You are currently viewing a new version of our website. To view the old version click .
Journal of Zoological and Botanical Gardens
  • Article
  • Open Access

10 July 2025

How Does Food Enrichment and the Presence of Visitors Affect the Behaviour of Two Species of Freshwater Fish in a Public Aquarium?

,
,
,
and
1
Department of Biodiversity, Evolution and Environment, Exact and Biological Sciences Institute, Federal University of Ouro Preto, Campus Morro do Cruzeiro, Ouro Preto 35402-136, Brazil
2
Belo Horizonte Zoo, Belo Horizonte 31365-450, Brazil
3
Instituto Butantan, São Paulo 05585-000, Brazil
*
Author to whom correspondence should be addressed.

Abstract

Food-based environmental enrichment (EE) is a valuable strategy for stimulating foraging behaviour in fish under human care, as it increases the challenge of food acquisition and encourages prolonged engagement in this activity. Curimbas (Prochilodus argenteus) and pacus (Myleus micans) are fish species for which ex situ maintenance has become an important conservation measure. In this context, providing EE is essential to ensure high welfare standards. This study aimed to assess the effects of food enrichment on the behaviour of these two endemic species from the São Francisco River basin in Brazil. Behavioural data were collected across three experimental phases, including baseline, enrichment, and post-enrichment. Slow-dissolving food items known as “acorns” were introduced during the enrichment phase. Both species exhibited a marked reduction in inactivity throughout the study. For curimbas, the enrichment phase was associated with increased foraging, elevated agonistic interactions, and greater use of specific tank areas. Among pacus, inactivity significantly declined during the enrichment period. Additionally, the presence of visitors influenced behavioural patterns, promoting foraging activity while reducing inactivity and interactions with the enrichment device. These findings reinforce the value of incorporating environmental enrichment to promote the welfare of freshwater fish in public aquariums.

1. Introduction

Environmental enrichment (EE) is a tool used to improve the welfare of animals under human care []. Animal welfare is generally determined by the quality of the animal’s experiences concerning five domains, namely nutrition, health, the environment, behavioural interactions, and mental state [,]. In other words, more positive experiences increase the animal’s well-being, and more negative experiences decrease it. Animals that live in stimulating environments and have positive experiences generally display a greater diversity of behaviours, which can be measured and used as an indicator of well-being []. In the case of fish, the application of EE consists of offering items to stimulate individuals, allowing them to express their motor skills, exploratory behaviours, feeding, and other behaviours that are close to natural, which tends to reduce abnormal and unwanted behaviours [,,].
Foraging is a behaviour that is naturally highly exhibited in the wild, as obtaining food in this environment is often a challenge [,]. In zoos and aquariums, there is often a routine in the animals’ diets, with food being offered at exact times in pieces or on trays, and this does not provide a challenge to get the food, making the feeding time very quick [,]. Therefore, food enrichment is a documented way of stimulating foraging behaviour, making it more difficult for the animal to access the food, so it must dedicate itself to this activity for longer [,]. In turn, the greater display of this natural behaviour improves animal welfare [,,,].
The welfare of animals kept in zoos and aquariums can also be affected by the presence of visitors []. Since 2012, there has been an increase in research into the zoo visitor effect; however, only 4% of existing studies have been conducted with fish []. Fish displaying less social behaviour and becoming more active or showing neutral or inconclusive responses in the presence of visitors are results observed in the few studies on this subject [,].
Fish with low welfare levels kept under human care can develop health problems and behavioural changes due to the stress caused by artificial environments [,], such as apathy (remaining motionless at the bottom of the tank or spending a long time on the surface of the water), uncoordinated swimming, or increased aggression [,]. Some studies have shown a significant lack of research into the effects of EE on fish welfare [,,,,], but some positive effects of EE on fish welfare have already been reported, such as increased brain development [,,], a reduction in stress levels, analysed based on the amount of cortisol in the blood of the fish studied [,,], improved foraging ability [,,], aggression [,], and positive effects on body growth [,].
Although environmental enrichment has been increasingly studied in aquaculture and laboratory environments, a notable gap remains in research concerning aquarium-housed fish in zoological institutions, particularly in Brazil. A recent review emphasised that only a small fraction of enrichment studies focus on aquatic species kept in public aquaria []. Similarly, other researchers have proposed structured enrichment protocols for diverse aquarium-housed species but have highlighted the lack of empirical data for teleosts []. In Brazil, while aquariums play a growing role in conservation and education [], systematic evaluations of the impacts of enrichment on native freshwater fish in public aquarium contexts are virtually absent. Furthermore, there are no published studies investigating the effects of environmental enrichment on curimbas Prochilodus argenteus or pacus Myleus micans under managed care. This scarcity underscores the novelty and relevance of the present study, which seeks to address this knowledge gap by assessing enrichment effects on behaviour and welfare in these two species within a Brazilian zoological setting.
Institutions that keep animals must always ensure that the animals under their care exhibit high levels of welfare and are in good physical and mental health so that they can fulfil their role effectively []. Aquariums play a vital role in the conservation of fish, particularly endangered species, given the global environmental degradation scenario. Through environmental education, these institutions raise awareness among the population, sensitising and educating them about the importance of these animals to the ecological balance [,].
Considering the importance of EE in ensuring the well-being of fish under human care, this study aimed to examine the impacts of EE on the behaviour of two species of fish endemic to the São Francisco River basin in a public aquarium in Brazil (curimbas Prochilodus argenteus and pacus Myleus micans). The central hypothesis is that the EE will influence the behavioural displays of the fishes studied, resulting in a decrease in inactivity and abnormal behaviours and an increase in activity and foraging behaviours during the use of the EE. In addition, more visitors in front of the pond will result in less interaction with the enrichment and an increase in the display of inactivity, aggressive behaviour, and non-visibility by the fish.

2. Materials and Methods

2.1. Ethical Note

The Belo Horizonte Zoo’s Research and Ethics Committee approved the study (protocol no. FU011/2023).

2.2. Study Place, Fish Species, and Maintenance

The study was conducted at the São Francisco River Basin Aquarium in the Belo Horizonte Zoo, Minas Gerais, Brazil (19°51′37.49″ S, 44°0′18.25″ W) (Figure 1). The São Francisco River Basin Aquarium was inaugurated in March 2010 and has 22 enclosures (tanks) that, in their various sizes and shapes, hold more than 1 million litres of water and more than 50 species of fish, most of which are native to the São Francisco basin, including endemic and endangered species [].
Figure 1. General views of the São Francisco River Basin Aquarium at the Belo Horizonte Zoo. (A,B) Overview of the exhibit, with the rightmost tank in both images corresponding to the tank evaluated in the present study (indicated by the white arrows). (C) Frontal view of the evaluated tank, which houses the two target species, which are the pacu Myleus micans and the curimba Prochilodus argenteus.
The aquarium houses two popular species from the São Francisco River Basin in a community tank. The curimba Prochilodus argenteus Spix & Agassiz, 1829 (Characiformes), belongs to the Prochilodontidae family and has an iliophagous feeding habit, consuming detritus, filamentous algae, and benthic fauna [,,,]. Due to its habit, the curimba plays an important role in the ecosystem, promoting greater utilisation of available nutrients by purifying waterways and cycling nutrients [,]. The pacu Myleus micans (Lütken, 1875) (Characiformes), which belongs to the Serrasalmidae family and has a laterally compressed body with a high lateral profile, minor scales, and a long dorsal fin, is also kept with this species []. Its eating habits are omnivorous, but its diet is predominantly herbivorous, consuming mainly aquatic macrophytes and filamentous algae [].
We studied five pacu individuals, all adults and weighing an average of 3.2 kg, kept in the aquarium since June 2011 and originating from the Três Marias reservoir (Minas Gerais State), as well as six adult curimba individuals weighing an average of 0.6 kg, kept in the aquarium since May 2014 and originating from the São Francisco and Parnaíba Valley Development Company (Codevasf, Montes Claros, Minas Gerais, Brazil). During the study, the individuals were kept in Tank 1, which contained 32.89 m3 of water (4.4 m × 4.5 m × 2 m × 5 m × 2.3 m deep). The fish were fed daily at 4 pm with 150 g of feed produced by the zoo’s nutrition team. They were always maintained in suitable conditions for the species (mean ± SD: pH, 7.35 ± 0.14; temperature, 25.12 ± 1.02 °C; dissolved oxygen, 13.2 mg/L) [].

