Comparing Spatial Analysis Methods for Habitat Selection: GPS Telemetry Reveals Methodological Bias in Raccoon Dog (Nyctereutes procyonoides) Ecology
Abstract
1. Introduction
2. Materials and Methods
2.1. Study Area
2.2. GPS Data
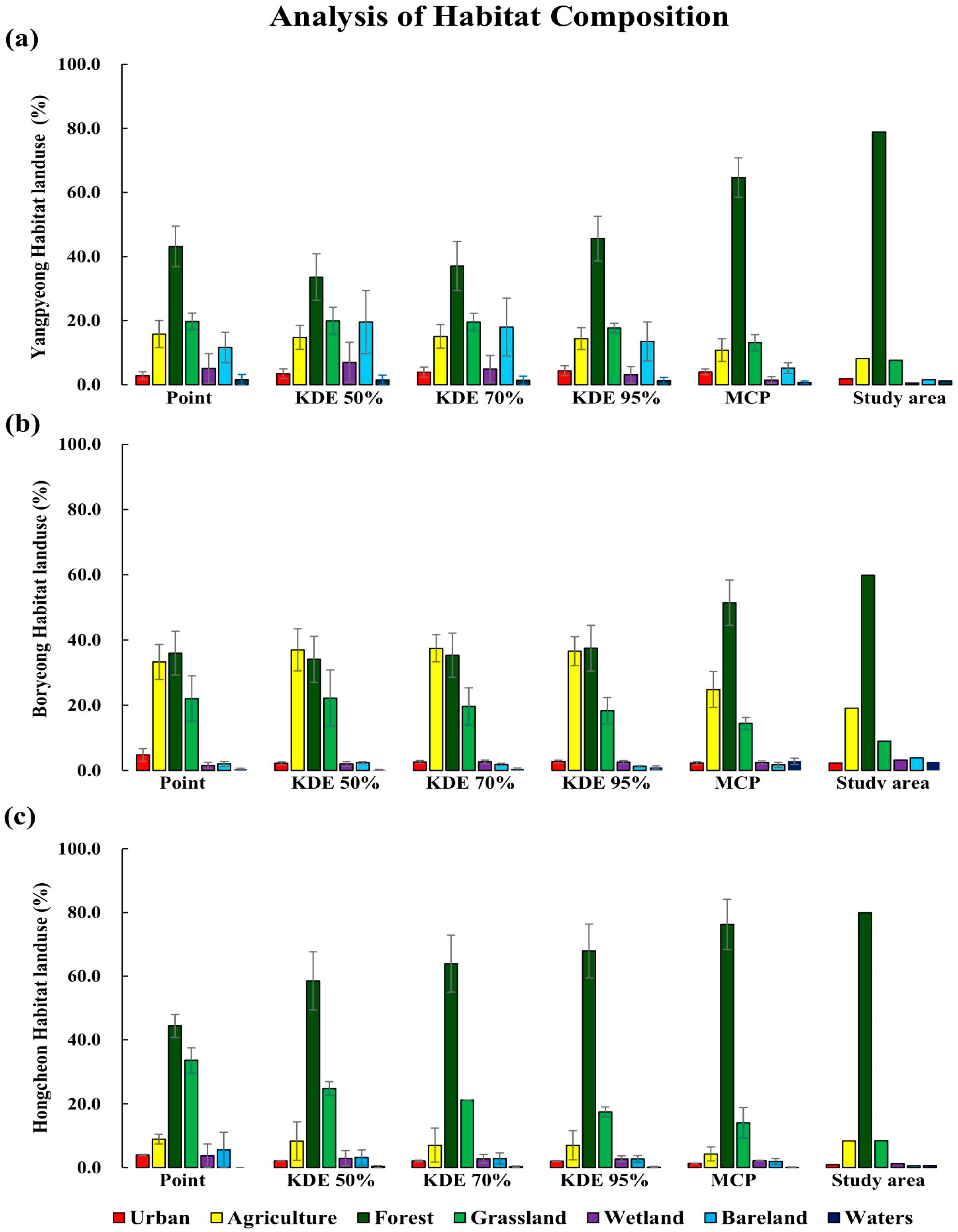
2.3. Habitat Analysis
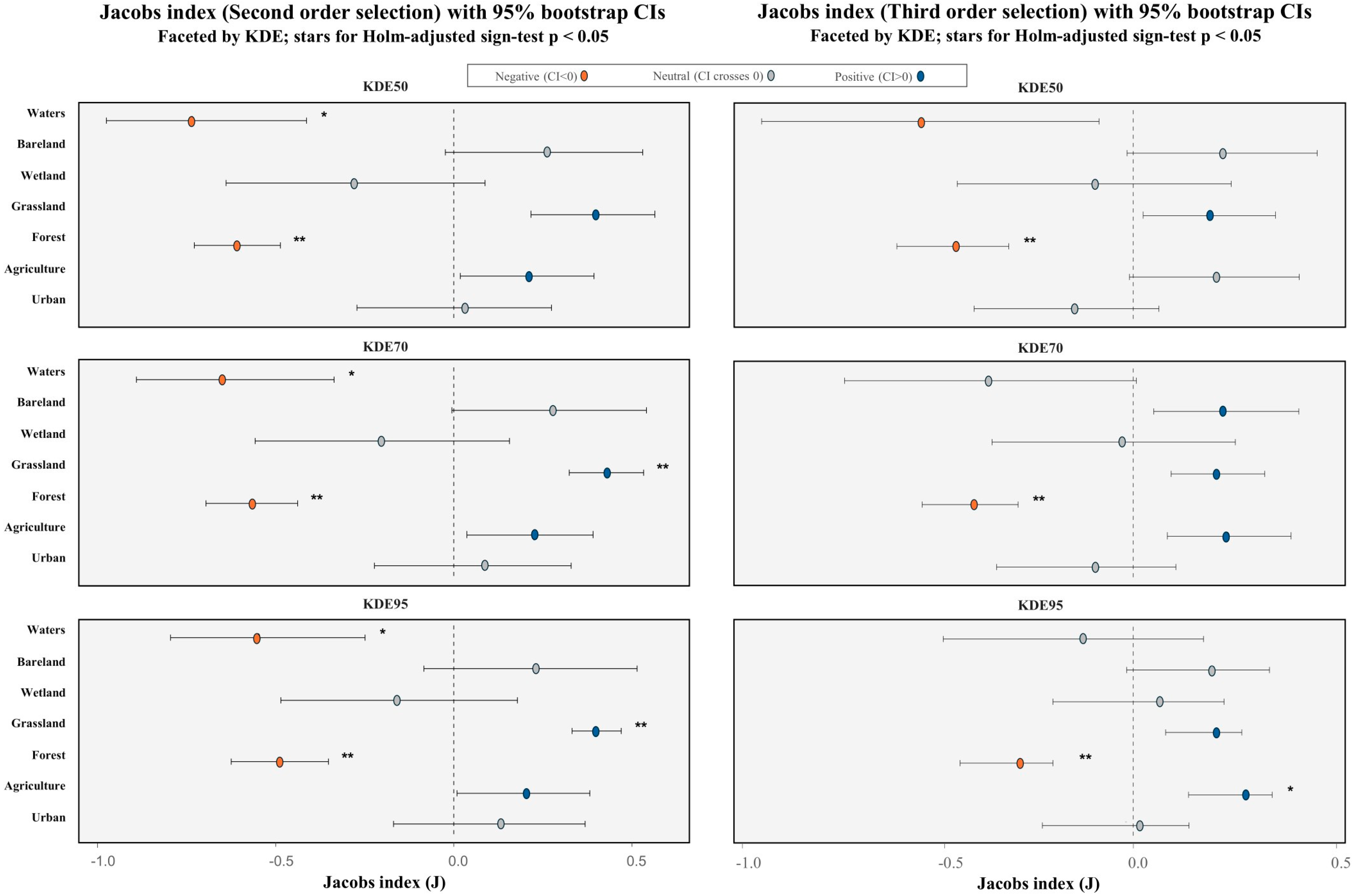
2.4. Sign-Test Analysis of Jacobs Index
3. Results
4. Discussion
5. Conclusions
Author Contributions
Funding
Data Availability Statement
Conflicts of Interest
Abbreviations
| MCP | Minimum convex polygon |
| KDE | Kernel Density Estimation |
References
- Burt, W.H. Territoriality and home range concepts as applied to mammals. J. Mammal. 1943, 24, 346–352. [Google Scholar] [CrossRef]
- Powell, R.A. Animal home ranges and territories and home range estimators. Res. Tech. Anim. Ecol. Controv. Conseq. 2000, 442, 65–110. [Google Scholar]
- Rosenberg, D.K.; McKelvey, K.S. Estimation of habitat selection for central-place foraging animals. J. Wildl. Manag. 1999, 63, 1028–1038. [Google Scholar] [CrossRef]
- Noble, G.K. The role of dominance in the social life of birds. Auk 1939, 56, 263–273. [Google Scholar] [CrossRef]
- Hutto, R.L. Habitat selection by nonbreeding migratory land birds. In Habitat Selection in Birds; Cody, M.L., Ed.; Academic Press: Orlando, FL, USA, 1985; pp. 455–476. [Google Scholar]
- Krausman, P.R. Some basic principles of habitat use. In Grazing Behavior of Livestock and Wildlife; University of Idaho: Moscow, ID, USA, 1999; Volume 70, pp. 85–90. [Google Scholar]
- McGuinness, K.A.; Underwood, A.J. Habitat structure and the nature of communities on intertidal boulders. J. Exp. Mar. Biol. Ecol. 1986, 104, 97–123. [Google Scholar] [CrossRef]
- Mitchell, M.S.; Powell, R.A. Foraging optimally for home ranges. J. Mammal. 2012, 93, 917–928. [Google Scholar] [CrossRef]
- Suchant, R.; Baritz, R.; Braunisch, V. Wildlife habitat analysis–A multidimensional habitat management model. J. Nat. Conserv. 2003, 10, 253–268. [Google Scholar] [CrossRef]
- Thomas, B.; Holland, J.D.; Minot, E.O. Wildlife tracking technology options and cost considerations. Wildl. Res. 2011, 38, 653–663. [Google Scholar] [CrossRef]
- Latham, A.D.M.; Latham, M.C.; Anderson, D.P.; Cruz, J.; Herries, D.; Hebblewhite, M. The GPS craze: Six questions to address before deciding to deploy GPS technology on wildlife. N. Z. J. Ecol. 2015, 39, 143–152. [Google Scholar]
- Aebischer, N.J.; Robertson, P.A.; Kenward, R.E. Compositional analysis of habitat use from animal radio-tracking data. Ecology 1993, 74, 1313–1325. [Google Scholar] [CrossRef]
- Cho, C.U.; Gyun, G.H.; Yang, J.J.; Lim, S.J.; Lee, A.N.; Park, H.B.; Lee, B.K. Home range and behavioral characteristics of the endangered Korea Gorals (Naemorhedus caudatus) with GPS collar. Korean J. Environ. Ecol. 2014, 28, 1–9. [Google Scholar] [CrossRef]
