error_outline You can access the new MDPI.com website here. Explore and share your feedback with us.
 
 
Sign in to use this feature.

Years

Between: -

Subjects

remove_circle_outline
remove_circle_outline
remove_circle_outline
remove_circle_outline
remove_circle_outline
remove_circle_outline
remove_circle_outline
remove_circle_outline
remove_circle_outline

Journals

remove_circle_outline
remove_circle_outline
remove_circle_outline
remove_circle_outline
remove_circle_outline
remove_circle_outline
remove_circle_outline
remove_circle_outline
remove_circle_outline
remove_circle_outline
remove_circle_outline
remove_circle_outline
remove_circle_outline
remove_circle_outline
remove_circle_outline
remove_circle_outline
remove_circle_outline
remove_circle_outline
remove_circle_outline
remove_circle_outline
remove_circle_outline
remove_circle_outline
remove_circle_outline
remove_circle_outline
remove_circle_outline
remove_circle_outline
remove_circle_outline
remove_circle_outline
remove_circle_outline
remove_circle_outline
remove_circle_outline
remove_circle_outline

Article Types

Countries / Regions

remove_circle_outline
remove_circle_outline
remove_circle_outline
remove_circle_outline
remove_circle_outline
remove_circle_outline
remove_circle_outline
remove_circle_outline

Search Results (2,469)

Search Parameters:
Keywords = comparative institutional analysis

Order results
Result details
Results per page
Select all
Export citation of selected articles as:
22 pages, 1330 KB  
Article
Configurational Pathways to Technology Venture Creation: How Spousal Endorsement and Informal Support Enable Omani Women’s Entrepreneurship
by Husam N. Yasin, Samir Hammami, Ahmed Samour and Faris Alshubiri
Adm. Sci. 2026, 16(1), 32; https://doi.org/10.3390/admsci16010032 - 8 Jan 2026
Abstract
This study investigates the configurational pathways enabling women in Oman to translate entrepreneurial intentions into technology venture creation. By integrating institutional theory and resource-based view, we develop a novel framework examining how formal institutional support (FIS), informal institutional support (IIS), and digital self-efficacy [...] Read more.
This study investigates the configurational pathways enabling women in Oman to translate entrepreneurial intentions into technology venture creation. By integrating institutional theory and resource-based view, we develop a novel framework examining how formal institutional support (FIS), informal institutional support (IIS), and digital self-efficacy (DSE) interact in Oman’s conservative context. We emphasize the significant enabling role of work–life balance resources (WLBR) and the cultural legitimacy of spousal endorsement. Our mixed-methods design utilizes survey data from 418 female IT graduates and 20 semi-structured interviews, analyzed through fuzzy-set Qualitative Comparative Analysis (fsQCA). The findings indicate that FIS predicts entrepreneurial intention (β = 0.34, p < 0.001) but not venture creation (OR = 0.85, p = 0.298), revealing a visibility gap in policy implementation. IIS predicts venture creation (OR = 1.43, p = 0.033), with spousal endorsement acting as a cultural legitimacy signal. DSE alone fails to predict venture creation but is vital when combined with WLBR. FsQCA identifies a sufficient configuration pathway characterized by the combination of spousal endorsement, domestic support, DSE, and WLBR with solution consistency of 0.93 and coverage of 0.78. WLBR is a necessary condition with necessity consistency of 0.96, demonstrating that venture creation is improbable without it. Qualitative evidence shows founders reposition conservative norms as legitimacy signals, while non-founders emphasize funding barriers despite policy awareness. We recommend that policymakers subsidize care infrastructure, leverage women-led community networks for targeted outreach, and formalize state-backed legitimacy programs that reduce kinship dependency while building autonomy-focused alternatives. Full article
(This article belongs to the Section Gender, Race and Diversity in Organizations)
Show Figures

