Sign in to use this feature.

Years

Between: -

Subjects

remove_circle_outline
remove_circle_outline
remove_circle_outline
remove_circle_outline
remove_circle_outline
remove_circle_outline
remove_circle_outline
remove_circle_outline
remove_circle_outline

Journals

remove_circle_outline
remove_circle_outline
remove_circle_outline
remove_circle_outline
remove_circle_outline
remove_circle_outline
remove_circle_outline
remove_circle_outline
remove_circle_outline
remove_circle_outline

Article Types

Countries / Regions

remove_circle_outline
remove_circle_outline
remove_circle_outline
remove_circle_outline
remove_circle_outline

Search Results (253)

Search Parameters:
Keywords = concurrent exercise

Order results
Result details
Results per page
Select all
Export citation of selected articles as:
15 pages, 1612 KB  
Case Report
An Exploratory Case Series Investigating Concurrent Aerobic and Resistance Training in Young, Highly Trained Rowers
by Melissa E. Brown, Angela L. Spence, Martyn J. Binnie and Dale W. Chapman
Sports 2026, 14(1), 39; https://doi.org/10.3390/sports14010039 - 14 Jan 2026
Viewed by 88
Abstract
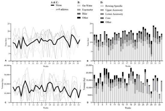
This study examined the longitudinal patterns of concurrent aerobic and resistance training in young elite rowers to address the limited understanding of how training volume, modality, and periodisation interact across a season, and to introduce a novel rowing-specific resistance training classification. A retrospective [...] Read more.
This study examined the longitudinal patterns of concurrent aerobic and resistance training in young elite rowers to address the limited understanding of how training volume, modality, and periodisation interact across a season, and to introduce a novel rowing-specific resistance training classification. A retrospective design was used to analyse group training data over 36 weeks (n = 9; 20.6 ± 0.5 years), and individual case studies over 55 weeks (n = 4; 21.6 ± 0.4 years). Aerobic loads, resistance training tonnage, and ergometer performance (power output) were tracked, with resistance exercises categorised as rowing-specific, upper accessory, lower accessory, or core. Weekly aerobic volume averaged 14.0 ± 5.0 h, and rowing-specific resistance accounted for 48–57% of total tonnage (14.13 × 103 ± 7.41 × 103 kg). Exploratory analyses suggested an inverse relationship between aerobic, and resistance loads across training phases and trends toward improved ergometer power in three of four case athletes. High concurrent loads also appeared to coincide with occasional missed or modified sessions in several cases. These findings highlight the importance of managing concurrent loads to support consistent training while offering a practical resistance training classification that may enhance monitoring and decision-making for developing rowers. Full article
Show Figures

Graphical abstract

11 pages, 454 KB  
Review
Irisin as a Neuroprotective Agent in Parkinson’s Disease: The Role of Physical Exercise in Modulating Dopaminergic Neurons
by José Garcia de Brito-Neto, Paulo Leonardo de Góis Morais, José Rodolfo Lopes de Paiva Cavalcanti, Francisco Irochima Pinheiro, Fausto Pierdoná Guzen and Ricardo Ney Cobucci
Pharmacy 2026, 14(1), 9; https://doi.org/10.3390/pharmacy14010009 - 13 Jan 2026
Viewed by 110
Abstract
Exercise-induced myokines have emerged as crucial mediators of the beneficial effects of physical activity on neurodegenerative diseases through complex molecular mechanisms involving oxidative stress reduction, neuroinflammation suppression, and synaptic plasticity enhancement. Among these myokines, irisin, encoded by the FNDC5 gene, has gained significant [...] Read more.
Exercise-induced myokines have emerged as crucial mediators of the beneficial effects of physical activity on neurodegenerative diseases through complex molecular mechanisms involving oxidative stress reduction, neuroinflammation suppression, and synaptic plasticity enhancement. Among these myokines, irisin, encoded by the FNDC5 gene, has gained significant attention as a potential therapeutic target in neurodegenerative conditions due to its ability to cross the blood–brain barrier and exert pleiotropic neuroprotective effects. This review synthesizes current evidence from both preclinical and clinical studies examining the role of exercise-induced irisin in neurodegeneration, with particular emphasis on translational potential and therapeutic applications. A comprehensive search was conducted across PubMed, Web of Science, Scopus, and EMBASE databases (spanning January 2015 to December 2024) to identify peer-reviewed articles investigating irisin’s neuroprotective mechanisms in neurodegenerative diseases. Ten studies met the inclusion criteria (five rodent/primate model studies and five human clinical investigations), which were analyzed for methodological rigor, intervention protocols, biomarker quantification methods, and reported outcomes. Reviewed studies consistently demonstrated that exercise-induced endogenous irisin elevation correlates with improved cognitive function, reduced neuroinflammatory markers, enhanced synaptic plasticity, and modulation of neurodegenerative pathways, with exogenous irisin administration reproducing several neuroprotective benefits observed with exercise training in animal models. However, substantial heterogeneity exists regarding exercise prescription parameters (intensity, duration, frequency, modality), training-induced irisin quantification methodologies (ELISA versus mass spectrometry), and study designs (ranging from uncontrolled human observations to randomized controlled trials in animal models). Critical appraisal reveals that human studies lack adequate control for confounding variables including baseline physical fitness, comorbidities, concurrent medications, and potential sources of bias, while biochemical studies indicate distinct pharmacokinetics between endogenous training-induced irisin and exogenous bolus dosing, necessitating careful interpretation of therapeutic applicability. The translational potential of irisin as a therapeutic agent or drug target depends on resolving methodological standardization in biomarker measurement, conducting well-designed clinical trials with rigorous control for confounders, and integrating findings from molecular/biochemical studies to elucidate mechanisms linking irisin to disease modification. Future research should prioritize establishing clinical trial frameworks that harmonize exercise prescriptions, employ robust biomarker quantification (mass spectrometry), and stratify participants based on disease stage, comorbidities, and genetic predisposition to clarify irisin’s role as a potential therapeutic intervention in neurodegenerative disease management. Full article
Show Figures

