Sign in to use this feature.

Years

Between: -

Subjects

remove_circle_outline
remove_circle_outline
remove_circle_outline
remove_circle_outline
remove_circle_outline
remove_circle_outline
remove_circle_outline
remove_circle_outline
remove_circle_outline

Journals

remove_circle_outline
remove_circle_outline
remove_circle_outline
remove_circle_outline
remove_circle_outline
remove_circle_outline
remove_circle_outline
remove_circle_outline
remove_circle_outline
remove_circle_outline
remove_circle_outline
remove_circle_outline
remove_circle_outline

Article Types

Countries / Regions

remove_circle_outline
remove_circle_outline
remove_circle_outline
remove_circle_outline
remove_circle_outline

Search Results (637)

Search Parameters:
Keywords = complementary index

Order results
Result details
Results per page
Select all
Export citation of selected articles as:
14 pages, 2856 KB  
Article
Body Mass Index and Spinopelvic Alignment as Predictors of Incident Knee Osteoarthritis: An 8-Year Longitudinal Study from the TOEI Cohort of Older Japanese Women
by Yuki Murakami, Mitsuru Hanada, Kazuki Nomoto, Kensuke Hotta, Yuki Yamagishi and Yukihiro Matsuyama
J. Clin. Med. 2025, 14(20), 7343; https://doi.org/10.3390/jcm14207343 - 17 Oct 2025
Abstract
Background/Objectives: Knee osteoarthritis (KOA) is multifactorial, and longitudinal evidence isolating early predictors remains limited. We investigated predictors of incident KOA in community-dwelling older adult Japanese women. Methods: We analyzed 191 knees from 105 women aged ≥50 years (baseline Kellgren–Lawrence (KL) grade [...] Read more.
Background/Objectives: Knee osteoarthritis (KOA) is multifactorial, and longitudinal evidence isolating early predictors remains limited. We investigated predictors of incident KOA in community-dwelling older adult Japanese women. Methods: We analyzed 191 knees from 105 women aged ≥50 years (baseline Kellgren–Lawrence (KL) grade 0–1) and followed them for 8 years. Incident KOA was defined as KL ≥ 2 at the 8-year follow-up. Baseline measures included body mass index (BMI), physical function (one-leg stance, functional reach), Geriatric Locomotive Function Scale (GLFS-25), EuroQol 5-Dimension (EQ-5D) questionnaire, standing lateral whole-spine radiographs (sagittal spinopelvic parameters), and standing full-length anteroposterior (AP) lower-limb radiographs (coronal alignment parameters). Incident KOA was defined as KL ≥ 2 at follow-up. Group comparisons, multivariable logistic regression, and receiver operating characteristic analyses were conducted. Results: Incident KOA occurred in 58/191 knees (mean participant age 69.3 ± 6.1 years). Compared with non-incident knees, incident knees had higher BMI (23.8 vs. 21.1 kg/m2), higher GLFS-25, greater pelvic tilt and pelvic incidence minus lumbar lordosis (PI–LL) mismatch (11.5° vs. 5.3°), and lower EQ-5D, medial proximal tibial angle, and joint line obliquity. BMI was the strongest single predictor (area under the curve [AUC] 0.753). PI–LL mismatch showed limited standalone discrimination (AUC 0.596) but improved discrimination when combined with BMI (AUC 0.803). Conclusions: BMI was the primary predictor of incident KOA in this cohort. PI–LL mismatch, while not strongly discriminative alone, acted as a complementary marker consistent with sagittal-alignment-related mechanical stress. Results suggest that early screening and prevention should prioritize weight management, using spinopelvic parameters to refine risk stratification. Full article
(This article belongs to the Section Orthopedics)
Show Figures