Figure 1

18 pages, 7628 KB  
Article
Bio-Inspired Ghost Imaging: A Self-Attention Approach for Scattering-Robust Remote Sensing
by Rehmat Iqbal, Yanfeng Song, Kiran Zahoor, Loulou Deng, Dapeng Tian, Yutang Wang, Peng Wang and Jie Cao
Biomimetics 2026, 11(1), 53; https://doi.org/10.3390/biomimetics11010053 - 8 Jan 2026
Abstract
Ghost imaging (GI) offers a robust framework for remote sensing under degraded visibility conditions. However, atmospheric scattering in phenomena such as fog introduces significant noise and signal attenuation, thereby limiting its efficacy. Inspired by the selective attention mechanisms of biological visual systems, this [...] Read more.
Ghost imaging (GI) offers a robust framework for remote sensing under degraded visibility conditions. However, atmospheric scattering in phenomena such as fog introduces significant noise and signal attenuation, thereby limiting its efficacy. Inspired by the selective attention mechanisms of biological visual systems, this study introduces a novel deep learning (DL) architecture that embeds a self-attention mechanism to enhance GI reconstruction in foggy environments. The proposed approach mimics neural processes by modeling both local and global dependencies within one-dimensional bucket measurements, enabling superior recovery of image details and structural coherence even at reduced sampling rates. Extensive simulations on the Modified National Institute of Standards and Technology (MNIST) and a custom Human-Horse dataset demonstrate that our bio-inspired model outperforms conventional GI and convolutional neural network-based methods. Specifically, it achieves Peak Signal-to-Noise Ratio (PSNR) values between 24.5–25.5 dB/m and Structural Similarity Index Measure (SSIM) values of approximately 0.8 under high scattering conditions (β  3.0 dB/m) and moderate sampling ratios (N  50%). A comparative analysis confirms the critical role of the self-attention module, providing high-quality image reconstruction over baseline techniques. The model also maintains computational efficiency, with inference times under 0.12 s, supporting real-time applications. This work establishes a new benchmark for bio-inspired computational imaging, with significant potential for environmental monitoring, autonomous navigation and defense systems operating in adverse weather. Full article
(This article belongs to the Special Issue Bionic Vision Applications and Validation)
Show Figures

Figure 1

39 pages, 6731 KB  
Article
Implementation Pathways for the Sustainable Development of China’s 3D Printing Industry Under the “Dual Carbon” Goals: Policy Optimization and Technological Innovation
by Liuyu Xuan and Yu Zhao
Sustainability 2026, 18(2), 591; https://doi.org/10.3390/su18020591 - 7 Jan 2026
Abstract
This study systematically examines the policy and technological pathways for the sustainable development of China’s 3D printing industry under the “Dual Carbon” goals. A three-dimensional sustainability framework is developed, integrating resource efficiency, environmental performance, and socio-economic value. Based on this framework, the study [...] Read more.
This study systematically examines the policy and technological pathways for the sustainable development of China’s 3D printing industry under the “Dual Carbon” goals. A three-dimensional sustainability framework is developed, integrating resource efficiency, environmental performance, and socio-economic value. Based on this framework, the study conducts a full-process analysis covering design, material preparation, manufacturing, post-processing, use, and recycling stages. The analysis identifies key carbon-reduction mechanisms of 3D printing, including material savings, reduced energy consumption, lightweight-enabled emission reduction, and distributed manufacturing. A comparative analysis of China, the European Union, and the United States reveals major constraints in China’s 3D printing sector, particularly in top-level policy design, standardization systems, legal frameworks, industrial coordination, and low-carbon core technologies. Based on these findings, the study proposes a dual-driven development pathway integrating policy optimization and technological innovation. From an institutional perspective, this pathway emphasizes green policy incentives, including strategic planning, standard setting, green finance, and collaborative governance. From a technological perspective, it highlights the importance of low-carbon material development, refined energy-efficiency management, life-cycle carbon accounting platforms, and value creation across the product life cycle. Overall, the study demonstrates that effective policy–technology synergy is essential for transforming theoretical carbon-reduction potential into scalable and practical outcomes, providing a systematic analytical framework for academic research and actionable guidance for policymakers and industry stakeholders. Full article
Show Figures

