Sign in to use this feature.

Years

Between: -

Subjects

remove_circle_outline
remove_circle_outline
remove_circle_outline
remove_circle_outline
remove_circle_outline
remove_circle_outline
remove_circle_outline
remove_circle_outline
remove_circle_outline

Journals

remove_circle_outline
remove_circle_outline
remove_circle_outline
remove_circle_outline
remove_circle_outline
remove_circle_outline

Article Types

Countries / Regions

remove_circle_outline
remove_circle_outline
remove_circle_outline
remove_circle_outline

Search Results (202)

Search Parameters:
Keywords = co-speciation

Order results
Result details
Results per page
Select all
Export citation of selected articles as:
14 pages, 2201 KB  
Article
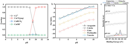
Coupled Transformation Processes of Cr-Adsorbed Schwertmannite and Chromium Redistribution Controlled by Ca(II) Speciation
by Guiping Liao, Hongmei Tang, Jiayan Wu, Quanyun Ye, Yihao Li, Zhongbo Shang, Leiye Sun and Pingxiao Wu
Processes 2026, 14(8), 1258; https://doi.org/10.3390/pr14081258 - 15 Apr 2026
Viewed by 242
Abstract
Schwertmannite (Sch) is a widespread iron oxyhydroxysulfate mineral in acid mine drainage (AMD) systems, and its transformation strongly influences the environmental fate of chromium (Cr). However, the role of Ca(II), which is commonly introduced during alkaline neutralization of AMD, in regulating the transformation [...] Read more.
Schwertmannite (Sch) is a widespread iron oxyhydroxysulfate mineral in acid mine drainage (AMD) systems, and its transformation strongly influences the environmental fate of chromium (Cr). However, the role of Ca(II), which is commonly introduced during alkaline neutralization of AMD, in regulating the transformation of Cr(VI)-adsorbed schwertmannite (Cr-Sch) and subsequent Cr redistribution remains insufficiently understood. In this study, transformation experiments were conducted under various pH conditions (3.0, 7.0, and 10.0) to investigate the effects of Ca(II) speciation on mineral transformation and Cr behavior. The results demonstrated that the transformation of Cr-Sch was predominantly pH-dependent. Under acidic conditions, Cr-Sch transformed into goethite via dissolution–recrystallization, resulting in transient Cr release followed by partial refixation. The presence of Ca(II) exerted only a minor influence due to weak interactions between Ca2+ and positively charged mineral surfaces. Under alkaline conditions, Cr-Sch preferentially transformed into hematite through dehydroxylation and cation rearrangement, leading to the sustained release of adsorbed Cr(VI). In contrast, Ca(II) predominantly precipitated as CaCO3 precipitate (calcite, aragonite, and vaterite) under alkaline conditions, which coated mineral surfaces and inhibited phase transformation and Cr release. These findings reveal that Ca(II) regulates Cr redistribution primarily through pH-dependent speciation and mineral–surface interactions, highlighting coupled geochemical processes governing iron mineral transformation and contaminant mobility in AMD environments. This study provides mechanistic insights for predicting Cr behavior and optimizing alkaline remediation strategies in mining-impacted systems. Full article
(This article belongs to the Special Issue Advances in Remediation of Contaminated Sites: 3rd Edition)
Show Figures

Figure 1

13 pages, 3586 KB  
Article
Highly Dispersed Cobalt Species Stabilized by Silanol Groups on Alkali-Treated Silicalite-1 for Propane Dehydrogenation
by Ziyang Liu, Haoran Sun, Linjiao Wei and Zifeng Yan
Catalysts 2026, 16(4), 338; https://doi.org/10.3390/catal16040338 - 8 Apr 2026
Viewed by 425
Abstract
Cobalt-based catalysts are promising for propane dehydrogenation (PDH), but their practical application is hindered by limited propylene yields, rapid deactivation, and an incomplete understanding of the catalytically relevant Co species. Here, alkaline treatment was used to increase the density of silanol defects on [...] Read more.
Cobalt-based catalysts are promising for propane dehydrogenation (PDH), but their practical application is hindered by limited propylene yields, rapid deactivation, and an incomplete understanding of the catalytically relevant Co species. Here, alkaline treatment was used to increase the density of silanol defects on Silicalite-1, thereby creating abundant anchoring sites for highly dispersed Co species. The resulting Co/Silicalite-1 catalyst achieved 45% propane conversion, 96% propylene selectivity, and stable operation over 60 h on stream (kd = 0.005 h−1). Combined characterization indicates that silanol defects stabilize highly dispersed, defect-anchored Co species that are responsible for the superior PDH performance. By contrast, supports with lower silanol defect densities favor aggregated CoOx/Co3O4-like species, which are less selective for PDH, more susceptible to reduction to metallic Co under reducing conditions, and more prone to cracking and coke formation. These findings reveal a strong correlation between silanol defect density, Co speciation, and catalytic performance, offering mechanistic insights and design principles for the development of efficient PDH catalysts. Full article
(This article belongs to the Section Catalytic Materials)
Show Figures

