Sign in to use this feature.

Years

Between: -

Subjects

remove_circle_outline
remove_circle_outline
remove_circle_outline
remove_circle_outline
remove_circle_outline
remove_circle_outline
remove_circle_outline
remove_circle_outline
remove_circle_outline

Journals

remove_circle_outline
remove_circle_outline
remove_circle_outline
remove_circle_outline
remove_circle_outline
remove_circle_outline
remove_circle_outline
remove_circle_outline
remove_circle_outline
remove_circle_outline
remove_circle_outline
remove_circle_outline
remove_circle_outline
remove_circle_outline
remove_circle_outline
remove_circle_outline
remove_circle_outline
remove_circle_outline

Article Types

Countries / Regions

remove_circle_outline
remove_circle_outline
remove_circle_outline
remove_circle_outline

Search Results (963)

Search Parameters:
Keywords = co-phasing technique

Order results
Result details
Results per page
Select all
Export citation of selected articles as:
33 pages, 10526 KB  
Article
Electrodeposition of Amorphous Cobalt–Phosphorus Coating
by Noam Eliaz, Gal Weisman, Amit Kohn, George Levi, Brian A. Rosen, Alexey Moshkovich and Lev S. Rapoport
Materials 2025, 18(21), 4883; https://doi.org/10.3390/ma18214883 (registering DOI) - 24 Oct 2025
Abstract
Amorphous cobalt-phosphorous (CoP) coatings are a candidate to replace hard chromium and other traditional coatings. Here, electrodeposition of both amorphous and crystalline CoP coatings was performed at room temperature and in an air environment. The bath composition and deposition conditions were optimized to [...] Read more.
Amorphous cobalt-phosphorous (CoP) coatings are a candidate to replace hard chromium and other traditional coatings. Here, electrodeposition of both amorphous and crystalline CoP coatings was performed at room temperature and in an air environment. The bath composition and deposition conditions were optimized to offer a low cost, low maintenance, and safe process. The effects of various deposition variables such as solution composition, pH, duration, and mixing parameters were studied, and the reproducibility of the process was demonstrated. Selected coatings were then thoroughly characterized by a variety of techniques. The best amorphous/nanocrystalline coating contained ca. 6.4 wt.% P after 1.2 h of deposition, and 7.2 wt.% P after 4 h of deposition. The best crystalline coating contained ca. 2.7 wt.% P after 1.2 h of deposition and between 2.3 and 5.5 wt.% P after 4 h of deposition. The amorphous coating had excellent mechanical properties: a high hardness (7.8 ± 0.7 GPa), high Young’s modulus (153 ± 9 GPa), and surprisingly low coefficient of dry friction (between 0.11 ± 0.02 and 0.17 ± 0.01). The coating could not be scraped from the substrate using a diamond scalpel blade. In a standard adhesion test, the sample failed neither cohesively within the coating nor adhesively between the coating and the substrate. In the as-deposited conditions, the structure was uniform, nanocrystalline, or had nanocrystals embedded in an amorphous matrix. The crystallization temperature of the amorphous alloy was 284 °C, and the phase transformation occurred only between 300 and 400 °C. The coatings developed and comprehensively characterized herein may be considered for aerospace, magnetic storage, fuel cells, water splitting, and other applications. Full article