Figure 1

17 pages, 1521 KB  
Article
Religion and Continuity for Children in Care—An Examination of Public Views in 40 Countries
by Zacky Dhaffa Pratama and Marit Skivenes
Soc. Sci. 2026, 15(1), 30; https://doi.org/10.3390/socsci15010030 - 6 Jan 2026
Abstract
This comparative study, the first to date, examines how representative samples of citizens across 40 OECD countries (N = 41,232) balance religion and child welfare when deciding whether to move a five-year-old thriving in foster care to match parental religion. Using a vignette [...] Read more.
This comparative study, the first to date, examines how representative samples of citizens across 40 OECD countries (N = 41,232) balance religion and child welfare when deciding whether to move a five-year-old thriving in foster care to match parental religion. Using a vignette experiment and six hypotheses, the analysis links religiosity, perceived religious rights, authoritarian values, institutional context, and confidence in child protection to placement preferences. A large majority (88%) would not move the child, prioritising stability and well-being. The results show a trust “paradox” in which higher confidence in child protection correlates with support for moving the child. Justifications show broad appeal to the best interest principle across opposing choices. Deference to professional assessment varies markedly across countries, indicating divergent authority of social work expertise. Findings underscore the need to operationalise the best interests standard and to account for institutional context, while policymakers should recognise stable placements as the public default. Full article
(This article belongs to the Special Issue Social Work on Community Practice and Child Protection)
Show Figures

Graphical abstract

26 pages, 625 KB  
Article
An Exploratory Study of the Impact International Tourism Development Has upon Income Inequality in Selected Baltic States
by Rūta Laučienė and Daiva Labanauskaitė
Sustainability 2026, 18(2), 581; https://doi.org/10.3390/su18020581 - 6 Jan 2026
Abstract
Over the past decades, the tourism sector has grown into one of the rapidly expanding sectors in the global economy, becoming an important source of income generation and distribution. Even though tourism development is associated with economic growth and increased employment, its impact [...] Read more.
Over the past decades, the tourism sector has grown into one of the rapidly expanding sectors in the global economy, becoming an important source of income generation and distribution. Even though tourism development is associated with economic growth and increased employment, its impact on income inequality remains ambiguous and depends on economic, institutional and social conditions. The aim of this study is to assess the impact of international tourism receipts on income inequality in Lithuania, Latvia and Estonia in the period of 2004–2024. This study employed a comparative analysis of scientific literature and a multiple regression model based on macroeconomic indicators. The results showed that international tourism receipts did not have a statistically significant impact on income inequality in any of the Baltic countries. However, the robust model analysis confirmed and strengthened the main model results: international tourism in Latvia reduced income inequality but increased it in Estonia. In Lithuania, the impact remained insignificant. Foreign direct investment in Lithuania and GDP per capita in Latvia were statistically significant in explaining income inequality. The findings highlight that the determinants of inequality vary across the Baltic States. Full article
(This article belongs to the Section Tourism, Culture, and Heritage)
Show Figures

Figure 1

13 pages, 321 KB  
Review
Displacement and Higher Education: A Review of the Research on Ukraine
by Elena Denisova-Schmidt and Olha Marmilova
Soc. Sci. 2026, 15(1), 29; https://doi.org/10.3390/socsci15010029 - 6 Jan 2026
Abstract
This paper provides a systematic review of scholarly and gray literature on the education of displaced Ukrainian students and scholars in the aftermath of the 2022 Russian invasion. Drawing on 119 papers published between 2022 and 2025, the analysis identifies major research themes, [...] Read more.
This paper provides a systematic review of scholarly and gray literature on the education of displaced Ukrainian students and scholars in the aftermath of the 2022 Russian invasion. Drawing on 119 papers published between 2022 and 2025, the analysis identifies major research themes, including the sudden disruption of education, challenges of integration into host countries, psychological well-being, risks of long-term brain drain, and the emerging agency and resilience of displaced learners. This review highlights a clear shift in the literature from documenting immediate humanitarian responses toward examining long-term adaptation, equity, and institutional support mechanisms, accompanied by increasing methodological diversity and rigor. Despite these advances, significant gaps remain: few studies adopt longitudinal or comparative perspectives and underrepresented groups such as internally displaced students, LGBTQ+ learners, students with disabilities, and international students remain largely overlooked. The paper concludes with recommendations for future research and policy development, emphasizing the need for inclusive, sustainable, and evidence-based strategies to support displaced Ukrainian students and scholars in both the short and long term. Full article
(This article belongs to the Special Issue Exploring Higher Education Access for Displaced Populations)
Show Figures