Graphical abstract

24 pages, 1606 KB  
Review
Review of Preparation, Application, and Microbiological Reaction of Magnetic Biochar for Heavy Metal Removal from Polluted Soils
by Ahmed El-Hussein, Alexandra Ioanid, Adel A. Surour, Mahmoud M. Ashry, M. N. Sanad, Mohamed Farouz, Mohamed M. Elfaham and M. S. Abd El-Sadek
Chemistry 2026, 8(4), 47; https://doi.org/10.3390/chemistry8040047 - 7 Apr 2026
Viewed by 268
Abstract
Magnetic biochar (MBC), a magnetically responsive soil amendment, has attracted considerable attention due to its efficient magnetic separation capability and strong potential for remediating heavy metal-contaminated soils. Despite extensive research, a comprehensive evaluation of its raw materials, synthesis routes, performance-influencing factors, removal mechanisms, [...] Read more.
Magnetic biochar (MBC), a magnetically responsive soil amendment, has attracted considerable attention due to its efficient magnetic separation capability and strong potential for remediating heavy metal-contaminated soils. Despite extensive research, a comprehensive evaluation of its raw materials, synthesis routes, performance-influencing factors, removal mechanisms, and microbial interactions remains limited. This review systematically examines biomass feedstocks and magnetic precursors used in MBC production and critically evaluates preparation methods, including hydrothermal carbonization, co-precipitation, ball milling, microwave pyrolysis, and impregnation–pyrolysis. Key factors affecting heavy metal removal—such as metal speciation, pyrolysis temperature, soil properties, dosage, and feedstock type—are discussed in detail. The primary immobilization mechanisms, including redox reactions, surface and co-precipitation, ion exchange, functional group complexation, physical adsorption, π–π interactions, and electrostatic attraction, are comprehensively analyzed. Furthermore, the interactions between MBC, soil physicochemical parameters, and microbial communities are evaluated to assess ecotoxicological implications. Finally, we provide valuable recommendations for the future direction of magnetic biochar research to advance its application in heavy metal removal from soil. Full article
Show Figures

Figure 1

15 pages, 2150 KB  
Article
Using Machine Learning Algorithms to Clarify Relationships Between Soil Properties and Lead Stomach Bioaccessibility
by Shehan Wijesinghe, Dibyendu Sarkar, Hadeer Saleh, Khalid Mustafa, Smitha Rao and Rupali Datta
Appl. Sci. 2026, 16(7), 3504; https://doi.org/10.3390/app16073504 - 3 Apr 2026
Viewed by 196
Abstract
Lead contamination in urban soils, primarily from deteriorating lead-based paint, poses a significant health risk in the United States. These soils often serve as major sources of exposure, making them critical targets for remediation efforts. To guide such strategies, preliminary risk assessments are [...] Read more.
Lead contamination in urban soils, primarily from deteriorating lead-based paint, poses a significant health risk in the United States. These soils often serve as major sources of exposure, making them critical targets for remediation efforts. To guide such strategies, preliminary risk assessments are necessary to evaluate lead bioaccessibility in the soil and identify key soil properties influencing lead speciation. In this study, a novel machine learning approach was co-developed with an artificial intelligence assistant, Claude Sonnet, developed by Anthropic, to design a predictive model that overcomes the difficulties of conducting experimental bioaccessibility models. Data was compiled from published sources (n = 640), as well as an internal analysis of soils sampled across three large cities in the United States (n = 30), to use as a validation model. While our final model’s prediction accuracy was good (R2 = 0.95), it initially did not perform as expected on our internal dataset, indicating a fundamental domain shift. Further analysis revealed complications with outliers, data availability, and data consistency that resulted in poor performance. When optimization was applied to the validation model, our final prediction accuracy improved (R2 = 0.84). Here, we conclude the importance of data availability and consistency in heavy-metal soil bioaccessibility studies to build a generalizable predictive model. Full article
Show Figures

