Utility of a Multimodal Biomarker Panel and Serum Proapoptotic Activity to Refine Diagnosis of Ovarian Adnexal Masses
Abstract
1. Introduction
2. Materials and Methods
2.1. Sample Collection
2.2. Serum Samples
2.3. Cell Culture
2.4. Jurkat Cell Exposure to Serum and Apoptosis Determination
2.5. Detection of sFas and Proinflammatory Cytokines in the Serum
2.6. Determination of Serum CA125 and HE4 Levels
2.7. Statistical Analysis
3. Results
3.1. Clinical and Ultrasonographic Characteristics of the Study Patients
3.2. Prevalence and Distribution of Benign and Malignant Ovarian Adnexal Masses
3.3. Sera from Patients with Ovarian Cancer Showed Reduced Apoptosis-Inducing Capacity in Jurkat Cells
3.4. CA125 and HE4 Levels Correlate with the ROMA Index and the Presence of Ovarian Tumors
3.5. Serum Biomarkers Characterize Benign and Malignant Adnexal Tumors
3.6. Comparative Analysis of Biomarker Divergence Across Clinical Groups
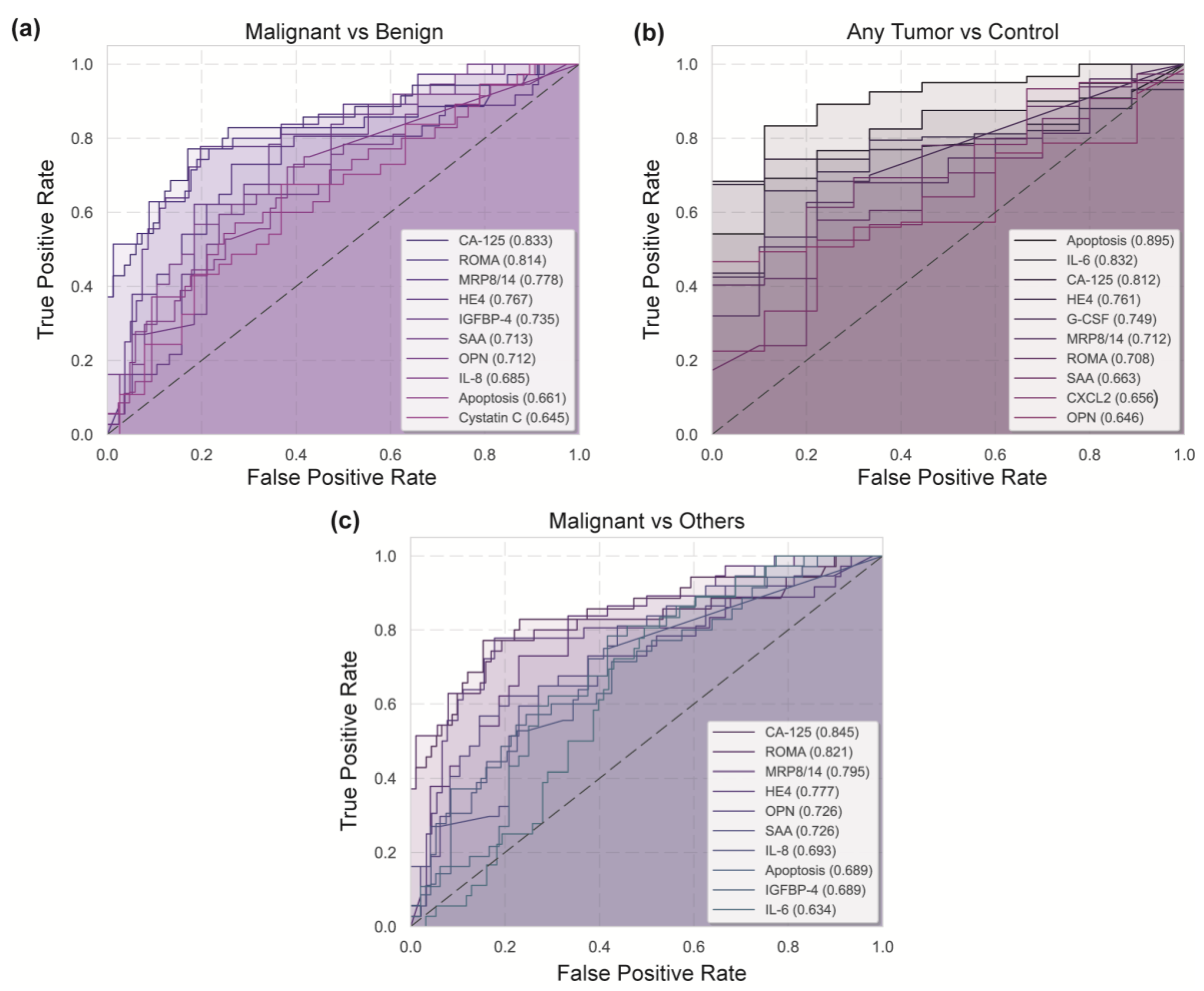
3.7. Diagnostic Performance of Serum Biomarkers in Ovarian Adnexal Masses Classification
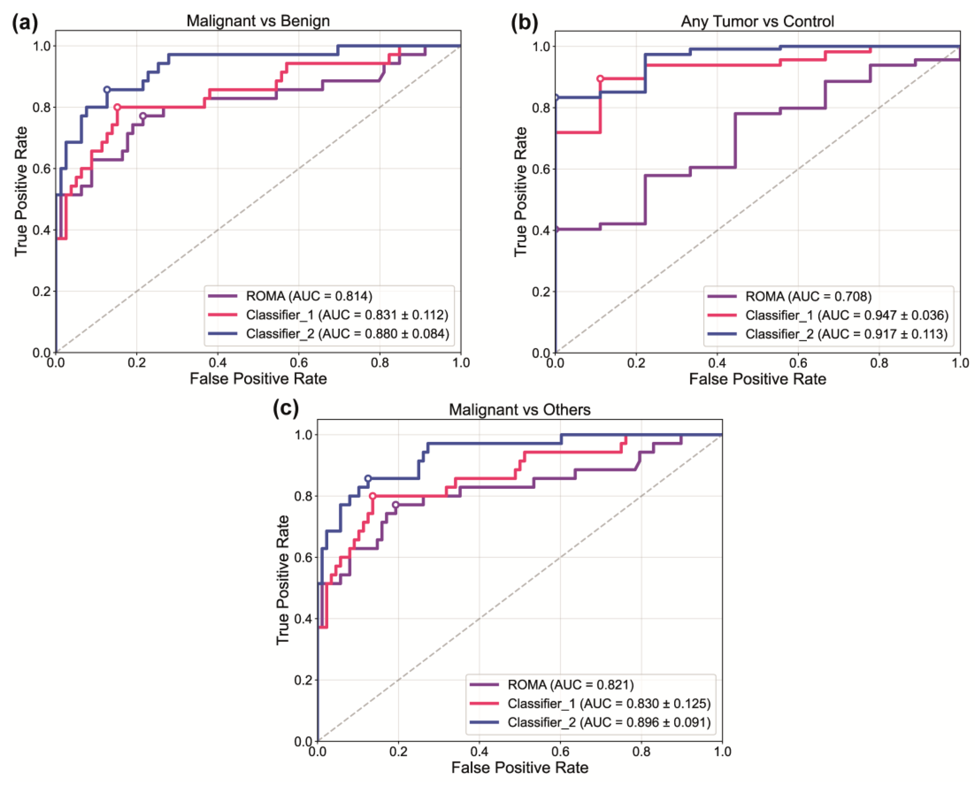
3.8. Development and Validation of Multiparametric Classifiers for Enhanced Prediction of Ovarian Adnexal Mass
4. Discussion
5. Conclusions
Supplementary Materials
Author Contributions
Funding
Institutional Review Board Statement
Informed Consent Statement
Data Availability Statement
Acknowledgments
Conflicts of Interest
References
- Bray, F.; Laversanne, M.; Sung, H.; Ferlay, J.; Siegel, R.L.; Soerjomataram, I.; Jemal, A. Global cancer statistics 2022: GLOBOCAN estimates of incidence and mortality worldwide for 36 cancers in 185 countries. CA Cancer J. Clin. 2024, 74, 229–263. [Google Scholar] [CrossRef]
- Reid, B.M.; Permuth, J.B.; Sellers, T.A. Epidemiology of ovarian cancer: A review. Cancer Biol. Med. 2017, 14, 9–32. [Google Scholar] [CrossRef]
- Siegel, R.L.; Kratzer, T.B.; Giaquinto, A.N.; Sung, H.; Jemal, A. Cancer statistics, 2025. CA Cancer J. Clin. 2025, 75, 10–45. [Google Scholar] [CrossRef]
- Yang, W.L.; Lu, Z.; Bast, R.C., Jr. The role of biomarkers in the management of epithelial ovarian cancer. Expert Rev. Mol. Diagn. 2017, 17, 577–591. [Google Scholar] [CrossRef]
- American College of Obstetricians and Gynecologists’ Committee on Practice B-G. Practice Bulletin No. 174: Evaluation and Management of Adnexal Masses. Obstet. Gynecol. 2016, 128, e210–e226. [Google Scholar] [CrossRef]
- Dochez, V.; Caillon, H.; Vaucel, E.; Dimet, J.; Winer, N.; Ducarme, G. Biomarkers and algorithms for diagnosis of ovarian cancer: CA125, HE4, RMI and ROMA, a review. J. Ovarian Res. 2019, 12, 28. [Google Scholar] [CrossRef]
- Dodge, J.E.; Covens, A.L.; Lacchetti, C.; Elit, L.M.; Le, T.; Devries-Aboud, M.; Fung-Kee-Fung, M.; The Gynecology Cancer Disease Site Group. Preoperative identification of a suspicious adnexal mass: A systematic review and meta-analysis. Gynecol. Oncol. 2012, 126, 157–166. [Google Scholar] [CrossRef]
- Urbancsek, J.; Hauzman, E.E.; Lagarde, A.R.; Osztovits, J.; Papp, Z.; Strowitzki, T. Serum CA-125 levels in the second week after embryo transfer predict clinical pregnancy. Fertil. Steril. 2005, 83, 1414–1421. [Google Scholar] [CrossRef]
- Dodge, J.E.; Covens, A.L.; Lacchetti, C.; Elit, L.M.; Le, T.; Devries-Aboud, M.; Fung-Kee-Fung, M.; The Gynecology Cancer Disease Site Group. Management of a suspicious adnexal mass: A clinical practice guideline. Curr. Oncol. 2012, 19, 244–257. [Google Scholar] [CrossRef]
- Van Calster, B.; Valentin, L.; Van Holsbeke, C.; Zhang, J.; Jurkovic, D.; Lissoni, A.A.; Testa, A.C.; Czekierdowski, A.; Fischerova, D.; Domali, E.; et al. A novel approach to predict the likelihood of specific ovarian tumor pathology based on serum CA-125: A multicenter observational study. Cancer Epidemiol. Biomark. Prev. 2011, 20, 2420–2428. [Google Scholar] [CrossRef]