Figure 1

18 pages, 1314 KB  
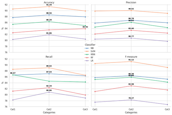
Article
Opinion Mining-Driven Classification Model for Early Autism Spectrum Disorders Identification Based on Standardized Assessments
by José Roberto Grande-Ramírez, Eduardo Roldán-Reyes, Guillermo Cortés-Robles, Jesús Delgado-Maciel, Marisol Morales-Saucedo and Marco Antonio Díaz-Martínez
Technologies 2026, 14(1), 36; https://doi.org/10.3390/technologies14010036 - 5 Jan 2026
Viewed by 106
Abstract
The efforts to achieve early detection of autism spectrum disorders (ASD) are becoming increasingly important due to the high prevalence that continues to persist globally. The World Health Organization (WHO) and other official institutions agree that in marginalized regions, it is urgently necessary [...] Read more.
The efforts to achieve early detection of autism spectrum disorders (ASD) are becoming increasingly important due to the high prevalence that continues to persist globally. The World Health Organization (WHO) and other official institutions agree that in marginalized regions, it is urgently necessary to develop effective alternatives and methods to improve the quality of life of children and their families. This study presents an integrated model for the early detection of ASD, based on the analysis of parental observations and supported by validated diagnostic tools. The proposed approach consists of four sequential modules, aiming to improve early detection through techniques such as natural language processing (NLP) and machine learning (ML) metrics. Records from two Latin American countries were standardized, thereby consolidating a single database comprising 153 records of children aged 2 to 6 years. The Parent Interview Instrument (PII) was administered by specialists to caregivers and subsequently compared with standardized tests. Encouraging results were obtained from the support vector machine (SVM) classification algorithm, yielding an accuracy range of 89.88–91.34%, a maximum precision of 90.02%, a recall of 89.02%, and a maximum F-measure of 91.12%. The results of the case study allow us to identify disorders related to autism, such as the repetition of behaviors, difficulties in social interaction, and issues with verbal expression. This contribution aligns with the United Nations Sustainable Development Goal 3, which promotes health and well-being. Full article
Show Figures

Figure 1

27 pages, 2446 KB  
Article
Machine Learning & Artificial Intelligence Powered Credit Scoring Models for Islamic Microfinance Institutions: A Blockchain Approach
by Mohammad Mushfiqul Haque Mukit, Fakhrul Hasan, Tonmoy Choudhury, Amer Al Fadli and Abubaker Fadul
Risks 2026, 14(1), 12; https://doi.org/10.3390/risks14010012 - 5 Jan 2026
Viewed by 76
Abstract
Islamic Microfinance Institutions (IMFIs) encounter distinct difficulties with credit scoring because they need to follow Shariah principles that combine riba bans with fair financial dealings regulations. Conventional credit scoring models exhibit two shortcomings: a poor capability to incorporate non-financial behavioral data and inadequate [...] Read more.
Islamic Microfinance Institutions (IMFIs) encounter distinct difficulties with credit scoring because they need to follow Shariah principles that combine riba bans with fair financial dealings regulations. Conventional credit scoring models exhibit two shortcomings: a poor capability to incorporate non-financial behavioral data and inadequate support for Islamic Microfinance Institutions’ requirements. Researchers use machine learning coupled with blockchain technology to create an adaptive Shariah-compliant credit scoring method that solves problems found in standard evaluation systems. Using a dataset of 1275 farmers with 52 weeks of transaction data, we implemented and compared three ML models: Linear Regression, Random Forest, and Gradient Boosting. Data preparation involved addressing 53% missing transaction data, followed by summing weekly financial activity to prepare it for predictive evaluations. Our analysis shows that the Random Forest model produced the best results with an R-squared value of 0.87 and a Mean Squared Error (MSE) of 12.4. In creditworthiness binary classification tasks, Gradient Boosting delivered an F1 score of 0.91 while maintaining precision at 0.89 and recall at 0.93. Blockchain integration exists to protect data through secure mechanisms that also conserve Islamic financial integrity and promote transparency. The research shows how ML and Blockchain technology enable fundamental changes in IMFIs by delivering elevated predictive accuracy, operational enhancements, and complete transparency. The conceptual framework guides ethical financial inclusion strategy by offering a solution for marginalized communities, but remains consistent with global sustainability objectives. The research established foundational elements for implementing cutting-edge technologies within IMFIs, which will promote new economic growth and build confidence in Shariah-compliant financial systems. Full article
(This article belongs to the Special Issue Artificial Intelligence Risk Management)
Show Figures