Graphical abstract

18 pages, 2567 KB  
Article
Laryngeal Transcriptomic Insights into Echolocation Call Frequency Divergence in Closely Related Rhinolophus Species
by Guiyin Miao, Jinhua Cong, Jinhong Lei, Sirui Quan, Jiqian Li, Yannan Li, Kangkang Zhang and Tong Liu
Biology 2026, 15(7), 548; https://doi.org/10.3390/biology15070548 - 30 Mar 2026
Viewed by 427
Abstract
Acoustic divergence is widely recognized as a key driver of speciation and niche differentiation in vocal animals. In echolocating horseshoe bats (Rhinolophus), the larynx is specialized for producing high-duty-cycle signals used in foraging, navigation, and species recognition. While the ecological role [...] Read more.
Acoustic divergence is widely recognized as a key driver of speciation and niche differentiation in vocal animals. In echolocating horseshoe bats (Rhinolophus), the larynx is specialized for producing high-duty-cycle signals used in foraging, navigation, and species recognition. While the ecological role of echolocation is established, the molecular mechanisms regulating laryngeal frequency remain unclear. We compared the laryngeal transcriptomes of three closely related, sympatric Rhinolophus species with distinct resting frequencies (RFs): R. episcopus (~46 kHz), R. siamensis (~66 kHz), and R. osgoodi (~85 kHz). This comparison identified 511 differentially expressed genes. High-frequency species upregulated genes involved in cytoskeletal dynamics and muscle contraction, such as cell adhesion molecules and motor proteins, while low-frequency species upregulated genes related to cellular homeostasis and metabolic maintenance. Weighted gene co-expression network analysis revealed two RF-correlated modules: a high-frequency module enriched in aerobic respiration and carbon metabolism and a low-frequency module enriched in lipid metabolism. Protein–protein interaction analysis identified ACTC1, vital for muscle contraction, as a hub gene. Evolutionary analysis showed that ACTC1 is highly conserved, with no significant positive selection, indicating that transcriptional regulation, rather than coding-sequence divergence, is the primary driver of the observed functional differences. These findings suggest that RF variation likely results from transcriptional remodeling in laryngeal superfast muscles. This study provides the first transcriptomic evidence linking laryngeal gene expression with acoustic divergence and offers new insights into the genetic basis of bat echolocation. Full article
(This article belongs to the Special Issue Advances in Biological Research of Chiroptera)
Show Figures

Figure 1

19 pages, 3194 KB  
Article
Environmental Risk Assessment of Potential Toxic Elements in Co-Pyrolysis of Sludges and Plastics Based on Machine Learning
by Jialing Liu, Xingyu Feng, Xiyu Zhao, Sen Yang, Liyang Dong, Asani Oneka Green, Xu Wang and Qing Huang
Toxics 2026, 14(4), 289; https://doi.org/10.3390/toxics14040289 - 28 Mar 2026
Viewed by 468
Abstract
Co-pyrolysis of sludge and plastics has gradually emerged as a crucial technical approach for waste reduction and resource recovery. This study develops high-precision, interpretable prediction models and quantifies the contributions of core risk factors to environmental risks. Based on the experimental datasets from [...] Read more.
Co-pyrolysis of sludge and plastics has gradually emerged as a crucial technical approach for waste reduction and resource recovery. This study develops high-precision, interpretable prediction models and quantifies the contributions of core risk factors to environmental risks. Based on the experimental datasets from 2015 to 2025, which include operational parameters and eight potential toxic elements (PTEs) with four chemical speciation fractions: acid-soluble/exchangeable (F1), reducible (F2), oxidizable (F3), and residual (F4), we constructed six machine learning models. Based on the experimental datasets from 2015 to 2025, which include operational parameters and eight potential toxic elements (PTEs) chemical speciation (F1–F4), we constructed six machine learning models. Feature importance analysis and Shapley Additive Explanation (SHAP) analysis were employed to identify core risk factors and interpret the model’s decision logic. Results indicate that XGBoost, Random Forest and CatBoost outperform other models, achieving test accuracies of 0.94, 0.92, and 0.90, with weighted F1-Scores of 0.94, 0.92, and 0.90, respectively. Feature importance highlights the most important features for the six different models, with Cd-F4, As-F1, and Cu-F4 contributing most significantly to the model predictions. SHAP analysis quantified the contributions of each feature to the model predictions, verified Cd-F4 as the primary risk discriminant, and further revealed that F1 and F4 of PTEs are key factors in distinguishing risk levels. This study proposes an interpretable machine learning framework, providing a theoretical basis for the optimization of the sludge and plastic co-pyrolysis process and the assessment of potential risks. Full article
(This article belongs to the Special Issue Environmental Study of Waste Management: Life Cycle Assessment)
Show Figures

