Sign in to use this feature.

Years

Between: -

Subjects

remove_circle_outline
remove_circle_outline
remove_circle_outline
remove_circle_outline
remove_circle_outline
remove_circle_outline

Journals

Article Types

Countries / Regions

Search Results (66)

Search Parameters:
Keywords = combined-pole permanent magnet motor

Order results
Result details
Results per page
Select all
Export citation of selected articles as:
24 pages, 8612 KB  
Article
Multi-Objective Hierarchical Optimization for Suppressing Zero-Order Radial Force Waves and Enhancing Acoustic-Vibration Performance of Permanent Magnet Synchronous Motors
by Tianze Xu, Yanhui Zhang, Weiguang Zheng, Chengtao Zhang and Huawei Wu
Energies 2026, 19(2), 475; https://doi.org/10.3390/en19020475 (registering DOI) - 17 Jan 2026
Abstract
To address the significant vibration and noise problems caused by the zero-order radial electromagnetic force (REF) in integer-slot permanent magnet synchronous motors (PMSMs), while simultaneously improving the motor’s overall electromagnetic performance, this paper proposes a hierarchical iterative optimization strategy integrating Taguchi methods and [...] Read more.
To address the significant vibration and noise problems caused by the zero-order radial electromagnetic force (REF) in integer-slot permanent magnet synchronous motors (PMSMs), while simultaneously improving the motor’s overall electromagnetic performance, this paper proposes a hierarchical iterative optimization strategy integrating Taguchi methods and genetic algorithms. The optimization objectives include minimizing the zero-order REF amplitude, cogging torque, and torque ripple, while maximizing the average torque, with efficiency and back electromotive force total harmonic distortion (back-EMF THD) treated as constraints. First, an 8-pole 48-slot double-layer embedded PMSM model is constructed. An innovative parameter selection strategy, combining theoretical analysis with finite-element analysis, is employed to investigate the spatial order and frequency characteristics of the electromagnetic force. Subsequently, a sensitivity analysis is performed to stratify parameters: highly sensitive parameters undergo first-round optimization via the Taguchi method, followed by second-round optimization using a multi-objective genetic algorithm. The results demonstrate significant reductions in both the zero-order REF amplitude and cogging torque. Specifically, the motor’s peak vibration acceleration is reduced by 32.96%, and the peak sound pressure level (SPL) drops by 9.036 dB. Vibration acceleration and sound pressure across all frequency bands are significantly reduced to varying extents, validating the effectiveness of the proposed optimization approach. Full article
Show Figures

Figure 1

11 pages, 2368 KB  
Article
Experimental Evaluation of a Line-Start Consequent-Pole Surface Permanent-Magnet Motor with Simple Rotor Design Strategies for Performance Improvement
by Yuichi Yokoi, Yasuhiro Miyamoto and Tsuyoshi Higuchi
Machines 2025, 13(11), 1003; https://doi.org/10.3390/machines13111003 - 31 Oct 2025
Viewed by 507
Abstract
The line-start permanent-magnet (LSPM) motor combines the direct-on-line starting of induction motors with the high efficiency of permanent-magnet (PM) synchronous motors, but conventional interior PM designs are difficult to manufacture and surface PM (SPM) designs often suffer from limited starting torque and reduced [...] Read more.
The line-start permanent-magnet (LSPM) motor combines the direct-on-line starting of induction motors with the high efficiency of permanent-magnet (PM) synchronous motors, but conventional interior PM designs are difficult to manufacture and surface PM (SPM) designs often suffer from limited starting torque and reduced efficiency. This paper investigates consequent-pole SPM designs, in which the number of magnets is reduced by half while maintaining equal magnet volume, enabling simple rotor construction and improved starting performance. A prototype is manufactured and tested, confirming smooth synchronization under load. Efficiency is constrained by the non-sinusoidal flux distribution of the consequent-pole structure. Rotor design strategies enlarging the air gap near the iron poles are analyzed, and a finite element method analysis shows improved torque and efficiency without loss of starting capability. Full article
(This article belongs to the Section Electrical Machines and Drives)
Show Figures