Figure 1

14 pages, 252 KB  
Article
Personalised Psychological Care in Hospitals: An Organisational Model of Integrated, Patient- and Staff-Centred Services (2019–2024)
by Daniela Pia Rosaria Chieffo, Valentina Massaroni, Valentina Delle Donne, Letizia Lafuenti, Laura Monti, Valentina Arcangeli, Federica Moriconi, Daniele Ferrarese, Roberta Galluzzi, Eugenio Maria Mercuri, Gabriele Sani, Giampaolo Tortora and Antonio Gasbarrini
J. Pers. Med. 2026, 16(1), 30; https://doi.org/10.3390/jpm16010030 - 5 Jan 2026
Viewed by 63
Abstract
Background: Psychological services within hospitals are essential to delivering integrated, patient-centred care, yet in many health systems they remain fragmented, variably organised, or confined to specific medical specialties. The Clinical Psychology Unit of the Fondazione Policlinico Universitario Agostino Gemelli, Istituto di Ricerca [...] Read more.
Background: Psychological services within hospitals are essential to delivering integrated, patient-centred care, yet in many health systems they remain fragmented, variably organised, or confined to specific medical specialties. The Clinical Psychology Unit of the Fondazione Policlinico Universitario Agostino Gemelli, Istituto di Ricerca e Cura a Carattere Scientifico (IRCCS), represents one of the few examples of a hospital-wide psychological governance model in Italy, but its organisational structure and longitudinal activity have not previously been systematically described. Objective: This study (I) describes the organisational design and operational components of the Gemelli Unit; (II) compares it with international organisational models using a typological framework; and (III) examines its resilience and adaptive capacity during the coronavirus disease 2019 (COVID-19) pandemic. Methods: A descriptive–narrative approach was adopted, integrating institutional documentation, routinely collected service data (2019–2024), anonymised case vignettes, and a structured comparison with national and international psychological care structures. The analysis was informed by theoretical models of integrated health-care delivery and by Donabedian’s structure–process–outcome framework. Results: Between 2019 and 2024, psychological interventions increased from 28,878 to 47,076 (+63%), with a post-pandemic average of 41,868 annual interventions. In 2024, the Unit supported 2150 patients and 340 healthcare professionals, with psycho-oncology accounting for approximately one-third of all activities. The model integrates clinical activity, staff support, conflict management, research, and training under a centralised governance structure, ensuring hospital-wide coverage and coordinated referral pathways. The comparative analysis identified four international organisational types—department-based, liaison/specialty-based, structured health-system, and academic–clinical hybrid—highlighting the hybrid and transversal nature of the Gemelli Unit and its capacity to maintain and adapt services during the COVID-19 emergency. Conclusions: The Gemelli Unit represents a distinctive hospital-wide organisational model that combines centralised governance, transversal deployment, personalised care, and structured support for healthcare professionals. These characteristics position it as a potentially transferable benchmark for health systems seeking to integrate psychological care into core organisational and clinical processes. Future work should prioritise the development of standardised outcome indicators and national frameworks to support the evaluation and harmonisation of hospital-based psychological services. Full article
(This article belongs to the Special Issue Personalized Medicine for Clinical Psychology)
31 pages, 3854 KB  
Article
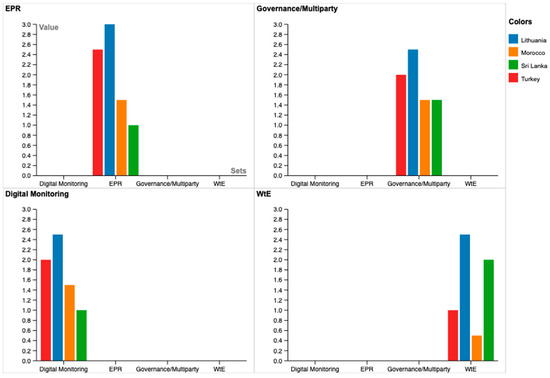
Global Waste Management Trends in the Context of Sports and Recreation Areas: Perspectives from Turkey, Lithuania, Morocco, and Sri Lanka
by Dalia Perkumienė, Ahmet Atalay, Larbi Safaa, Daiva Šiliekien, Laima Česonienė, Udaya Mohan and Aidanas Perkumas
Sustainability 2026, 18(1), 522; https://doi.org/10.3390/su18010522 - 5 Jan 2026
Viewed by 138
Abstract
This study presents a comprehensive approach to the integration of trend practices in waste management processes within sports and recreation facilities, focusing on four countries: Turkey, Lithuania, Morocco, and Sri Lanka. The aim of the study is to identify the social, technological, managerial, [...] Read more.
This study presents a comprehensive approach to the integration of trend practices in waste management processes within sports and recreation facilities, focusing on four countries: Turkey, Lithuania, Morocco, and Sri Lanka. The aim of the study is to identify the social, technological, managerial, and behavioral factors shaping waste management practices and trends in these areas and to provide a comparative cross-country analysis. The research was conducted using a qualitative research design. Data were collected from a total of 96 experts across the four countries through a semi-structured interview form. The data obtained were analyzed using thematic analysis, and findings were classified under the themes of infrastructure, policy, technology, governance, and awareness. Based on the analysis, the findings reveal that Lithuania stands out with its strong digital infrastructure grounded in the EU legal framework; Turkey, despite its high potential, experiences a behavior–intention gap; Morocco exhibits institutional resistance and regime lock-in; while Sri Lanka demonstrates a community-based yet institutionally weak structure. Overall, the research highlights that sustainable waste management depends not only on technical infrastructure but also on the holistic interaction of socio-technical factors such as cultural norms, institutional coordination, and behavioral alignment. Full article
Show Figures