Graphical abstract

15 pages, 1747 KB  
Article
Nitrogen Oxide Emissions as a Proxy for Simplifying Large-Scale Emission Inventories and Tracking Decarbonization
by Banyan Lehman and Bill Van Heyst
Atmosphere 2026, 17(3), 320; https://doi.org/10.3390/atmos17030320 - 20 Mar 2026
Cited by 1 | Viewed by 391
Abstract
Decarbonizing energy production is critical to slowing the effects of climate change and furthering global sustainability. Progress is often gauged via carbon dioxide (CO2) emissions; however, sources of CO2 vary beyond combustion, presenting a significant challenge to accurate tracking due [...] Read more.
Decarbonizing energy production is critical to slowing the effects of climate change and furthering global sustainability. Progress is often gauged via carbon dioxide (CO2) emissions; however, sources of CO2 vary beyond combustion, presenting a significant challenge to accurate tracking due to these various sources and sinks and the ubiquitous nature of CO2 in the atmosphere. Nitrogen oxide (NOX) emissions have previously been proposed as a surrogate for tracking sustainability, as they are primarily released from combustion processes. Facility-level data from Canada’s National Pollutant Release Inventory and Greenhouse Gas Reporting Program over a six-year period is used to assess the correlation between NOX and CO2 emissions from integrated facilities across Canada. Combustion-related CO2 emissions accounting for approximately 94% of Canadian industrial emissions are examined, targeting eleven industries which together encompass over 90% of combustion emissions. Multiple linear regressions (MLRs) on each industry correlating NOX, CO2, and the inventory methods used (i.e., emission factors (EFs), source monitoring, mass balance, engineering estimates, and speciation) show R2 values ranging from 0.81 to 0.96 for all but one industry. Several industries indicate that the methods used to calculate emissions influence the correlation of CO2 to NOX, highlighting issues in the current inventory techniques. The NOX-to-CO2 ratios calculated for the integrated facilities are similar to the ratios of the published main process-level EFs for NOX to CO2 (where available). These MLR models on NOX could be used to predict CO2 emissions with relative ease and accuracy in other jurisdictions, thereby simplifying large-scale emission inventory compilation while tracking sustainability. Full article
(This article belongs to the Special Issue Emission Inventories and Modeling of Air Pollution)
Show Figures

Graphical abstract

22 pages, 2363 KB  
Article
Hydroformylation of Alkenylbenzenes Catalyzed by Rhodium-Phosphine Complexes: Mechanistic Features and Kinetic Behavior Resolved Through Bayesian Analysis
by Merlín Rosales, Mario Almanza-Caro, Rafael Galeano-Andrades, Juan Carlos Drosos-Ramírez and Otto Soto
Catalysts 2026, 16(3), 274; https://doi.org/10.3390/catal16030274 - 19 Mar 2026
Viewed by 569
Abstract
The hydroformylation of alkenylbenzenes remains insufficiently defined, despite the relevance of these substrates as biomass-derived aromatic feedstocks within sustainable chemical transformations. In this work, we present an experimental (catalytic and kinetic) study of their conversion into aldehydes under rhodium-phosphine catalysis, using complexes bearing [...] Read more.
The hydroformylation of alkenylbenzenes remains insufficiently defined, despite the relevance of these substrates as biomass-derived aromatic feedstocks within sustainable chemical transformations. In this work, we present an experimental (catalytic and kinetic) study of their conversion into aldehydes under rhodium-phosphine catalysis, using complexes bearing mono-, bi- and tridentate phosphine ligands, [Rh(H)(CO)2(PPh3)2], [Rh(H)(CO)(triphos)] and [Rh(H)(CO)2(dppe)], under mild reaction conditions (80 °C and 2–30 bar of syngas for eugenol; 80 °C and 20–50 bar of syngas for estragole and trans-anethole). The catalytic activity order of the complexes was Rh (PPh3) > Rh(triphos) > Rh(dppe), while the substrate reactivity followed the trend eugenol > estragole >> trans-anethole. Reaction rates were measured across a wide CO and H2 pressure range, revealing redistribution between the active monocarbonyl species and an off-cycle (acyl)dicarbonyl complex that becomes dominant at elevated p(CO). The kinetic behavior observed for eugenol hydroformylation with Rh(PPh3) was consistent with the established hydroformylation sequence involving alkene coordination, hydride migration to substrate and the CO-dependent re-coordination steps that determine catalyst speciation; the subsequent transfer of the alkyl group to the carbonyl ligand and hydrogenolysis complete the catalytic cycle; the H2 addition or the hydride transfer to the alkene was identified as the rate-determining step, depending on whether low or high p(H2) values were employed. To obtain statistically reliable kinetic parameters- often challenging in hydroformylation because of parameter covariance and restricted identifiability- we complemented conventional nonlinear regression with Bayesian inference based on the Markov Chain Monte Carlo approach. The resulting posterior distributions were well centered, exhibited realistic variance and provided parameter sets that are sufficiently robust to support mechanistic interpretation and subsequent kinetic modeling. Full article
Show Figures