Graphical abstract

15 pages, 2323 KB  
Case Report
Clinical Diagnosis, Treatment, and Outcome Analysis of a Horse with Proximal Sesamoid Bone Fracture Complicated by Flexor Tendinitis
by Zhiyuan Zhang, Yang Yang, Yuhui Ma, Zhanhai Mai, Han Fu, Xutian Wang, Xiongjian Cao, Tianqing Li, Jianlong Li and Qingyong Guo
Vet. Sci. 2026, 13(1), 40; https://doi.org/10.3390/vetsci13010040 - 2 Jan 2026
Viewed by 203
Abstract
With the growing popularity of equestrian sports, the incidence of athletic injuries in horses has also risen. Among these injuries, proximal sesamoid bone fracture (PSBF) and flexor tendinitis are particularly common in the forelimbs of sport horses and represent major causes of musculoskeletal [...] Read more.
With the growing popularity of equestrian sports, the incidence of athletic injuries in horses has also risen. Among these injuries, proximal sesamoid bone fracture (PSBF) and flexor tendinitis are particularly common in the forelimbs of sport horses and represent major causes of musculoskeletal impairment. A 5-year-old horse presented with obvious symptoms such as swelling at the left fetlock joint and metacarpal region after exercise. Through lameness assessment, diagnostic imaging, and hematological testing, the horse was diagnosed with PSBF complicated by flexor tendinitis. The affected horse was treated with non-steroidal anti-inflammatory drugs combined with low-intensity pulsed ultrasound (LIPUS) therapy. After treatment, local microcirculation at the fracture and flexor tendon sites was improved, tissue healing was accelerated, and clinical indicators were stabilized. This case report demonstrates the potential of LIPUS-assisted therapy in promoting the recovery of horses with PSBF and concurrent flexor tendinitis, providing a valuable clinical reference for the management of complex musculoskeletal injuries in veterinary practice. Full article
Show Figures

Figure 1

28 pages, 690 KB  
Review
Nutrition and Physical Activity in Optimizing Weight Loss and Lean Mass Preservation in the Incretin-Based Medications Era: A Narrative Review
by Luisa Barana, Michelantonio De Fano, Massimiliano Cavallo, Marcello Manco, Deborah Prete, Carmine Giuseppe Fanelli, Francesca Porcellati and Roberto Pippi
Nutrients 2026, 18(1), 131; https://doi.org/10.3390/nu18010131 - 31 Dec 2025
Viewed by 985
Abstract
Background/Objectives: Incretin-based medications have transformed obesity management by enabling substantial body weight reduction. However, the rapid and pronounced loss of body mass necessitates a comprehensive, multidisciplinary approach incorporating nutritional and physical activity strategies to preserve lean mass, optimize functional outcomes, and prevent long-term [...] Read more.
Background/Objectives: Incretin-based medications have transformed obesity management by enabling substantial body weight reduction. However, the rapid and pronounced loss of body mass necessitates a comprehensive, multidisciplinary approach incorporating nutritional and physical activity strategies to preserve lean mass, optimize functional outcomes, and prevent long-term complications. This narrative review provides a critical overview of this emerging clinical concern, which is expected to gain increasing relevance in the coming years. Methods: A literature review was conducted up to 31 October 2025, focusing on studies addressing nutritional, physical activity, and adjunctive interventions in adults with obesity treated with incretin-based medications. Results: Incretin-based agents induce significant weight loss, comparable to bariatric surgery, predominantly targeting adipose tissue. Nevertheless, these medications also cause rapid reductions in muscle and bone mass, often accompanied by nutrient deficiencies, which may compromise metabolic health and physical function. Tailored nutritional strategies—including hypocaloric diets enriched in protein and fiber, as well as amino acid, vitamin, and mineral supplementation—are critical to preserve lean mass and support sustained weight maintenance. Concurrently, structured, supervised physical activity, encompassing aerobics, resistance, and strength training, mitigates muscle loss and enhances functional capacity. Emerging pharmacological agents designed to promote adipose tissue reduction while preserving lean mass, as well as interventions targeting gut microbiota modulation, may represent promising adjunctive strategies to optimize long-term outcomes further. Conclusions: While incretin-based medications produce substantial weight loss, their impact on lean mass underscores the necessity of integrating personalized nutrition, supplementation, and structured exercise to preserve muscle, prevent malnutrition, and optimize long-term health and obesity outcomes. Full article
Show Figures

