mediterranean monk seal (Monachus monachus) sightings along the Lebanese coast were recorded between 2020 and 2025. This study aims to provide insights into the consistency of monk seal presence, their habitat use, and their feeding behaviour in the studied area. The [...] Read more.
Mediterranean monk seal (Monachus monachus) sightings along the Lebanese coast were recorded between 2020 and 2025. This study aims to provide insights into the consistency of monk seal presence, their habitat use, and their feeding behaviour in the studied area. The research relied on photographic and video materials gathered from social media reports, as well as contributions from local fishers and divers. A total of 43 sightings were recorded, with photo-identification possible for 34 of these. The study confirmed the presence of at least three distinct individuals, including one adult female frequently utilizing marine caves in Amchit and Rawsheh. Video recordings of feeding behaviour revealed prey species such as grey mullet and octopus, which are also targeted by local fisheries, suggesting potential conflicts between the seals and the fishing sector. This study emphasizes the need for a more systematic, long-term monitoring approach, including the use of infrared cameras, to identify suitable habitats and more accurately assess seal presence. The research further recommends a region-wide effort to understand monk seal movements within the Levantine Basin and to support broader conservation initiatives for the species. Full article
Show Figures

Figure 1

26 pages, 7750 KB  
Article
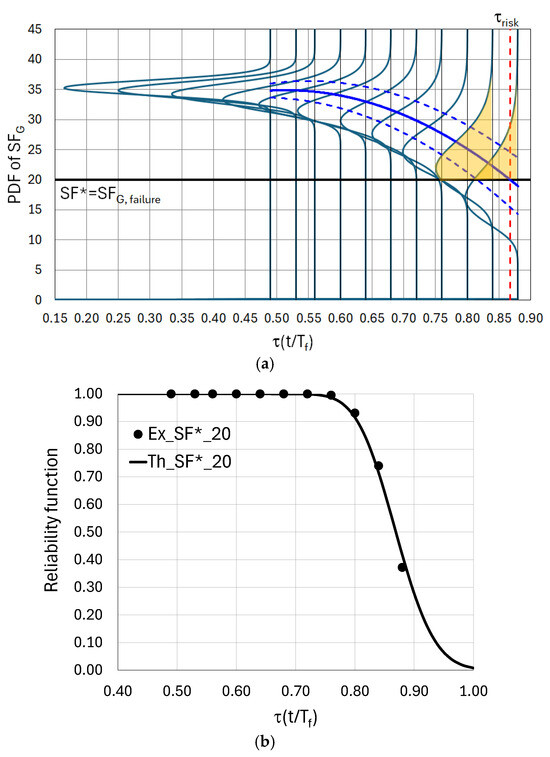
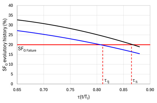
Damaged Masonry Structures: A Probabilistic Approach for Fast Structural Safety Assessment
by Elsa Garavaglia, Giuliana Cardani and Danila Aita
Buildings 2026, 16(5), 938; https://doi.org/10.3390/buildings16050938 - 27 Feb 2026
Viewed by 226
Abstract
Structural safety assessment of masonry structures is a crucial topic for architectural heritage conservation. Performance indicators are commonly adopted for civil structures and infrastructure made of reinforced/prestressed concrete or steel but are often overlooked in the context of historic structures. Notions such as [...] Read more.
Structural safety assessment of masonry structures is a crucial topic for architectural heritage conservation. Performance indicators are commonly adopted for civil structures and infrastructure made of reinforced/prestressed concrete or steel but are often overlooked in the context of historic structures. Notions such as safety, reliability, robustness, and resilience are accepted concepts in the world of historic buildings, but they rarely translate into quantifiable indicators applicable to structural rehabilitation. The complex mechanical behaviour of masonry, indeed, is affected by uncertainties in the characterization of the material’s properties. Furthermore, when considering damaged masonry structures, uncertainties also include the natural aging and degradation of the component materials. In this context, the proposed research intends to perform a preliminary safety assessment of a masonry building subjected to seismic loads considering a given damage level and its evolution over time. Damage is described by means of a performance parameter that is able to capture the decrease in the characteristic compressive strength related to the presence of a crack pattern and changes in the live loads. The method allows one to address in a probabilistic way the determination of a limit global safety factor, affected by this parameter, and of the time required to attain the failure condition. Full article
Show Figures