- Cho, H.J.; Kim, D.H.; Choi, J.D.; Chung, W.S.; Kim, H.J.; Lee, H.S.; Moon, U.K. Analysis of raccoon dog home range according to habitat environment [Abstract]. J. Korean Soc. Environ. Ecol. Conf. Proc. 2014, 2014, 35. [Google Scholar]
- Choi, T.; Park, C. The effects of land use on the frequency of mamma roadkills in Korea. J. Korean Inst. Landsc. Archit. 2006, 34, 52–58. [Google Scholar]
- Kim, B.J.; Lee, S.D. Home range study of the Korean water deer (Hydropotes inermis agyropus) using radio and GPS tracking in South Korea: Comparison of daily and seasonal habitat use pattern. J. Ecol. Environ. 2011, 34, 365–370. [Google Scholar] [CrossRef]
- Barg, J.J.; Jones, J.; Robertson, R.J. Describing breeding territories of migratory passerines: Suggestions for sampling, choice of estimator, and delineation of core areas. J. Anim. Ecol. 2005, 74, 139–149. [Google Scholar] [CrossRef]
- Worton, B.J. A review of models of home range for animal movement. Ecol. Model. 1987, 38, 277–298. [Google Scholar] [CrossRef]
- Burgman, M.A.; Fox, J.C. Bias in species range estimates from minimum convex polygons: Implications for conservation and options for improved planning. In Animal Conservation Forum; Cambridge University Press: Cambridge, UK, 2003; Volume 6, pp. 19–28. [Google Scholar]
- Downs, J.A.; Horner, M.W. Effects of point pattern shape on home-range estimates. J. Wildl. Manag. 2008, 72, 1813–1818. [Google Scholar]
- Mitchell, M.S.; Powell, R.A. Estimated home ranges can misrepresent habitat relationships on patchy landscapes. Ecol. Model. 2008, 216, 409–414. [Google Scholar] [CrossRef]
- Hayward, M.W.; Hofmeyr, M.; O’brien, J.; Kerley, G.I. Prey preferences of the cheetah (Acinonyx jubatus) (Felidae: Carnivora): Morphological limitations or the need to capture rapidly consumable prey before kleptoparasites arrive? J. Zool. 2006, 270, 615–627. [Google Scholar]
- Johnson, C.J.; Nielsen, S.E.; Merrill, E.H.; Mcdonald, T.L.; Boyce, M.S. Resource selection functions based on use-availability data: Theoretical motivation and evaluation methods. J. Wildl. Manag. 2006, 70, 347–357. [Google Scholar] [CrossRef]
- Johnson, D.H. The comparison of usage and availability measurements for evaluating resource preference. Ecology 1980, 61, 65–71. [Google Scholar] [CrossRef]
- Kauhala, K.; Saeki, M. Raccoon dog Nyctereutes procyonoides. In Status Survey and Conservation Action Plan. Canids: Foxes, Wolves, Jackals and Dogs; Sillero-Zubiri, C., Hoffmann, M., Macdonald, D.W., Eds.; IUCN Publication Services: Cambridge, UK, 2004; pp. 136–142. [Google Scholar]
- Pitra, C.; Schwarz, S.; Fickel, J. Going west—Invasion genetics of the alien raccoon dog Nyctereutes procynoides in Europe. Eur. J. Wildl. Res. 2010, 56, 117–129. [Google Scholar] [CrossRef]
- Hong, Y.; Kim, K.-S.; Lee, H.; Min, M.S. Population genetic study of the raccoon dog (Nyctereutes procyonoides) in South Korea using newly developed 12 microsatellite markers. Genes Genet. Syst. 2013, 88, 69–76. [Google Scholar] [CrossRef]