Figure 1

12 pages, 926 KB  
Article
Are We Really Training at the Desired Intensity? Concurrent Validity of 16 Commercial Photoplethysmography-Based Heart Rate Monitors
by Pablo Oropesa, Alejandro Sánchez-Pay, Elena Conesa-Ros, Antonino Bianco, Jesús J. Ruiz-Navarro and Alejandro Martínez-Cava
Appl. Sci. 2026, 16(1), 126; https://doi.org/10.3390/app16010126 - 22 Dec 2025
Viewed by 604
Abstract
The validity and accuracy of photoplethysmography (PPG)-based wearable heart rate (HR) monitors remain debatable. This study aimed to determine the concurrent validity of HR records from a wide range of contemporary PPG monitors across the full spectrum of exercise intensities and running conditions. [...] Read more.
The validity and accuracy of photoplethysmography (PPG)-based wearable heart rate (HR) monitors remain debatable. This study aimed to determine the concurrent validity of HR records from a wide range of contemporary PPG monitors across the full spectrum of exercise intensities and running conditions. Ten well-trained male endurance athletes performed several incremental maximal aerobic (IMA) tests and high-intensity interval training (HIIT) sessions while wearing a Polar H9 chest strap, as the reference criterion; 16 PPG-based heart rate monitors were tested (Amazfit Fit5; Apple Ultra and SE; Garmin 35, 45, 235, and 935; Polar M200, M430, OH1, Vantage M, Vantage V, Vantage V3, and Verity Sense; Galaxy Watch 5, Suunto 3 Fitness). The results showed excellent ICC (>0.90) versus the reference device across IMA and HIIT tests. Overall, the ICC decreased, and magnitudes of error increased (BIAS, SEM, and CV) as the intensity increased. Moreover, lower ICC values and greater BIAS, SEM, and CV were observed during the HIIT compared to the IMA test. Nevertheless, notable differences between devices were observed in magnitude of errors, accuracy, data loss, and read failures. In conclusion, PPG-based HR monitor validity is device-dependent and therefore exercise data from running training and competitions should be interpreted with caution. Full article
(This article belongs to the Special Issue Recent Research on Biomechanics and Sports)
Show Figures

Figure 1

12 pages, 642 KB  
Article
Changes in Fitness Parameters in Ridden Trained Showjumping Horses After Healing of Gastric Ulcers: Preliminary Results
by Sara Busechian, Alessandra Di Salvo, Simona Orvieto, Fabrizio Rueca, Chiara Villella, Gaia Sollevanti, Camillo Pieramati, Irma Nisi and Giorgia della Rocca
Vet. Sci. 2026, 13(1), 9; https://doi.org/10.3390/vetsci13010009 - 21 Dec 2025
Viewed by 466
Abstract
Equine Gastric Ulcer Syndrome (EGUS) is a worldwide disease described in different categories of animals. A causal relationship between exercise and EGUS has been suggested, attributed to stress as well as physiological changes in the position of abdominal organs, especially during trot and [...] Read more.
Equine Gastric Ulcer Syndrome (EGUS) is a worldwide disease described in different categories of animals. A causal relationship between exercise and EGUS has been suggested, attributed to stress as well as physiological changes in the position of abdominal organs, especially during trot and gallop. EGUS can influence athletic fitness, as has been described in various papers on racehorses. The aim of this work was to determine if gastric ulcer healing is associated with changes in selected fitness parameters (i.e., speed, heart rate during exercise and recovery, stride length and frequency) in 21 trained showjumping horses affected by gastric ulcers. Four animals were excluded for incomplete healing or loss to follow-up. In the remaining seventeen subjects, all healed completely, and fitness parameters were evaluated before and after healing of EGUS during a ridden exercise. The animals were equipped with a fitness tracker validated for use in horses while they performed both flat work and a small obstacle course. Results show that speed and stride length increased after healing, with no concurrent modification in maximal heart rate recorded during exercise and the heart rate recorded during recovery. The increase in speed and stride length is probably related to the disappearance of abdominal discomfort, already described in racehorses after healing of gastric ulcers. Full article
(This article belongs to the Section Veterinary Internal Medicine)
Show Figures