Figure 1

20 pages, 1259 KB  
Article
Preliminary Observations of Environmental Effects on Immature Whale Shark Surface Feeding Behaviour in Nosy Be, Madagascar
by Primo Micarelli, Andrea Marsella, Federica Sironi, Isabella Buttino, Stefano Aicardi, Antonio Pacifico, Francesca Ellero and Francesca Romana Reinero
Diversity 2026, 18(3), 136; https://doi.org/10.3390/d18030136 - 26 Feb 2026
Viewed by 345
Abstract
Nosy Be in the northwestern Madagascar hosts one of the largest known seasonal feeding aggregations of whale sharks. However, the environmental drivers influencing whale shark surface feeding behaviour in this area remain poorly understood. This study investigates the relationship between environmental variability and [...] Read more.
Nosy Be in the northwestern Madagascar hosts one of the largest known seasonal feeding aggregations of whale sharks. However, the environmental drivers influencing whale shark surface feeding behaviour in this area remain poorly understood. This study investigates the relationship between environmental variability and surface feeding strategies of immature whale sharks at Nosy Be. Boat-based surveys were conducted in November 2018, 2019, 2022, and 2023, resulting in the photo-identification of 88 individuals and the recording of 85 surface feeding events. The influence of environmental factors on feeding behaviour was assessed using multicollinearity among the environmental covariates and three-level step approach: permanova, multinomial logistic regression, marginal effects, and Cochran’s Q, to evaluate whether environmental conditions discriminate feeding-behaviour categories and to quantify how individual covariates relate to behavioural composition under a multi-step framework. Results showed that there is not a strong enough predictive signal for behaviour based on environmental variables; however, thanks to the marginal effects, it is possible to better assess the probability of a certain type of eating behaviour in the presence of an increase in one of the environmental variables, for example, chlorophyll-a appears to be the most interesting, because its increase is associated with a greater probability of some behaviours instead the others. These preliminary observations provide the first insights to evaluate environmental influences on immature whale shark surface feeding behaviour in Nosy Be, highlighting that it is therefore necessary to deepen and increase data collection to have long and significant series of data, integrated also with data on the preys subject to feeding behaviour and to evaluate which other unobserved aspects, perhaps linked precisely to the consistency and quality of the prey, could allow us to predict feeding behaviour. Improving the understanding of these relationships is essential for predicting whale shark habitat use and for supporting conservation and management strategies in a region increasingly affected by climate variability and anthropogenic pressures. Full article
(This article belongs to the Special Issue Integrating Biodiversity, Ecology, and Management in Shark Research)
Show Figures

Figure 1

21 pages, 1167 KB  
Article
Motivation and Personal Engagement with Biodiversity
by Geoff Kaine and Vic Wright
Conservation 2026, 6(1), 25; https://doi.org/10.3390/conservation6010025 - 26 Feb 2026
Viewed by 282
Abstract
Increasing community awareness of, and engagement in, biodiversity and nature are key elements in many environmental conservation strategies. However, the public may take little or no action to protect biodiversity even though they may feel a strong sense of concern about its decline. [...] Read more.
Increasing community awareness of, and engagement in, biodiversity and nature are key elements in many environmental conservation strategies. However, the public may take little or no action to protect biodiversity even though they may feel a strong sense of concern about its decline. This suggests that, although members of the public may be cognitively and affectively engaged with conserving biodiversity, this engagement does not necessarily translate into behavioural engagement and support for environmental policies. We hypothesised that the association between cognitive and affective engagement with conserving biodiversity on the one hand, and conservation behaviour on the other, depends on the relevance and importance of conserving biodiversity with respect to personal needs. Using a survey of the New Zealand public (n = 1000) we found that engagement with biodiversity was associated with the personal relevance and needs-based importance of conserving biodiversity. Importantly, using conditional process analysis, we found that involvement moderates the link between cognitive and affective engagement and conservation behaviour with the link strengthening as involvement intensifies. These findings help to explain why cognitive and affective engagement with conserving biodiversity do not translate inevitably into behavioural engagement with conserving biodiversity and support for environmental policies. The implication is that, to stimulate action, knowledge and sentiment must be accompanied by the perception that action to protect biodiversity will contribute in significant ways to meeting personal needs. Full article
Show Figures