- Bahadur, A.; Bhattacharya, N.; Mundhra, R.; Khoiwal, K.; Chawla, L.; Singh, R.; Naithani, M.; Kishore, S. Comparison of Human Epididymis Protein 4, Cancer Antigen 125, and Ultrasound Prediction Model in Differentiating Benign from Malignant Adnexal Masses. J. Midlife Health 2023, 14, 176–183. [Google Scholar] [CrossRef]
- Montagnana, M.; Danese, E.; Ruzzenente, O.; Bresciani, V.; Nuzzo, T.; Gelati, M.; Salvagno, G.L.; Franchi, M.; Lippi, G.; Guidi, G.C. The ROMA (Risk of Ovarian Malignancy Algorithm) for estimating the risk of epithelial ovarian cancer in women presenting with pelvic mass: Is it really useful? Clin. Chem. Lab. Med. 2011, 49, 521–525. [Google Scholar] [CrossRef]
- Goff, B.A.; Agnew, K.; Neradilek, M.B.; Gray, H.J.; Liao, J.B.; Urban, R.R. Combining a symptom index, CA125 and HE4 (triple screen) to detect ovarian cancer in women with a pelvic mass. Gynecol. Oncol. 2017, 147, 291–295. [Google Scholar] [CrossRef]
- Landolfo, C.; Achten, E.T.L.; Ceusters, J.; Baert, T.; Froyman, W.; Heremans, R.; Vanderstichele, A.; Thirion, G.; Van Hoylandt, A.; Claes, S.; et al. Assessment of protein biomarkers for preoperative differential diagnosis between benign and malignant ovarian tumors. Gynecol. Oncol. 2020, 159, 811–819. [Google Scholar] [CrossRef]
- Braicu, E.L.; Krause, C.L.; Torsten, U.; Mecke, H.; Richter, R.; Hellmeyer, L.; Lanowska, M.; Müller, B.; Koch, E.; Boenneß-Zaloum, J.; et al. HE4 as a serum biomarker for the diagnosis of pelvic masses: A prospective, multicenter study in 965 patients. BMC Cancer 2022, 22, 831. [Google Scholar] [CrossRef]
- Dolgun, Z.N.; Kabaca, C.; Karateke, A.; Iyibozkurt, C.; Inan, C.; Altintas, A.S.; Karadag, C. The Use of Human Epididymis 4 and Cancer Antigen 125 Tumor Markers in the Benign or Malignant Differential Diagnosis of Pelvic or Adnexal Masses. Balk. Med J. 2017, 34, 156–162. [Google Scholar] [CrossRef]
- Nagata, S. Fas ligand-induced apoptosis. Annu. Rev. Genet. 1999, 33, 29–55. [Google Scholar] [CrossRef]
- Suda, T.; Takahashi, T.; Golstein, P.; Nagata, S. Molecular cloning and expression of the Fas ligand, a novel member of the tumor necrosis factor family. Cell 1993, 75, 1169–1178. [Google Scholar] [CrossRef]
- Peter, M.E.; Krammer, P.H. Mechanisms of CD95 (APO-1/Fas)-mediated apoptosis. Curr. Opin. Immunol. 1998, 10, 545–551. [Google Scholar] [CrossRef]
- Tibbetts, M.D.; Zheng, L.; Lenardo, M.J. The death effector domain protein family: Regulators of cellular homeostasis. Nat. Immunol. 2003, 4, 404–409. [Google Scholar] [CrossRef]
- Arakaki, R.; Yamada, A.; Kudo, Y.; Hayashi, Y.; Ishimaru, N. Mechanism of activation-induced cell death of T cells and regulation of FasL expression. Crit. Rev. Immunol. 2014, 34, 301–314. [Google Scholar] [CrossRef]
- De La Motte Rouge, T.; Corne, J.; Cauchois, A.; Le Boulch, M.; Poupon, C.; Henno, S.; Rioux-Leclercq, N.; Le Pabic, E.; Laviolle, B.; Catros, V.; et al. Serum CD95L Level Correlates with Tumor Immune Infiltration and Is a Positive Prognostic Marker for Advanced High-Grade Serous Ovarian Cancer. Mol. Cancer Res. 2019, 17, 2537–2548. [Google Scholar] [CrossRef]
- Ghose, A.; McCann, L.; Makker, S.; Mukherjee, U.; Gullapalli, S.V.N.; Erekkath, J.; Shih, S.; Mahajan, I.; Sanchez, E.; Uccello, M.; et al. Diagnostic biomarkers in ovarian cancer: Advances beyond CA125 and HE4. Ther. Adv. Med. Oncol. 2024, 16, 17588359241233225. [Google Scholar] [CrossRef]
- Horala, A.; Swiatly, A.; Matysiak, J.; Banach, P.; Nowak-Markwitz, E.; Kokot, Z.J. Diagnostic Value of Serum Angiogenesis Markers in Ovarian Cancer Using Multiplex Immunoassay. Int. J. Mol. Sci. 2017, 18, 123. [Google Scholar] [CrossRef]