2.3. Experimental Protocol

Twelve hours of preliminary observations were made using the ad libitum method [,]. Based on these preliminary observations and consultations with scientific bibliographies [,], an ethogram was constructed (Table 1).
Table 1. Ethogram used to collect behavioural data on pacu (Myleus micans) and curimba (Prochilodus argenteus). The ethogram was constructed based on 12 h of preliminary observations and bibliographic references [,].
Following preliminary observations, behavioural data collection began using an ABA (applied behaviour analysis) research design, combined with the scan sampling method, which involved instantaneous recordings at one-minute intervals []. The baseline phase (A) involved observing fish behaviour without any enrichment. In the enrichment phase (B), a food-based environmental enrichment (EE) item was introduced. In contrast, the post-enrichment phase (A) consisted of observations after the removal of the EE, with conditions reverting to those of the baseline []. Each phase comprised 30 h of data collection. Sessions lasted 10 min each, with ten sessions conducted daily at 50 min intervals, starting at 7:50 a.m. and concluding at 3:50 p.m. Data collection took place between April and August 2024.
The environmental enrichment (EE) item used in this study was food-based and consisted of baked acorns developed by the nutrition and aquarium teams at Belo Horizonte Zoo (Figure 2). The acorns were prepared from a dough comprising 6 kg of sifted anthill soil, 3 kg of commercial rabbit feed formulated for reproduction/lactation, 1 kg of wheat flour, 0.030 kg of mould inhibitor, and water added until a workable consistency was achieved. Once thoroughly mixed, the dough was shaped into tennis ball-sized acorns, dried in the sun for 2–3 days, and then baked in an oven for approximately 20 min, resulting in a hardened structure that dissolved slowly in the aquarium environment. Nutritionally, each batch of acorns provided an estimated total of 640 g protein, 90 g fat, and 2110 g carbohydrates, corresponding to about 10,900 kcal originating almost entirely from the rabbit feed and wheat flour, as the anthill soil and additives contributed negligibly. This composition ensured that the enrichment items offered a balanced nutritional profile appropriate for the fish, while the gradual breakdown of the acorns in water stimulated foraging behaviour via olfactory cues and provided a sensory experience akin to natural foraging on the substrate []. Six acorns were added to the tank on alternate days throughout the enrichment phase, coinciding with behavioural data collection sessions.
Figure 2. Baked acorns used as an environmental food enrichment item in the pacu and curimbas tank.
During the behavioural data collection, the total number of visitors per 10 min data collection session who passed by or stayed in front of the pond studied was also noted.

2.4. Statistical Analysis

To compare the frequency of each behaviour across the ABA phases, generalised linear mixed models (GLMMs) were constructed using R version 4.4.2 [], employing the glmer function from the lme4 package []. Before model construction, the most appropriate error distribution family for each behavioural variable was determined using the glmmTMB package []. In the GLMMs, the number of recordings of each behaviour was treated as a response variable, with experimental phase (ABA) and species as fixed effects and the day of observation included as a random effect. Pairwise post hoc comparisons between the levels of response variables were carried out using estimated marginal means (emmeans) with Tukey’s adjustment for multiple testing, as implemented in the emmeans package in R []. The significance of the random “day” effect was tested by comparing models with and without “day” using likelihood ratio tests; the resulting p-values are reported alongside statistical results for each behaviour. If evidence of an effect of the random “day” factor was indicated in the GLMMs, we performed subsequent graphical exploratory analyses by plotting the daily means of behavioural occurrences for each experimental phase and behaviour. This allowed us to visually assess possible temporal trends or patterns related to the “day” variable. The influence of public presence on fish behaviour was examined using zero-inflated logistic regression models using the glmmTMB package. Data visualisation was performed using the ggplot2 package []. Behavioural diversity was quantified for both species using the Shannon–Wiener diversity index (H’), calculated as H’ = –Σ(pi × ln(pi)), where pi represents the proportion of observations for each behavioural category within each phase and species. The index was computed for each tank and experimental phase [,].

2.5. Declaration of Generative AI and AI-Assisted Technologies in the Writing Process

During the preparation of this work, the author(s) used ChatGPT-4o, Grammarly, and DeepL to improve the language and readability of the paper. After using this tool/service, the author(s) reviewed and edited the content as needed and take full responsibility for the publication’s content.