Graphical abstract

17 pages, 2208 KB  
Article
Extraction of Cobalt, Nickel, Magnesium, Manganese, Zinc, and Calcium from Chloride Solutions Using Trioctyl(alkyl)phosphonium Chloride Ionic Liquids
by Dairo E. Chaverra, María C. Ruiz, Rafael Padilla, Oscar Restrepo-Baena, Daniela Andrade-Acuña and Mohamed Dahrouch
Minerals 2026, 16(3), 282; https://doi.org/10.3390/min16030282 - 8 Mar 2026
Viewed by 350
Abstract
Trioctyl(alkyl)phosphonium chloride ionic liquids ([P888n][Cl], n = 8, 14, and 16) were synthesized, characterized, and investigated for the extraction of Co, Ni, Mn, Mg, Zn, and Ca from chloride solutions. The three ionic liquids were very effective for the extraction of [...] Read more.
Trioctyl(alkyl)phosphonium chloride ionic liquids ([P888n][Cl], n = 8, 14, and 16) were synthesized, characterized, and investigated for the extraction of Co, Ni, Mn, Mg, Zn, and Ca from chloride solutions. The three ionic liquids were very effective for the extraction of cobalt (over 95%) from solutions containing 1 g/L of Co(II) and 4 M HCl or NaCl. Equilibrium cobalt extraction was attained in less than 10 min at 25 °C using the most viscous ionic liquid [P88816][Cl]. Based on a speciation diagram for cobalt–chloride species and ultraviolet–visible spectrometric analysis of the phases, it was concluded that Co(II) extraction involved the extraction of the neutral species CoCl2. Only at high chloride concentration, the anionic exchange mechanism involving CoCl42 was the most dominant. The stripping of the loaded ionic liquids can be carried out with water, and the stripped ionic liquids can be recycled up to five times maintaining their extraction effectiveness. In all of the conditions tested, the selectivity of [P888n][Cl] ionic liquids for the extraction of cobalt over nickel was great, with a separation factor over 25,000 for 5M HCl solutions. Furthermore, very good selectivity for Co(II) over Mg(II) and Ca(II) extraction was also obtained. Conversely, Zn(II) can be selectively extracted over Co(II) and Mn(II) using only diluted [P88814][Cl]. Full article
(This article belongs to the Section Mineral Processing and Extractive Metallurgy)
Show Figures

Figure 1

18 pages, 3480 KB  
Article
Regulating Iron Carbide Evolution over CNT-Supported Fe Catalysts by Mn Incorporation for Selective CO Hydrogenation to Linear α-Olefins
by Hengxuan Zhang, Zixing Shi, Yan Sun, Qiwen Sun and Jiancheng Wang
Catalysts 2026, 16(3), 244; https://doi.org/10.3390/catal16030244 - 5 Mar 2026
Viewed by 658
Abstract
Linear α-olefins (LAOs) from CO/H2 represent an attractive non-petroleum route, yet their selective formation over Fe catalysts is often limited by CO2 formation via water–gas shift (WGS) reaction and by secondary hydrogenation that consumes terminal olefins. In this work, we demonstrate [...] Read more.
Linear α-olefins (LAOs) from CO/H2 represent an attractive non-petroleum route, yet their selective formation over Fe catalysts is often limited by CO2 formation via water–gas shift (WGS) reaction and by secondary hydrogenation that consumes terminal olefins. In this work, we demonstrate that these competing pathways can be regulated on carbon-nanotube (CNT) supported Fe catalysts by controlling the CNT interfacial oxygen environment through NO treatment or high-temperature annealing and by adjusting the Mn incorporation protocol between co-impregnation and stepwise addition. Under identical reaction conditions at 280 °C and 3.0 MPa with an H2-to-CO ratio of 1, high-temperature treated CNTs improve olefin preservation and LAO retention compared with NO-treated CNTs. Mn promotion further shifts selectivity toward α-olefins and lowers CO2 selectivity. At the same Fe-to-Mn ratio, the Mn introduction sequence produces distinct reducibility and CO-binding behaviors that lead to different steady-state oxide and carbide phases. XPS, H2-TPR, and CO-TPD collectively suggest that CNT pretreatment and the Mn protocol modulate near-surface oxygen speciation, reduction kinetics, and CO adsorption strength. Mössbauer spectroscopy confirms a predominantly χ-Fe5C2 population and indicates the presence of ε-Fe2C in selected samples together with residual oxide and superparamagnetic Fe species. These results highlight the importance of controlling the CNT–metal interface and Mn–Fe proximity to enhance LAO retention under high-temperature CO hydrogenation. Full article
(This article belongs to the Section Catalytic Materials)
Show Figures