- Maccio, A.; Madeddu, C. Inflammation and ovarian cancer. Cytokine 2012, 58, 133–147. [Google Scholar] [CrossRef]
- Gultekin, O.; Gonzalez-Molina, J.; Sarhan, D.; Groes-Kofoed, N.; Hassan, M.U.; Lehti, K.; Salehi, S. Systemic and tumor-specific inflammatory markers VCAM-1 and ICAM-1 as indicators of extent of surgery and oncologic outcome in advanced ovarian cancer. Transl. Oncol. 2025, 59, 102462. [Google Scholar] [CrossRef]
- Gupta, R.K.; Dholariya, S.; Radadiya, M.; Agarwal, P. NGAL/MMP-9 as a Biomarker for Epithelial Ovarian Cancer: A Case-Control Diagnostic Accuracy Study. Saudi J. Med. Med. Sci. 2022, 10, 25–30. [Google Scholar] [CrossRef]
- Lim, R.; Ahmed, N.; Borregaard, N.; Riley, C.; Wafai, R.; Thompson, E.W.; Quinn, M.A.; Rice, G.E. Neutrophil gelatinase-associated lipocalin (NGAL) an early-screening biomarker for ovarian cancer: NGAL is associated with epidermal growth factor-induced epithelio-mesenchymal transition. Int. J. Cancer 2007, 120, 2426–2434. [Google Scholar] [CrossRef]
- Fletcher, N.M.; Jiang, Z.; Ali-Fehmi, R.; Levin, N.K.; Belotte, J.; Tainsky, M.A.; Diamond, M.P.; Abu-Soud, H.M.; Saed, G.M. Myeloperoxidase and free iron levels: Potential biomarkers for early detection and prognosis of ovarian cancer. Cancer Biomark. 2011, 10, 267–275. [Google Scholar] [CrossRef]
- Tomas-Perez, S.; Oto, J.; Aghababyan, C.; Herranz, R.; Cuadros-Lozano, A.; Gonzalez-Canto, E.; Mc Cormack, B.; Arres, J.; Castano, M.; Cana, F.; et al. Increased levels of NETosis biomarkers in high-grade serous ovarian cancer patients’ biofluids: Potential role in disease diagnosis and management. Front. Immunol. 2023, 14, 1111344. [Google Scholar] [CrossRef]
- Li, Z.; Hou, Y.; Zhao, M.; Li, T.; Liu, Y.; Chang, J.; Ren, L. Serum amyloid a, a potential biomarker both in serum and tissue, correlates with ovarian cancer progression. J. Ovarian Res. 2020, 13, 67. [Google Scholar] [CrossRef]
- Hu, Z.D.; Wei, T.T.; Yang, M.; Ma, N.; Tang, Q.Q.; Qin, B.D.; Fu, H.T.; Zhong, R.Q. Diagnostic value of osteopontin in ovarian cancer: A meta-analysis and systematic review. PLoS ONE 2015, 10, e0126444. [Google Scholar] [CrossRef]
- Gianuzzi, X.; Palma-Ardiles, G.; Hernandez-Fernandez, W.; Pasupuleti, V.; Hernandez, A.V.; Perez-Lopez, F.R. Insulin growth factor (IGF) 1, IGF-binding proteins and ovarian cancer risk: A systematic review and meta-analysis. Maturitas 2016, 94, 22–29. [Google Scholar] [CrossRef]
- Nishikawa, H.; Ozaki, Y.; Nakanishi, T.; Blomgren, K.; Tada, T.; Arakawa, A.; Suzumori, K. The role of cathepsin B and cystatin C in the mechanisms of invasion by ovarian cancer. Gynecol. Oncol. 2004, 92, 881–886. [Google Scholar] [CrossRef]
- Aguilar-Lemarroy, A.; Romero-Ramos, J.E.; Olimon-Andalon, V.; Hernandez-Flores, G.; Lerma-Diaz, J.M.; Ortiz-Lazareno, P.C.; Morgan-Villela, G.; Del Toro-Arreola, S.; Bravo-Cuellar, A.; Jave-Suarez, L.F. Apoptosis induction in Jurkat cells and sCD95 levels in women’s sera are related with the risk of developing cervical cancer. BMC Cancer 2008, 8, 99. [Google Scholar] [CrossRef]
- Pavlik, E.J.; Ueland, F.R.; Miller, R.W.; Ubellacker, J.M.; DeSimone, C.P.; Elder, J.; Hoff, J.; Baldwin, L.; Kryscio, R.J.; van Nagell, J.R., Jr. Frequency and disposition of ovarian abnormalities followed with serial transvaginal ultrasonography. Obstet. Gynecol. 2013, 122, 210–217. [Google Scholar] [CrossRef]
- Timmerman, D.; Van Calster, B.; Testa, A.; Savelli, L.; Fischerova, D.; Froyman, W.; Wynants, L.; Van Holsbeke, C.; Epstein, E.; Franchi, D.; et al. Predicting the risk of malignancy in adnexal masses based on the Simple Rules from the International Ovarian Tumor Analysis group. Am. J. Obstet. Gynecol. 2016, 214, 424–437. [Google Scholar] [CrossRef]