(This article belongs to the Special Issue Metal Coatings for Wear and Corrosion Applications (Second Edition))
15 pages, 1040 KB  
Article
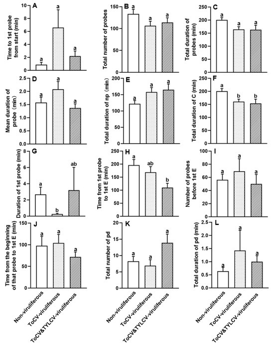
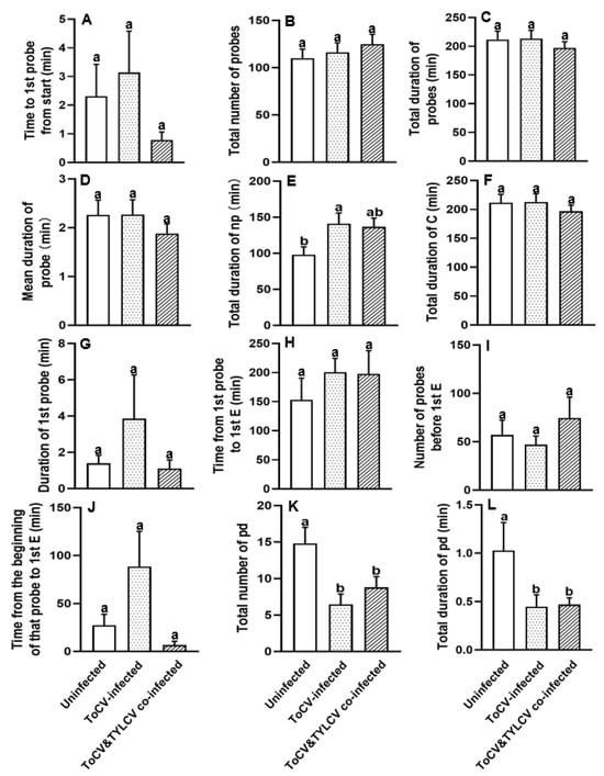
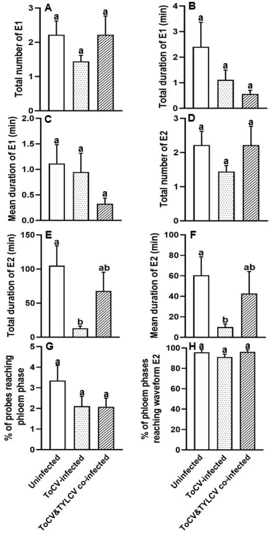
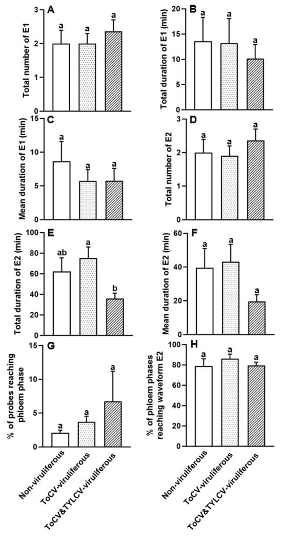
Distinct Modulation of Feeding Behavior in the Whitefly Vector Bemisia tabaci MED by ToCV Single-Infection Versus Synergistic Co-Infection with TYLCV
by Tianbo Ding, Hong Huang, Xiaobei Liu, Min Zhang, Jianmei Yu, Guoxu Xia and Dong Chu
Insects 2025, 16(11), 1091; https://doi.org/10.3390/insects16111091 (registering DOI) - 24 Oct 2025
Abstract
Plant viruses can significantly influence the behavior and performance of their insect vectors, with profound implications for viral epidemiology. However, studies on the effects of co-infection with multiple plant viruses on vector feeding behavior remain scarce, despite its frequent occurrence in nature and [...] Read more.
Plant viruses can significantly influence the behavior and performance of their insect vectors, with profound implications for viral epidemiology. However, studies on the effects of co-infection with multiple plant viruses on vector feeding behavior remain scarce, despite its frequent occurrence in nature and potential for altered transmission outcomes. Bemisia tabaci MED, a key vector insect, is closely linked to the rapid spread of tomato chlorosis virus (ToCV) and tomato yellow leaf curl virus (TYLCV) in China. In this study, the electrical penetration graph (EPG) technique was employed to investigate and compare the indirect (via infected plants) and direct (via viruliferous insects) effects of ToCV alone and ToCV and TYLCV co-infection on the feeding behaviors of B. tabaci MED. The results revealed that whiteflies on ToCV-infected or ToCV&TYLCV co-infected plants exhibited significantly longer non-probing durations compared to those on un-infected plants. The intracellular puncture activity of whiteflies was markedly reduced on virus-infected plants, and ToCV infection particularly shortened the duration of phloem sap ingestion. Moreover, viruliferous whiteflies (carrying ToCV or both viruses) spent less time in the intercellular pathway phase. Specifically, ToCV-viruliferous whiteflies had a shorter first-probe duration than non-viruliferous ones. The time from the first probe to the first E phase was also shorter in viruliferous whiteflies, especially in those carrying both ToCV and TYLCV. Furthermore, a significant difference was observed in the total duration of phloem sap ingestion between ToCV-viruliferous and ToCV&TYLCV-viruliferous whiteflies. These findings indicate that both ToCV infection and ToCV&TYLCV co-infection can modulate whitefly feeding behaviors through indirect and direct manners, with co-infection eliciting unique behavioral changes. These insights are valuable for elucidating the negative impact of ToCV-infected and ToCV&TYLCV co-infected tomato plants on whitefly performance, and for uncovering the mechanisms underlying the epidemics of these viruses. Full article
(This article belongs to the Special Issue Insect Transmission of Plant Viruses)
Show Figures