- Tedeschi, L.; Biancolini, D.; Capinha, C.; Rondinini, C.; Essl, F. Introduction, spread, and impacts of invasive alien mammal species in Europe. Mammal Rev. 2022, 52, 252–266. [Google Scholar] [CrossRef]
- Ellerman, J.R.; Morrison-Scott, T.C.S.S. Checklist of Palaearctic and Indian Mammals 1758 to 1946; British Museum: London, UK, 1966. [Google Scholar]
- Paulauskas, A.; GriciuvienĖ, L.; Radzijevskaja, J.; Gedminas, V. Genetic characterization of the raccoon dog (Nyctereutes procyonoides), an alien species in the Baltic region. Turk. J. Zool. 2016, 40, 933–943. [Google Scholar] [CrossRef]
- Kauhala, K. Habitat use of raccoon dogs (Nyctereutes procyonoides) in southern Finland. Z. Saeugetierkd. 1996, 61, 269–275. [Google Scholar]
- Sidorovich, V.E.; Solovej, I.A.; Sidorovich, A.A.; Dyman, A.A. Seasonal and annual variation in the diet of the raccoon dog Nyctereutes procyonoides in northern Belarus: The role of habitat type and family group. Acta Theriol. 2008, 53, 27–38. [Google Scholar] [CrossRef]
- Sasaki, H.; Kawabata, M. Food Habits of the raccoon dog Nyctereutes procyonoides viverrinus in a mountainous area of Japan. J. Mammal. Soc. Jpn. 1994, 19, 1–8. [Google Scholar]
- Akihito, S.T.; Teduka, M.; Kawada, S.-I. Long-term trends in food habits of the raccoon dog, Nyctereutes viverrinus, in the Imperial Palace, Tokyo. Bull. Natl. Mus. Nat. Sci. Ser. A 2016, 42, 143–161. [Google Scholar]
- Enomoto, T.; Suzuki, M.; Honda, S.; Watanabe, K.; Aikawa, E.; Nakane, A.; Saito, M.U. Early autumn diet of introduced raccoon dogs on Okushiri Island, Hokkaido, Japan. Nat. Environ. Sci. Res. 2022, 35, 19–22. [Google Scholar]
- Wooldridge, B.; Svenning, J.C.; Pagh, S. Habitat selection and movement patterns of the Raccoon dog (Nyctereutes procyonoides) in Denmark using GPS telemetry data. Eur. J. Wildl. Res. 2024, 70, 64. [Google Scholar] [CrossRef]
- Sutor, A.; Schwarz, S. Home ranges of raccoon dogs (Nyctereutes procyonoides, Gray, 1834) in Southern Brandenburg, Germany. Eur. J. Wildl. Res. 2012, 58, 85–97. [Google Scholar] [CrossRef]
- Saeki, M.; Johnson, P.J.; Macdonald, D.W. Movements and habitat selection of raccoon dogs (Nyctereutes procyonoides) in a mosaic landscape. J. Mammal. 2007, 88, 1098–1111. [Google Scholar] [CrossRef]
- Brown, J.L.; Orians, G.H. Spacing patterns in mobile animals. Ann. Rev. Ecolog. Syst. 1970, 1, 239–262. [Google Scholar] [CrossRef]
- Sutor, A.; Kauhala, K.; Ansorge, H. Diet of the raccoon dog Nyctereutes procyonoides—A canid with an opportunistic foraging strategy. Acta Theriol. 2010, 55, 165–176. [Google Scholar] [CrossRef]
- Drygala, F.; Stier, N.; Zoller, H.; Boegelsack, K.; Mix, H.M.; Roth, M. Habitat use of the raccon dog (Nyctereutes procyonoides) in north-eastern Germany. Mammal. Biol. 2008, 73, 371–378. [Google Scholar] [CrossRef]
- Cerkasskij, V.L. The role of the racoon dog in the epizootiology of rabies. Rabies Bull. Eur. 1981, 4, 11–13. [Google Scholar]