- Webb, P.M.; Jordan, S.J. Epidemiology of epithelial ovarian cancer. Best Pract. Res. Clin. Obstet. Gynaecol. 2017, 41, 3–14. [Google Scholar] [CrossRef]
- Oral, E.; Sozen, I.; Uludag, S.; Demirkiran, F.; Ilvan, S.; Oncul, M.; Celik, H.G. The prevalence of endometrioma and associated malignant transformation in women over 40 years of age. J. Gynecol. Obstet. Hum. Reprod. 2020, 49, 101725. [Google Scholar] [CrossRef]
- Anjorin, A.O.; Olaofe, O.O.; Anjorin, A.O.; Omoniyi-Esan, G.O.; Komolafe, A.O. P53 marker expression in epithelial ovarian tumours in a centre in Nigeria-a descriptive study. BMC Womens Health 2024, 24, 639. [Google Scholar] [CrossRef]
- Prat, J.; D’Angelo, E.; Espinosa, I. Ovarian carcinomas: At least five different diseases with distinct histological features and molecular genetics. Hum. Pathol. 2018, 80, 11–27. [Google Scholar] [CrossRef] [PubMed]
- Hong, M.K.; Ding, D.C. Early Diagnosis of Ovarian Cancer: A Comprehensive Review of the Advances, Challenges, and Future Directions. Diagnostics 2025, 15, 406. [Google Scholar] [CrossRef] [PubMed]
- Zhou, L.; Yao, L.; Dai, L.; Zhu, H.; Ye, X.; Wang, S.; Cheng, H.; Ma, R.; Liu, H.; Cui, H.; et al. Ovarian endometrioid carcinoma and clear cell carcinoma: A 21-year retrospective study. J. Ovarian Res. 2021, 14, 63. [Google Scholar] [CrossRef] [PubMed]
- Cybulska, P.; Paula, A.D.C.; Tseng, J.; Leitao, M.M., Jr.; Bashashati, A.; Huntsman, D.G.; Nazeran, T.M.; Aghajanian, C.; Abu-Rustum, N.R.; DeLair, D.F.; et al. Molecular profiling and molecular classification of endometrioid ovarian carcinomas. Gynecol. Oncol. 2019, 154, 516–523. [Google Scholar] [CrossRef]
- Dhein, J.; Walczak, H.; Baumler, C.; Debatin, K.M.; Krammer, P.H. Autocrine T-cell suicide mediated by APO-1/(Fas/CD95). Nature 1995, 373, 438–441. [Google Scholar] [CrossRef]
- Weis, M.; Schlegel, J.; Kass, G.E.; Holmstrom, T.H.; Peters, I.; Eriksson, J.; Orrenius, S.; Chow, S.C. Cellular events in Fas/APO-1-mediated apoptosis in JURKAT T lymphocytes. Exp. Cell Res. 1995, 219, 699–708. [Google Scholar] [CrossRef]
- Olimon-Andalon, V.; Aguilar-Lemarroy, A.; Ratkovich-Gonzalez, S.; Uribe-Lopez, A.; Mariscal-Ramirez, I.; Delgadillo-Cristerna, R.; Ortiz-Lazareno, P.; Hernandez-Flores, G.; de Celis, R.; Bravo-Cuellar, A.; et al. Proapoptotic CD95L levels in normal human serum and sera of breast cancer patients. Tumour Biol. 2015, 36, 3669–3678. [Google Scholar] [CrossRef]
- Tamakoshi, A.; Nakachi, K.; Ito, Y.; Lin, Y.; Yagyu, K.; Kikuchi, S.; Watanabe, Y.; Inaba, Y.; Tajima, K.; Japan Collaborative Cohort Study Group. Soluble Fas level and cancer mortality: Findings from a nested case-control study within a large-scale prospective study. Int. J. Cancer 2008, 123, 1913–1916. [Google Scholar] [CrossRef]
- Hefler, L.; Mayerhofer, K.; Nardi, A.; Reinthaller, A.; Kainz, C.; Tempfer, C. Serum soluble Fas levels in ovarian cancer. Obstet. Gynecol. 2000, 96, 65–69. [Google Scholar] [CrossRef]
- Ma, Y.; Ye, F.; Lv, W.; Cheng, Q.; Chen, H.; Xie, X. Correlation between soluble Fas level and apoptosis of T cells in ovarian carcinoma. Eur. J. Obstet. Gynecol. Reprod. Biol. 2008, 138, 204–211. [Google Scholar] [CrossRef]
- Sheen-Chen, S.M.; Chen, H.S.; Eng, H.L.; Chen, W.J. Circulating soluble Fas in patients with breast cancer. World J. Surg. 2003, 27, 10–13. [Google Scholar] [CrossRef]
- Kushlinskii, N.E.; Britvin, T.A.; Abbasova, S.G.; Perevoshchikov, A.G.; Prorokov, V.V.; Kostanyan, I.A.; Knysh, V.I.; Lipkin, V.M. Soluble Fas antigen in the serum of patients with colon cancer. Bull. Exp. Biol. Med. 2001, 131, 361–363. [Google Scholar] [CrossRef]
- Nonomura, N.; Nishimura, K.; Ono, Y.; Fukui, T.; Harada, Y.; Takaha, N.; Takahara, S.; Okuyama, A. Soluble Fas in serum from patients with renal cell carcinoma. Urology 2000, 55, 151–155. [Google Scholar] [CrossRef] [PubMed]