Figure 1

19 pages, 343 KB  
Article
Configuration Paths of Enterprise Digital Innovation Driven by Digital Technology Affordance: A Dynamic QCA Analysis Based on the TOE Framework
by Zhe Zhang, Haiqing Hu and Fangnan Liu
Sustainability 2026, 18(1), 516; https://doi.org/10.3390/su18010516 - 4 Jan 2026
Viewed by 123
Abstract
Amid the expansive evolution of the digital economy and the emergence of enhanced productivity paradigms, exploring the ways in which digital technology affordance propels corporate digital innovation via multifaceted cooperative routes is essential for reconfiguring industrial ecosystems, securing digital market advantages, and promoting [...] Read more.
Amid the expansive evolution of the digital economy and the emergence of enhanced productivity paradigms, exploring the ways in which digital technology affordance propels corporate digital innovation via multifaceted cooperative routes is essential for reconfiguring industrial ecosystems, securing digital market advantages, and promoting superior advancement. This investigation employs the TOE model, merging fuzzy-set qualitative comparative analysis (fsQCA) with regression analysis. Using data from 2206 listed manufacturing companies from the A-share exchanges (2010–2023), it identifies multiple antecedent configuration pathways of digital technology affordance and examines their differential impacts on enterprise digital innovation. Key findings include the following: (1) no solitary factor serves as an obligatory prerequisite for high-quality digital technology affordance. (2) Four configuration pathways were identified: technology-organization-environment tripartite-propelled, technology-organization collaborative-propelled, technology-environment collaborative-propelled, and organization-environment collaborative-propelled variants. (3) The influence of digital technology affordance on digital innovation shows conditional dependence. Under the ternary-driven “technology-organization-environment” or synergy-driven “technology-organization” configurations, and absent conflicting enterprise goals, digital technology affordance promotes digital product innovation. Supported by collaborative configurations of technological investment, digital infrastructure, highly educated talent, institutional measures, and public service efficiency, it fosters digital process innovation. However, isolated technological investment, employees’ educational attainment, and institutional measures inhibit business model innovation. Other configurations lack significant impacts on digital business model innovation. This study elucidates the generation mechanism of digital technology affordance using configuration theory, offering empirical insights for managers to enhance digital innovation and drive high-quality economic development. The study enhances the theoretical depth by exploring technological foundations of digital technologies and addressing generalizability through framework adaptations for global contexts. Full article
(This article belongs to the Special Issue AI-Driven Entrepreneurship and Sustainable Business Innovation)
Show Figures