- Yoon, S.I. Crop loss survey by wildlife in national parks of Korea. Korean J. Environ. Biol. 2007, 25, 223–227. [Google Scholar]
- Choi, T.Y.; Park, C.H. Home-range of raccoon dog Nyctereutes procyonoides living in the rural area of Korea. J. Ecol. Environ. 2006, 29, 259–263. [Google Scholar]
- Kim, Y.J. Pattern Analysis of the Wildlife Casualties in Korea. Master’s Thesis, Seoul National University, Seoul, Republic of Korea, 2006; p. 16. [Google Scholar]
- Cha, S.Y.; Kim, E.J.; Kang, M.; Jang, S.H.; Lee, H.B.; Jang, H.K. Epidemiology of canine distemper virus in wild raccoon dogs (Nyctereutes procyonoides) from South Korea. Comp. Immunol. Microbiol. Infect. Dis. 2012, 35, 497–504. [Google Scholar] [CrossRef]
- Deplazes, P.; Hegglin, D.; Gloor, S.; Romig, T. Wilderness in the city: The urbanization of Echinococcus multilocularis. Trends Parasitol. 2004, 20, 77–84. [Google Scholar] [CrossRef]
- Sutor, A.; Schwarz, S.; Conraths, F.J. The biological potential of the raccoon dog (Nyctereutes procyonoides, Gray 1834) as an invasive species in Europe—New risks for disease spread? Acta Theriol. 2014, 59, 49–59. [Google Scholar] [CrossRef] [PubMed]
- Duscher, T.; Hodžić, A.; Glawischnig, W.; Duscher, G.G. The raccoon dog (Nyctereutes procyonoides) and the raccoon (Procyon lotor)—Their role and impact of maintaining and transmitting zoonotic diseases in Austria, Central Europe. Parasitol. Res. 2017, 116, 1411–1416. [Google Scholar] [CrossRef] [PubMed]
- Petavy, A.F.; Deblock, S.; Walbaum, S. Life cycles of Echinococcus multilocularis in relation to human infection. J. Parasitol. 1991, 77, 133–137. [Google Scholar] [CrossRef]
- Schantz, P.M.; Chai, J.; Craig, P.S.; Eckert, J.; Jenkins, D.J.; Macpherson, C.N.L.; Thakur, A. Epidemiology and control of hydatid disease. In Echinococcus and Hydatid Disease; Thompson, R.C.A., Lymbery, A.J., Eds.; CAB International: Boston, MA, USA, 1995; pp. 233–331. [Google Scholar]
- Craig, P.S.; Giraudoux, P.; Shi, D.; Bartholomot, B.; Barnish, G.; Delattre, P.; Quere, J.P.; Harraga, S.; Bao, G.; Wang, Y.; et al. An epidemiological and ecological study on human alveolar echinococcosis transmission in Gansu, China. Acta Trop. 2000, 77, 167–177. [Google Scholar] [CrossRef]
- Kim, M.K. A Study on the Status and Management Plan of Urban Raccoon Dogs in Seoul; Seoul Institute: Seoul, Republic of Korea, 2023; Report No.: 2023-TR-05. [Google Scholar]
- Brigham, R.M. Load carrying and maneuverability in an insectivorous bat: A test of the 5% “rule” of radio-telemetry. J. Mammal. 1988, 69, 379–382. [Google Scholar] [CrossRef]
- Lee, H.J.; Ha, J.W.; Park, S.J.; Kim, W.Y.; Cha, J.Y.; Park, J.Y.; Choi, S.S.; Chung, C.-U.; Oh, H.S. A study on the analysis of mammals’ activity patterns and the effect of human hiker interference using camera trapping. J. Asia-Pac. Biodivers. 2019, 12, 57–62. [Google Scholar] [CrossRef]