3. Results

A total of 59,400 behavioural records were collected. In general, the most recorded behaviours for curimbas were inactive (36.4%) and swimming slowly (34.7%), and the least recorded behaviour was carousel (0.02%). For pacus, the most frequently recorded behaviours were swimming slowly (69.2%) and being inactive (19.4%), and the least frequently recorded behaviour was foraging (0.08%). The behaviours of abnormal swim, freezing, and abnormal behaviours were not recorded for any of the species and were therefore excluded from the analysis.
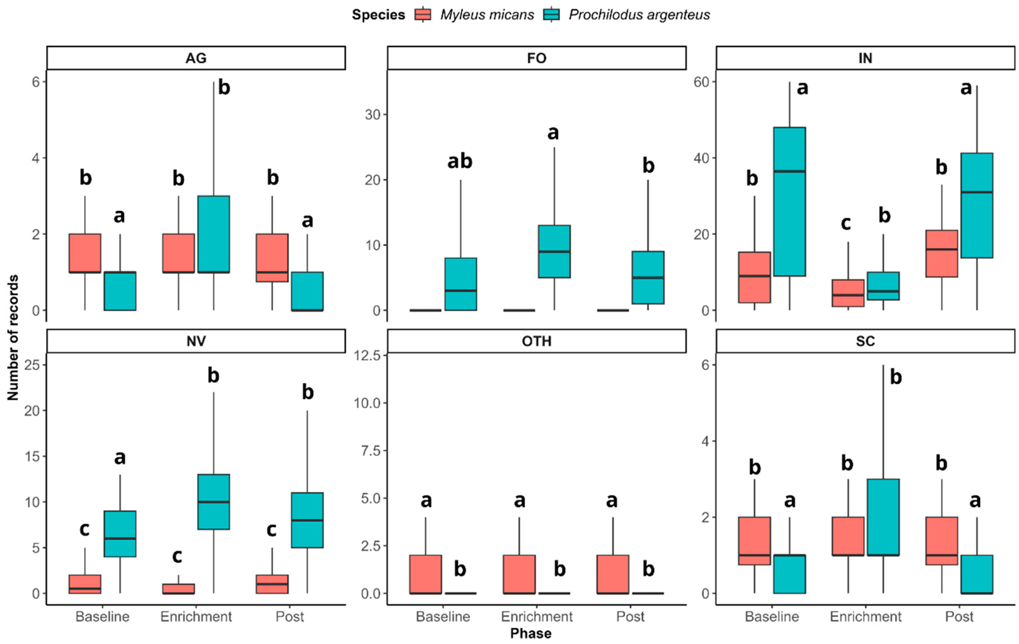
For pacus, the only behaviour that differed between the study phases was inactive, with inactivity decreasing significantly during the enrichment phase (Figure 2). As for the curimbas, the aggression, escaping from agonistic encounters, and the not visible categories increased significantly during the enrichment phase, while inactivity decreased significantly during this same phase (Figure 3). The foraging and not visible categories were also different between the study phases, with the former dropping significantly in the post-enrichment phase and the latter remaining high in this same phase (Figure 3).
Figure 3. Boxplots of the behavioural records of pacu (Mysteus micans; red) and curimbas (Prochilodus argenteus; blue) between the study phases (baseline, enrichment, and post-enrichment). Different letters above the boxplots indicate statistically significant differences. Boxplots: The horizontal line in the middle of the box represents the median, while the lower and upper edges of the box represent the first and third quartiles. The lines (whiskers) from the boxes represent the interquartile ranges. AG = aggression; FO = foraging; IN = inactive; NV = not visible; OTH = other behaviours; SC = escaping from agonistic encounters.
Differences in behavioural responses between the two species were also observed. The behaviour aggression was exhibited less frequently by curimbas than pacus during the baseline and post-enrichment phases (Figure 2). In contrast, the inactive behaviour was displayed more regularly by curimbas than by pacus across all three phases of the study (Figure 3). Pacus showed a higher frequency of escaping from agonistic encounters than curimbas during the baseline and post-enrichment phases (Figure 3). Similarly, pacus exhibited other behaviours more frequently than curimbas across all phases of the study (Figure 3). Curimbas were more regularly not visible than pacus during the three phases (Figure 3). The behaviours listed under the category of other behaviours exhibited by pacus could be described as two fish swimming side by side, in physical contact or pressing against each other, displaying a degree of agitation. In contrast, the behaviour under other behaviours observed in curimbas involved an individual holding their mouth at the water surface while continuously performing buccal pumping movements (aeration). These behaviours were recorded in all phases of the study and showed no significant variation, indicating that the enrichment did not influence their expression (Table 2).
Table 2. Significant results from the generalised linear mixed models assessing differences in the behaviour exhibited by the fish in Tank 1 [pacu (Myleus micans) and curimba (Prochilodus argenteus)] across the three phases of the study (baseline, enrichment, and post-enrichment). All models were constructed using a zero-inflated error distribution family. SE = standard error.
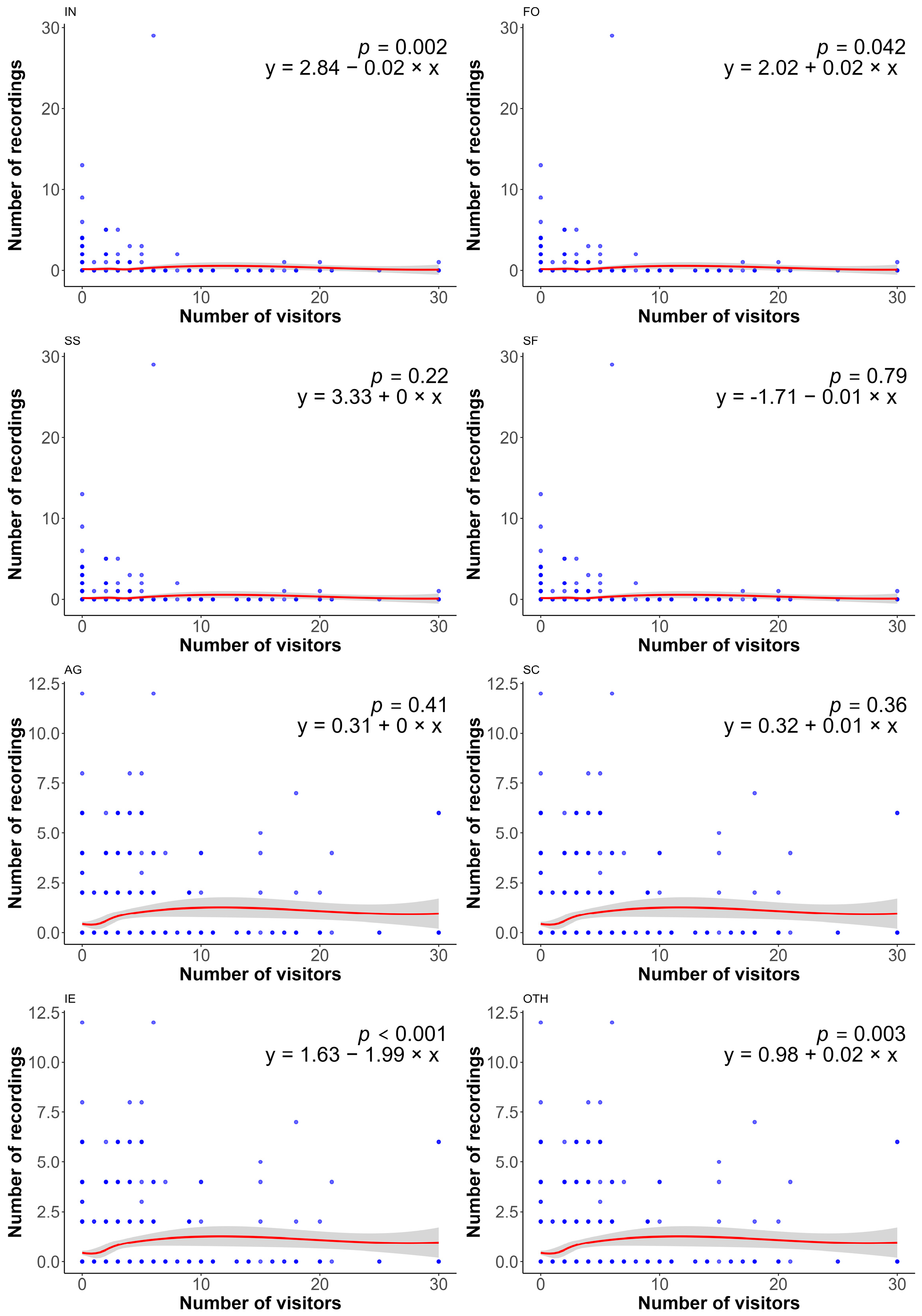
Some behaviours were significantly, albeit slightly, influenced by the presence of the public in front of the tanks, regardless of the study phase or fish species. The behaviours of inactivity and interaction with enrichment were displayed less frequently as the number of visitors increased (Figure 4). In contrast, the behaviours of foraging and other behaviours were exhibited more frequently in the presence of a greater number of visitors (Figure 4). The remaining behaviours (swimming fast, swimming slowly, aggression, and escaping from agonistic encounters) did not correlate with visitor numbers (Figure 4).
Figure 4. Relationship between the exhibition of behaviours by pacus and curimbas and the number of visitors in front of Tank 1. Blue dots represent behavioural recordings. Red lines represent LOESS smoothers fitted to the data. Zero-inflated regression line equations. IN = inactive; FO = foraging; SS = swimming slowly; SF = swimming fast; AG = aggression; SC = escaping from agonistic encounters; IE = interacting with enrichment; OTH = other behaviours.
For each behavioural category, the relevance of including “day” as a random effect was assessed by a likelihood ratio test (comparing models with and without “day”). Only four behaviours were influenced by the day of data collection, namely foraging (p = 0.001), swimming slowly (p = 0.003), swimming fast (p = 0.018), and not visible (p < 0.001), as shown in Figure 5. Foraging was infrequently observed during the baseline phase, increased slightly during the enrichment phase, and then decreased again in the post-enrichment phase (Figure 5). A similar pattern was observed for the not visible category, although its frequency remained higher during the post-enrichment phase. Swimming fast remained relatively constant across phases, with some increases noted during the baseline. Swimming slowly followed a pattern of peaks followed by declines within each phase; overall, it was more frequently displayed at the beginning of each phase than at the end (Figure 5).
Figure 5. Influence of the sequence of data collection days on fish behaviours and the not visible category across the three phases of the study (baseline, enrichment, post-enrichment). FO = foraging; NV = not visible; SF = swimming fast; SS = swimming slowly.
The behavioural diversity index increased during the environmental enrichment phase only for curimbas (p. argenteus), whereas it decreased for the pacus (M. micans) (Figure 6).
Figure 6. Shannon diversity index of behaviours exhibited by pacus (Myleus micans) and curimbas (Prochilodus argenteus) housed in Tank 1 during the three phases of the study.