Figure 1

13 pages, 238 KB  
Article
Changes in Lifestyle Behaviors and Cardiovascular Disease Risk Factors Before and After the COVID-19 Pandemic: A Nationally Representative Study from Korea
by Bogja Jeoung and Sunghae Park
Healthcare 2025, 13(24), 3188; https://doi.org/10.3390/healthcare13243188 - 5 Dec 2025
Viewed by 455
Abstract
Background: The COVID-19 pandemic has substantially altered lifestyle behaviors, potentially affecting cardiovascular health. This study examined changes in lifestyle behaviors—specifically physical activity, smoking, and alcohol consumption—and cardiovascular disease (CVD) risk factors before and after the pandemic using nationally representative data from Korea. Methods: [...] Read more.
Background: The COVID-19 pandemic has substantially altered lifestyle behaviors, potentially affecting cardiovascular health. This study examined changes in lifestyle behaviors—specifically physical activity, smoking, and alcohol consumption—and cardiovascular disease (CVD) risk factors before and after the pandemic using nationally representative data from Korea. Methods: Data were obtained from the Korea National Health and Nutrition Examination Survey (KNHANES) from 2016 to 2023. Weighted analyses were conducted to ensure national representativeness. Descriptive and inferential statistics (t-tests, ANOVA, and correlation analyses) were used to compare health behaviors and CVD risk factors between pre-pandemic (2016–2019) and post-pandemic (2020–2023) periods. Results: Adherence to aerobic physical activity declined from 45.5% before the pandemic to 42.1% after the pandemic, and resistance exercise participation also decreased (p < 0.05). Average sedentary time increased from 8.1 ± 3.5 to 8.7 ± 3.4 h/day. Body mass index (BMI) increased from 23.9 ± 3.7 to 24.1 ± 3.5 kg/m2, and triglyceride levels similarly increased (p < 0.05). In contrast, smoking prevalence decreased from 17.2% to 16.5%, and the average number of cigarettes smoked per day declined from 13 to 11–12. Alcohol intake per occasion also decreased significantly after the pandemic (p < 0.05). However, lipid indicators such as total cholesterol and LDL-C tended to be higher in the post-pandemic period, indicating unfavorable changes rather than improvement. Correlation analyses further showed that heavy drinking was associated with higher BMI, glucose, and triglyceride levels, whereas moderate drinking showed more favorable metabolic profiles. Conclusions: The COVID-19 pandemic exerted mixed effects on lifestyle behaviors and cardiovascular risk factors among Korean adults. While reductions in physical activity and increases in sedentary time may elevate long-term health risks, concurrent decreases in smoking and alcohol intake could have mitigated some negative outcomes. Nevertheless, adverse changes in lipid profiles—including increases in LDL-C, total cholesterol, and triglycerides—suggest that metabolic health worsened overall after the pandemic. These findings underscore the urgent need for tailored public health strategies to promote balanced lifestyle behaviors and mitigate cardiovascular risks in the post-pandemic era. Full article
28 pages, 934 KB  
Article
Family-Based Tag Rugby: Acute Effects on Risk Factors for Cardiometabolic Disease and Cognition and Factors Affecting Family Enjoyment and Feasibility
by Scarlett M. Fountain, Grace W. M. Walters, Ryan A. Williams, Caroline Sunderland, Simon B. Cooper and Karah J. Dring
Healthcare 2025, 13(24), 3186; https://doi.org/10.3390/healthcare13243186 - 5 Dec 2025
Viewed by 270
Abstract
Background/Objectives: Physical inactivity is associated with increased cardiometabolic disease risk and poor cognition in children and their parents. Family-based physical activity offers an opportunity for children and their parents to engage in physical activity concurrently. The present study examined the effect of [...] Read more.
Background/Objectives: Physical inactivity is associated with increased cardiometabolic disease risk and poor cognition in children and their parents. Family-based physical activity offers an opportunity for children and their parents to engage in physical activity concurrently. The present study examined the effect of an acute bout of family-based tag rugby on risk factors for cardiometabolic disease and cognition in families. Additionally, this study qualitatively explored families’ perceptions of enjoyment and factors affecting implementation with considerations for socioeconomic status. Methods: Sixteen families (27 children, 20 parents) participated in an exercise (45 min family-based tag rugby) and resting control trial (45 min seated rest), separated by seven days. Postprandial gylcaemia, insulinaemia, lipaemia and cognitive function were measured following exercise/rest. Families also participated in whole-family focus groups and separate parent and child interviews. Results: In parents, postprandial plasma insulin concentrations were lower on the exercise trial than the rested control trial at 30 min (p = 0.004) and 120 min following the consumption of a standardised lunch (p = 0.011). In children, a significant trial*time interaction for inverse efficiency scores on the Sternberg paradigm (three-item) was exhibited (p = 0.016). In parents, a significant trial*time interaction for inverse efficiency score on the Stroop congruent test was exhibited (trial*time interaction; p = 0.012), whereby inverse efficiency scores improved immediately post-exercise, compared with the rested control trial (p = 0.016). Qualitatively, families from all socioeconomic backgrounds agreed that tag rugby is an inclusive, enjoyable mode of physical activity that families want to participate in together, which can be adapted to overcome the barriers associated with the cost of and access to local facilities. Conclusions: An acute bout of tag rugby improved postprandial insulin concentrations in parents and cognitive function in children and their parents. Tag rugby was deemed an appropriate exercise modality for families from a range of socioeconomic backgrounds. Full article
(This article belongs to the Special Issue Physical Activity Intervention for Non-Communicable Diseases)
Show Figures