- Zoller, H.; Drygala, F. Activity patterns of the invasive raccoon dog (Nyctereutes procyonoides) in North East Germany. Folia Zool. 2013, 62, 290–296. [Google Scholar] [CrossRef]
- Boyce, M.S.; Vernier, P.R.; Nielsen, S.E.; Schmiegelow, F.K. Evaluating resource selection functions. Ecol. Model. 2002, 157, 281–300. [Google Scholar] [CrossRef]
- Jacobs, J. Quantitative measurement of food selection: A modification of the forage ratio and Ivlev’s electivity index. Oecologia 1974, 14, 413–417. [Google Scholar] [CrossRef] [PubMed]
- Kauhala, K.; Helle, E.; Taskinen, K. Home range of the raccoon dog (Nyctereutes procyonoides) in southern Finland. J. Zool. 1993, 231, 95–106. [Google Scholar] [CrossRef]
- Hwang, G.Y. Ecological Characteristics of Raccoon Dog (Nyctereutes procyonoides) of Korea. Master’s Thesis, Kangwon University, Chuncheon, Republic of Korea, 2007. [Google Scholar]
- Woo, D.G. Wildlife Habitat Conservation Plan of Leopard Cats and Raccoon Dogs in Gang-Seo Ecological Park. Master’s Thesis, Seoul National University, Seoul, Republic of Korea, 2010. [Google Scholar]
- Schwemmer, P.; Weiel, S.; Garthe, S. Spatio-temporal movement patterns and habitat choice of red foxes (Vulpes vulpes) and racoon dogs (Nyctereutes procyonoides) along the Wadden Sea coast. Eur. J. Wildl. Res. 2021, 67, 49. [Google Scholar] [CrossRef]
- Kim, B.J.; Choi, T.Y.; Park, C.H.; Kim, Y.J.; Lee, H. A brief report of the short-term home range study of a pair of raccoon dogs (Nyctereutes procyonoides koreensis) in a rural area of Gurye, Chonnam province, South Korea using radiotracking method. Korean J. Environ. Ecol. 2008, 22, 230–240. [Google Scholar]
- Drygala, F.; Stier, N.; Zoller, H.; Mix, H.M.; Bögelsack, K.; Roth, M. Spatial organisation and intra-specific relationship of the raccoon dog Nyctereutes procyonoides in Central Europe. Wildl. Biol. 2008, 14, 457–466. [Google Scholar]
- Woo, C.; Kumari, P.; Eo, K.Y.; Lee, W.-S.; Kimura, J.; Yamamoto, N. Using DNA metabarcoding and a novel canid-specific blocking oligonucleotide to investigate the composition of animal diets of raccoon dogs (Nyctereutes procyonoides) inhabiting the waterside area in Korea. PLoS ONE 2022, 17, e0271118. [Google Scholar] [CrossRef] [PubMed]
- Park, S.H. A Study on the Compensation Plan for Wildlife Damage to Mountain Villagers. Master’s Thesis, Seoul National University, Seoul, Republic of Korea, 2016. [Google Scholar]
- Kim, K.B. An Efficiency Evaluation Study Based on Resident’s Perceived Effectiveness of the Wild Animal Damage Prevention Facility Support Program in National Parks. Master’s Thesis, Sangji University, Wonju-si, Republic of Korea, 2020. [Google Scholar]
- Harestad, A.S.; Bunnel, F.L. Home range and body weight—A reevaluation. Ecology 1979, 60, 389–402. [Google Scholar] [CrossRef]
- Saïd, S.; Servanty, S. The influence of landscape structure on female roe deer home-range size. Landsc. Ecol. 2005, 20, 1003–1012. [Google Scholar] [CrossRef]