- Kimura, M.; Tomita, Y.; Imai, T.; Saito, T.; Katagiri, A.; Tanikawa, T.; Takeda, M.; Takahashi, K. Significance of serum-soluble CD95 (Fas/APO-1) on prognosis in renal cell cancer patients. Br. J. Cancer 1999, 80, 1648–1651. [Google Scholar] [CrossRef] [PubMed][Green Version]
- Kondera-Anasz, Z.; Mielczarek-Palacz, A.; Sikora, J. Soluble Fas receptor and soluble Fas ligand in the serum of women with uterine tumors. Apoptosis 2005, 10, 1143–1149. [Google Scholar] [CrossRef] [PubMed]
- Wang, Q.; Feng, X.; Liu, X.; Zhu, S. Prognostic Value of Elevated Pre-treatment Serum CA-125 in Epithelial Ovarian Cancer: A Meta-Analysis. Front. Oncol. 2022, 12, 868061. [Google Scholar] [CrossRef]
- Chan, J.K.; Tian, C.; Kesterson, J.P.; Lin, K.Y.; Darcy, K.; Richardson, M.T.; Kapp, D.S.; Monk, B.J.; McNally, L.; Landrum, L.; et al. Preoperative and pre-chemotherapy CA-125 levels in high-risk early-stage ovarian cancer-An NRG/GOG study. Gynecol. Oncol. 2024, 181, 54–59. [Google Scholar] [CrossRef]
- Karamouza, E.; Glasspool, R.M.; Kelly, C.; Lewsley, L.A.; Carty, K.; Kristensen, G.B.; Ethier, J.L.; Kagimura, T.; Yanaihara, N.; Cecere, S.C.; et al. CA-125 Early Dynamics to Predict Overall Survival in Women with Newly Diagnosed Advanced Ovarian Cancer Based on Meta-Analysis Data. Cancers 2023, 15, 1823. [Google Scholar] [CrossRef]
- Muhammad, S.; Azwan, R.J.; Rita, R.S.; Susanti, R.; Yusrawati. The Role of Interleukin 6 (IL6), Cancer Antigen-125 (CA-125), and Human Epididymis Protein 4 (HE4) to predict tumor resectability in the advanced epithelial ovarian cancer patients. PLoS ONE 2023, 18, e0292282. [Google Scholar] [CrossRef]
- Hada, A.; Han, L.P.; Chen, Y.; Hu, Q.H.; Yuan, Y.; Liu, L. Comparison of the predictive performance of risk of malignancy indexes 1–4, HE4 and risk of malignancy algorithm in the triage of adnexal masses. J. Ovarian Res. 2020, 13, 46. [Google Scholar] [CrossRef]
- Xi, Q.P.; Pu, D.H.; Lu, W.N. Research on application value of combined detection of serum CA125, HE4 and TK1 in the diagnosis of ovarian cancer. Eur. Rev. Med. Pharmacol. Sci. 2017, 21, 4536–4541. [Google Scholar] [PubMed]
- Tian, Y.; Li, X.; Zhang, H.; Wang, Y.; Li, H.; Qin, Q. Serum NLR combined with CA125 and HE4 improves the diagnostic and prognostic efficiency in patients with ovarian cancer. Front. Oncol. 2024, 14, 1494051. [Google Scholar] [CrossRef]
- Xu, X.R.; Wang, X.; Zhang, H.; Liu, M.Y.; Chen, Q. The clinical significance of the combined detection of serum Smac, HE4 and CA125 in endometriosis-associated ovarian cancer. Cancer Biomark. 2018, 21, 471–477. [Google Scholar] [CrossRef] [PubMed]
- Hu, D.; Qian, J.; Yin, F.; Wei, B.; Wang, J.; Zhang, H.; Yang, H. Evaluation of serum CA125, HE4 and CA724 and the risk of ovarian malignancy algorithm score in the diagnosis of high-grade serous ovarian cancer. Eur. J. Obstet. Gynecol. Reprod. Biol. 2024, 297, 170–175. [Google Scholar] [CrossRef]
- Luo, H.J.; Hu, Z.D.; Cui, M.; Zhang, X.F.; Tian, W.Y.; Ma, C.Q.; Ren, Y.N.; Dong, Z.L. Diagnostic performance of CA125, HE4, ROMA, and CPH-I in identifying primary ovarian cancer. J. Obstet. Gynaecol. Res. 2023, 49, 998–1006. [Google Scholar] [CrossRef] [PubMed]
- Kampan, N.C.; Madondo, M.T.; Reynolds, J.; Hallo, J.; McNally, O.M.; Jobling, T.W.; Stephens, A.N.; Quinn, M.A.; Plebanski, M. Pre-operative sera interleukin-6 in the diagnosis of high-grade serous ovarian cancer. Sci. Rep. 2020, 10, 2213. [Google Scholar] [CrossRef]
- Hameed, S.; Abdulqader Jasim, H.; Sharief, M. Effect of Serum Level of Human Epididymis Protein 4 and Interleukin-6 as Biomarkers in Patients with Adnexal Mass. Arch. Razi Inst. 2022, 77, 1659–1671. [Google Scholar] [CrossRef]