4. Discussion

The results obtained from the curimbas and pacus support the initial hypothesis that food enrichment would influence the behaviour of the individuals, also confirming the premise of a decrease in the frequency of inactivity. The hypothesis that environmental enrichment would increase foraging was partially confirmed, as this result was observed only for the curimbas. The behaviour of the curimbas was the most affected by the enrichment, with not only an increase in foraging but also an increase in aggressive behaviours. The presence of visitors had a mild effect on the fish’s behaviour, corroborating the hypothesis that the greater the number of people in front of the tank, the less interaction the fish would have with the enrichment. However, this result contradicted the premise that the fish would become more inactive and forage less in the presence of higher visitor numbers. Finally, the diversity index of behaviours exhibited by the curimbas increased during the use of the environmental enrichment, while it decreased for the pacus during the same phase.
While direct interspecific agonism between Myleus micans (pacu) and Prochilodus argenteus (curimba) was not observed, their distinct feeding behaviours created a complementary dynamic that significantly influenced foraging patterns. M. micans, with their powerful jaws, efficiently fragmented the enrichment acorns, scattering smaller pieces throughout the enclosure. Although pacus would momentarily move away when curimbas approached the item, likely due to intimidation by their superior size, this fragmentation provided abundant secondary foraging opportunities. Indeed, after the main pellets were consumed, P. argenteus continued to actively forage for these scattered fragments on the substrate and structures, a behaviour not exhibited by M. micans at that point. This division of labour, where one species’ feeding strategy directly facilitated the foraging of the other, highlights a form of interspecific social cueing that contributed to the overall observed activity. Different approaches to food items reinforce the importance of considering the anatomical particularities of the species involved when planning an enrichment programme []. This result shows how maintaining multi-species aquariums can benefit the species involved, as the behaviours exhibited by one can stimulate behaviours in the other, improving the quality of life for both []. The use of food enrichment promoting increased activity and foraging has also been recorded in Atlantic salmon (Salmo salar) []. The minimal foraging and general inactivity of both species during baseline (Phase A) observations, where pacus primarily moved to avoid curimba swimming paths, further suggest that these specific interspecies interactions, driven by the enrichment, were important in shaping the observed foraging responses. The application of enrichment resulted in a significant reduction in inactivity for both species and increased foraging behaviour in the curimbas. Other studies have similarly reported increased activity and foraging with the use of different types of enrichment, such as physical enrichment [,,], primarily with the use of aquatic plants [,,] and socialising [,]. However, the exact mechanisms underlying these interspecies dynamics and the long-term effects of environmental enrichment and visitor presence on the behaviour and welfare of Myleus micans and Prochilodus argenteus remain largely unexplored in the scientific literature. Future studies are essential to delve deeper into these species-specific responses and their implications for captive management.
In the present study, the increase in foraging was also associated with an increase in the number of visitors. This observation aligns with principles of social foraging and information transfer, where the presence and activity of conspecifics can stimulate similar behaviours, leading to increased group foraging efficiency []. The consistent observation of fish swimming side by side without signs of aggression suggests a positive social interaction that may have facilitated this collective foraging response. Furthermore, the presence of visitors in zoological environments can act as a novel and dynamic stimulant, potentially increasing general activity levels and exploratory behaviours in animals [,]. This heightened state of alertness or engagement might manifest as increased foraging activity, especially if the animals associate visitor presence with a more dynamic environment or even indirect opportunities related to food. This aligns with the concept that animal–visitor interactions can serve as a form of environmental enrichment, alleviating unfulfilled foraging motivations [].
In addition to the increased foraging, there was also an increase in the exhibition of other behaviours, which were predominantly displayed by the pacus. However, a study on interpreting this behaviour in pacus would be necessary for more conclusive findings. Less interaction with the enrichment item was also recorded in association with increased visitors and reduced inactivity. The enrichment item was offered to the fish in the morning, when visitor numbers at the aquarium were low. The peak of the visit occurred in the afternoon, but by then, the fish had usually already consumed the enrichment items. Thus, the decreased interaction with the enrichment item by the fish may reflect more the reduced availability of the enrichment in the environment rather than the presence of the public itself. Therefore, a suggestion would be to test the use of this enrichment item both with and without visitors present to determine if their presence has a positive or negative effect on interaction with the enrichment.
Conversely, a positive relationship was recorded between foraging and the number of visitors, especially for the curimbas. As mentioned, small pieces broke off and scattered across the substrate as the fish consumed the enrichment item. Even after the acorns were entirely consumed, the stimulus to search for enrichment particles in the substrate remained, and the curimbas spent a considerable amount of time exhibiting this behaviour, even in the presence of visitors. Late effects of environmental enrichment items have been documented in some studies involving fish [,,], but the impact of the public on fish in aquariums remains poorly understood []. For example, a study conducted with animals at the Memphis Zoo (USA) showed that the cownose ray Rhinoptera bonasus increased solitary behaviour, reducing social behaviours as the number of visitors increased. In the same study, it was also recorded that two species of sharks (Brownbanded bamboo shark Chiloscyllium punctatum and Whitespotted bamboo shark Chiloscyllium platinum) had a strong preference for a region of the tank where there was no contact with visitors []. Another study conducted with several ray species observed that the number of visitors influenced the duration of activity-related behaviours []. In the present study, visitors appeared to stimulate foraging behaviour, which may be attributed to the type of environmental enrichment (EE) employed. Thus, the increase in foraging activity by the fish may have, in turn, attracted more visitors to their tank, as the public tends to be more interested in observing animals that are active within their enclosures []. Therefore, using this EE may be a valuable strategy during environmental education activities at the facility [].
During the application phase of the feeding enrichment, a significant increase in agonistic behaviours was observed among the curimbas. This effect was driven by competition for the enrichment items within the tank. The acorns were designed to dissolve slowly, stimulating foraging by gradually releasing particles into the water. However, interaction with the item was frequent among the fish, leading to competition and increased agonistic behaviours. Similar increases in aggression triggered by competition for enrichment items have previously been reported in Danio rerio (zebrafish), Oreochromis niloticus (Nile tilapia), and R. bonasus (cownose ray) [,,]. Considering this, the number of enrichment items provided was insufficient to meet the interaction needs of all individuals in the tank. Therefore, future studies should consider this by offering more acorns than the number of fish in the tank to avoid inducing competition for the item.
There was also an increase in the number of not visible records for the curimbas during the enrichment and post-enrichment phases. This result, together with the rise in escape behaviour observed during the enrichment phase, suggests that the curimbas made greater use of more sheltered areas of the tank to avoid agonistic encounters, which were more frequent during that phase of the study. This response has been previously reported in fish [,]. The curimbas’ preference for more sheltered areas of the tank extended into the post-enrichment phase, which may be considered a prolonged behavioural effect of environmental enrichment. This outcome has also been reported in fish [].
The behavioural diversity exhibited by the curimbas increased with environmental enrichment, whereas the pacus displayed a reduction in behavioural diversity. An increase in behavioural diversity is generally associated with enhanced animal welfare in captive settings, thus indicating a positive effect of enrichment only for the curimbas [].