Figure 1

19 pages, 4038 KB  
Article
Deriving Motor States and Mobility Metrics from Gamified Augmented Reality Rehabilitation Exercises in People with Parkinson’s Disease
by Pieter F. van Doorn, Edward Nyman, Koen Wishaupt, Marjolein M. van der Krogt and Melvyn Roerdink
Sensors 2025, 25(23), 7172; https://doi.org/10.3390/s25237172 - 24 Nov 2025
Viewed by 652
Abstract
People with Parkinson’s disease (PD) experience mobility impairments that impact daily functioning, yet conventional clinical assessments provide limited insight into real-world mobility. This study evaluated motor-state classification and the concurrent validity of mobility metrics derived from augmented-reality (AR) glasses against a markerless motion [...] Read more.
People with Parkinson’s disease (PD) experience mobility impairments that impact daily functioning, yet conventional clinical assessments provide limited insight into real-world mobility. This study evaluated motor-state classification and the concurrent validity of mobility metrics derived from augmented-reality (AR) glasses against a markerless motion capture system (Theia3D) during gamified AR exercises. Fifteen participants with PD completed five gamified AR exercises measured with both systems. Motor-state segments included straight walking, turning, squatting, and sit-to-stand/stand-to-sit transfers, from which the following mobility metrics were derived: step length, gait speed, cadence, transfer and squat durations, squat depth, turn duration, and peak turn angular velocity. We found excellent between-systems consistency for head position (X, Y, Z) and yaw-angle time series (ICC(c,1) > 0.932). The AR-based motor-state classification showed high accuracy, with F1-scores of 0.947–1.000. Absolute agreement with Theia3D was excellent for all mobility metrics (ICC(A,1) > 0.904), except for cadence during straight walking and peak angular velocity during turns, which were good and moderate (ICC(A,1) = 0.890, ICC(A,1) = 0.477, respectively). These results indicate that motor states and associated mobility metrics can be accurately derived during gamified AR exercises, verified in a controlled laboratory environment in people with mild to moderate PD, a necessary first step towards unobtrusive derivation of mobility metrics during in-clinic and at-home AR neurorehabilitation exercise programs. Full article
Show Figures

Figure 1

21 pages, 1373 KB  
Article
Post-Exercise Nutrition Knowledge and Adherence to Recommendations Among Amateur Endurance Athletes
by Lilla Csanaky, Ágnes Czeglédiné Asztalos, Dorottya Tóth, Éva Polyák and Mária Figler
Nutrients 2025, 17(22), 3629; https://doi.org/10.3390/nu17223629 - 20 Nov 2025
Viewed by 2397
Abstract
Background/Objectives: Optimal post-exercise nutrition is critical for maximizing recovery and subsequent performance. However, athletes often lack knowledge of guidelines, leading to suboptimal practices, particularly inadequate carbohydrate intake for glycogen resynthesis. This study aimed to assess the adherence of Hungarian endurance athletes to [...] Read more.
Background/Objectives: Optimal post-exercise nutrition is critical for maximizing recovery and subsequent performance. However, athletes often lack knowledge of guidelines, leading to suboptimal practices, particularly inadequate carbohydrate intake for glycogen resynthesis. This study aimed to assess the adherence of Hungarian endurance athletes to nutritional recommendations, identifying deficits and guiding the development of effective educational strategies. Methods: A cross-sectional study surveyed 113 amateur Hungarian endurance athletes (mean age 40.04 ± 9.89 years) training ≥ 3 times/week using a self-developed online questionnaire. A ten-item composite measure, the Post-Exercise Nutrition Recommendation Adherence Score (PENRAS, max 10 points), was calculated to assess adherence. Statistical analyses, including ANOVA and regression, were used to explore factors influencing PENRAS and nutritional practices. Results: The overall mean PENRAS was 5.32 ± 1.52, indicating room for improvement. The most pronounced deficit was observed in quantitative knowledge, with only 1.8% of participants correctly identifying the optimal carbohydrate content required for rapid glycogen resynthesis. Concurrently, high protein content (58.4%) was mentioned by a higher percentage than high carbohydrate content (52.2%) as an aspect of post-exercise meal planning. Triathletes had significantly higher PENRAS than runners (6.28 vs. 4.97, p = 0.001). Higher PENRAS was also significantly associated with consultation with a dietitian (p = 0.018). Reliance on professionals positively predicted knowledge, while online sources were a significant negative predictor. Higher PENRAS was associated with better meal planning and earlier post-exercise meal timing. Conclusions: Endurance athletes’ post-exercise nutritional practices are suboptimal. The findings emphasize the need for targeted interventions prioritizing education on carbohydrate intake and redirecting athletes towards evidence-based information to improve adherence and performance outcomes. Full article
(This article belongs to the Special Issue Effects of Exercise and Diet on Health)
Show Figures