Figure 1

22 pages, 5253 KB  
Article
Torque Ripple Reduction and Efficiency Enhancement of Flared-Type Consequent-Pole Motors via Asymmetric Air-Gap and Structural Optimization
by Keun-Young Yoon and Soo-Whang Baek
Appl. Sci. 2025, 15(21), 11520; https://doi.org/10.3390/app152111520 - 28 Oct 2025
Cited by 1 | Viewed by 503
Abstract
The consequent-pole interior permanent-magnet (CPM) motor is a promising alternative for minimizing rare-earth magnet usage while supporting high-speed operation. However, rotor flux asymmetry often leads to distorted back-electromotive force waveforms and increased torque ripple. This study investigated a flared-type CPM motor that employs [...] Read more.
The consequent-pole interior permanent-magnet (CPM) motor is a promising alternative for minimizing rare-earth magnet usage while supporting high-speed operation. However, rotor flux asymmetry often leads to distorted back-electromotive force waveforms and increased torque ripple. This study investigated a flared-type CPM motor that employs ferrite magnets arranged in a flared configuration to enhance flux concentration within a compact rotor. To address waveform distortion, structural modifications such as bridge removal and an asymmetric air-gap design were implemented. Three rotor parameters—polar angle, asymmetric air-gap length, and rotor opening length—were optimized using Latin hypercube sampling combined with an evolutionary algorithm. Finite element method analyses conducted under no-load and rated-load conditions showed that the optimized model achieved a 77.8% reduction in torque ripple, a 43.4% decrease in cogging torque, and a 0.5% improvement in efficiency compared with the basic model. Stress analyses were performed to examine the structural bonding strength and rotor deformation of the optimized model under high-speed operation. The results revealed a 5.5× safety margin at four times the rated speed. The proposed approach offers a cost-effective and sustainable alternative to rare-earth magnet machines for high-efficiency household appliances, where vibration reduction, cost stability, and energy efficiency are critical. Full article
(This article belongs to the Section Electrical, Electronics and Communications Engineering)
Show Figures

Figure 1

25 pages, 5356 KB  
Article
A Study on the Design Process of a 1.8 kW In-Wheel Type AFPMSM Motor
by Soo-Bum Kim, Min-Ki Hong, Hyo-Gu Kim, Seung-Hoon Ko and Won-Ho Kim
Energies 2025, 18(21), 5619; https://doi.org/10.3390/en18215619 - 26 Oct 2025
Cited by 1 | Viewed by 516
Abstract
Axial Flux Permanent Magnet Synchronous Motor (AFPMSM) offers high power density in structures with short axial lengths and large radial dimensions, making it attractive for applications that require thin structures, such as in-wheel motors. This study proposes an AFPMSM design process applicable under [...] Read more.
Axial Flux Permanent Magnet Synchronous Motor (AFPMSM) offers high power density in structures with short axial lengths and large radial dimensions, making it attractive for applications that require thin structures, such as in-wheel motors. This study proposes an AFPMSM design process applicable under fixed inner/outer diameter and axial length constraints. The proposed process is presented as step-by-step procedures: selection of pole/slot combinations, adjustment of slot depth, determination of stator/rotor dimensional ratios, and slot structure design. It is universally applicable to both bobbin-type rectangular wire windings and shoe-type round wire windings. The validity of the proposed process was verified through finite element method (FEM) analysis, and the differences between the two winding structures were examined through post-processing of the results. By presenting an AFPMSM design methodology that can be consistently applied under constrained spatial conditions, this study provides practical design guidelines for the development of in-wheel motors for next-generation mobility applications. Full article
Show Figures