- Santiago, A.E.; Paula, S.O.C.; Carvalho, A.T.; Candido, E.B.; Furtado, R.S.; Silva Filho, A.L.D. Systemic Inflammatory Patterns in Ovarian Cancer Patients: Analysis of Cytokines, Chemokines, and Microparticles. Rev. Bras. Ginecol. Obstet. 2023, 45, e780–e789. [Google Scholar] [CrossRef]
- Sanguinete, M.M.M.; Oliveira, P.H.; Martins-Filho, A.; Micheli, D.C.; Tavares-Murta, B.M.; Murta, E.F.C.; Nomelini, R.S. Serum IL-6 and IL-8 Correlate with Prognostic Factors in Ovarian Cancer. Immunol. Investig. 2017, 46, 677–688. [Google Scholar] [CrossRef]
- Dobrzycka, B.; Mackowiak-Matejczyk, B.; Terlikowska, K.M.; Kulesza-Bronczyk, B.; Kinalski, M.; Terlikowski, S.J. Serum levels of IL-6, IL-8 and CRP as prognostic factors in epithelial ovarian cancer. Eur. Cytokine Netw. 2013, 24, 106–113. [Google Scholar] [CrossRef]
- Han, C.; Bellone, S.; Siegel, E.R.; Altwerger, G.; Menderes, G.; Bonazzoli, E.; Egawa-Takata, T.; Pettinella, F.; Bianchi, A.; Riccio, F.; et al. A novel multiple biomarker panel for the early detection of high-grade serous ovarian carcinoma. Gynecol. Oncol. 2018, 149, 585–591. [Google Scholar] [CrossRef]
- Habel, A.; Xu, W.; Hadj Ahmed, M.; Stayoussef, M.; Bouaziz, H.; Ayadi, M.; Mezlini, A.; Larbi, A.; Yaacoubi-Loueslati, B. Identification of two theranostic biomarker panels for epithelial ovarian cancer. Cytokine 2023, 161, 156051. [Google Scholar] [CrossRef]
- Ryan, B.M.; Pine, S.R.; Chaturvedi, A.K.; Caporaso, N.; Harris, C.C. A combined prognostic serum interleukin-8 and interleukin-6 classifier for stage 1 lung cancer in the prostate, lung, colorectal, and ovarian cancer screening trial. J. Thorac. Oncol. 2014, 9, 1494–1503. [Google Scholar] [CrossRef] [PubMed]
- Crispim, P.C.A.; Jammal, M.P.; Antao, P.K.A.; Micheli, D.C.; Tavares-Murta, B.M.; Murta, E.F.C.; Nomelini, R.S. IL6, IL8, and IL10 in the distinction of malignant ovarian neoplasms and endometriomas. Am. J. Reprod. Immunol. 2020, 84, e13309. [Google Scholar] [CrossRef] [PubMed]
- Pawlik, W.; Pawlik, J.; Kozlowski, M.; Luczkowska, K.; Kwiatkowski, S.; Kwiatkowska, E.; Machalinski, B.; Cymbaluk-Ploska, A. The Clinical Importance of IL-6, IL-8, and TNF-alpha in Patients with Ovarian Carcinoma and Benign Cystic Lesions. Diagnostics 2021, 11, 1625. [Google Scholar] [CrossRef] [PubMed]
- Cheng, F.; Ma, X.; Cheng, Z.; Wang, Y.; Zhang, X.; Ma, C. Predict value of tumor markers combined with interleukins for therapeutic efficacy and prognosis in ovarian cancer patients. Am. J. Cancer Res. 2024, 14, 4868–4879. [Google Scholar] [CrossRef]
- Lawicki, S.; Gacuta-Szumarska, E.; Bedkowska, G.E.; Szmitkowski, M. Hematopoietic cytokines as tumor markers in gynecological malignancies. A multivariate analysis in epithelial ovarian cancer patients. Growth Factors 2012, 30, 357–366. [Google Scholar] [CrossRef]
- Lokshin, A.E.; Yurkovetsky, Z.; Nolen, B.; Marrangoni, A.M.; Velikokhatnaya, L.; Drukier, A.; Skates, S.; Gorelik, E. Multimarker assay for early diagnosis of ovarian cancer. Am. Assoc. Cancer Res. 2006, 66, 155. [Google Scholar]
- Munstedt, K.; Hackethal, A.; Eskef, K.; Hrgovic, I.; Franke, F.E. Prognostic relevance of granulocyte colony-stimulating factor in ovarian carcinomas. Arch. Gynecol. Obstet. 2010, 282, 301–305. [Google Scholar] [CrossRef]
- Moshkovskii, S.A.; Vlasova, M.A.; Pyatnitskiy, M.A.; Tikhonova, O.V.; Safarova, M.R.; Makarov, O.V.; Archakov, A.I. Acute phase serum amyloid A in ovarian cancer as an important component of proteome diagnostic profiling. Proteom. Clin. Appl. 2007, 1, 107–117. [Google Scholar] [CrossRef]
- Lin, H.Y.; Tan, G.Q.; Liu, Y.; Lin, S.Q. The prognostic value of serum amyloid A in solid tumors: A meta-analysis. Cancer Cell Int. 2019, 19, 62. [Google Scholar] [CrossRef]