Graphical abstract

14 pages, 545 KB  
Study Protocol
Impact of the Pilates Method on Quality of Life and Functional Well-Being in Women with Osteoporosis: Protocol for a Randomized Controlled Trial
by Sara García-Bravo, Cristina García-Bravo, Marta Gil-Manglano, MªPilar Rodríguez-Pérez, Ana Poveda-García and Elisabet Huertas-Hoyas
Healthcare 2025, 13(22), 2950; https://doi.org/10.3390/healthcare13222950 - 17 Nov 2025
Viewed by 1178
Abstract
Introduction: Osteoporosis is a major public health concern among postmenopausal women, characterized by decreased bone mineral density and microarchitectural deterioration, which lead to fragility fractures, pain, functional impairment, sleep disturbances, and a reduced quality of life. Exercise, particularly strength, weight-bearing, and balance training, [...] Read more.
Introduction: Osteoporosis is a major public health concern among postmenopausal women, characterized by decreased bone mineral density and microarchitectural deterioration, which lead to fragility fractures, pain, functional impairment, sleep disturbances, and a reduced quality of life. Exercise, particularly strength, weight-bearing, and balance training, represents a key non-pharmacological approach to prevention and management. Pilates, a low-impact, core-centered method increasingly incorporated into rehabilitation settings, appears especially suitable for women with osteoporosis. However, high-quality randomized controlled trials concurrently evaluating its effects on pain, balance, sleep, autonomy, and health-related quality of life remain scarce. Objective: To examine the efficacy and feasibility of a Pilates-based exercise program in improving pain, balance, sleep quality, functional autonomy, and quality of life in postmenopausal women with osteoporosis. Methods: A single-blind, parallel-group, randomized controlled trial will be conducted over 12 weeks at Physiocare Madrid (Spain). A total of 126 (63 per group) postmenopausal women aged 50–80 years, diagnosed with osteoporosis by densitometry or with a prior fragility fracture, will be randomly assigned (1:1; OxMaR software, version 2014) to one of two groups: (a) Experimental group: supervised Pilates mat sessions, 60 min, twice weekly for 12 weeks; or (b) Control group: ergonomics education for activities of daily living, two 60 min sessions held six weeks apart. Outcome assessors will remain blinded to group allocation. Evaluations will be conducted at baseline and post-intervention. Outcome measures will include balance and mobility (Timed Up and Go Test; Functional Reach Test), functional autonomy (Functional Independence Measure), pain intensity (Visual Analog Scale), sleep quality (Pittsburgh Sleep Quality Index), health-related quality of life (WHOQOL-BREF; QUALEFFO-41), and treatment satisfaction (CSQ-8). Feasibility parameters (recruitment, adherence, retention, and safety) will also be monitored. Data will be pseudonymized and analyzed descriptively to estimate variability and preliminary effects, informing the design of a definitive trial. Expected Results: It is hypothesized that Pilates will produce clinically meaningful improvements in balance, pain, sleep quality, and health-related quality of life compared with ergonomics education, with acceptable feasibility and safety outcomes. Conclusions: This randomized controlled trial will provide initial evidence regarding the efficacy and feasibility of Pilates as a complementary rehabilitation strategy for women with osteoporosis and provide key parameters to optimizing a future adequately powered trial. Ethics and Dissemination: This study will be conducted in accordance with the principles of the Declaration of Helsinki and has been approved by the Human Ethics Committee of Universidad Rey Juan Carlos. Potential risks will be minimized, and any adverse events will be systematically recorded and addressed. Full article
(This article belongs to the Special Issue Dysfunctions or Approaches of the Musculoskeletal System)
Show Figures