Figure 1

20 pages, 1507 KB  
Article
Outlier-Robust Convergence of Integer- and Fractional-Order Difference Operators in Fuzzy-Paranormed Spaces: Diagnostics and Engineering Applications
by Muhammed Recai Türkmen
Fractal Fract. 2025, 9(10), 667; https://doi.org/10.3390/fractalfract9100667 - 16 Oct 2025
Abstract
We develop a convergence framework for Grünwald–Letnikov (GL) fractional and classical integer difference operators acting on sequences in fuzzy-paranormed (fp) spaces, motivated by data that are imprecise and contain sporadic outliers. Fuzzy paranorms provide a resolution-dependent notion of proximity, while statistical and lacunary [...] Read more.
We develop a convergence framework for Grünwald–Letnikov (GL) fractional and classical integer difference operators acting on sequences in fuzzy-paranormed (fp) spaces, motivated by data that are imprecise and contain sporadic outliers. Fuzzy paranorms provide a resolution-dependent notion of proximity, while statistical and lacunary statistical convergence downweight sparse deviations by natural density; together, they yield robust criteria for difference-filtered signals. Within this setting, we establish uniqueness of fp–Δm statistical limits; an equivalence between fp-statistical convergence of Δm (and its GL extension Δα) and fp-strong p-Cesàro summability; an equivalence between lacunary fp-Δm statistical convergence and blockwise strong p-Cesàro summability; and a density-based decomposition into a classically convergent part plus an fp-null remainder. We also show that GL binomial weights act as an 1 convolution, ensuring continuity of Δα in the fp topology, and that nabla/delta forms are transferred by the discrete Q–operator. The usefulness of the criteria is illustrated on simple engineering-style examples (e.g., relaxation with memory, damped oscillations with bursts), where the fp-Cesàro decay of difference residuals serves as a practical diagnostic for Cesàro compliance. Beyond illustrative mathematics, we report engineering-style diagnostics where the fuzzy Cesàro residual index correlates with measurable quantities (e.g., vibration amplitude and energy surrogates) under impulsive disturbances and missing data. We also calibrate a global decision threshold τglob via sensitivity analysis across (α,p,m), where mN is the integer difference order, α>0 is the fractional order, and p1 is the Cesàro exponent, and provide quantitative baselines (median/M-estimators, 1 trend filtering, Gaussian Kalman filtering, and an α-stable filtering structure) to show complementary gains under bursty regimes. The results are stated for integer m and lifted to fractional orders α>0 through the same binomial structure and duality. Full article
(This article belongs to the Section Engineering)
26 pages, 3835 KB  
Article
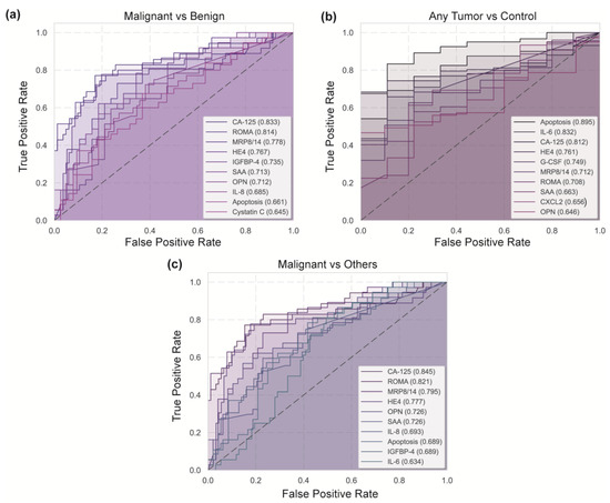
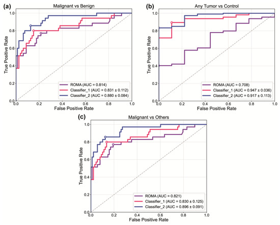
Utility of a Multimodal Biomarker Panel and Serum Proapoptotic Activity to Refine Diagnosis of Ovarian Adnexal Masses
by Andrea Molina-Pineda, Francisco Osiel Jauregui-Salazar, Aleyda Guadalupe Zamudio-Martínez, Sayma Vizcarra-Ramos, Jesús García-Gómez, Benjamín González-Amézquita, Lizeth Montserrat Aguilar-Vazquez, Raquel Villegas-Pacheco, Rodolfo Hernandez-Gutierrez, Luis Felipe Jave-Suárez and Adriana Aguilar-Lemarroy
Diseases 2025, 13(10), 342; https://doi.org/10.3390/diseases13100342 - 16 Oct 2025
Abstract
Background/Objectives: Ovarian adnexal masses present diagnostic challenges due to their heterogeneous etiologies. Accurately differentiating these conditions is critical for timely and effective clinical intervention. This study evaluated circulating molecules and serum-induced apoptosis as complementary tools to conventional diagnostic methods (CA125, HE4, and the [...] Read more.
Background/Objectives: Ovarian adnexal masses present diagnostic challenges due to their heterogeneous etiologies. Accurately differentiating these conditions is critical for timely and effective clinical intervention. This study evaluated circulating molecules and serum-induced apoptosis as complementary tools to conventional diagnostic methods (CA125, HE4, and the ROMA index) for distinguishing benign masses from malignant masses. Methods: A cohort of 136 participants (9 healthy controls, 87 women with benign ovarian adnexal masses and 40 with malignant ovarian adnexal masses) was analyzed. The induction of apoptosis in Jurkat cells by patient serum was assessed using flow cytometry. Serum concentrations of sFas/CD95, HE4, CA125, and additional molecules were measured by ELISA and LEGENDplex™. Clinical, ultrasonographic, and histopathological data were correlated with tumor malignancy. To improve diagnostic performance beyond individual biomarkers, we developed two multiparametric classifiers that integrate the dominant parameters identified through group divergence analysis and ROC evaluation across multiple clinical comparisons. Results: Malignant tumors were associated with older age (51.45 ± 8.35 years, p = 0.0002), postmenopausal status (61.1%, p = 0.0013), and larger tumor size (>10 cm). Ultrasonographic features of complexity were observed exclusively in malignant masses. Functional assays revealed reduced apoptosis in Jurkat cells exposed to malignant sera, suggesting tumor-mediated immune evasion. Although higher sFas levels were observed in tumors, no significant differences were identified between the groups. Among the circulating biomarkers, CA125, HE4, MRP8/14, OPN, and SAA levels were significantly higher in malignant tumors than in benign tumors and controls. Conclusions: The evaluation of CA125, HE4, MRP8/14, and apoptosis (Classifier 1) and, more prominently, the measurement of additional molecules: OPN, SAA, IL-6, IL-8, and IGFBP-4 (Classifier 2), systematically outperformed the ROMA. Both achieved superior specificity and balanced accuracy (Youden’s J index) across all clinical comparisons by capturing the biological diversity of malignancies. Full article
(This article belongs to the Section Oncology)
Show Figures