Graphical abstract

17 pages, 3575 KB  
Article
Bovine Mastitis Vis a Vis Staphylococcus spp. Mediated Antimicrobial Resistance at Animal-Human Interface in Organized and Unorganized Dairy Sectors: A Study from Two Indian States
by Devi Murugesan, Bibek R. Shome, Nimita Venugopal, Praveen K. A. Muninarayanaswamy, Rituparna Tewari, Pavan K. Nagaraja, Nagalingam Mohandoss, Somy Skariah, Yogisharadhya Revanaiah, Snigdha M. Maharana, Gandu Shanmugam, Shivasharanappa Nayakwadi, Mohan Papanna and Rajeswari Shome
Antibiotics 2026, 15(3), 256; https://doi.org/10.3390/antibiotics15030256 - 2 Mar 2026
Viewed by 603
Abstract
A comparative cross-sectional study was undertaken in organized and unorganized dairy sectors to evaluate the prevalence of bovine mastitis and the antibiotic resistance in Staphylococcus spp. of dairy animals and their associated personnel. A total of 391 households (HH) consisting of 211 and [...] Read more.
A comparative cross-sectional study was undertaken in organized and unorganized dairy sectors to evaluate the prevalence of bovine mastitis and the antibiotic resistance in Staphylococcus spp. of dairy animals and their associated personnel. A total of 391 households (HH) consisting of 211 and 180 HHs from organized and unorganized sectors, respectively, were selected based on 30-cluster sampling methodology in southern and northeastern regions of India. From 391 HHs, a total of 1920 milking cows (organized dairy—533; unorganized dairy—1387) were screened for subclinical and clinical mastitis by the California Mastitis Test (CMT). Out of 1920 milk samples, 1002 milk samples, 362 associated personnel hand and nasal swabs, and 27 milking machine swabs were sourced. The samples were subjected to Staphylococcus spp. by isolation and identification by multiplex polymerase chain reactions (mPCRs) and antibiotic sensitivity testing (ABST) to determine antimicrobial resistance (AMR) profiles. CMT results showed high mastitis prevalence (54.65%) in unorganized farms compared to organized ones (45.78%), with a significant association of mastitis to dairy sectors (p = 0.0004). On speciation, S. aureus isolates were comparatively less than those of coagulase-negative staphylococci (CoNS) (3.5% and 7.7%, respectively) in the organized dairy sector, and the same was recorded for the unorganized dairy sector (0.85% and 13.19%, respectively). In both the dairy sectors, the highest antibiotic resistance for Staphylococcus spp. was observed against the β-lactams (penicillins and cephalosporins) group (71.36% and 76.59%) and the lowest for nitrofurans (3.5% and 3%), oxazolidines (0.7% and 5.1%), and rifamycin (0.7% and 5.1%), respectively. In both the sectors, human isolates had comparatively high mecA positives (15.70% and 15.96%) compared to the animal isolates (8.36% and 12.94%). Based on mPCR, a smaller number of methicillin-resistant S. aureus (MRSA) isolates (3.95%) than methicillin-resistant coagulase-negative Staphylococci (MRCoNS) was detected in milk samples (6.05%), and the same was observed for associated personnel samples (MRCoNS (14.63%) compared to MRSA (1.05%)). In four HHs, mecA positives were detected in both animal and human samples, and this highlights the transmission dynamics of mecA between animals and humans in households. The resistance of Staphylococcus spp. to β-lactams highlights the need for cautious antibiotic use to prevent AMR. Full article
Show Figures