Figure 1

23 pages, 9070 KB  
Article
Evaluation of L- and S-Band Polarimetric Data for Monitoring Great Lakes Coastal Wetland Health in Preparation for NISAR
by Michael J. Battaglia and Laura L. Bourgeau-Chavez
Remote Sens. 2025, 17(21), 3506; https://doi.org/10.3390/rs17213506 - 22 Oct 2025
Abstract
Coastal wetlands are a critical buffer between land and water that are threatened by land use and climate change, necessitating improved monitoring for management and resilience planning. The recently launched NASA-ISRO L- and S-band SAR satellite (NISAR) will provide regular collections of fully [...] Read more.
Coastal wetlands are a critical buffer between land and water that are threatened by land use and climate change, necessitating improved monitoring for management and resilience planning. The recently launched NASA-ISRO L- and S-band SAR satellite (NISAR) will provide regular collections of fully polarimetric SAR imagery over the Great Lakes, allowing for unprecedented remote monitoring of the large expanses of coastal wetlands in the region. Prior research with polarimetric C-band SAR showed inconsistencies with common polarimetric analysis techniques, including the erroneous misattribution of double-bounce scattering in three-component scattering models. To prepare for NISAR and determine whether SAR-based coastal wetland analysis methods established with the C-band are applicable to the L- and S-bands, the NASA-ISRO airborne system (ASAR) collected imagery over western Lake Erie and Lake St. Clair coincident with a field data collection campaign. ASAR data were analyzed to identify common Great Lakes coastal wetland vegetation species, assess the extent of inundation, and derive biomass retrieval algorithms. Co-polarized phase difference histograms were also analyzed to assess the validity of three-component scattering decompositions. The L- and S-bands allowed for the production of wetland type maps with high accuracies (92%), comparable to those produced using a fusion of optical and SAR data. Both frequencies could assess the extent of flooded vegetation, with the S-band correctly identifying inundated vegetation at a slightly higher rate than the L-band (83% to 78%). Marsh vegetation biomass retrieval algorithms derived from L-band data had the best correlation with field data (R2 = 0.71). Three component scattering models were found to misattribute double-bounce scattering at incidence angles shallower than 35°. The L- and S-band results were compared with satellite RADARSAT-2 imagery collected close to the ASAR acquisitions. This study provides an advanced understanding of polarimetric SAR for monitoring wetlands and provides a framework for utilizing forthcoming NISAR data for effective monitoring. Full article
(This article belongs to the Special Issue NISAR Global Observations for Ecosystem Science and Applications)
Show Figures

Figure 1

22 pages, 2829 KB  
Article
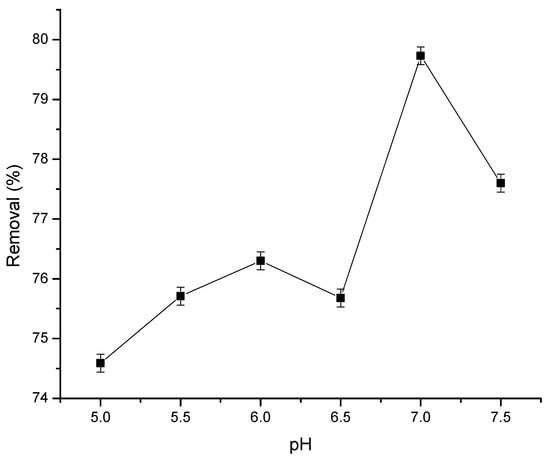
Preparation of Poly(vinylidene fluoride-co-hexafluoropropylene) Doped Cellulose Acetate Films for the Treatment of Calcium-Based Hardness from Aqueous Solution
by Khaleke Veronicah Ramollo, Lutendo Evelyn Macevele, Abayneh Ataro Ambushe and Takalani Magadzu
Physchem 2025, 5(4), 45; https://doi.org/10.3390/physchem5040045 - 20 Oct 2025
Viewed by 164
Abstract
Calcium (Ca2+ ions) is one of the dominant elements that contribute to water hardness, scaling in pipes, bathroom faucets, and kitchen utensils. Herein, we report on the development of poly(vinylidene fluoride-co-hexafluoropropylene) cellulose acetate (PVDF-HFP/CA) films for the treatment of Ca2+ ions [...] Read more.
Calcium (Ca2+ ions) is one of the dominant elements that contribute to water hardness, scaling in pipes, bathroom faucets, and kitchen utensils. Herein, we report on the development of poly(vinylidene fluoride-co-hexafluoropropylene) cellulose acetate (PVDF-HFP/CA) films for the treatment of Ca2+ ions as one of the constituents that causes water hardness. CA and PVDF-HFP polymers, and their blend consisting of 3 wt.% PVDF-HFP/CA, were effectively synthesised through the phase inversion technique. Analysis using thermogravimetric analysis (TGA), Fourier transform infrared (FTIR) spectroscopy, and scanning electron microscopy (SEM) confirmed the effective incorporation of 3 wt.% PVDF-HFP into the cellulose acetate film. Parameters such as temperature, initial concentration, pH, adsorbent dosage and contact time were investigated in batch studies during the removal of Ca2+ ions in synthetic water samples. Under optimal conditions (pH 7, adsorbent dosage of 0.5 mg/L, and concentration of 120 mg/L), the 3 wt.% PVDF-HFP/CA film achieved a 99% adsorption efficiency for Ca2+ ions in 90 min. The adsorption process adhered to pseudo-second-order and Freundlich isotherm models, which suggest that the adsorption of Ca2+ ions is heterogeneous. The maximum adsorption efficiency achieved was 56 mg/g, indicating an endothermic physisorption process. The 3 wt.% PVDF-HFP/CA film maintained higher adsorption in the presence of counter ions and in a binary system, and it could be recycled at least three times. Thus, the findings demonstrated that the 3 wt.% PVDF-HFP/CA film could be a valuable material for Ca2+ ions removal to acceptable drinking water levels. Full article
(This article belongs to the Section Surface Science)
Show Figures