Figure 1

17 pages, 3282 KB  
Article
Comparing Spatial Analysis Methods for Habitat Selection: GPS Telemetry Reveals Methodological Bias in Raccoon Dog (Nyctereutes procyonoides) Ecology
by Sumin Jeon, Soo Kyeong Hwang, Yeon Woo Lee, Jihye Son, Hyeok Jae Lee, Chae Won Yoon, Ju Yeong Lee, Dong Kyun Yoo, Ok-Sik Chung and Jong Koo Lee
Forests 2025, 16(10), 1588; https://doi.org/10.3390/f16101588 - 16 Oct 2025
Abstract
Recent issues that have emerged in regard to raccoon dog (Nyctereutes procyonoides) include interaction with humans and disease transmission. Therefore, understanding their habitat characteristics and preferences is crucial in the effort to limit conflicts with humans. A total of thirteen raccoon [...] Read more.
Recent issues that have emerged in regard to raccoon dog (Nyctereutes procyonoides) include interaction with humans and disease transmission. Therefore, understanding their habitat characteristics and preferences is crucial in the effort to limit conflicts with humans. A total of thirteen raccoon dogs were captured from three regions in South Korea, each with distinct habitat characteristics. GPS trackers were attached for tracking the raccoon dogs’ movements. Utilizing GPS tracking data, Kernel Density Estimation (KDE), Minimum Convex Polygon (MCP), and Jacobs Index were applied to learn more about the habitat preferences of the raccoon dogs. According to the results, the habitat composition ratios for KDE and MCP showed that forests had the largest proportion. However, a habitat composition ratio similar to the land proportion of the area that they inhabit indicated that raccoon dogs had the ability to adapt to various habitats. Jacobs Index analysis revealed different habitat selection patterns compared to KDE and MCP, with forests showing neutral to negative selection despite comprising large proportions of home ranges. Our results highlight important methodological considerations when inferring habitat preferences from spatial data, suggesting that multiple analytical approaches provide complementary insights into animal space use. Full article
(This article belongs to the Section Forest Biodiversity)
Show Figures

Figure 1

35 pages, 2174 KB  
Article
Determinants of the Shadow Economy—Implications for Fiscal Sustainability and Sustainable Development in the EU
by Grzegorz Przekota, Anna Kowal-Pawul and Anna Szczepańska-Przekota
Sustainability 2025, 17(20), 9033; https://doi.org/10.3390/su17209033 - 12 Oct 2025
Viewed by 261
Abstract
The shadow economy weakens fiscal sustainability, hampers the financing of public goods, and impedes the achievement of sustainable development goals. The informal sector remains a persistent challenge for policymakers, as it distorts competition, reduces transparency, and undermines the effectiveness of economic and fiscal [...] Read more.
The shadow economy weakens fiscal sustainability, hampers the financing of public goods, and impedes the achievement of sustainable development goals. The informal sector remains a persistent challenge for policymakers, as it distorts competition, reduces transparency, and undermines the effectiveness of economic and fiscal policies. The aim of this article is to identify the key factors determining the size of the shadow economy in European Union countries and to provide policy-relevant insights. The analysis covers data on the share of the informal economy in GDP and macroeconomic variables such as GDP per capita, consumer price index, average wages, household consumption, government expenditure, and unemployment, as well as indicators of digital development in society and the economy (DESI, IDT), the share of cashless transactions in GDP, and information on the implementation of digital tax administration tools and restrictions on cash payments. Five hypotheses (H1–H5) are formulated concerning the effects of income growth, labour market conditions, digitalisation, cashless payments, and tax administration tools on the shadow economy. The research question addresses which factors—macroeconomic conditions, economic and social digitalisation, payment structures, and fiscal innovations in tax administration—play the most significant role in determining the size of the shadow economy in EU countries and whether these mechanisms have broader implications for fiscal sustainability and sustainable development. The empirical strategy is based on multilevel models with countries as clusters, complemented by correlation and comparative analyses. The results indicate that the most significant factor in limiting the size of the shadow economy is the level of GDP per capita and its growth, whereas the impact of card payments appears to be superficial, reflecting overall increases in wealth. Higher wages, household consumption, and digital development as measured by the DESI also play an important role. The implementation of digital solutions in tax administration, such as SAF-T or e-PIT/pre-filled forms, along with restrictions on cash transactions, can serve as complementary measures. The findings suggest that sustainable strategies to reduce the shadow economy should combine long-term economic growth with digitalisation and improved tax administration, which may additionally foster the harmonisation of economic systems and support sustainable development. Full article
(This article belongs to the Section Economic and Business Aspects of Sustainability)
Show Figures