Figure 1

22 pages, 19552 KB  
Article
Convergent Evolution of Silk Webbing in Eriophyoid Mites (Eriophyoidea) and AceriaCisaberoptus Sympatry on Mango
by Philipp E. Chetverikov, Charnie Craemer, Alexey G. Desnitskiy, Nikita S. Kopylov, Andrey T. Kudrjavtzev, Viert D. Nguen, Anna E. Romanovich, Hoat X. Trinh, Andrey E. Vishnyakov and James Amrine
Insects 2026, 17(3), 259; https://doi.org/10.3390/insects17030259 - 28 Feb 2026
Viewed by 539
Abstract
Several lineages within the Eriophyoidea, an ancient group of phytoparasitic acariform mites, produce large protective silk webs on plant surfaces. This study examined the diversity and phylogeny of web-spinning eriophyoids associated with the leaves of Mangifera indica (mango) in Asia, Africa, and North [...] Read more.
Several lineages within the Eriophyoidea, an ancient group of phytoparasitic acariform mites, produce large protective silk webs on plant surfaces. This study examined the diversity and phylogeny of web-spinning eriophyoids associated with the leaves of Mangifera indica (mango) in Asia, Africa, and North America and Lepisanthes rubiginosa (mertajam) in Vietnam. We report, for the first time, silk-producing structures in Aceria aegyptindicae and Aculops knorri, as well as the presence of tibial seta l’ I and a lobular unpaired prosomal gland in Cisaberoptus kenyae. Molecular and morphological data indicate female dimorphism in A. knorri and reveal cryptic diversity within Cisaberoptus and mango-associated Aceria. The web-spinning species C. kenyae and Ac. aegyptindicae form a strongly supported clade and frequently coexist in syntopy on mango leaves, likely co-producing silk web. Phylogenetic analyses of COI and 28S genes place this clade as sister to Cecidophyinae, while grouping Aberoptus and A. knorri with Anthocoptini and Aceriini. These results demonstrate convergence, cryptic speciation, and unexpected mutualism in web-spinning eriophyoids, providing a framework for future research on the evolution of silk producing organs in this economically important mite group. Full article
(This article belongs to the Special Issue Advances in the Bio-Ecology and Control of Plant-Damaging Acari)
Show Figures

Graphical abstract

15 pages, 1974 KB  
Article
Study on the Mechanism of Phosphorus/Fluorine Immobilization and Artificial Soil Formation During Co-Pyrolysis of Phosphogypsum and Phosphorus Tailings
by Kezhen Chen, Xiaoyun He, Qiong Hu, Chang Liu, Wenwei Wu, Xiong Tong and Wenjie Zhang
Minerals 2026, 16(3), 248; https://doi.org/10.3390/min16030248 - 27 Feb 2026
Viewed by 291
Abstract
Phosphogypsum (PG) and phosphorus tailings (PT) are bulk solid wastes generated by the phosphorus chemical industry whose stockpiling poses significant environmental risks and represents a waste of resources. To achieve the goals of “treating waste with waste” and large-scale disposal, this study proposes [...] Read more.
Phosphogypsum (PG) and phosphorus tailings (PT) are bulk solid wastes generated by the phosphorus chemical industry whose stockpiling poses significant environmental risks and represents a waste of resources. To achieve the goals of “treating waste with waste” and large-scale disposal, this study proposes a technical pathway involving the co-pyrolysis of phosphogypsum and phosphorus tailings to produce artificial soil-like materials. The effects of raw material ratio, pyrolysis temperature and duration, and biomass addition on the speciation transformation, leaching toxicity, and matrix characteristics of phosphorus (P) and fluorine (F) in the products were systematically investigated. Characterization techniques, including X-ray diffraction (XRD), Fourier transform infrared spectroscopy (FTIR), and scanning electron microscopy (SEM), were employed to elucidate the synergistic immobilization mechanism. The results indicate that under optimized conditions (PG:PT mass ratio of 6:4, pyrolysis temperature of 800 °C, duration of 2–3 h, and biomass addition of 20%–30%), the active forms of harmful elements in the product were significantly reduced. The proportion of water-soluble fluorine decreased from ~39% in raw phosphogypsum to less than 3%, with apatite phosphorus becoming the dominant form of phosphorus. Mechanistic studies reveal that the immobilization process follows a “multi-pathway synergy” mechanism: thermal activation promotes the in situ formation of thermodynamically stable fluorapatite through the reaction of Ca2+, PO43−, and F (chemical fixation); iron/aluminum oxides in phosphorus tailings and the biochar derived from added biomass provide adsorption sites for surface complexation (physicochemical fixation); and the melting of silicon–aluminum components forms an amorphous silicate network that physically encapsulates pollutant microcrystals. This study provides crucial theoretical foundations and process parameters for the synergistic disposal and soil-like resource utilization of phosphogypsum and phosphorus tailings, demonstrating significant environmental and economic benefits. Full article
(This article belongs to the Section Mineral Processing and Extractive Metallurgy)
Show Figures