Figure 1

15 pages, 11436 KB  
Article
Design of a Six-Phase Surface Permanent-Magnet Synchronous Motor with Chamfer-Shaped Magnet to Reduce Cogging Torque and Torque Ripple for Large-Ship Propulsion
by Do-Hyeon Choi, Chaewon Jo, Hyung-Sub Han, Hyo-Gu Kim, Won-Ho Kim and Hyunwoo Kim
Appl. Sci. 2025, 15(21), 11400; https://doi.org/10.3390/app152111400 - 24 Oct 2025
Cited by 1 | Viewed by 813
Abstract
Surface permanent-magnet synchronous motors (SPMSMs) have been widely adopted for ship propulsion due to their high power density and efficiency. However, conventional three-phase open-slot SPMSMs struggle to balance high efficiency with reductions in cogging torque and torque ripple. This paper proposes a design [...] Read more.
Surface permanent-magnet synchronous motors (SPMSMs) have been widely adopted for ship propulsion due to their high power density and efficiency. However, conventional three-phase open-slot SPMSMs struggle to balance high efficiency with reductions in cogging torque and torque ripple. This paper proposes a design of an SPMSM with a six-phase winding configuration and a chamfer-shaped permanent magnet to reduce cogging torque and torque ripple. Electromagnetic performance is evaluated through finite element analysis (FEA). A reference three-phase interior PMSM and three-phase SPMSMs with different magnet shapes are first compared to identify a suitable basic design. Based on the basic machine, three pole–slot combinations for the six-phase winding are analyzed, and the most efficient configuration is selected. A final model is designed to minimize cogging torque and torque ripple for the chamfer-shaped permanent magnet. Finally, the effectiveness of the final model is validated through FEA by comparing its performance with that of the reference model. Full article
Show Figures

Figure 1

19 pages, 3339 KB  
Article
Sensorless Control of Permanent Magnet Synchronous Motor in Low-Speed Range Based on Improved ESO Phase-Locked Loop
by Minghao Lv, Bo Wang, Xia Zhang and Pengwei Li
Processes 2025, 13(10), 3366; https://doi.org/10.3390/pr13103366 - 21 Oct 2025
Viewed by 779
Abstract
Aiming at the speed chattering problem caused by high-frequency square wave injection in permanent magnet synchronous motors (PMSMs) during low-speed operation (200–500 r/min), this study intends to improve the rotor position estimation accuracy of sensorless control systems as well as the system’s ability [...] Read more.
Aiming at the speed chattering problem caused by high-frequency square wave injection in permanent magnet synchronous motors (PMSMs) during low-speed operation (200–500 r/min), this study intends to improve the rotor position estimation accuracy of sensorless control systems as well as the system’s ability to resist harmonic interference and sudden load changes. The goal is to enhance the control performance of traditional control schemes in this scenario and meet the requirement of stable low-speed operation of the motor. First, the study analyzes the harmonic error propagation mechanism of high-frequency square wave injection and finds that the traditional PI phase-locked loop (PI-PLL) is susceptible to high-order harmonic interference during demodulation, which in turn leads to position estimation errors and periodic speed fluctuations. Therefore, the extended state observer phase-locked loop (ESO-PLL) is adopted to replace the traditional PI-PLL. A third-order extended state observer (ESO) is used to uniformly regard the system’s unmodeled dynamics, external load disturbances, and harmonic interference as “total disturbances”, realizing real-time estimation and compensation of disturbances, and quickly suppressing the impacts of harmonic errors and sudden load changes. Meanwhile, a dynamic pole placement strategy for the speed loop is designed to adaptively adjust the controller’s damping ratio and bandwidth parameters according to the motor’s operating states (loaded/unloaded, steady-state/transient): large poles are used in the start-up phase to accelerate response, small poles are switched in the steady-state phase to reduce errors, and a smooth attenuation function is used in the transition phase to achieve stable parameter transition, balancing the system’s dynamic response and steady-state accuracy. In addition, high-frequency square wave voltage signals are injected into the dq axes of the rotating coordinate system, and effective rotor position information is extracted by combining signal demodulation with ESO-PLL to realize decoupling of high-frequency response currents. Verification through MATLAB/Simulink simulation experiments shows that the improved strategy exhibits significant advantages in the low-speed range of 200–300 r/min: in the scenario where the speed transitions from 200 r/min to 300 r/min with sudden load changes, the position estimation curve of ESO-PLL basically overlaps with the actual curve, while the PI-PLL shows obvious deviations; in the start-up and speed switching phases, dynamic pole placement enables the motor to respond quickly without overshoot and no obvious speed fluctuations, whereas the traditional fixed-pole PI control has problems of response lag or overshoot. In conclusion, the “ESO-PLL + dynamic pole placement” cooperative control strategy proposed in this study effectively solves the problems of harmonic interference and load disturbance caused by high-frequency square wave injection in the low-speed range and significantly improves the accuracy and robustness of PMSM sensorless control. This strategy requires no additional hardware cost and achieves performance improvement only through algorithm optimization. It can be directly applied to PMSM control systems that require stable low-speed operation, providing a reliable solution for the promotion of sensorless control technology in low-speed precision fields. Full article
Show Figures