- Choi, H.; Ignacio, R.M.C.; Lee, E.S.; Wilson, A.J.; Khabele, D.; Son, D.S. Augmented Serum Amyloid A1/2 Mediated by TNF-induced NF-kappaB in Human Serous Ovarian Epithelial Tumors. Immune Netw. 2017, 17, 121–127. [Google Scholar] [CrossRef] [PubMed]
- Odegaard, E.; Davidson, B.; Elgaaen, B.V.; Fagerhol, M.K.; Engh, V.; Onsrud, M.; Staff, A.C. Circulating calprotectin in ovarian carcinomas and borderline tumors of the ovary. Am. J. Obstet. Gynecol. 2008, 198, 418.E1–418.E7. [Google Scholar] [CrossRef] [PubMed]
- Viemann, D.; Barczyk, K.; Vogl, T.; Fischer, U.; Sunderkotter, C.; Schulze-Osthoff, K.; Roth, J. MRP8/MRP14 impairs endothelial integrity and induces a caspase-dependent and -independent cell death program. Blood 2007, 109, 2453–2460. [Google Scholar] [CrossRef] [PubMed]
- Bai, Y.; Li, L.D.; Li, J.; Lu, X. Prognostic values of S100 family members in ovarian cancer patients. BMC Cancer 2018, 18, 1256. [Google Scholar] [CrossRef]
- Zivny, J.H.; Leahomschi, S.; Klener, P., Jr.; Zivny, J.; Haluzik, M.; Cibula, D. Comparison of Plasma Osteopontin Levels between Patients with Borderline Ovarian Tumours and Serous Ovarian Carcinoma. Folia Biol. 2016, 62, 258–262. [Google Scholar] [CrossRef]
- Hu, H.; Liu, Z.; Liu, C. Correlation of OPN gene expression with proliferation and apoptosis of ovarian cancer cells and prognosis of patients. Oncol. Lett. 2019, 17, 2788–2794. [Google Scholar] [CrossRef]
- Rani, S.; Sehgal, A.; Kaur, J.; Pandher, D.K.; Punia, R.S. Osteopontin as a Tumor Marker in Ovarian Cancer. J. Midlife Health 2022, 13, 200–205. [Google Scholar] [CrossRef]
- Jia, H.; Zhang, Q.; Liu, F.; Zhou, D. Prognostic value of MMP-2 for patients with ovarian epithelial carcinoma: A systematic review and meta-analysis. Arch. Gynecol. Obstet. 2017, 295, 689–696. [Google Scholar] [CrossRef]
- Liu, C. Pathological and prognostic significance of matrix metalloproteinase-2 expression in ovarian cancer: A meta-analysis. Clin. Exp. Med. 2016, 16, 375–382. [Google Scholar] [CrossRef]
- Liu, C.; Shen, Y.; Tan, Q. Diagnostic and prognostic values of MMP-9 expression in ovarian cancer: A study based on bioinformatics analysis and meta-analysis. Int. J. Biol. Markers 2023, 38, 15–24. [Google Scholar] [CrossRef] [PubMed]
- Li, L.N.; Zhou, X.; Gu, Y.; Yan, J. Prognostic value of MMP-9 in ovarian cancer: A meta-analysis. Asian Pac. J. Cancer Prev. 2013, 14, 4107–4113. [Google Scholar] [CrossRef] [PubMed]
- Al-Alem, L.; Curry, T.E., Jr. Ovarian cancer: Involvement of the matrix metalloproteinases. Reproduction 2015, 150, R55–R64. [Google Scholar] [CrossRef] [PubMed]
- Kolwijck, E.; Kos, J.; Obermajer, N.; Span, P.N.; Thomas, C.M.; Massuger, L.F.; Sweep, F.C. The balance between extracellular cathepsins and cystatin C is of importance for ovarian cancer. Eur. J. Clin. Investig. 2010, 40, 591–599. [Google Scholar] [CrossRef]
- Mosig, R.A.; Lobl, M.; Senturk, E.; Shah, H.; Cohen, S.; Chudin, E.; Fruscio, R.; Marchini, S.; D’Incalci, M.; Sachidanandam, R.; et al. IGFBP-4 tumor and serum levels are increased across all stages of epithelial ovarian cancer. J. Ovarian Res. 2012, 5, 3. [Google Scholar] [CrossRef]
- Zheng, R.; Chen, W.; Xia, W.; Zheng, J.; Zhou, Q. The Prognostic Values of the Insulin-Like Growth Factor Binding Protein Family in Ovarian Cancer. Biomed Res. Int. 2020, 2020, 7658782. [Google Scholar] [CrossRef]
- Walker, G.; MacLeod, K.; Williams, A.R.; Cameron, D.A.; Smyth, J.F.; Langdon, S.P. Insulin-like growth factor binding proteins IGFBP3, IGFBP4, and IGFBP5 predict endocrine responsiveness in patients with ovarian cancer. Clin. Cancer Res. 2007, 13, 1438–1444. [Google Scholar] [CrossRef]









| Characteristic | Controls n (%) | Benign Tumors n (%) | Malignant Tumors n (%) | p-Value (*) |