- Beasley, J.C.; Rhodes, O.E. Influence of patch-and landscape-level attributes on the movement behavior of raccoons in agriculturally fragmented landscapes. Can. J. Zool. 2010, 88, 161–169. [Google Scholar] [CrossRef]
- Kauhala, K.; Kowalczyk, R. Invasion of the raccoon dog Nyctereutes procyonoides in Europe: History of colonization, features behind its success, and threats to native fauna. Curr. Zool. 2011, 57, 584–598. [Google Scholar] [PubMed]
- Hirasawa, M.; Kanda, E.; Takatsuki, S. Seasonal food habits of the raccoon dog at a western suburb of Tokyo. Mammal. Study 2006, 31, 9–14. [Google Scholar]
- Pagh, S.; de Jonge, N.; Østergaard, S.K.; Pertoldi, C.; Wooldridge, B.; Laustsen, A.M.; Svenning, J.-C.; Pedersen, M.F.; Larsen, H.L.; Nielsen, J.L.; et al. Diet of raccoon dogs (Nyctereutes procyonoides) in Danish wetlands with focus on ground-nesting birds and amphibians. Eur. J. Wildl. Res. 2025, 71, 14. [Google Scholar] [CrossRef]
- Kauhala, K.; Kaybusti, M.; Helle, E. Diet of the raccoon dog, Nyctereutes procyonoides, in Finland. Zeitschrift für Säugetierkunde 1993, 58, 129–136. [Google Scholar]
- Enomoto, T.; Saito, M.U.; Yoshikawa, M.; Kaneko, Y. Winter diet of the raccoon dog (Nyctereutes procyonoides) in urban parks, central Tokyo. Mammal. Study 2018, 43, 275–280. [Google Scholar] [CrossRef]
- Takatsuki, S.; Kobayashi, K. Seasonal changes in the diet of urban raccoon dogs in Saitama, eastern Japan. Mammal. Study 2023, 48, 203–213. [Google Scholar] [CrossRef]
- Šálek, M.; Drahníková, L.; Tkadlec, E. Changes in home range sizes and population densities of carnivore species along the natural to urban habitat gradient. Mammal. Rev. 2015, 45, 1–14. [Google Scholar] [CrossRef]
- Baghli, A.; Verhagen, R. Home ranges and movement patterns in a vulnerable polecat Mustela putorius population. Acta Theriologica 2004, 49, 247–258. [Google Scholar] [CrossRef]
- Downs, J.A.; Horner, M.W. Analysing infrequently sampled animal tracking data by incorporating generalized movement trajectories with kernel density estimation. Comput. Environ. Urban Syst. 2012, 36, 302–310. [Google Scholar] [CrossRef]
- Row, J.R.; Blouin-Demers, G. Kernels are not accurate estimators of home-range size for herpetofauna. Copeia 2006, 2006, 797–802. [Google Scholar] [CrossRef]
- Kauhala, K.; Holmala, K.; Lammers, W.; Schregel, J. Home ranges and densities of medium-sized carnivores in south-east Finland, with special reference to rabies spread. Acta Theriol. 2006, 51, 1–13. [Google Scholar] [CrossRef]
- Holmala, K.; Kauhala, K. Habitat use of medium-sized carnivores in southeast Finland—Key habitats for rabies spread? Ann. Zoo. Fenn. 2009, 46, 233–246. [Google Scholar] [CrossRef]
- Schwarz, S.; Sutor, A.; Staubach, C.; Mattis, R.; Tackmann, K.; Conraths, F.J. Estimated prevalence of Echinococcus multilocularis in raccoon dogs Nyctereutes procyonoides in northern Brandenburg, Germany. Curr. Zool. 2011, 57, 655–661. [Google Scholar] [CrossRef]