Graphical abstract

13 pages, 3509 KB  
Article
Sol–Gel Synthesis and Multi-Technique Characterization of Graphene-Modified Ca2.95Eu0.05Co4Ox Nanomaterials
by Serhat Koçyiğit
Polymers 2025, 17(20), 2767; https://doi.org/10.3390/polym17202767 - 16 Oct 2025
Viewed by 291
Abstract
This study employs a multi-technique approach to elucidate how graphene incorporation affects phase formation, microstructure, and thermal behavior in PVA-assisted sol–gel synthesized Ca2.95Eu0.05Co4Ox nanomaterials. XRD confirms the preservation of the primary phases (hexagonal CaCO3 and [...] Read more.
This study employs a multi-technique approach to elucidate how graphene incorporation affects phase formation, microstructure, and thermal behavior in PVA-assisted sol–gel synthesized Ca2.95Eu0.05Co4Ox nanomaterials. XRD confirms the preservation of the primary phases (hexagonal CaCO3 and cubic CoO) alongside a distinct graphene (002) reflection; a systematic low-angle shift of the calcite (104) peak evidences partial relaxation of residual lattice strain with increasing graphene content, while Scherrer analysis indicates tunable crystallite size. Raman spectroscopy corroborates graphene incorporation through pronounced D (~1300 cm−1) and G (~1580 cm−1) bands and supports the XRD-identified phase coexistence via cobalt-oxide and calcite vibrations in the 200–700 cm−1 region, also indicating increased defect/disorder with graphene loading. SEM shows grain refinement, denser/bridged lamellar textures, and reduced porosity at low–moderate graphene contents (1–3 wt.%), contrasted by agglomeration-driven heterogeneity at higher loadings (5–7 wt.%). EDX reveals increasing carbon with Ca/Co redistribution at accessible surfaces, and TG–DSC corroborates the removal of oxygen-containing groups and oxidative combustion of graphene at mid temperatures. Collectively, Raman–XRD-consistent evidence demonstrates that graphene provides a tunable handle over lattice strain, crystallite size, and grain-boundary architecture, establishing a processing–composition basis for optimizing functional (e.g., electrical/thermoelectric) performance. Full article
(This article belongs to the Special Issue Polymers in Inorganic Chemistry: Synthesis and Applications)
Show Figures