Figure 1

15 pages, 501 KB  
Article
Predictors of Fasting Endogenous Erythritol and Erythronate Concentrations in Humans: Cross-Sectional and Post-Bariatric Surgery Analyses
by Emilie Flad, Anita Altstädt, Jürgen Drewe, Stefan Gaugler, Christoph Beglinger, Ralph Peterli, Bettina K. Wölnerhanssen and Anne Christin Meyer-Gerspach
Int. J. Mol. Sci. 2025, 26(19), 9763; https://doi.org/10.3390/ijms26199763 - 7 Oct 2025
Viewed by 314
Abstract
The sugar alcohol erythritol occurs naturally in fruits and fermented foods, is used as a sweetener, and is also endogenously synthesized via the pentose-phosphate pathway and metabolized into erythronate. Untargeted metabolomic studies have associated elevated plasma erythritol and erythronate concentrations with metabolic disorders, [...] Read more.
The sugar alcohol erythritol occurs naturally in fruits and fermented foods, is used as a sweetener, and is also endogenously synthesized via the pentose-phosphate pathway and metabolized into erythronate. Untargeted metabolomic studies have associated elevated plasma erythritol and erythronate concentrations with metabolic disorders, while weight loss has been linked to decreased plasma erythritol concentrations. In this trial, two complementary analyses were performed to identify predictors of fasting erythritol and erythronate concentrations across different populations and to assess changes in these metabolites following bariatric surgery-induced weight loss. Fasting plasma samples from 30 lean adolescents, 50 lean adults, and 138 adults with obesity (including 15 who had undergone bariatric surgery) were analyzed to measure erythritol, erythronate, glucose, and insulin concentrations. Across all populations, age but not body mass index (BMI), glucose, or insulin, was a significant predictor of fasting erythritol concentrations. Fasting erythronate concentrations were associated with both age and BMI. Post-surgery, change in BMI but not fasting glucose or insulin was a predictor of changes in fasting erythritol concentrations, while time was the only predictor of changes in fasting erythronate concentrations. Although the metabolic processes regulating the endogenous erythritol and erythronate production remain unclear, our findings suggest that age-related physiological changes may influence fasting concentrations of both erythritol and erythronate. Full article
(This article belongs to the Section Molecular Pathology, Diagnostics, and Therapeutics)
Show Figures