- Harris, S.; Cresswell, W.J.; Forde, P.G.; Trewhella, W.J.; Woollard, T.; Wray, S. Home-range analysis using radiotracking data: A review of problems and techniques particularly as applied to the study of mammals. Mammal. Rev. 1990, 20, 97–123. [Google Scholar] [CrossRef]
- Novikov, G.A.; Novikov, G.A. Carnivorous Mammals of the Fauna of the USSR; Israel Program for Scientific Translations: Jerusalem, Israel, 1962; Volume 62. [Google Scholar]
- Stroganov, S.V. Carnivorous Mammals of Siberia; Israel Program for Scientific Translations: Jerusalem, Israel, 1969; pp. 65–73. [Google Scholar]
- Mitsuhashi, I.; Sako, T.; Teduka, M.; Koizumi, R.; Saito, M.U.; Kaneko, Y. Home range of raccoon dogs in an urban green area of Tokyo, Japan. J. Mammal. 2018, 99, 732–740. [Google Scholar] [CrossRef]
- Lechowicz, M.J. The sampling characteristics of electivity indices. Oecologia 1982, 52, 22–30. [Google Scholar] [CrossRef]
- Kauhala, K.; Auttila, M. Estimating habitat selection of badgers—A test between different methods. Folia Zool. 2010, 59, 16–25. [Google Scholar] [CrossRef]




| Tracker ID | Location | Sex | Captured Date | Duration | Total Number of Point | GPS Acquisition Rate (%) |
|---|---|---|---|---|---|---|
| H01 | Hongcheon | M | 29 June 2022 | 30 June 2022–1 October 2022 | 482 | 9.96 |
| H02 | Hongcheon | F | 18 June 2022 | 19 June 2022–1 October 2022 | 533 | 5.07 |
| Y01 | Yangpyeong | F | 3 November 2021 | 4 November 2021–7 December 2021 | 174 | 50.57 |
| Y02 | Yangpyeong | M | 10 November 2021 | 11 November 2021–30 November 2021 | 105 | 78.10 |
| Y03 | Yangpyeong | M | 24 November 2021 | 25 November 2021–23 April 2022 | 748 | 61.96 |
| Y04 | Yangpyeong | M | 8 December 2021 | 9 December 2021–25 July 2022 | 1163 | 10.92 |
| Y05 | Yangpyeong | M | 12 February 2022 | 13 February 2022–13 March 2022 | 154 | 38.96 |
| Y06 | Yangpyeong | M | 10 March 2022 | 11 March 2022–29 June 2022 | 569 | 65.91 |
| Y07 | Yangpyeong | F | 11 March 2022 | 12 March 2022–12 June 2022 | 474 | 71.73 |
| B01 | Boryeong | F | 23 November 2021 | 24 November 2021–1 October 2022 | 1368 | 61.04 |
| B02 | Boryeong | F | 5 June 2022 | 6 June 2022–1 October 2022 | 598 | 4.85 |
| B03 | Boryeong | F | 26 August 2022 | 27 August 2022–1 October 2022 | 190 | 77.89 |
| B04 | Boryeong | F | 5 September 2022 | 6 September 2022–1 October 2022 | 133 | 72.18 |
| All (Mean ± SE) | Point | Kernel 50% | Kernel 70% | Kernel 95% | MCP 100% | |||||
|---|---|---|---|---|---|---|---|---|---|---|
| Land Use-Value | Count | % | Area (Km2) | % | Area (Km2) | % | Area (Km2) | % | Area (Km2) | % |
| Urban area | 6.00 ± 2.37 | 3.62 ± 0.83 | 0.00 ± 0.00 | 2.71 ± 0.80 | 0.00 ± 0.00 | 2.90 ± 0.85 | 0.01 ± 0.00 | 3.20 ± 0.84 | 0.04 ± 0.01 | 2.65 ± 0.58 |