Figure 1

44 pages, 4840 KB  
Review
CO2 Capture and Sequestration by Gas Hydrates: An Overview of the Influence and Chemical Characterization of Natural Compounds and Sediments in Marine Environments
by Lorenzo Remia, Andrea Tombolini, Rita Giovannetti and Marco Zannotti
J. Mar. Sci. Eng. 2025, 13(10), 1908; https://doi.org/10.3390/jmse13101908 - 3 Oct 2025
Viewed by 322
Abstract
Due to the rising atmospheric carbon dioxide levels driven by human activity, extensive scientific efforts have been dedicated to developing methods aimed at reducing its concentration in the atmosphere. A novel approach involves using hydrates as a long-lasting reservoir of CO2 sequestration. [...] Read more.
Due to the rising atmospheric carbon dioxide levels driven by human activity, extensive scientific efforts have been dedicated to developing methods aimed at reducing its concentration in the atmosphere. A novel approach involves using hydrates as a long-lasting reservoir of CO2 sequestration. This review provides an initial overview of hydrate characteristics, their formation mechanisms, and the experimental techniques commonly employed for their characterization, including X-ray, Raman spectroscopy, cryoSEM, DSC, and molecular dynamic simulation. One of the main challenges in CO2 sequestration via hydrates is the requirement of high pressures and low temperatures to stabilize CO2 molecules within the hydrate crystalline cavities. However, deviations from classical temperature-pressure phase diagrams observed in natural and engineered environments can be explained by considering that hydrate stability and formation are primarily governed by chemical potentials, not just temperature and pressure. Activity, which reflects concentration and non-ideal interactions, greatly influences chemical potentials, emphasizing the importance of solution composition, salinity, and additives. In this context the role of promoters and inhibitors in facilitating or hindering hydrate formation is discussed. Furthermore, the review presents an overview of the impact of marine sediments and naturally occurring compounds on CO2 hydrate formation, along with the sampling methodologies used in sediments to determine the composition of these natural compounds. Special attention is given to the effect and chemical characterization of dissolved organic matter (DOM) in marine aquatic environments. The focus is placed on the key roles of various natural occurring molecules, such as amino acids, protein derivatives, and humic substances, along with the analytical techniques employed for their chemical characterization, highlighting their central importance in the CO2 gas hydrates formation. Full article
(This article belongs to the Special Issue Advances in Marine Gas Hydrates)
Show Figures

Figure 1

18 pages, 7510 KB  
Article
Effects of the Addition of Iron and Chromium on the Structure and Properties of the Ni-Co-Mn-In Alloy
by Edyta Matyja and Krystian Prusik
Materials 2025, 18(19), 4597; https://doi.org/10.3390/ma18194597 - 3 Oct 2025
Viewed by 327
Abstract
In this work, small amounts of Fe or Cr were added to Ni47Co3Mn36.5In13.5 alloy (x = 0) to produce five-component alloys with nominal compositions of Ni47Co3Mn35.5In13.5Fe1, [...] Read more.
In this work, small amounts of Fe or Cr were added to Ni47Co3Mn36.5In13.5 alloy (x = 0) to produce five-component alloys with nominal compositions of Ni47Co3Mn35.5In13.5Fe1, Ni47Co3Mn33.5In13.5Fe3, Ni47Co3Mn35.5In13.5Cr1, and Ni47Co3Mn33.5In13.5Cr3, which are denoted as Ni47Co3Mn36.5−xIn13.5Fex/Crx (x = 1, 3 at.% Cr/Fe) series or as Mn-series (due to the addition of alloying elements instead of Mn), and Ni47Co3Mn36.5In12.5Fe1, Ni47Co3Mn36.5In10.5Fe3, Ni47Co3Mn36.5In12.5Cr1, and Ni47Co3Mn36.5In10.5Cr3, denoted as Ni47Co3Mn36.5In13.5−x (x = 1, 3 at.% Cr/Fe) series or In-series (due to the addition of alloying elements instead of In). The polycrystalline alloys were produced using the vacuum arc melting technique. The as-received alloys were characterized in structure, homogeneity, phase composition, martensitic transformation, and microhardness. The results showed that the addition of 1 at.% of Cr or Fe positively impacted the microstructure of the alloys. The quaternary alloy exhibited a single-phase coarse-grained structure. The addition of Fe and Cr (1 at.%) caused microstructure refinement with small Fe/Cr- and Co-rich γ particles appropriately distributed in the matrix, while the addition of 3% Fe or Cr resulted in γ formation in a dendritic form distributed more randomly. The addition of 1 at.% and 3 at.% of Cr or Fe significantly influenced the martensitic transformation temperatures. The microhardness increased by 21% in the Ni47Co3Mn33.5In13.5Fe3 alloy compared to the quaternary alloy. Full article
(This article belongs to the Special Issue Processing of Metals and Alloys)
Show Figures