Figure 1

30 pages, 10255 KB  
Article
Hybrid Design Optimization Methodology for Electromechanical Linear Actuators in Automotive LED Headlights
by Mario Đurić, Luka Selak and Drago Bračun
Actuators 2025, 14(10), 465; https://doi.org/10.3390/act14100465 - 24 Sep 2025
Viewed by 1262
Abstract
The development of electromechanical linear actuators (EMLAs) aims at compactness, energy efficiency, and high reliability. Conventional design methods often rely on costly prototypes and individual considerations of mechanics, electromagnetics, and control dynamics. This leads to long development cycles, inadequate treatment of nonlinear effects, [...] Read more.
The development of electromechanical linear actuators (EMLAs) aims at compactness, energy efficiency, and high reliability. Conventional design methods often rely on costly prototypes and individual considerations of mechanics, electromagnetics, and control dynamics. This leads to long development cycles, inadequate treatment of nonlinear effects, and suboptimal performance. To address these challenges, our paper introduces a novel hybrid design methodology, integrating Analytical Modeling, Finite Element Analysis (FEA), Genetic Algorithms (GAs), and targeted experiments. Analytical Modeling provides rapid sizing, FEA combined with a GA refines geometry, and targeted experiments quantify nonlinear effects (friction, wear, thermal variability, and dynamic resonances). Unlike conventional methods, the integration is performed within iterative loops, using empirical data to refine simulation assumptions. As a result, development time is reduced by 30% and nonlinear effects are precisely addressed. The method is demonstrated on an automotive-grade EMLA. Its design is based on a claw-pole Permanent Magnet Stepper Motor, a trapezoidal lead screw, and an open-loop control with Hall effect end-position detection. After applying the method, the EMLA delivers more than 40 N of push force and achieves 600,000 actuations under the required conditions, making it suitable for various applications. Full article
(This article belongs to the Section High Torque/Power Density Actuators)
Show Figures

Figure 1

21 pages, 6299 KB  
Article
Optimal Air Gap Magnetic Flux Density Distribution of an IPM Synchronous Motor Using a PM Rotor Parameter-Stratified Sensitivity Analysis
by Jun Zhang, Wenjing Hu, Yanhong Gao, Sizhan Hua, Xin Zhou, Huihui Geng and Yixin Liu
World Electr. Veh. J. 2025, 16(9), 508; https://doi.org/10.3390/wevj16090508 - 10 Sep 2025
Viewed by 1581
Abstract
In addressing the challenges posed by the numerous rotor structure parameters and the difficulty in analyzing the air gap magnetic field distribution in interior permanent magnet (IPM) motors, and to enhance the performance of automotive IPM synchronous motors, this paper proposes a multi-objective [...] Read more.
In addressing the challenges posed by the numerous rotor structure parameters and the difficulty in analyzing the air gap magnetic field distribution in interior permanent magnet (IPM) motors, and to enhance the performance of automotive IPM synchronous motors, this paper proposes a multi-objective optimization method based on sensitivity stratification. Firstly, sensitivity analysis is conducted on the positional and shape parameters of the rotor permanent magnets (PMs), and the parameters are stratified according to their sensitivity levels. Subsequently, distinct analysis and optimization methods are applied to parameters of different strata for dual-objective optimization, which aims to increase the amplitude of the air gap flux density and reduce its total harmonic distortion (THD). Moreover, the waveform of the air gap flux density is analyzed to propose a targeted arrangement of magnetic isolation slots, thereby further optimizing the magnetic field distribution. Meanwhile, the demagnetization conditions and influencing factors of the PMs under overload are analyzed to enhance their demagnetization resistance and determine the final structural parameters. Simulation results indicate that, with the application of the proposed optimization method, the fundamental amplitude of the air gap flux density is increased by 0.035 T and THD is decreased by 9.9% when the proposed optimization method is applied. This verifies the effectiveness and feasibility of the method. Full article
Show Figures