5. Conclusions

In conclusion, the tested environmental enrichment proved effective for the curimbas, as it increased behavioural diversity and foraging activity, reduced inactivity, and stimulated competition for the items. In the case of the pacus, the enrichment reduced inactivity but did not significantly influence other key behaviours. Nonetheless, using food-based enrichment provided a more stimulating environment for both species. The food acorns generated strong interest from the fish, and by the end of each enrichment session, no remnants of the item remained in the tank, as everything had been consumed.
While this study provides promising insights into the potential of environmental enrichment (EE) for curimbas and pacus, it is important to acknowledge certain limitations. The small sample size and the use of a single tank restrict the generalisability of the findings, and caution is warranted when drawing broader conclusions. Future research should involve a larger number of individuals, multiple tanks, and a greater diversity of environmental conditions to better assess the effectiveness of EE across different aquarium settings. It is also advisable that future studies ensure the number of enrichment items matches or exceeds the number of individuals per tank to minimise agonistic interactions arising from competition. The presence of visitors was found to positively influence fish behaviour, promoting increased foraging and social activity while reducing inactivity. These findings underscore the relevance of providing enrichment to enhance the welfare of freshwater fish. Moreover, the outcomes of this study support further investigation into the behavioural effects of various food-based enrichment strategies for these species.

Author Contributions

Conceptualization, A.A.S., C.S.d.A., C.F.C., C.S.P. and E.M.E.S.; methodology, A.A.S., C.S.d.A., C.F.C., C.S.P. and E.M.E.S.; validation, A.A.S., C.S.d.A., C.F.C., C.S.P. and E.M.E.S.; formal analysis, C.S.d.A.; investigation, A.A.S.; data curation, A.A.S.; writing—original draft preparation, A.A.S., C.S.d.A., C.F.C., C.S.P. and E.M.E.S.; writing—review and editing, A.A.S., C.S.d.A., C.F.C., C.S.P. and E.M.E.S.; visualisation, A.A.S., C.S.d.A., C.F.C., C.S.P. and E.M.E.S.; supervision, C.S.d.A. and E.M.E.S.; project administration, C.S.d.A. and E.M.E.S. All authors have read and agreed to the published version of the manuscript.

Funding

This research received no external funding.

Institutional Review Board Statement

The animal study protocol was approved by the Institutional Ethics Committee of Belo Horizonte Zoo (protocol code FU011/2023 in 6 December 2023).

Data Availability Statement

All data is available in the manuscript.

Acknowledgments

The authors thank the staff of the Belo Horizonte Zoo for granting permission to conduct the study and for allowing the use of their facilities, as well as the team at the São Francisco River Aquarium for their assistance with fish handling and the preparation of environmental enrichment items. A.A.S. acknowledges FAPEMIG for providing a scholarship.

Conflicts of Interest

The authors declare no conflicts of interest.