Figure 1

15 pages, 9299 KB  
Article
Comparative Chemical and Physical Characterization of Biomimetic Versus Commercial Hydroxyapatites for Tooth Enamel Repair
by Marco Lelli, Ismaela Foltran, Rossella Pucci and Fabrizio Tarterini
Biomimetics 2025, 10(10), 672; https://doi.org/10.3390/biomimetics10100672 - 6 Oct 2025
Viewed by 295
Abstract
Background: Substituted hydroxyapatites (HAps) are widely used in oral-care formulations for enamel repair; however, head-to-head comparisons among commercial grades remain limited. Objective: To compare four commercial HAps: A (Kal-HAp), B (FL-HAp), C (FL-HAp-SC), and D (microRepair®, a biomimetic Zn–carbonate-substituted [...] Read more.
Background: Substituted hydroxyapatites (HAps) are widely used in oral-care formulations for enamel repair; however, head-to-head comparisons among commercial grades remain limited. Objective: To compare four commercial HAps: A (Kal-HAp), B (FL-HAp), C (FL-HAp-SC), and D (microRepair®, a biomimetic Zn–carbonate-substituted HAp) and to evaluate their ability to form an enamel-like coating in vitro. Methods: We characterized the powders by X-ray diffraction (crystalline phase, Landi crystallinity index), FTIR-ATR (phosphate/carbonate bands), SEM/EDS (morphology, surface Ca/P), and DLS (particles size, ζ-potential). In vitro, human enamel sections were treated with 5% slurries in artificial saliva; surface coverage was quantified by image analysis on SEM. Results: All commercial materials analyzed in this work were composed of HAp. Differences were observed between HApin terms of crystallinity-range [2 Theta 8.0–60.0°], carbonate substitution (ATR [carbonate group evaluated −870 cm−1]), and particle size (DLS [in a range 0.1–10,000 nm], Z-mean [mV]). On enamel, all samples form a hydroxyapatite layer; coverage differed between groups ([A] 28.83 ± 7.35% vs. [B] 31.11 ± 3.12% vs. [C] 57.20 ± 33.12% vs. [D] 99.90 ± 0.12%), with the biomimetic Zn–carbonate-substituted HAp showing the highest coverage, and the post-treatment Ca/P ratio approached values similar to those of dental enamel. Conclusions: Complementary physic-chemical signatures (crystallinity, carbonate substitution, and morphology) relate to enamel-surface coverage in vitro, providing evidence base for selecting HAp grades for enamel-repair formulations, which is a practical implication for product design. Full article
(This article belongs to the Special Issue Advances in Biomaterials, Biocomposites and Biopolymers 2025)
Show Figures

Graphical abstract

19 pages, 1508 KB  
Article
The Digitalization–Performance Nexus in the European Union: A Country-Level Analysis of Heterogeneity and Complementarities
by Dragos Paun, Ciprian Adrian Paun and Nicolae Paun
J. Theor. Appl. Electron. Commer. Res. 2025, 20(4), 274; https://doi.org/10.3390/jtaer20040274 - 4 Oct 2025
Viewed by 406
Abstract
This study investigates the multifaceted impact of digitalization on economic performance across the 27 European Union member states from 2017 to 2023. Using a comprehensive panel dataset, the analysis moves beyond aggregate metrics to dissect how specific digital levers contribute to trade performance [...] Read more.
This study investigates the multifaceted impact of digitalization on economic performance across the 27 European Union member states from 2017 to 2023. Using a comprehensive panel dataset, the analysis moves beyond aggregate metrics to dissect how specific digital levers contribute to trade performance and national income. A two-way fixed effects (FEs) regression model is employed to rigorously control for unobserved country-specific heterogeneity and common time-based shocks, with diagnostic tests confirming the suitability of this specification. The results reveal a complex and often counter-intuitive set of relationships. One key finding is a statistically significant negative association between the EU’s headline Digital Economy and Society Index (DESI) and goods exports, a paradox that emerges in the model once specific business-level digital tools are accounted for. This suggests that composite indices can be misleading for granular policy analysis. The marginal benefit of cloud adoption diminishes significantly in countries with higher levels of public investment in Research and Development (R&D), indicating a substitution rather than a complementary relationship between these two innovation channels. Full article
Show Figures

Figure 1

21 pages, 3716 KB  
Article
A Synergistic Approach with Doxycycline and Spirulina Extracts in DNBS-Induced Colitis: Enhancing Remission and Controlling Relapse
by Meriem Aziez, Mohamed Malik Mahdjoub, Tahar Benayad, Ferroudja Abbas, Sarah Hamid, Hamza Moussa, Ibrahima Mamadou Sall, Hichem Tahraoui, Abdeltif Amrane and Noureddine Bribi
J. Xenobiot. 2025, 15(5), 160; https://doi.org/10.3390/jox15050160 - 3 Oct 2025
Viewed by 407
Abstract
Background: Chronic relapsing colitis involves immune dysregulation and oxidative stress, making monotherapies often insufficient. This study investigates a therapeutic strategy combining doxycycline (Dox), an immunomodulatory antibiotic, with Arthrospira platensis extracts to enhance anti-inflammatory and antioxidant effects, improving remission and controlling relapse. Methods: Ethanolic [...] Read more.
Background: Chronic relapsing colitis involves immune dysregulation and oxidative stress, making monotherapies often insufficient. This study investigates a therapeutic strategy combining doxycycline (Dox), an immunomodulatory antibiotic, with Arthrospira platensis extracts to enhance anti-inflammatory and antioxidant effects, improving remission and controlling relapse. Methods: Ethanolic (ES) and aqueous (AS) extracts of A. platensis were chemically characterized by GC-MS after derivatization. Colitis was induced in mice using two intrarectal DNBS administrations spaced 7 days apart, with oral treatments (Dox, ES, AS, or combinations) given daily between doses. Disease progression was evaluated through clinical monitoring, histological scoring, and biochemical analysis, including MPO and CAT activities, as well as NO, MDA, and GSH levels. Results: GC-MS identified 16 bioactive compounds in each extract. ES contained mainly fatty acids and amino acids, whereas AS was rich in polysaccharides and phytol. Combined doxycycline and A. platensis extracts significantly enhanced recovery in reactivated DNBS colitis compared to monotherapies. Each treatment alone reduced disease severity, but their combination showed synergistic effects, significantly reducing disease activity index (p < 0.001), restoring mucosal integrity, and modulating inflammatory and oxidative markers (p < 0.001). Conclusion: Doxycycline potentiates the anti-colitic effects of A. platensis extracts via complementary mechanisms, offering a promising combination for managing relapsing colitis. Full article
Show Figures