Figure 1

13 pages, 617 KB  
Article
Psychometric Validation of the Depression, Anxiety and Stress Scale (DASS-21) in Portuguese Youth Transitioning to Higher Education
by Luís Loureiro, Ana Teresa Pedreiro, Rosa Simões, Inês Batista, Amorim Rosa and Tânia Morgado
Healthcare 2026, 14(1), 128; https://doi.org/10.3390/healthcare14010128 - 4 Jan 2026
Viewed by 282
Abstract
Background/Objectives: The transition to higher education is a critical phase of human development that makes adolescents and young adults particularly vulnerable to mental health problems, such as depression, anxiety, and stress. This study aimed to evaluate the psychometric properties of the Portuguese [...] Read more.
Background/Objectives: The transition to higher education is a critical phase of human development that makes adolescents and young adults particularly vulnerable to mental health problems, such as depression, anxiety, and stress. This study aimed to evaluate the psychometric properties of the Portuguese version of the Depression, Anxiety and Stress Scale-21 Items (DASS-21) among first-year undergraduate nursing students. Methods: A methodological study was conducted with 225 undergraduate nursing students, aged 17 to 18 years, from a higher education institution in central Portugal. Data were collected using the Google Forms platform. Confirmatory factor analysis was conducted to test three competing models: a single-factor model, a three-factor correlated model, and a second-order factor model. Reliability was assessed using composite reliability, and validity was evaluated using average variance extracted and the Fornell–Larcker criterion for discriminant validity. Results: Factor analyses revealed that the three-factor correlated model fit the data best overall, showing superior fit indices compared to the competing models (χ2/df = 2.37; CFI = 0.90; and RMSEA = 0.08; TLI = 0.88 and SRMR = 0.04). Composite reliability was high across all tested models, ranging from 0.84 to 0.94. The analysis of score distributions by category revealed a high prevalence of severe or extremely severe symptoms of anxiety, stress, and, to a lesser extent, depression. A statistically significant association was found between higher symptom severity and prior familiarity with mental illness. Conclusions: The DASS-21 proved to be a valid and reliable instrument for assessing psychological distress in higher education students. These findings underscore the urgent need for mental health programs in higher education institutions that focus on early detection and intervention, particularly for students initiating their studies and those with a history of mental health problems. Full article
Show Figures

Figure 1

27 pages, 309 KB  
Article
Managing Innovation for a Sustainable Transport System: A Comparative Study of the EU and Ukraine
by Ilona Jacyna-Gołda, Nataliia Gavkalova and Mariusz Salwin
Sustainability 2026, 18(1), 504; https://doi.org/10.3390/su18010504 - 4 Jan 2026
Viewed by 85
Abstract
This paper is dedicated to analysing sustainability and digitalisation in the transport systems of the European Union (EU) and Ukraine, with a particular focus on three representative subsectors: freight rail, urban public transport and last-mile postal logistics. It explores how technological innovation, operational [...] Read more.
This paper is dedicated to analysing sustainability and digitalisation in the transport systems of the European Union (EU) and Ukraine, with a particular focus on three representative subsectors: freight rail, urban public transport and last-mile postal logistics. It explores how technological innovation, operational efficiency and environmental responsibility interact within these sectors under distinct institutional and economic conditions: mature, market-based systems in the EU and resilience-driven systems in wartime Ukraine. This study applies a comparative, descriptive–analytical methodology using secondary data drawn from corporate sustainability reports, official statistics and sectoral databases for 2022. Quantitative KPls were complemented with a qualitative assessment of digitalisation maturity to ensure cross-country comparability. Through a comparative analysis of KPIs, such as freight volumes, emissions intensity, revenue efficiency and digital maturity, this study identifies structural and policy gaps that hinder progress toward sustainable mobility. This study develops a multi-dimensional framework combining operational, financial, environmental and digital indicators. In this paper, digital integration refers to the degree to which transport operators embed digital tools such as tracking, data management and automation into their core processes, while environmental efficiency denotes the ability to deliver transport services with minimal resource consumption and carbon emissions per operational unit. Institutional resilience is understood here as the capacity of transport organisations and governing institutions to maintain functionality, adapt and recover under crisis or systemic stress, which is particularly relevant for Ukraine’s wartime context. The findings demonstrate that while EU operators lead in transparency, digital integration and environmental performance, Ukrainian actors exhibit rapid adaptive innovation and significant potential for technological leapfrogging during reconstruction. This paper concludes that the EU must overcome regulatory inertia and infrastructure fatigue, while Ukraine should institutionalise resilience and transparency. Full article
(This article belongs to the Section Sustainable Transportation)
24 pages, 2422 KB  
Article
A Clustering Approach to Identify Risk Perception on Social Networks: A Study of Peruvian Children and Adolescents
by Yasiel Pérez Vera, Richart Smith Escobedo Quispe and Patrick Andrés Ramírez Santos
Informatics 2026, 13(1), 3; https://doi.org/10.3390/informatics13010003 - 4 Jan 2026
Viewed by 279
Abstract
The excessive and inappropriate use of the internet by children and young people increases their exposure to risky situations, especially since the COVID-19 pandemic. This study analyzes risky situations on social media among children and adolescents. The objective of this work was to [...] Read more.
The excessive and inappropriate use of the internet by children and young people increases their exposure to risky situations, especially since the COVID-19 pandemic. This study analyzes risky situations on social media among children and adolescents. The objective of this work was to identify the risks associated with the use of social media. A comparative analysis of five clustering algorithms was applied to a dataset developed by eBiz Latin America in collaboration with La Salle University of Arequipa and the Institute of Christian Schools of the De La Salle Brothers of the Bolivia-Peru district. Among the results, it was shown that children around 11 years old display a high prevalence of digital risk behaviors such as adding strangers, followed by pretending to be someone else; adults around 43 years old exhibit a tendency to follow strangers and, even more so, to take photographs without permission; adolescents with an average age of 11 show a heavy use of YouTube, TikTok, and Instagram. It is concluded that among digital risks in children and adults, the clusters highlight shared vulnerabilities, such as the addition of strangers and exposure to requests for personal data, which persist throughout the life stages but intensify in early adulthood. These findings emphasize the urgency of preventive policies addressing generational differences in social network use to promote proactive responses to digital harassment. Full article
(This article belongs to the Section Machine Learning)
Show Figures