Figure 1

40 pages, 5643 KB  
Article
Energy Systems in Transition: A Regional Analysis of Eastern Europe’s Energy Challenges
by Robert Santa, Mladen Bošnjaković, Monika Rajcsanyi-Molnar and Istvan Andras
Clean Technol. 2025, 7(4), 84; https://doi.org/10.3390/cleantechnol7040084 - 2 Oct 2025
Viewed by 742
Abstract
This study presents a comprehensive assessment of the energy systems in eight Eastern European countries—Bulgaria, Croatia, the Czech Republic, Hungary, Poland, Romania, Slovakia, and Slovenia—focusing on their energy transition, security of supply, decarbonisation, and energy efficiency. Using principal component analysis (PCA) and clustering [...] Read more.
This study presents a comprehensive assessment of the energy systems in eight Eastern European countries—Bulgaria, Croatia, the Czech Republic, Hungary, Poland, Romania, Slovakia, and Slovenia—focusing on their energy transition, security of supply, decarbonisation, and energy efficiency. Using principal component analysis (PCA) and clustering techniques, we identify three different energy profiles: countries dependent on fossil fuels (e.g., Poland, Bulgaria), countries with a balanced mix of nuclear and fossil fuels (e.g., the Czech Republic, Slovakia, Hungary), and countries focusing mainly on renewables (e.g., Slovenia, Croatia). The sectoral analysis shows that industry and transport are the main drivers of energy consumption and CO2 emissions, and the challenges and policy priorities of decarbonisation are determined. Regression modelling shows that dependence on fossil fuels strongly influences the use of renewable energy and electricity consumption patterns, while national differences in per capita electricity consumption are influenced by socio-economic and political factors that go beyond the energy structure. The Decarbonisation Level Index (DLI) indicator shows that Bulgaria and the Czech Republic achieve a high degree of self-sufficiency in domestic energy, while Hungary and Slovakia are the most dependent on imports. A typology based on energy intensity and import dependency categorises Romania as resilient, several countries as balanced, and Hungary, Slovakia, and Croatia as vulnerable. The projected investments up to 2030 indicate an annual increase in clean energy production of around 123–138 TWh through the expansion of nuclear energy, the development of renewable energy, the phasing out of coal, and the improvement of energy efficiency, which could reduce CO2 emissions across the region by around 119–143 million tons per year. The policy recommendations emphasise the accelerated phase-out of coal, supported by just transition measures, the use of nuclear energy as a stable backbone, the expansion of renewables and energy storage, and a focus on the electrification of transport and industry. The study emphasises the significant influence of European Union (EU) policies—such as the “Clean Energy for All Europeans” and “Fit for 55” packages—on the design of national strategies through regulatory frameworks, financing, and market mechanisms. This analysis provides important insights into the heterogeneity of Eastern European energy systems and supports the design of customised, coordinated policy measures to achieve a sustainable, secure, and climate-resilient energy transition in the region. Full article
Show Figures

Figure 1

20 pages, 2858 KB  
Article
Development of 3D-Printed Carbon Capture Adsorbents by Zeolites Derived from Coal Fly Ash
by Silviya Boycheva, Boian Mladenov, Ivan Dimitrov and Margarita Popova
J. Compos. Sci. 2025, 9(10), 524; https://doi.org/10.3390/jcs9100524 - 1 Oct 2025
Viewed by 420
Abstract
The present study aims to develop 3D-structured adsorbents for carbon capture with the utilization of coal ash after its conversion into zeolites. For this purpose, printing paste mixtures with a viscosity of 800 Pa·s were developed based on an environmentally friendly and safe [...] Read more.
The present study aims to develop 3D-structured adsorbents for carbon capture with the utilization of coal ash after its conversion into zeolites. For this purpose, printing paste mixtures with a viscosity of 800 Pa·s were developed based on an environmentally friendly and safe polymer binder filled with coal ash zeolite with the addition of bentonite as a filler. The optimal consistency of the printing mixtures for preserving the shape and dimensions of the 3D-printed structures was established. Various model configurations of the macrostructure of 3D adsorbents were developed, and the optimal settings of the extruding system for their printing were established. After calcination, the resulting 3D structures were studied using instrumental analysis techniques, investigating the influence of 3D structuring on the phase composition, surface characteristics, and adsorption capacity for CO2 capture in comparison with the initial powder coal ash zeolite adsorbents. The role of compensating cations in terms of the adsorption ability of powders in 3D-printed adsorbents was investigated. The current study offers an innovative and previously unexplored approach to a more expedient and practically significant utilization of aluminosilicate solid waste and, in particular, coal ash, through their 3D structuring and outlines a new research and technological direction in the development of economically advantageous, technologically feasible, and environmentally friendly 3D adsorbents. Full article
(This article belongs to the Special Issue 3D Printing and Additive Manufacturing of Composites)
Show Figures