References

  1. Young, R.J. Environmental Enrichment for Captive Animals, 1st ed.; Blackwell Science Ltd.: Oxford, UK, 2003. [Google Scholar]
  2. Mellor, D.J.; Beausoleil, N.J.; Littlewood, K.E.; McLean, A.N.; McGreevy, P.D.; Jones, B.; Wilkins, C. The 2020 Five Domains Model: Including Human–Animal Interactions in Assessments of Animal Welfare. Animals 2020, 10, 1870. [Google Scholar] [CrossRef] [PubMed]
  3. Hampton, J.O.; Hemsworth, L.M.; Hemsworth, P.H.; Hyndman, T.H.; Sandøe, P. Rethinking the Utility of the Five Domains Model. Anim. Welf. 2023, 32, e62. [Google Scholar] [CrossRef] [PubMed]
  4. Hall, K.; Bryant, J.; Staley, M.; Whitham, J.C.; Miller, L.J. Behavioural Diversity as a Potential Welfare Indicator for Professionally Managed Chimpanzees (Pan Troglodytes): Exploring Variations in Calculating Diversity Using Species-Specific Behaviours. Anim. Welf. 2021, 30, 381–392. [Google Scholar] [CrossRef]
  5. Pizzutto, C.S.; Sgai, M.G.F.G.; Guimarães, M.A.B.V. O Enriquecimento Ambiental Como Ferramenta Para Melhorar a Reprodução e o Bem-Estar de Animais Cativos: Uma Revisão. Rev. Bras. De. Reprodução Anim. 2009, 33, 129–138. [Google Scholar]
  6. Andrade, A.; Azevedo, C. Efeitos Do Enriquecimento Ambiental Na Diminuição de Comportamentos Anormais Exibidos Por Papagaios-Verdadeiros (Amazona Aestiva, Psittacidae) Cativos. Rev. Bras. Ornitol. 2011, 19, 56–62. [Google Scholar]
  7. Azevedo, C.S.; Cipreste, C.F.; Pizzutto, C.S. Fundamentos Do Enriquecimento Ambiental, 1st ed.; Editora Payá: São Paulo, Brazil, 2022; ISBN 9786558546610. [Google Scholar]
  8. da Silva, A.; Lima, M.R.; Meletti, P.C.; Jerep, F.C. Impact of Environmental Enrichment and Social Group Size in the Aggressiveness and Foraging Activity of Serrapinnus Notomelas. Appl. Anim. Behav. Sci. 2020, 224, 104943. [Google Scholar] [CrossRef]
  9. Arechavala-Lopez, P.; Cabrera-Álvarez, M.J.; Maia, C.M.; Saraiva, J.L. Environmental Enrichment in Fish Aquaculture: A Review of Fundamental and Practical Aspects. Rev. Aquac. 2022, 14, 704–728. [Google Scholar] [CrossRef]
  10. Brereton, J.E. Challenges and Directions in Zoo and Aquarium Food Presentation Research: A Review. J. Zool. Bot. Gard. 2020, 1, 13–23. [Google Scholar] [CrossRef]
  11. Brereton, J.E. Size Matters: A Review of the Effect of Pellet Size on Animal Behaviour and Digestion. Food Sci. Nutr. 2021, 7, 090. [Google Scholar] [CrossRef]
  12. Brown, C.; Davidson, T.; Laland, K. Environmental Enrichment and Prior Experience of Live Prey Improve Foraging Behaviour in Hatchery-reared Atlantic Salmon. J. Fish Biol. 2003, 63, 187–196. [Google Scholar] [CrossRef]
  13. Alderman, I.R.; Clayton, L.A. Fish Behavior. In Clinical Guide to Fish Medicine; Wiley: Hoboken, NJ, USA, 2021; pp. 97–108. [Google Scholar]
  14. Young, R.J. The Importance of Food Presentation for Animal Welfare and Conservation. Proc. Nutr. Soc. 1997, 56, 1095–1104. [Google Scholar] [CrossRef] [PubMed]
  15. Barros, I.B.; de Azevedo, C.S.; Cipreste, C.F.; Reisfeld, L.C.; Suzana, T.; Capriolli, R.G.; Pizzutto, C.S. The Impact of Food Enrichment on the Behavior of Cownose Ray (Rhinoptera Bonasus) Kept under Human Care. J. Zool. Bot. Gard. 2024, 5, 325–337. [Google Scholar] [CrossRef]
  16. Stenberg, M.; Persson, A. The Effects of Spatial Food Distribution and Group Size on Foraging Behaviour in a Benthic Fish. Behav. Process. 2005, 70, 41–50. [Google Scholar] [CrossRef] [PubMed]
  17. Collins, C.; Barr, Y.; McKeown, S.; Scheun, J.; Tay, C.; O’Riordan, R. An International Investigation of the Prevalence of Negative Visitor Behaviour in the Zoo. Animals 2023, 13, 2661. [Google Scholar] [CrossRef]
  18. Williams, E.; Hunton, V.; Hosey, G.; Ward, S.J. The Impact of Visitors on Non-Primate Species in Zoos: A Quantitative Review. Animals 2023, 13, 1178. [Google Scholar] [CrossRef]
  19. Boyle, S.A.; Berry, N.; Cayton, J.; Ferguson, S.; Gilgan, A.; Khan, A.; Lam, H.; Leavelle, S.; Mulder, I.; Myers, R.; et al. Widespread Behavioral Responses by Mammals and Fish to Zoo Visitors Highlight Differences between Individual Animals. Animals 2020, 10, 2108. [Google Scholar] [CrossRef] [PubMed]
  20. Truax, J.; Vonk, J.; Meri, E.; Troxell-Smith, S.M. Aquarium Visitors Catch Some Rays: Rays Are More Active in the Presence of More Visitors. Animals 2023, 13, 3526. [Google Scholar] [CrossRef]
  21. Borges, M.P.; Byk, J.; Del-Claro, K. Influência de Técnicas de Enriquecimento Ambiental No Aumento Do Bem-Estar de Callithrix Penicillata (E. Geoffroy, 1812) (Primates: Callitrichidae). Biotemas 2011, 24, 83–94. [Google Scholar] [CrossRef]
  22. Eslamloo, K.; Akhavan, S.R.; Fallah, F.J.; Henry, M.A. Variations of Physiological and Innate Immunological Responses in Goldfish (Carassius Auratus) Subjected to Recurrent Acute Stress. Fish Shellfish Immunol. 2014, 37, 147–153. [Google Scholar] [CrossRef]
  23. Portz, D.E.; Woodley, C.M.; Cech, J.J. Stress-Associated Impacts of Short-Term Holding on Fishes. Rev. Fish Biol. Fish 2006, 16, 125–170. [Google Scholar] [CrossRef]
  24. Goulart, V.D.; Azevedo, P.G.; van de Schepop, J.a.; Teixeira, C.P.; Barçante, L.; Azevedo, C.S.; Young, R.J. GAPs in the Study of Zoo and Wild Animal Welfare. Zoo Biol. 2009, 28, 561–573. [Google Scholar] [CrossRef] [PubMed]
  25. Bachetti, É.d.S.; Viol, L.Y.; Viana-Junior, A.B.; Young, R.J.; de Azevedo, C.S. Global Overview of Environmental Enrichment Studies: What Has Been Done and Future Directions. Animals 2024, 14, 1613. [Google Scholar] [CrossRef] [PubMed]
  26. Melfi, V.A. There Are Big Gaps in Our Knowledge, and Thus Approach, to Zoo Animal Welfare: A Case for Evidence-based Zoo Animal Management. Zoo Biol. 2009, 28, 574–588. [Google Scholar] [CrossRef] [PubMed]
  27. Binding, S.; Farmer, H.; Krusin, L.; Cronin, K. Status of Animal Welfare Research in Zoos and Aquariums: Where Are We, Where to Next? J. Zoo Aquar. Res. 2020, 8, 166–174. [Google Scholar]
  28. Rose, P.; Riley, L. The Use of Qualitative Behavioural Assessment in Zoo Welfare Measurement and Animal Husbandry Change. Res. Artic. J. Zoo Aquar. Res. 2019, 7, 2019. [Google Scholar]