Figure 1

20 pages, 1382 KB  
Systematic Review
Surgical Timing and Safety of Breast Cancer Operations After COVID-19: A Prospective-Only Meta-Analysis of Cohort Studies
by Ioana-Georgiana Cotet, Diana-Maria Mateescu, Dragos-Mihai Gavrilescu, Andrei Marginean, Stefania Serban, Adrian-Cosmin Ilie, Cristina Guse, Ana-Maria Pah, Marius Badalica-Petrescu, Stela Iurciuc, Maria-Laura Craciun, Adina Avram and Cristina Tudoran
J. Clin. Med. 2026, 15(1), 341; https://doi.org/10.3390/jcm15010341 - 2 Jan 2026
Viewed by 134
Abstract
Background: The COVID-19 pandemic raised uncertainties regarding the safe timing of breast cancer surgery after SARS-CoV-2 infection, and robust prospective evidence has remained limited. Methods: We conducted a systematic review and meta-analysis of prospective cohort studies (2020–2024) investigating postoperative outcomes in [...] Read more.
Background: The COVID-19 pandemic raised uncertainties regarding the safe timing of breast cancer surgery after SARS-CoV-2 infection, and robust prospective evidence has remained limited. Methods: We conducted a systematic review and meta-analysis of prospective cohort studies (2020–2024) investigating postoperative outcomes in breast cancer patients with confirmed SARS-CoV-2 infection ≤90 days before surgery versus contemporaneous non-infected controls treated at the same institutions and in the same period. PROSPERO CRD420251174613. Random-effects models (DerSimonian–Laird with Hartung–Knapp adjustment) were used to pool odds ratios (ORs) and 95% confidence intervals (CIs). Study quality was assessed with the Newcastle–Ottawa Scale, and certainty of evidence was rated using GRADE. Results: Twelve prospective cohort studies, including 7812 patients, compared breast cancer surgery after recent confirmed SARS-CoV-2 infection over 90 days with contemporaneous non-infected controls treated at the same centres. Overall, recent infection was associated with higher 30-day postoperative complications (Clavien–Dindo ≥ II) compared to. non-infected patients (OR 2.01, 95% CI 1.44–2.81) and increased venous thromboembolism (3.6%vs. 1.2%; OR 3.12, 95% CI 1.29–7.55). Early surgery 14 days after infection carried the highest risk of complications (OR 4.38, 95 CI 2.31–8.30), whereas operations performed ≥6 weeks yielded outcomes comparable to non-infected controls (OR 1.03, 95 CI 0.81–1.31); 30-day mortality remained very low (0.3). Conclusions: Breast cancer surgery after SARS-CoV-2 infection is associated with excess perioperative risk only when performed within the first two weeks. Delaying surgery to approximately six weeks minimises complications and VTE without compromising short-term safety. Full article
(This article belongs to the Special Issue Sequelae of COVID-19: Clinical to Prognostic Follow-Up)
Show Figures

Figure 1

Back to TopTop