Graphical abstract

16 pages, 1621 KB  
Article
Combined Repeated-Dose Toxicity Study with the Reproduction/Developmental Toxicity Screening Test of Calcium Nitrate Tetrahydrate in Sprague Dawley Rats
by Ji-Woo Eom, Han-il Kang, Jae-Hyun Lee, Si-Hwan Song, Jeong-hyun Hong, Seungjin Bae, Chun-Ja Nam and Kyung-Min Lim
Toxics 2025, 13(10), 835; https://doi.org/10.3390/toxics13100835 - 30 Sep 2025
Viewed by 476
Abstract
Calcium nitrate tetrahydrate, used in fertilizers, wastewater treatment, and concrete admixtures, has limited toxicity data despite extensive industrial use. This study evaluated its repeated-dose and reproductive/developmental toxicity in Sprague Dawley rats following OECD TG 422, which combines TG 407 and 421 to extend [...] Read more.
Calcium nitrate tetrahydrate, used in fertilizers, wastewater treatment, and concrete admixtures, has limited toxicity data despite extensive industrial use. This study evaluated its repeated-dose and reproductive/developmental toxicity in Sprague Dawley rats following OECD TG 422, which combines TG 407 and 421 to extend dosing than TG 407 and reduce animal use compared with separate studies. Rats were administered 0, 100, 300, or 1000 mg/kg/day. Males were treated for 49 days and females from 2 weeks pre-mating to postpartum day 13; the recovery group was observed for an additional 2 weeks. Endpoints included clinical signs, body weight, food consumption, hematology, serum biochemistry, organ weights, histopathology, reproductive performance, and F1 development. No systemic toxicity was observed in F0 males. Minimal prostate atrophy occurred in high-dose males but was considered non-adverse due to limited severity. One high-dose female died on PPD 1, and high-dose F1 litters showed decreased litter size, increased post-implantation loss, and a reduced live-born index. Based on these results, NOAELs were cautiously assigned 1000 mg/kg/day for repeated-dose and male reproductive toxicity and 300 mg/kg/day for female reproductive and developmental toxicity. TG 422 efficiently characterized hazards while reducing animal use, though its limited duration and scope indicate the need for complementary studies. Full article
(This article belongs to the Special Issue Reproductive and Developmental Toxicity of Environmental Factors)
Show Figures

Graphical abstract

20 pages, 1836 KB  
Review
Cardiopulmonary Exercise Testing in the Prognostic Assessment of Heart Failure: From a Standardized Approach to Tailored Therapeutic Strategies
by Fiorella Puttini, Beatrice Pezzuto and Carlo Vignati
Medicina 2025, 61(10), 1770; https://doi.org/10.3390/medicina61101770 - 30 Sep 2025
Viewed by 499
Abstract
Cardiopulmonary Exercise Testing (CPET) is the gold standard for the functional assessment in patients with heart failure (HF), providing objective parameters that reflect the integrated response of the cardiovascular, respiratory, and muscular systems, in addition several CPET-derived variables have shown independent prognostic value [...] Read more.
Cardiopulmonary Exercise Testing (CPET) is the gold standard for the functional assessment in patients with heart failure (HF), providing objective parameters that reflect the integrated response of the cardiovascular, respiratory, and muscular systems, in addition several CPET-derived variables have shown independent prognostic value in patients with both reduced (HFrEF) and preserved ejection fraction (HFpEF) HF. This review aims to critically analyze the main CPET prognostic variables in heart failure, highlighting their underlying pathophysiological mechanisms, their predictive capacity for mortality and hospitalizations, and their integration into clinical decision-making models. Parameters such as peak oxygen uptake (VO2), minute ventilation/carbon dioxide production (VE/VCO2) slope, periodic breathing (or exercise oscillatory ventilation—EOV), anaerobic threshold (AT), oxygen pulse, and VO2/work slope provide complementary insights into clinical risk; moreover, the combination of multiple CPET variables allows for more accurate risk stratification compared to the isolated use of each parameter. Multiparametric prognostic models such as the Metabolic Exercise Cardiac Kidney Index (MECKI) score, the Seattle Heart Failure Model, and the Heart Failure Survival Score (HFSS) incorporate these variables alongside clinical and laboratory data to guide advanced management and therapeutic decisions, including heart transplantation or left ventricular assistant device (LVAD) implantation. For these reasons, CPET-derived variables are essential prognostic tools in heart failure. Beyond improving risk stratification, their integration into multiparametric models supports a more personalized therapeutic approach, including tailored pharmacological management. Full article
(This article belongs to the Special Issue Atrial Fibrillation and Heart Failure Management)
Show Figures