  29. Näslund, J.; Aarestrup, K.; Thomassen, S.T.; Johnsson, J.I. Early Enrichment Effects on Brain Development in Hatchery-Reared Atlantic Salmon (Salmo Salar): No Evidence for a Critical Period. Can. J. Fish. Aquat. Sci. 2012, 69, 1481–1490. [Google Scholar] [CrossRef]
  30. Salvanes, A.G.V.; Moberg, O.; Ebbesson, L.O.E.; Nilsen, T.O.; Jensen, K.H.; Braithwaite, V.A. Environmental Enrichment Promotes Neural Plasticity and Cognitive Ability in Fish. Proc. R. Soc. B Biol. Sci. 2013, 280, 20131331. [Google Scholar] [CrossRef]
  31. DePasquale, C.; Neuberger, T.; Hirrlinger, A.M.; Braithwaite, V.A. The Influence of Complex and Threatening Environments in Early Life on Brain Size and Behaviour. Proc. R. Soc. B Biol. Sci. 2016, 283, 20152564. [Google Scholar] [CrossRef]
  32. Näslund, J.; Rosengren, M.; Del Villar, D.; Gansel, L.; Norrgård, J.R.; Persson, L.; Winkowski, J.J.; Kvingedal, E. Hatchery Tank Enrichment Affects Cortisol Levels and Shelter-Seeking in Atlantic Salmon (Salmo Salar). Can. J. Fish. Aquat. Sci. 2013, 70, 585–590. [Google Scholar] [CrossRef]
  33. Pounder, K.C.; Mitchell, J.L.; Thomson, J.S.; Pottinger, T.G.; Buckley, J.; Sneddon, L.U. Does Environmental Enrichment Promote Recovery from Stress in Rainbow Trout? Appl. Anim. Behav. Sci. 2016, 176, 136–142. [Google Scholar] [CrossRef]
  34. Batzina, A.; Karakatsouli, N. The Presence of Substrate as a Means of Environmental Enrichment in Intensively Reared Gilthead Seabream Sparus Aurata: Growth and Behavioral Effects. Aquaculture 2012, 370–371, 54–60. [Google Scholar] [CrossRef]
  35. Strand, D.; Utne-Palm, A.; Jakobsen, P.; Braithwaite, V.; Jensen, K.; Salvanes, A. Enrichment Promotes Learning in Fish. Mar. Ecol. Prog. Ser. 2010, 412, 273–282. [Google Scholar] [CrossRef]
  36. Rodewald, P.; Hyvärinen, P.; Hirvonen, H. Wild Origin and Enriched Environment Promote Foraging Rate and Learning to Forage on Natural Prey of Captive Reared Atlantic Salmon Parr. Ecol. Freshw. Fish 2011, 20, 569–579. [Google Scholar] [CrossRef]
  37. Rosengren, M.; Kvingedal, E.; Näslund, J.; Johnsson, J.I.; Sundell, K. Born to Be Wild: Effects of Rearing Density and Environmental Enrichment on Stress, Welfare, and Smolt Migration in Hatchery-Reared Atlantic Salmon. Can. J. Fish. Aquat. Sci. 2017, 74, 396–405. [Google Scholar] [CrossRef]
  38. Hansen, T.J.; Møller, D. Yolk Absorption, Yolk Sac Constrictions, Mortality, and Growth During First Feeding of Atlantic Salmon (Salmo Salar) Incubated on Astro-Turf. Can. J. Fish. Aquat. Sci. 1985, 42, 1073–1078. [Google Scholar] [CrossRef]
  39. Batzina, A.; Dalla, C.; Papadopoulou-Daifoti, Z.; Karakatsouli, N. Effects of Environmental Enrichment on Growth, Aggressive Behaviour and Brain Monoamines of Gilthead Seabream Sparus Aurata Reared under Different Social Conditions. Comp. Biochem. Physiol. A Mol. Integr. Physiol. 2014, 169, 25–32. [Google Scholar] [CrossRef]
  40. Kleiber, A.; Stomp, M.; Rouby, M.; Ferreira, V.H.B.; Bégout, M.-L.; Benhaïm, D.; Labbé, L.; Tocqueville, A.; Levadoux, M.; Calandreau, L.; et al. Cognitive Enrichment to Increase Fish Welfare in Aquaculture: A Review. Aquaculture 2023, 575, 739654. [Google Scholar] [CrossRef]
  41. Monreal_Pawlowsky, T.; Vaicekauskaite, R.; Membrive, G.; Delfour, F.; Manteca, X. Goal-Oriented Behavioural and Environmental Enrichment in Aquarium Species. J. Zoo Aquar. Res. 2021, 9, 4. [Google Scholar] [CrossRef]
  42. Holanda, P.; Furtado-Neto, M.A.A.; Cabral, N. An Evaluation of Public Aquariums in São Paulo (Brazil) in Light of the Global Aquarium Strategy for Conservation and Sustainability. Arq. Ciências Mar. 2015, 48, 5–15. [Google Scholar]
  43. Azevedo, C.S.; Barçante, L. Enriquecimento Ambiental Em Zoológicos Brasileiros: Em Busca Do Bem-Estar Animal. Rev. Bras. Zoociências 2018, 19, 15–34. [Google Scholar] [CrossRef]
  44. Rabb, G.B. The Evolution of Zoos from Menageries to Centers of Conservation and Caring. Curator Mus. J. 2004, 47, 237–246. [Google Scholar] [CrossRef]
  45. Miranda, R.; Escribano, N.; Casas, M.; Pino-del-Carpio, A.; Villarroya, A. The Role of Zoos and Aquariums in a Changing World. Annu. Rev. Anim. Biosci. 2023, 11, 287–306. [Google Scholar] [CrossRef] [PubMed]
  46. Prefeitura de Belo Horizonte Aquário Do Rio São Francisco. Available online: https://prefeitura.pbh.gov.br/fundacao-de-parques-e-zoobotanica/aquario-rio-sao-francisco?__goc_wbp__=01548700249x6sf4VqYlv3POpt8HKuwa-2PE (accessed on 12 May 2025).
  47. Peressin, A.; de Magalhães Lopes, J.; Wouters, L.; Andrade Neto, F.R.; Alves, C.B.M.; Pompeu, P.S. Migratory Behavior of Prochilodus argenteus in the São Francisco River Basin, Brazil. Fish. Manag. Ecol. 2024, 31, e12644. [Google Scholar] [CrossRef]
  48. Castro, R.M.C.; Vari, R.P. Detritivores of the South American Fish Family Prochilodontidae (Teleostei:Ostariophysi:Characiformes): A Phylogenetic and Revisionary Study; Smithsonian Books: Washington, DC, USA, 2004. [Google Scholar] [CrossRef]
  49. Godinho, H.; Godinho, A. Águas, Peixes e Pescadores Do São Francisco Das Minas Gerais; Godinho, H., Godinho, A., Eds.; Editora Puc-Minas: Belo Horizonte, Brazil, 2003. [Google Scholar]
  50. Souza, E.M.; Amaral, D.F. Peixes Do Rio São Francisco Nativos, Endêmicos e Exóticos; Souza, E.M., Amaral, D.F., Eds.; IFSertãoPE: Petrolina, Brazil, 2022. [Google Scholar]
  51. Makino, L.C.; Faustino, F.; Paes, M.C.F.; Beraldo-Massoli, M.C.; Cardozo, M.V.; Schocken-Iturrino, R.P.; Nakaghi, L.S.O. Morfologia e Quantificação Da Microbiota Intestinal Do Curimbatá (Prochilodus Lineatus) e Do Cascudo Cinza (Pterygoplichthys Anisitsi) Cultivados Em Cativeiro. Arq. Bras. Med. Vet. Zootec. 2012, 64, 916–926. [Google Scholar] [CrossRef]
  52. Britski, H.A.; Sato, Y.; Rosa, A.B.S. Manual de Identificação de Peixes Da Região de Três Marias, 3rd ed.; CODEVASF: Brasilia, Brazil, 1988. [Google Scholar]
  53. CONCEA-Conselho Nacional de Controle de Experimentação Animal. Guia Brasileiro de Produção, Manutenção Ou Utilização de Animais Em Atividades de Ensino Ou Pesquisa Científica, 1st ed.; Ministério da Ciência, Tecnologia e Inovação: Brasília, Brazil, 2023; pp. 384–458.
  54. Altmann, J. Observational Study of Behavior: Sampling Methods. Behaviour 1974, 49, 227–267. [Google Scholar] [CrossRef]