|---|---|---|---|---|
| Ultrasonographic Features | 0.0441 | |||
| Simple | – | 11 (12.6%) | 0 (0%) | |
| Complex | – | 76 (87.4%) | 40 (100%) | |
| Laterality | 0.3322 | |||
| Unilateral | – | 75 (86.2%) | 31 (77.5%) | |
| Bilateral | – | 12 (13.8%) | 9 (22.5%) | |
| Tumor Size (mean ± SD) | 8.36 ± 4.21 | 12.18 ± 5.71 | <0.0001 | |
| <5 cm | – | 14 (16.1%) | 1 (2.5%) | |
| 5–10 cm | – | 54 (62.1%) | 18 (45.0%) | |
| >10 cm | – | 19 (21.8%) | 21 (52.5%) |
| Comparison | Classifier | AUC | AUC SD | Optimal Threshold | Sensitivity | Specificity | Youden J |
|---|---|---|---|---|---|---|---|
| Malignant vs. Benign | ROMA | 0.814 | 51.520 | 0.771 | 0.785 | 0.556 | |
| Malignant vs. Benign | Classifier_1 | 0.831 | 0.112 | 0.275 | 0.800 | 0.848 | 0.648 |
| Malignant vs. Benign | Classifier_2 | 0.880 | 0.084 | 0.444 | 0.800 | 0.937 | 0.737 |
| Any Tumor vs. Control | ROMA | 0.708 | 50.050 | 0.404 | 1.000 | 0.404 | |
| Any Tumor vs. Control | Classifier_1 | 0.947 | 0.036 | 0.893 | 0.895 | 0.889 | 0.784 |
| Any Tumor vs. Control | Classifier_2 | 0.917 | 0.113 | 0.934 | 0.833 | 1.000 | 0.833 |
| Malignant vs. Others | ROMA | 0.821 | 51.520 | 0.771 | 0.807 | 0.578 | |
| Malignant vs. Others | Classifier_1 | 0.830 | 0.125 | 0.270 | 0.800 | 0.864 | 0.664 |
| Malignant vs. Others | Classifier_2 | 0.896 | 0.091 | 0.393 | 0.829 | 0.909 | 0.738 |
Disclaimer/Publisher’s Note: The statements, opinions and data contained in all publications are solely those of the individual author(s) and contributor(s) and not of MDPI and/or the editor(s). MDPI and/or the editor(s) disclaim responsibility for any injury to people or property resulting from any ideas, methods, instructions or products referred to in the content. |
© 2025 by the authors. Licensee MDPI, Basel, Switzerland. This article is an open access article distributed under the terms and conditions of the Creative Commons Attribution (CC BY) license (https://creativecommons.org/licenses/by/4.0/).
Share and Cite
Molina-Pineda, A.; Jauregui-Salazar, F.O.; Zamudio-Martínez, A.G.; Vizcarra-Ramos, S.; García-Gómez, J.; González-Amézquita, B.; Aguilar-Vazquez, L.M.; Villegas-Pacheco, R.; Hernandez-Gutierrez, R.; Jave-Suárez, L.F.; et al. Utility of a Multimodal Biomarker Panel and Serum Proapoptotic Activity to Refine Diagnosis of Ovarian Adnexal Masses. Diseases 2025, 13, 342. https://doi.org/10.3390/diseases13100342
Molina-Pineda A, Jauregui-Salazar FO, Zamudio-Martínez AG, Vizcarra-Ramos S, García-Gómez J, González-Amézquita B, Aguilar-Vazquez LM, Villegas-Pacheco R, Hernandez-Gutierrez R, Jave-Suárez LF, et al. Utility of a Multimodal Biomarker Panel and Serum Proapoptotic Activity to Refine Diagnosis of Ovarian Adnexal Masses. Diseases. 2025; 13(10):342. https://doi.org/10.3390/diseases13100342
Chicago/Turabian StyleMolina-Pineda, Andrea, Francisco Osiel Jauregui-Salazar, Aleyda Guadalupe Zamudio-Martínez, Sayma Vizcarra-Ramos, Jesús García-Gómez, Benjamín González-Amézquita, Lizeth Montserrat Aguilar-Vazquez, Raquel Villegas-Pacheco, Rodolfo Hernandez-Gutierrez, Luis Felipe Jave-Suárez, and et al. 2025. "Utility of a Multimodal Biomarker Panel and Serum Proapoptotic Activity to Refine Diagnosis of Ovarian Adnexal Masses" Diseases 13, no. 10: 342. https://doi.org/10.3390/diseases13100342
APA StyleMolina-Pineda, A., Jauregui-Salazar, F. O., Zamudio-Martínez, A. G., Vizcarra-Ramos, S., García-Gómez, J., González-Amézquita, B., Aguilar-Vazquez, L. M., Villegas-Pacheco, R., Hernandez-Gutierrez, R., Jave-Suárez, L. F., & Aguilar-Lemarroy, A. (2025). Utility of a Multimodal Biomarker Panel and Serum Proapoptotic Activity to Refine Diagnosis of Ovarian Adnexal Masses. Diseases, 13(10), 342. https://doi.org/10.3390/diseases13100342