Figure 1

25 pages, 765 KB  
Article
A Randomized Controlled Trial of an Enhanced Version of a Cognitive–Behavioral Video Game Intervention Aimed at Promoting Active Aging: Assessments of Perceived Health and Healthy Lifestyle Habits at Pre- and Post-Intervention
by Tania Cotardo, Patricia Otero, Eling D. de Bruin, Vanessa Blanco, Manuel Arrojo, Mario Páramo, María J. Ferraces, Ángela J. Torres and Fernando L. Vázquez
J. Clin. Med. 2025, 14(19), 6873; https://doi.org/10.3390/jcm14196873 - 28 Sep 2025
Viewed by 500
Abstract
Background/Objective: Video games offer an innovative tool for delivering active aging interventions. The objective of this study was to analyze the efficacy of an enhanced version of a cognitive–behavioral intervention to promote active aging, administered through a video game, on perceived health and [...] Read more.
Background/Objective: Video games offer an innovative tool for delivering active aging interventions. The objective of this study was to analyze the efficacy of an enhanced version of a cognitive–behavioral intervention to promote active aging, administered through a video game, on perceived health and healthy lifestyle habits. Methods: A total of 556 participants aged 45 or older (74.3% women, mean age of 60.8 [SD = 8.0]) were randomly assigned to a cognitive–behavioral intervention to promote active aging administered via an interactive, multimedia, online, and serious video game with a complementary smartphone app (CBI-V; n = 279) or to a control group receiving non-specific online information (CG; n = 277). Perceived health (General Health, Body Pain, Physical Functioning, Physical Role, Vitality, Social Functioning, Emotional Role, Mental Health, Physical and Mental Summary Indices); healthy habits, including sleep hygiene behaviors, physical activity, and eating habits; dropouts; adherence to the intervention (completed modules; total playtime; time devoted to cognitive training; number of cognitive task attempts and tasks completed between modules); and satisfaction with the intervention were assessed by independent, blind evaluators via an online platform before and after the intervention. Results: At the post-intervention, the CBI-V group obtained significantly better scores in General Health (p < 0.001), Mental Health (p = 0.015), sleep hygiene (p < 0.001), physical activity (p = 0.024), and eating habits (p = 0.001) than the CG. The effect sizes were small (d = −0.188 to 0.334). Clinically significant changes were higher in the CBI-V group than in the CG in General Health (p = 0.029), Physical Function (p = 0.028), Social Function (p = 0.011), Emotional Role (p = 0.008), Mental Health (p = 0.026), Physical Summary Index (p = 0.010), sleep hygiene (p = 0.020), and eating habits (p = 0.019). Participants reported a high level of satisfaction with the intervention, with a mean score of 25.4 (SD = 4.0) out of a maximum of 32 on the intervention satisfaction measure. Conclusions: These findings support the efficacy of a cognitive–behavioral video game intervention in enhancing perceived health and promoting healthy lifestyle habits among people aged 45 and above. Full article
(This article belongs to the Section Mental Health)
Show Figures