Graphical abstract

55 pages, 6230 KB  
Review
Comprehensive Insights into Carbon Capture and Storage: Geomechanical and Geochemical Aspects, Modeling, Risk Assessment, Monitoring, and Cost Analysis in Geological Storage
by Abdul Rehman Baig, Jemal Fentaw, Elvin Hajiyev, Marshall Watson, Hossein Emadi, Bassel Eissa and Abdulrahman Shahin
Sustainability 2025, 17(19), 8619; https://doi.org/10.3390/su17198619 - 25 Sep 2025
Viewed by 970
Abstract
Carbon Capture and Storage (CCS) is a vital climate mitigation strategy aimed at reducing CO2 emissions from industrial and energy sectors. This review presents a comprehensive analysis of CCS technologies, focusing on capture methods, transport systems, geological storage, geomechanical and geochemical aspects, [...] Read more.
Carbon Capture and Storage (CCS) is a vital climate mitigation strategy aimed at reducing CO2 emissions from industrial and energy sectors. This review presents a comprehensive analysis of CCS technologies, focusing on capture methods, transport systems, geological storage, geomechanical and geochemical aspects, modeling, risk assessment, monitoring, and economic feasibility. Among capture technologies, pre-combustion capture is identified as the most efficient (90–95%) due to its high purity and integration potential. Notably, most operational CCS projects in 2025 utilize pre-combustion capture, particularly in hydrogen production and natural gas processing. For geological storage, saline aquifers and depleted oil and gas reservoirs are highlighted as the most promising due to their vast capacity and proven containment. In the transport phase, pipeline systems are considered the most effective and scalable method, offering high efficiency and cost-effectiveness for large-scale CO2 movement, especially in the supercritical phase. The study also emphasizes the importance of hybrid integrated risk assessment models, such as NRAP-Open-IAM, which combine deterministic simulations with probabilistic frameworks for robust site evaluation. In terms of monitoring, Seismic monitoring methods are regarded as the most reliable subsurface technique for tracking CO2 plume migration and ensuring storage integrity. Economically, depleted reservoirs offer the most feasible option when integrated with existing infrastructure and supported by incentives like 45Q tax credits. The review concludes that successful CCS deployment requires interdisciplinary innovation, standardized risk protocols, and strong policy support. This work serves as a strategic reference for researchers, policymakers, and industry professionals aiming to scale CCS technologies for global decarbonization. Full article
(This article belongs to the Section Pollution Prevention, Mitigation and Sustainability)
Show Figures

Figure 1

15 pages, 784 KB  
Article
Advancing the Chemical Characterization of Eperua oleifera Duke Oleoresin: A UHPLC-HRMS-Based Approach
by Rayssa Ribeiro, Gabriel Reis Alves Carneiro, Gustavo Ramalho Cardoso dos Santos, Márcio Vinícius da Silva Gomes, Henrique Marcelo Gualberto Pereira, Monica Costa Padilha and Valdir F. Veiga-Junior
Plants 2025, 14(18), 2893; https://doi.org/10.3390/plants14182893 - 18 Sep 2025
Viewed by 356
Abstract
Eperua oleifera Ducke (Fabaceae), commonly known as copaíba-jacaré, is traditionally used for therapeutic purposes, like Copaifera oleoresins. Previous GC-MS studies reported its chemical composition as mainly composed of diterpenic acids, consistent with species of the same genus. Although GC-MS remains widely used [...] Read more.
Eperua oleifera Ducke (Fabaceae), commonly known as copaíba-jacaré, is traditionally used for therapeutic purposes, like Copaifera oleoresins. Previous GC-MS studies reported its chemical composition as mainly composed of diterpenic acids, consistent with species of the same genus. Although GC-MS remains widely used for comparing compound retention times and fragmentation patterns, its application to diterpenic acids requires a derivatization step to form methyl esters due to the poor chromatographic performance of carboxylic acids on methyl silicone stationary phases. This step may lead to misinterpretations, especially considering recent findings of naturally occurring methyl esters in oleoresins that may co-elute with derivatized acids. This study aimed to apply more sensitive analytical techniques to identify both target and untargeted compounds. The resin of E. oleifera was analyzed by GC-MS to assess the presence of volatile components. Additionally, UHPLC-HRMS was employed using full-scan MS, data-dependent acquisition (DDA), and parallel reaction monitoring (PRM) in both positive and negative ESI modes. GC-MS confirmed the absence of volatile sesquiterpenes, classifying E. oleifera as a resin. Targeted UHPLC-HRMS detected natural methyl esters of diterpenic acids, while untargeted analysis using Compound Discoverer 3.3 software revealed flavonoids and phenolic compounds not previously reported. These findings support the application of UHPLC-HRMS as a powerful tool in phytochemical studies. Full article
(This article belongs to the Section Phytochemistry)
Show Figures