Figure 1

21 pages, 1139 KB  
Review
Effects of Exercise on Cardiovascular and Metabolic Responses in Adults and Childhood Cancer Survivors: The Role of NETosis and Low-Grade Inflammation as a Novel Therapeutic Target—A Narrative Review
by Rodrigo L. Castillo, Esteban G. Figueroa, Alejandro González-Candia, Andrea del Campo, Claudia Paris, Fernando Verdugo, Morin Lang, Carlos Cruz-Montecinos, Mauricio Quezada, Robert A. Pérez, Martín Armijo, Patricio Acevedo and Rodrigo Carrasco
Int. J. Mol. Sci. 2025, 26(22), 10843; https://doi.org/10.3390/ijms262210843 - 8 Nov 2025
Viewed by 1085
Abstract
Cancer survivors (CS) constitute an expanding population with underrecognized cardiometabolic risk. Despite substantial improvements in five-year survival rates, both childhood and adult survivors remain at high risk for premature morbidity and mortality. These risks are particularly pronounced following exposure to anthracyclines and/or chest [...] Read more.
Cancer survivors (CS) constitute an expanding population with underrecognized cardiometabolic risk. Despite substantial improvements in five-year survival rates, both childhood and adult survivors remain at high risk for premature morbidity and mortality. These risks are particularly pronounced following exposure to anthracyclines and/or chest radiotherapy, typically in a dose-dependent manner. In Chile, the establishment of the National Pediatric Antineoplastic Drug Program (PINDA) in 1998 marked a milestone in improving equitable access to high-quality pediatric oncology care through evidence-based treatment protocols across the public health system; the adult counterpart (PANDA) has developed diagnostic, treatment, and monitoring protocols for hematological neoplasms. Few prospective cohort or mechanistic studies have clarified risk stratification or surveillance strategies in survivor populations. The regulated, short-term activation of inflammation and innate immunity can be an adaptive and protective response to tissue injury, whereas persistent low-grade inflammation may trigger neutrophil extracellular traps formation (NETosis) and other maladaptive pathways that accelerate endothelial injury, thrombosis, and adverse cardiovascular remodeling. NETosis represents a putative immunomodulatory target for therapeutic immunomodulation in heart failure and maladaptive left ventricular remodeling in preclinical models. Concurrently, skeletal muscle-derived and hormonal mediators known as exerkines—together with increased NET activity—may modulate the pathophysiology of chronic cardiometabolic disease and contribute to cancer progression, particularly in the context of obesity, diabetes, and insulin resistance. Structured exercise is a promising non-pharmacological intervention that modulates inflammatory and metabolic pathways and may thereby help prevent non-communicable diseases, including cancer. We synthesize basic and clinical evidence to (1) define how cancer therapies promote low-grade inflammation and NETosis; (2) describe how exerkines and structured exercise influence cardiometabolic biology; and (3) evaluate exercise as a mechanistic and clinically pragmatic strategy to reduce long-term CVD risk in pediatric and adult CS. Full article
(This article belongs to the Special Issue State-of-the-Art Molecular Immunology in Chile, 2nd Edition)
Show Figures

Figure 1

14 pages, 1612 KB  
Article
The Short-Term Effects of an Exercise Protocol Incorporating Blood Flow Restriction and Body Cooling in Healthy Young Adults
by Andrew J. Stanwicks, Patrick C. Pang, Hannah C. Allgood, Yuho Kim and Yi-Ning Wu
Methods Protoc. 2025, 8(6), 135; https://doi.org/10.3390/mps8060135 - 5 Nov 2025
Viewed by 855
Abstract
Blood flow restriction (BFR) and body cooling (BC) have been investigated separately during exercise, but little is known about their concurrent use. This study examined acute metabolic responses, respiratory physiology, and rate of perceived exertion (RPE) during interval training (IT) performed with combined [...] Read more.
Blood flow restriction (BFR) and body cooling (BC) have been investigated separately during exercise, but little is known about their concurrent use. This study examined acute metabolic responses, respiratory physiology, and rate of perceived exertion (RPE) during interval training (IT) performed with combined BFR and BC (VASPER ON) compared with IT without BFR and BC (VASPER OFF). It was hypothesized that VASPER ON would elicit greater physiological demands. A total of 7 female and 19 male participants (20.2 ± 2.4 years) completed a 21-min IT exercise. In VASPER ON, the participants wore cuffs that simultaneously applied BFR and BC. Total oxygen consumption (TVO2), total carbon dioxide production (TVCO2), total breaths (BRTH), and total ventilation (TVE) were measured during exercise (EX) and for 10 min post-exercise (Post-EX). RPE was recorded during EX. During EX, TVE and ventilatory equivalents for both oxygen and carbon were significantly higher in VASPER ON. Post-EX, all variables remained significantly elevated in VASPER ON except for the ventilatory equivalent for carbon dioxide. Sprint interval RPE was significantly lower in VASPER OFF. These findings suggest that concurrent BFR and BC increase post-exercise metabolic and ventilatory demands without attenuating each other’s effect. Full article
Show Figures