Graphical abstract

41 pages, 1710 KB  
Article
Data-Driven Electricity Load Analysis in Smart Buildings: A Multi-Driver Automatic Dependency Disaggregation Approach
by Balázs András Tolnai, Zheng Grace Ma and Bo Nørregaard Jørgensen
Electronics 2026, 15(5), 929; https://doi.org/10.3390/electronics15050929 - 25 Feb 2026
Viewed by 216
Abstract
Disaggregating end-use electricity consumption from aggregate meter data remains a fundamental challenge in non-intrusive load monitoring, particularly in smart buildings where heating, ventilation, and air-conditioning systems dominate demand and direct sub-metering is often unavailable. Contextual variables such as weather and calendar information provide [...] Read more.
Disaggregating end-use electricity consumption from aggregate meter data remains a fundamental challenge in non-intrusive load monitoring, particularly in smart buildings where heating, ventilation, and air-conditioning systems dominate demand and direct sub-metering is often unavailable. Contextual variables such as weather and calendar information provide valuable explanatory signals, but in low-frequency settings, these drivers are typically insufficient to fully characterise building operation. As a result, attribution strategies that implicitly assume complete explainability can lead to unstable driver contributions and reduced physical interpretability when building behaviour is non-stationary or partially unobserved. This paper introduces MD-ADD, a multi-driver automatic dependency disaggregation framework designed for low-frequency smart meter data in commercial and public buildings. The framework supports joint attribution of multiple contextual drivers. It explicitly represents unexplained energy as a meaningful component of the decomposition. It combines robust baseline estimation, leakage-resistant out-of-fold contextual modelling, conservative driver attribution without hard mass-balance constraints, and uncertainty quantification using block bootstrap resampling. A consistency mechanism is included to restrict driver attributions to temporal scales compatible with their expected physical influence. The framework is evaluated on the ADRENALIN Load Disaggregation Challenge dataset, which contains multi-resolution electricity and weather data from commercial and public buildings, using normalized mean absolute error alongside stability and residual-structure diagnostics. Rather than optimising solely for pointwise accuracy, the proposed formulation emphasises robustness, interpretability, and diagnostic transparency, making it suitable for decision-support and analytical workflows under realistic low-frequency monitoring conditions. Full article
(This article belongs to the Special Issue New Trends in Energy Saving, Smart Buildings and Renewable Energy)
Show Figures

Figure 1

23 pages, 2496 KB  
Systematic Review
Filamentous Fungi and the Biodeterioration of Organic Cultural Heritage Materials: A Systematic Review of Mechanisms, Risks, and Preventive Conservation Strategies
by Giancarlo Angeles Flores, Roberto Venanzoni, Sabata Martino and Paola Angelini
Microorganisms 2026, 14(3), 526; https://doi.org/10.3390/microorganisms14030526 - 25 Feb 2026
Viewed by 360
Abstract
Filamentous fungi are among the most significant biological agents responsible for the biodeterioration of organic cultural heritage materials preserved in archives, libraries, and museums. Cellulose-based substrates—such as paper, papyri, and plant-derived textiles—as well as protein-based materials, including parchment and leather, provide favourable conditions [...] Read more.
Filamentous fungi are among the most significant biological agents responsible for the biodeterioration of organic cultural heritage materials preserved in archives, libraries, and museums. Cellulose-based substrates—such as paper, papyri, and plant-derived textiles—as well as protein-based materials, including parchment and leather, provide favourable conditions for fungal colonization due to their chemical composition and hygroscopic behaviour. Once activated, fungi contribute to deterioration through a combination of mechanical penetration and biochemical processes, including the secretion of hydrolytic enzymes, organic acids, and pigmented metabolites, which progressively compromise the structural integrity and visual appearance of heritage objects. This review aims to critically synthesize current knowledge on the mechanisms of fungal biodeterioration affecting organic heritage materials, with particular attention to material-specific vulnerabilities, indoor environmental drivers, and implications for preventive conservation. Recent advances in fungal ecology have highlighted the presence of xerophilic and extremotolerant taxa capable of persisting under conditions traditionally considered unfavourable for microbial growth, posing new challenges for conservation management. Rather than attributing biodeterioration directly to global climate change, this review explicitly emphasizes the role of indirect and building-mediated climate-related stressors—such as increased frequency of moisture intrusion events, infrastructure vulnerability, and microclimatic instability within buildings—in shaping fungal risk in indoor heritage environments. The integration of environmental monitoring, microbiological diagnostics, and predictive risk-assessment tools emerges as a key strategy for early detection and mitigation. By consolidating interdisciplinary evidence from microbiology, materials science, and heritage conservation, this work underscores the need to shift from reactive restoration toward anticipatory, risk-based preventive approaches to ensure the long-term preservation of organic cultural heritage materials. Full article
(This article belongs to the Section Environmental Microbiology)
Show Figures

Figure 1

Back to TopTop