Figure 1

14 pages, 2203 KB  
Article
Design and Analysis of an IE6 Hyper-Efficiency Permanent Magnet Synchronous Motor for Electric Vehicle Applications
by Hayatullah Nory, Ahmet Yildiz, Serhat Aksun and Cansu Aksoy
Energies 2025, 18(17), 4684; https://doi.org/10.3390/en18174684 - 3 Sep 2025
Cited by 3 | Viewed by 1891
Abstract
In this study, a high-efficiency permanent magnet synchronous motor (PMSM) was designed for a geared electric vehicle. The motor was developed for use in an L-category electric vehicle with four wheels and a two-passenger capacity. During the design process, application-specific dimensional constraints, electromagnetic [...] Read more.
In this study, a high-efficiency permanent magnet synchronous motor (PMSM) was designed for a geared electric vehicle. The motor was developed for use in an L-category electric vehicle with four wheels and a two-passenger capacity. During the design process, application-specific dimensional constraints, electromagnetic requirements, and material limitations were taken into consideration. A spoke-type rotor structure was adopted to achieve both mechanical robustness and high efficiency with minimized leakage flux. In addition, the combination of a 12-stator slot and a 10-rotor pole was selected to suppress low-order harmonic components and improve torque smoothness. The motor model was analyzed using Siemens Simcenter SPEED software (Product Version 2020.3.1), and an efficiency above 94% was achieved, meeting the IE6 efficiency class. Magnetic flux analysis results showed that the selected core material operated within the magnetic saturation limits. The findings demonstrate that a compact and high-efficiency PMSM design is feasible for electric vehicle applications. Full article
Show Figures

Figure 1

21 pages, 3788 KB  
Article
An Optimization Design Method for Flat-Wire Motors Based on Combined Rotor Slot Structures
by Xiangjun Bi, Hongbin Yin, Yan Chen, Mingyang Luo, Xiaojun Wang and Wenjing Hu
World Electr. Veh. J. 2025, 16(8), 439; https://doi.org/10.3390/wevj16080439 - 4 Aug 2025
Viewed by 837
Abstract
To enhance the electromagnetic performance of flat-wire permanent magnet synchronous motors, three different groove structures were designed for the rotor, and a multi-objective optimization algorithm combining a genetic algorithm (GA) with the TOPSIS method was proposed. Firstly, an 8-pole 48-slot flat-wire motor model [...] Read more.
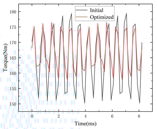
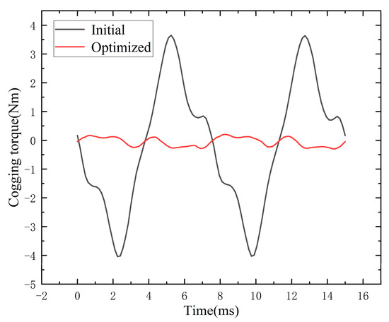
To enhance the electromagnetic performance of flat-wire permanent magnet synchronous motors, three different groove structures were designed for the rotor, and a multi-objective optimization algorithm combining a genetic algorithm (GA) with the TOPSIS method was proposed. Firstly, an 8-pole 48-slot flat-wire motor model was established, and the cogging torque was analytically calculated to compare the motor’s performance under different groove schemes. Secondly, global multi-objective optimization of the rotor groove dimensions was performed using a combined simulation approach involving Maxwell, Workbench, and Optislang, and the optimal rotor groove size structure was selected using the TOPSIS method. Finally, a comparative analysis of the motor’s performance under both rated-load and no-load conditions was conducted for the pre- and post-optimization designs, followed by verification of the mechanical strength of the optimized rotor structure. The research results demonstrate that the combined optimization approach utilizing the genetic algorithm and the TOPSIS method significantly enhances the torque characteristics of the motor. The computational results indicate that the average torque is increased to 165.32 N·m, with the torque ripple reduced from 28.37% to 13.32% and the cogging torque decreased from 896.88 mN·m to 187.9 mN·m. Moreover, the total distortion rates of the air-gap magnetic flux density and the no-load back EMF are significantly suppressed, confirming the rationality of the proposed motor design. Full article
Show Figures