Figure 1

15 pages, 747 KB  
Article
Blood Flow Restriction Training Improves Cardiac Structure and Diastolic Function in Runners with Exercise-Induced Hypertension
by Young-Joo Kim, Jong-Young Lee, Choung-Hwa Park and Han-Soo Park
J. Clin. Med. 2025, 14(21), 7795; https://doi.org/10.3390/jcm14217795 - 3 Nov 2025
Viewed by 1230
Abstract
Background/Objectives: Exercise-induced hypertension (EIH) in runners predisposes them to cardiovascular diseases, including myocardial hypertrophy, arrhythmias, and coronary artery disease. Blood flow restriction (BFR) training has been reported to exert non-pharmacological benefits in runners with EIH by improving blood pressure, myocardial workload, and [...] Read more.
Background/Objectives: Exercise-induced hypertension (EIH) in runners predisposes them to cardiovascular diseases, including myocardial hypertrophy, arrhythmias, and coronary artery disease. Blood flow restriction (BFR) training has been reported to exert non-pharmacological benefits in runners with EIH by improving blood pressure, myocardial workload, and cardiorespiratory fitness. The purpose of this study was to investigate whether changes in myocardial structure and function accompany these effects of BFR training in middle-aged runners with EIH. Methods: Participants who exhibited a maximal systolic blood pressure of ≥210 mmHg during an exercise stress test were assigned either to a BFR training group (BFRTg, n = 15) or to a control group without BFR training (non-BFRTg, n = 14). The BFRTg underwent a two-month BFR training program, performed twice per week for 20 min per session. Cardiac structure and function were evaluated before and after the intervention, and exercise stress test data were obtained from secondary sources of a previous study. Results: Compared with controls, the BFR group showed lower maximal exercise SBP, longer exercise duration, and higher VO2max. Echocardiography revealed reduced interventricular septal thickness and improved diastolic indices (higher E′/A′, lower E/E′), while systolic function remained unchanged. Conclusions: In conclusion, reductions in septal thickness and improvements in diastolic function induced by blood flow restriction training in runners with exercise-induced hypertension suggest a favorable cardiac adaptation, accompanied by concurrent improvements in exercise blood pressure and cardiorespiratory fitness. Full article
(This article belongs to the Special Issue Advances in Clinical Exercise for Health)
Show Figures

Figure 1

43 pages, 2935 KB  
Review
Sleep and Athletic Performance: A Multidimensional Review of Physiological and Molecular Mechanisms
by Franciszek Kaczmarek, Joanna Bartkowiak-Wieczorek, Monika Matecka, Karolina Jenczylik, Kinga Brzezińska, Paulina Gajniak, Sonia Marchwiak, Katarzyna Kaczmarek, Michał Nowak, Michał Kmiecik, Joanna Stężycka, Kamil Krzysztof Krupa and Edyta Mądry
J. Clin. Med. 2025, 14(21), 7606; https://doi.org/10.3390/jcm14217606 - 27 Oct 2025
Cited by 1 | Viewed by 10077
Abstract
Sleep is a fundamental biological process in athletes, indispensable for tissue regeneration, exercise adaptation, and injury prevention. Disruptions in sleep architecture and duration have been consistently associated with diminished physical performance and adverse health outcomes, impairing muscular strength, power output, and endurance capacity, [...] Read more.
Sleep is a fundamental biological process in athletes, indispensable for tissue regeneration, exercise adaptation, and injury prevention. Disruptions in sleep architecture and duration have been consistently associated with diminished physical performance and adverse health outcomes, impairing muscular strength, power output, and endurance capacity, and concurrently compromising cognitive function. On a physiological level, insufficient sleep disrupts endocrine homeostasis, elevating cortisol levels and reducing anabolic hormones such as testosterone and growth hormone. At the molecular level, sleep loss promotes the upregulation of pro-apoptotic gene expression and exacerbates pro-inflammatory signalling pathways. Optimal sleep duration and quality represent a critical “regenerative window”, essential for enhancing athletic performance and safeguarding physiological resilience. Ensuring adequate sleep among athletes can be effectively achieved through educational, behavioural, and nutritional interventions outlined in this review. Full article
(This article belongs to the Special Issue Sleep Disorders: Current Research and Future Directions)
Show Figures

Figure 1

Back to TopTop