Figure 1

16 pages, 2141 KB  
Article
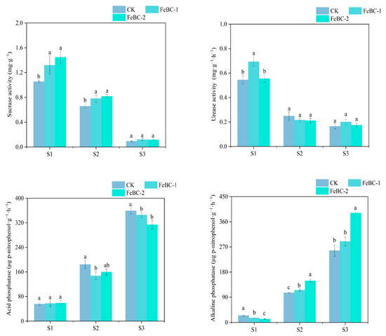
Mechanisms of Iron-Modified Biochar in Inhibiting Arsenic and Cadmium Uptake by Rice
by Xinlei Peng, Gang Wu, Qingling Fu, Jun Zhu, Linchuan Fang, Md. Shoffikul Islam and Hongqing Hu
Agriculture 2026, 16(4), 407; https://doi.org/10.3390/agriculture16040407 - 10 Feb 2026
Cited by 1 | Viewed by 659
Abstract
This study investigated the remediation effects of iron-modified biochar (FeBC-1 and FeBC-2) on arsenic (As) and cadmium (Cd) co-contaminated paddy soil and elucidated the underlying mechanisms from the perspectives of rhizosphere microbial ecology and plant As and Cd accumulation. A pot experiment with [...] Read more.
This study investigated the remediation effects of iron-modified biochar (FeBC-1 and FeBC-2) on arsenic (As) and cadmium (Cd) co-contaminated paddy soil and elucidated the underlying mechanisms from the perspectives of rhizosphere microbial ecology and plant As and Cd accumulation. A pot experiment with rice was conducted, comprising a control (CK) and iron-modified biochar treatments (FeBC-1 and FeBC-2). Parameters such as As and Cd speciation in rhizosphere soil, bacterial community composition, and the abundance of As-related functional genes were analyzed. The results demonstrated that iron-modified biochar reduced As and Cd accumulation in rice grains by promoting the formation of iron plaques on root surfaces. Meanwhile, the iron-modified biochar significantly enhanced the alpha diversity of bacterial communities and altered their composition. Quantitative analysis of functional genes revealed that the abundance of the As oxidase gene (aioA) increased from 3.54 × 105 in the CK treatment to 7.20 × 105 in FeBC-1 and 7.14 × 105 in FeBC-2, and the abundance of the As efflux gene (arsA) decreased in the biochar-treated groups. These results indicate reduced As bioavailability in the rhizosphere and enhanced transformation of As(III) to As(V). Full article
(This article belongs to the Section Agricultural Soils)
Show Figures

Figure 1

11 pages, 629 KB  
Article
Effects of Polypropylene Microplastics and Copper Contamination on Rice Seedling Growth
by Ziwen Hao, Steven Xu, Siquan Huang and Lin Wang
Nanomaterials 2026, 16(3), 196; https://doi.org/10.3390/nano16030196 - 2 Feb 2026
Viewed by 423
Abstract
This study investigates the effects of polypropylene microplastics (PP-MPs) and copper (Cu), applied individually and in combination, on the growth (root and shoot length, fresh and dry biomass), peroxidase (POD) activity, and Cu accumulation of rice seedlings. A hydroponic experiment was conducted with [...] Read more.
This study investigates the effects of polypropylene microplastics (PP-MPs) and copper (Cu), applied individually and in combination, on the growth (root and shoot length, fresh and dry biomass), peroxidase (POD) activity, and Cu accumulation of rice seedlings. A hydroponic experiment was conducted with four treatments: control (CK), PP, Cu, and PP+Cu. Exposure to PP-MPs slightly promoted seedling growth, whereas Cu markedly inhibited growth and induced chlorosis. Compared with Cu alone, co-exposure to PP-MPs and Cu (PP+Cu) partially improved shoot growth and alleviated Cu-induced suppression of shoot POD activity. In contrast, root POD activity showed the strongest reduction under PP+Cu (91.7% decrease), revealing a pronounced root–shoot divergence in antioxidant responses. Moreover, total Cu accumulation in seedlings increased by 12.3% in PP+Cu relative to Cu alone, implying that PP-MPs may influence Cu bioavailability and/or internal partitioning. However, Cu speciation and subcellular distribution were not quantified in this study and should be examined in future work. Overall, PP-MPs may simultaneously enhance Cu uptake while partially mitigating shoot-level toxicity, underscoring the complexity of microplastic–metal co-contamination in rice seedling systems. Full article
(This article belongs to the Section Nanotechnology in Agriculture)
Show Figures

Figure 1

Back to TopTop