  55. Bateson, P.; Martin, P. Measuring Behaviour, 4th ed.; Cambridge University Press: Cambridge, UK, 2021; ISBN 9780511810893. [Google Scholar]
  56. Kalueff, A.V.; Stewart, A.M.; Gerlai, R. Zebrafish as an Emerging Model for Studying Complex Brain Disorders. Trends Pharmacol. Sci. 2014, 35, 63–75. [Google Scholar] [CrossRef]
  57. Oldfield, R.G.; Thal, J.E.; Das, P.; Zarlinga, N.J.; Lukas, K.E.; Wark, J.D. Agonistic Behavior and Feeding Competition in the Largest Piranha Species, Pygocentrus Piraya, in a Zoo. J. Ethol. 2023, 41, 25–37. [Google Scholar] [CrossRef]
  58. Barçante, L.; Azevedo, C.S.; Pizzutto, C.S.; Vasconcellos, A.d.S. A Importância Do Estudo Do Comportamento Para a Avaliação Da Eficácia Do Enriquecimento Ambiental. In Fundamentos do Enriquecimento Ambiental. In Fundamentos do Enriquecimento Ambiental; Azevedo, C.S., Cipreste, C.F., Pizzutto, C.S., Eds.; Paya: São Paulo, Brazil, 2022; pp. 271–292. [Google Scholar]
  59. R Core Team. R: A Language and Environment for Statistical Computing. R Foundation for Statistical Computing: Vienna, Austria, 2024. Available online: https://www.R-project.org/ (accessed on 9 January 2025).
  60. Bates, D.; Mächler, M.; Bolker, B.M.; Walker, S.C. Fitting Linear Mixed-Effects Models Using Lme4. J. Stat. Softw. 2015, 67, 1–48. [Google Scholar] [CrossRef]
  61. Brooks, M.E.; Kristensen, K.; van Benthem, K.J.; Magnusson, A.; Berg, C.W.; Nielsen, A.; Skaug, H.J.; Mächler, M.; Bolker, B.M. GlmmTMB Balances Speed and Flexibility among Packages for Zero-Inflated Generalized Linear Mixed Modeling. R. J. 2017, 9, 378–400. [Google Scholar] [CrossRef]
  62. Lenth, R.V.; Bolker, B.; Buerkner, P.; Giné-Vázquez, I.; Herve, M.; Jung, M.; Love, J.; Miguez, F.; Piaskowiski, J.; Riebl, H.; et al. Emmeans: Estimated Marginal Means, Aka Least-Squares Means. R Package Version 4.0-3. 2024. Available online: http://cran.r-project.org/package=emmeans (accessed on 2 January 2025).
  63. Wickham, H. Ggplot2: Elegant Graphics for Data Analysis; Springer-Verlag: New York, NY, USA, 2016; ISBN 978-3-319-24277-4. [Google Scholar]
  64. Miller, L.; Vicino, G.; Sheftel, J.; Lauderdale, L. Behavioral Diversity as a Potential Indicator of Positive Animal Welfare. Animals 2020, 10, 1211. [Google Scholar] [CrossRef]
  65. Brereton, J.; Fernandez, E. Which Index Should I Use? A Comparison of Indices for Enclosure Use Studies. Anim. Behav. Cogn. 2022, 9, 119–132. [Google Scholar] [CrossRef]
  66. Jones, N.A.R.; Webster, M.M.; Salvanes, A.G.V. Physical Enrichment Research for Captive Fish: Time to Focus on the DETAILS. J. Fish Biol. 2021, 99, 704–725. [Google Scholar] [CrossRef] [PubMed]
  67. Oliveira, A.R.; Cabrera-Alvarez, M.J.; Soares, F.; Diáz-Gil, C.; Candeias-Mendes, A.; Saraiva, J.L.; Arechavala-Lopez, P. Structural Enrichment Promotes Natural Behaviour and Welfare of Captive Gilthead Seabream Broodstock. Appl. Anim. Behav. Sci. 2024, 275, 106289. [Google Scholar] [CrossRef]
  68. Ullah, I.; Zuberi, A.; Khan, K.U.; Ahmad, S.; Thörnqvist, P.-O.; Winberg, S. Effects of Enrichment on the Development of Behaviour in an Endangered Fish Mahseer (Tor Putitora). Appl. Anim. Behav. Sci. 2017, 186, 93–100. [Google Scholar] [CrossRef]
  69. Harpaz, R.; Schneidman, E. Social Interactions Drive Efficient Foraging and Income Equality in Groups of Fish. Elife 2020, 9, e56196. [Google Scholar] [CrossRef]
  70. D’Cruze, N.; Khan, S.; Carder, G.; Megson, D.; Coulthard, E.; Norrey, J.; Groves, G. A Global Review of Animal–Visitor Interactions in Modern Zoos and Aquariums and Their Implications for Wild Animal Welfare. Animals 2019, 9, 332. [Google Scholar] [CrossRef]
  71. Ahlbeck Bergendahl, I.; Salvanes, A.G.V.; Braithwaite, V.A. Determining the Effects of Duration and Recency of Exposure to Environmental Enrichment. Appl. Anim. Behav. Sci. 2016, 176, 163–169. [Google Scholar] [CrossRef]
  72. Zhang, Z.; He, Y.; Wang, J.; Zheng, Y.; Mo, J.; Zhang, X.; Liu, W. A Global Synthesis of Environmental Enrichment Effect on Fish Stress. Fish Fish. 2025, 26, 131–154. [Google Scholar] [CrossRef]
  73. Colbachini, H.; Pizzutto, C.S.; de Souza Mesquita, L.M.; Gadig, O.B.F. Environmental Enrichment Effects on the Reproductive Behavior of Captive Nurse Sharks Ginglymostoma Cirratum. Environ. Biol. Fishes 2021, 104, 471–488. [Google Scholar] [CrossRef]
  74. Moss, A.; Esson, M. Visitor Interest in Zoo Animals and the Implications for Collection Planning and Zoo Education Programmes. Zoo Biol. 2010, 29, 715–731. [Google Scholar] [CrossRef]
  75. Colbachini, H.; Mello, H.E.S.d.O. Enriquecimento Ambiental e a Sua Relevância Para a Educação Ambiental. In Fundamentos do Enriquecimento Ambiental. In Fundamentos do Enriquecimento Ambiental; Editora Payá: São Paulo, Brazil, 2022; pp. 284–293. ISBN 978-65-5854-661-0. [Google Scholar]
  76. Woodward, M.A.; Winder, L.A.; Watt, P.J. Enrichment Increases Aggression in Zebrafish. Fishes 2019, 4, 22. [Google Scholar] [CrossRef]
  77. Barreto, R.E.; Carvalho, G.G.A.; Volpato, G.L. The Aggressive Behavior of Nile Tilapia Introduced into Novel Environments with Variation in Enrichment. Zoology 2011, 114, 53–57. [Google Scholar] [CrossRef] [PubMed]
  78. Mushtaq, S.T. Aggression in Aquatic Environments and Its Relevance in Aquaculture and Conservation Efforts. Discov. Anim. 2024, 1, 28. [Google Scholar] [CrossRef]
  79. Barley, A.J.; Coleman, R.M. Habitat Structure Directly Affects Aggression in Convict Cichlids Archocentrus Nigrofasciatus. Curr. Zool. 2010, 56, 52–56. [Google Scholar] [CrossRef]
  80. Gallas-Lopes, M.; Benvenutti, R.; Donzelli, N.I.Z.; Marcon, M. A Systematic Review of the Impact of Environmental Enrichment in Zebrafish. Lab. Anim. 2023, 52, 332–343. [Google Scholar] [CrossRef]
Disclaimer/Publisher’s Note: The statements, opinions and data contained in all publications are solely those of the individual author(s) and contributor(s) and not of MDPI and/or the editor(s). MDPI and/or the editor(s) disclaim responsibility for any injury to people or property resulting from any ideas, methods, instructions or products referred to in the content.

Article Metrics

Citations

Article Access Statistics

Multiple requests from the same IP address are counted as one view.