Figure 1

23 pages, 1724 KB  
Systematic Review
Mapping the Research Landscape of Soil Erosion in Protected Areas: A Systematic Bibliometric Analysis
by Sai-Leung Ng and Nien-Ming Hong
Land 2025, 14(10), 1951; https://doi.org/10.3390/land14101951 - 26 Sep 2025
Viewed by 335
Abstract
Soil erosion is a pressing global environmental challenge that threatens ecosystem stability, water quality, and biodiversity. While much research has focused on agricultural landscapes, erosion processes within protected areas have received comparatively less attention, despite their implications for conservation and the provision of [...] Read more.
Soil erosion is a pressing global environmental challenge that threatens ecosystem stability, water quality, and biodiversity. While much research has focused on agricultural landscapes, erosion processes within protected areas have received comparatively less attention, despite their implications for conservation and the provision of ecosystem services. This study presents a comprehensive bibliometric analysis of 527 Scopus-indexed journal articles on soil erosion in protected areas and follows the PRISMA protocol. The analysis maps the thematic structure of the field, highlights influential publications and dissemination outlets, and examines global collaboration patterns. Results show a steady growth in research output and a thematic evolution from process-focused, site-specific studies toward integrated approaches that connect erosion processes with ecosystem services, sustainability, and advanced geospatial tools. Influential works draw on two complementary intellectual pillars, namely recreation ecology and soil conservation science. Knowledge dissemination takes place through a diverse range of journals, while collaboration networks link both regional partnerships and transcontinental connections. These findings provide a roadmap for enhancing the scientific and practical relevance of research in this field. Full article
Show Figures

Figure 1

22 pages, 4420 KB  
Article
Seed Nanopriming Improves Jalapeño Pepper Seedling Quality for Transplantation
by Erick H. Ochoa-Chaparro, Juan J. Patiño-Cruz, Julio C. Anchondo-Páez, Alan Alvarez-Monge, Cristina L. Franco-Lagos and Esteban Sánchez
Seeds 2025, 4(3), 47; https://doi.org/10.3390/seeds4030047 - 22 Sep 2025
Viewed by 343
Abstract
Nanopriming with metal nanoparticles (NPs) is a promising strategy for improving seedling quality in horticultural crops. This study evaluated the effects of hydropriming, ZnO, SiO2, ZnO + SiO2, a ZnMo nanofertilizer, and two commercial biostimulants (Osmoplant and Codasil) on [...] Read more.
Nanopriming with metal nanoparticles (NPs) is a promising strategy for improving seedling quality in horticultural crops. This study evaluated the effects of hydropriming, ZnO, SiO2, ZnO + SiO2, a ZnMo nanofertilizer, and two commercial biostimulants (Osmoplant and Codasil) on the early development of Capsicum annuum L. seedlings. Morphological, physiological, and biochemical traits, including biomass, stem architecture, number of leaves, chlorophylls, carotenoids, SPAD index, and nitrate reductase (NR) activity, were measured under controlled conditions. The ZnO and ZnO + SiO2 treatments promoted stronger root growth, higher pigment content, and higher NR activity. SiO2 alone and ZnMo showed intermediate improvements, while Osmoplant and Codasil had more limited effects. Multivariate analyses provided complementary information: heat maps revealed correlations between traits, PCA differentiated treatment responses, and radar charts integrated performance profiles. Overall, the results provide promising evidence that seed nanopriming, particularly with ZnO and ZnO + SiO2, improves seedling vigor and transplant potential in jalapeño peppers. Full article
Show Figures

Figure 1

28 pages, 5260 KB  
Article
Modeling Urban Green Access: Combining Zone-Based Proximity and Demand-Weighted Metrics in a Medium-Sized U.S. City
by Yifanzi Zhu, Qiuyi Yang, Shuying Guo, Yuhan Wen, Xinyi Wang and Rui Wang
Land 2025, 14(9), 1926; https://doi.org/10.3390/land14091926 - 22 Sep 2025
Viewed by 403
Abstract
Urban green space (UGS) accessibility is a cornerstone of equitable and sustainable city planning. However, existing studies focus on large metropolitan areas and rely on limited spatial models that overlook the complexity of urban morphology and socio-demographic diversity. This study shifts the focus [...] Read more.
Urban green space (UGS) accessibility is a cornerstone of equitable and sustainable city planning. However, existing studies focus on large metropolitan areas and rely on limited spatial models that overlook the complexity of urban morphology and socio-demographic diversity. This study shifts the focus to East Lansing, a medium-sized U.S. city that exhibits neither the spatial concentration of major metropolises nor the uniformity of small towns, thereby offering a distinctive context to examine urban green space equity. To this end, we develop a composite accessibility index by integrating four complementary spatial models: Euclidean distance, gravity-based access, two-step floating catchment area (2SFCA), and zone-based analysis. Utilizing high-resolution spatial, demographic, and environmental datasets, the study applies both Ordinary Least Squares (OLS) and Geographically Weighted Regression (GWR) to uncover global patterns and local variations in accessibility determinants. The results reveal pronounced neighborhood-level disparities, with variables such as green coverage, park provision, and commercial density emerging as significant but spatially uneven predictors. The composite index yields a more robust and equitable representation of UGS accessibility than any individual model. This multi-model, spatially explicit framework contributes to methodological advances in accessibility assessment and offers actionable insights for place-based urban greening strategies. Full article
Show Figures

Figure 1

Back to TopTop