Figure 1

17 pages, 2876 KB  
Article
Research on the Oil Cooling Structure Design Method of Permanent Magnet Synchronous Motors for Electric Vehicles
by Shijun Chen, Cheng Miao, Xinyu Chen, Wei Qian and Songchao Chu
Energies 2025, 18(12), 3134; https://doi.org/10.3390/en18123134 - 14 Jun 2025
Cited by 1 | Viewed by 2467
Abstract
Permanent magnet synchronous motors for electric vehicles (EVs) prioritize high power density and lightweight design, leading to elevated thermal flux density. Consequently, cooling methods and heat conduction in stator windings become critical. This paper proposes a compound cooling structure combining direct oil spray [...] Read more.
Permanent magnet synchronous motors for electric vehicles (EVs) prioritize high power density and lightweight design, leading to elevated thermal flux density. Consequently, cooling methods and heat conduction in stator windings become critical. This paper proposes a compound cooling structure combining direct oil spray cooling on stator windings and housing oil channel cooling (referred to as the winding–housing composite oil cooling system) for permanent synchronous motors in EVs. A systematic design methodology for oil jet nozzles and housing oil channels is investigated, determining the average convective heat transfer coefficient on end-winding surfaces and the heat dissipation factor of the oil channels. Finite element analysis (FEA) was employed to simulate the thermal field of a 48-slot 8-pole oil-cooled motor, with further analysis on the effects of oil temperature and flow rate on motor temperature. Based on these findings, an optimized oil-cooled structure is proposed, demonstrating enhanced thermal management efficiency. The results provide valuable references for the design of cooling systems in oil-cooled motors for EV applications. Full article
(This article belongs to the Special Issue Advances in Permanent Magnet Motor and Motor Control)
Show Figures

Figure 1

22 pages, 9955 KB  
Article
Performance Comparison of Permanent Magnet Vernier Motors and Permanent Magnet Synchronous Motors
by Yunjiao Li, Jing Zhao, Jie Fu, Yinliang Xia, Wei Wang and Xiaobei Li
Machines 2025, 13(5), 390; https://doi.org/10.3390/machines13050390 - 8 May 2025
Cited by 2 | Viewed by 1119
Abstract
Nowadays, motor type plays a significant role in the vehicle performances. This article compares various types of permanent magnet vernier motors (PMVMs) with different shapes of field modulation teeth and different numbers of field modulation poles (FMPs). Based on this, the electromagnetic performance [...] Read more.
Nowadays, motor type plays a significant role in the vehicle performances. This article compares various types of permanent magnet vernier motors (PMVMs) with different shapes of field modulation teeth and different numbers of field modulation poles (FMPs). Based on this, the electromagnetic performance of permanent magnet synchronous motors (PMSMs) and PMVMs is compared. First, the back EMF, air gap flux density, flux density distribution, and torque of PMVMs with different shapes of FMPs are compared. Based on the selected PMVMs, the rated torque and overload capacity of PMVMs with different slot–pole combinations are compared. Subsequently, the comprehensive electromagnetic performance of PMVMs and PMSMs is compared, where the strength and weakness of PMSMs and PMVMs are concluded. Finally, a prototype is manufactured and tested, verifying the correctness and accuracy of the simulation model. Full article
(This article belongs to the Section Electrical Machines and Drives)
Show Figures