| Agricultural area | 40.92 ± 15.51 | 20.13 ± 3.73 | 0.06 ± 0.01 | 20.48 ± 4.20 | 0.030 ± 0.01 | 19.57 ± 4.04 | 0.06 ± 0.02 | 17.86 ± 3.94 | 0.16± 0.05 | 11.46 ± 3.24 |
| Forest | 97.08 ± 32.54 | 41.14 ± 3.92 | 0.03 ± 0.01 | 45.81 ± 5.07 | 0.07 ± 0.02 | 50.65 ± 5.34 | 0.20 ± 0.06 | 56.19 ± 5.08 | 0.94 ± 0.27 | 68.51 ± 4.51 |
| Grassland | 47.85 ± 16.50 | 22.59 ± 2.76 | 0.08 ± 0.01 | 22.31 ± 3.29 | 0.03 ± 0.01 | 19.11 ± 2.12 | 0.06 ± 0.01 | 15.99 ± 1.37 | 0.15 ± 0.03 | 11.30 ± 1.51 |
| Wetland | 4.23 ± 2.18 | 3.79 ± 2.51 | 0.00 ± 0.00 | 3.19 ± 3.31 | 0.00 ± 0.00 | 2.75 ± 2.21 | 0.01 ± 0.00 | 2.31 ± 1.34 | 0.02 ± 0.01 | 1.54 ± 0.59 |
| Bareland | 11.38 ± 3.46 | 7.74 ± 2.83 | 0.00 ± 0.00 | 4.93 ± 5.68 | 0.01 ± 0.00 | 4.37 ± 5.21 | 0.01 ± 0.00 | 3.61 ± 3.58 | 0.04 ± 0.01 | 2.92 ± 1.03 |
| Waters | 1.08 ± 0.68 | 1.00 ± 0.84 | 0 ± 0.00 | 0.57 ± 0.80 | 0.00 ± 0.00 | 0.66 ± 0.69 | 0.00 ± 0.00 | 0.85 ± 0.57 | 0.02 ± 0.01 | 1.62 ± 0.47 |
| total | 208.54 | 100 | 0.08 | 100 | 0.15 | 100 | 0.35 | 100 | 1.37 | 100 |
Disclaimer/Publisher’s Note: The statements, opinions and data contained in all publications are solely those of the individual author(s) and contributor(s) and not of MDPI and/or the editor(s). MDPI and/or the editor(s) disclaim responsibility for any injury to people or property resulting from any ideas, methods, instructions or products referred to in the content. |
© 2025 by the authors. Licensee MDPI, Basel, Switzerland. This article is an open access article distributed under the terms and conditions of the Creative Commons Attribution (CC BY) license (https://creativecommons.org/licenses/by/4.0/).
Share and Cite
Jeon, S.; Hwang, S.K.; Lee, Y.W.; Son, J.; Lee, H.J.; Yoon, C.W.; Lee, J.Y.; Yoo, D.K.; Chung, O.-S.; Lee, J.K. Comparing Spatial Analysis Methods for Habitat Selection: GPS Telemetry Reveals Methodological Bias in Raccoon Dog (Nyctereutes procyonoides) Ecology. Forests 2025, 16, 1588. https://doi.org/10.3390/f16101588
Jeon S, Hwang SK, Lee YW, Son J, Lee HJ, Yoon CW, Lee JY, Yoo DK, Chung O-S, Lee JK. Comparing Spatial Analysis Methods for Habitat Selection: GPS Telemetry Reveals Methodological Bias in Raccoon Dog (Nyctereutes procyonoides) Ecology. Forests. 2025; 16(10):1588. https://doi.org/10.3390/f16101588
Chicago/Turabian StyleJeon, Sumin, Soo Kyeong Hwang, Yeon Woo Lee, Jihye Son, Hyeok Jae Lee, Chae Won Yoon, Ju Yeong Lee, Dong Kyun Yoo, Ok-Sik Chung, and Jong Koo Lee. 2025. "Comparing Spatial Analysis Methods for Habitat Selection: GPS Telemetry Reveals Methodological Bias in Raccoon Dog (Nyctereutes procyonoides) Ecology" Forests 16, no. 10: 1588. https://doi.org/10.3390/f16101588
APA StyleJeon, S., Hwang, S. K., Lee, Y. W., Son, J., Lee, H. J., Yoon, C. W., Lee, J. Y., Yoo, D. K., Chung, O.-S., & Lee, J. K. (2025). Comparing Spatial Analysis Methods for Habitat Selection: GPS Telemetry Reveals Methodological Bias in Raccoon Dog (Nyctereutes procyonoides) Ecology. Forests, 16(10), 1588. https://doi.org/10.3390/f16101588