Figure 1

30 pages, 12182 KB  
Article
Electromagnetic Investigation of Innovative Stator–Permanent Magnet Motors
by Mohammad Reza Sarshar, Mohammad Amin Jalali Kondelaji, Pedram Asef and Mojtaba Mirsalim
Energies 2025, 18(9), 2400; https://doi.org/10.3390/en18092400 - 7 May 2025
Cited by 2 | Viewed by 1340
Abstract
Owing to the distinct advantages of stator–permanent magnet (PM) motors over other PM machines, their prominence in high-power-density applications is surging dramatically, capturing growing interest across diverse applications. This article proposes an innovative design procedure for two primary stator–PM motor types, flux switching [...] Read more.
Owing to the distinct advantages of stator–permanent magnet (PM) motors over other PM machines, their prominence in high-power-density applications is surging dramatically, capturing growing interest across diverse applications. This article proposes an innovative design procedure for two primary stator–PM motor types, flux switching and biased flux, yielding 30 novel motor designs. The procedure involves splitting teeth, incorporating a flux reversal effect, and embedding flux barriers into the conventional structure. The analytical reasons behind the novel motors’ architecture are mathematically expressed and verified using finite element analysis (FEA). Through an effective optimisation based on a multi-objective genetic algorithm, various feasible stator/rotor pole combinations are explored, with over 36,000 samples evaluated using FEA coupled with the algorithm. The electromagnetic characteristics of promising motors are analysed, revealing that adding the flux reversal effect and flux barriers, which reduce PM volume while decreasing leakage flux and enhancing air gap flux, improves torque production by up to 68%. Beyond torque enhancement, other electromagnetic parameters, including torque ripple, core loss, and the power factor, are also improved. The proposed motors enhance the PM torque density significantly by about 115% compared to conventional motors and reduce the motor costs. A generalised decision-making process and thermal analysis are applied to the top-performing motors. Additionally, the prototyping measures and considerations are thoroughly discussed. Finally, a comprehensive conclusion is reached. Full article
Show Figures

Figure 1

16 pages, 7117 KB  
Article
Performance Evaluation of Outer Rotor Permanent Magnet Direct Drive In-Wheel Motor Based on Air-Gap Field Modulation Effect
by Qin Wang
World Electr. Veh. J. 2025, 16(5), 247; https://doi.org/10.3390/wevj16050247 - 25 Apr 2025
Cited by 1 | Viewed by 1498
Abstract
The different pole–slot combinations of outer rotor surface-mounted permanent magnet (ORSPM) motors are designed and analyzed to satisfy EV driving requirements. Firstly, the analytical model for various slot–pole combinations of ORSPM motors is proposed based on the air-gap field modulation effect. Then, some [...] Read more.
The different pole–slot combinations of outer rotor surface-mounted permanent magnet (ORSPM) motors are designed and analyzed to satisfy EV driving requirements. Firstly, the analytical model for various slot–pole combinations of ORSPM motors is proposed based on the air-gap field modulation effect. Then, some of the in-wheel motor parameters and requirements are obtained for the vehicle system. In addition, some special pole–slot combination ORSPM motors are built to achieve higher flux density, and the electromagnetic performance is compared based on the finite element (FE) model, revealing that the 56-slot/48-pole (54s48p) in-wheel motor has a higher torque density and superior flux weakening capability than other cases. Finally, a 13 kW prototype with 54s48p is manufactured and tested to confirm the effectiveness of the FE analysis. Full article
Show Figures

Figure 1

28 pages, 8589 KB  
Article
Sensorless Control of Permanent Magnet Synchronous Motor Drives with Rotor Position Offset Estimation via Extended State Observer
by Ramón Ramírez-Villalobos, Luis N. Coria, Paul A. Valle and Christian Aldrete-Maldonado
Mathematics 2025, 13(6), 899; https://doi.org/10.3390/math13060899 - 7 Mar 2025
Cited by 2 | Viewed by 3488
Abstract
The aim of this study is to develop sensorless high-speed tracking control for surface-mounted permanent magnet synchronous motors by taking the rotor position offset error and time-varying load torque into consideration. This proposal combines an extended state observer with an adaptation position algorithm, [...] Read more.
The aim of this study is to develop sensorless high-speed tracking control for surface-mounted permanent magnet synchronous motors by taking the rotor position offset error and time-varying load torque into consideration. This proposal combines an extended state observer with an adaptation position algorithm, employing only the measurement of electrical variables for feedback. First, a rotatory coordinate model of the motor is proposed, wherein the rotor position offset error is considered as a perturbation function within the model. Second, based on the aforementioned model, a rotary coordinate model of the motor is extended in one state to estimate the load torque, as well as the rotor’s position and speed, despite the presence of the rotor position offset error. Through Lyapunov stability analysis, sufficient conditions were established to guarantee that the error estimations were bounded. Finally, to validate the feasibility of the proposed sensorless scheme, experiments were conducted on the Technosoft® development platform, where the alignment routine was disabled and an intentional misalignment between the magnetic north pole and the stator’s south pole was established. Full article
(This article belongs to the Special Issue Nonlinear Dynamical Systems: Modeling, Control and Applications)
Show Figures

Figure 1

Back to TopTop