Graphical abstract

29 pages, 7862 KB  
Review
Bismuth-Based Oxyfluorides as Emergent Photocatalysts: A Review
by Thomas Erbland, Sara Ibrahim, Lucas Pelat, Kevin Lemoine, Angélique Bousquet and Pierre Bonnet
Molecules 2025, 30(18), 3784; https://doi.org/10.3390/molecules30183784 - 17 Sep 2025
Viewed by 492
Abstract
Bismuth-based oxyfluorides (BiOxF3−2x) have recently emerged as promising photocatalysts due to their unique electronic structures and tunable physicochemical properties. This review provides a comprehensive overview of these materials, focusing on their crystal structures, band gap characteristics, and photocatalytic performance. [...] Read more.
Bismuth-based oxyfluorides (BiOxF3−2x) have recently emerged as promising photocatalysts due to their unique electronic structures and tunable physicochemical properties. This review provides a comprehensive overview of these materials, focusing on their crystal structures, band gap characteristics, and photocatalytic performance. Particular attention is given to BiOF, Bi7O5F11, and β-BiOxF3−2x, highlighting the influence of fluorine’s high electronegativity and internal electric fields on charge separation and light absorption. The potential of Aurivillius-type oxyfluorides is also discussed. Structural modifications, such as the introduction of oxygen vacancies, morphology control, and metal/non-metal doping, are examined for their effects on photocatalytic efficiency. Furthermore, various synthesis techniques and heterojunction engineering strategies involving semiconductors, carbon-based materials, and metal nanoparticles are explored to improve light harvesting and reduce charge recombination. Applications in pollutant degradation and CO2 photoconversion are reviewed, demonstrating the versatility of these materials. Despite their promise, the challenges associated with phase identification and composition control are also emphasized, underlining the need for rigorous structural characterization. Future directions for optimizing the photocatalytic activity of bismuth-based oxyfluorides are outlined, focusing on strategies to enhance their performance. Full article
(This article belongs to the Special Issue Chemical Research on Photosensitive Materials, 2nd Edition)
Show Figures

Figure 1

19 pages, 3396 KB  
Article
Effect of Scale Inhibitors on the Nucleation and Crystallization of Calcium Carbonate
by Vanessa Pimentel Lages, Raquel Gonçalves, Fernanda Medeiros, Rubens Bisatto, André Linhares Rossi and Amaro Gomes Barreto Junior
Minerals 2025, 15(9), 947; https://doi.org/10.3390/min15090947 - 5 Sep 2025
Viewed by 689
Abstract
Effective control of calcium carbonate (CaCO3) scale formation is crucial to improve the performance and economic efficiency of water systems. This study investigates the impact of various scale inhibitors on the nucleation and crystallization processes of CaCO3. Calcium carbonate [...] Read more.
Effective control of calcium carbonate (CaCO3) scale formation is crucial to improve the performance and economic efficiency of water systems. This study investigates the impact of various scale inhibitors on the nucleation and crystallization processes of CaCO3. Calcium carbonate particles were synthesized by mixing CaCl2·2H2O and NaHCO3 solutions, in the presence of various scale inhibitors that had not previously been investigated using the experimental techniques employed in this study. Particle size distribution and zeta potential were analyzed using dynamic light scattering (DLS), while Ca+2 consumption and pH changes were monitored with ion-selective electrodes. Crystal morphology was evaluated using scanning electron microscopy (SEM) and cryo-transmission electron microscopy (cryo-TEM). We demonstrated that, in all samples, approximately 98% of the CaCO3 particles (sized between 400 and 840 nm) are formed within the first 30 min of synthesis, and these particles then aggregate to form larger particles (840–1100 nm in size). Due to the solution’s high supersaturation, the inhibitors influence calcium consumption only after 5 min of synthesis. All inhibitors, especially DTPMP, decrease calcium consumption and particle size during synthesis. The zeta potential and morphology of the particles in the samples containing inhibitors differed from those in the control group. Cryo-TEM observations revealed distinct nanometric precursor phases in the calcite crystallization process without inhibitors and different nanostructures when scale inhibitors were used. Moreover, conchoidal fractures were observed in the nanoparticles formed in the presence of DTPMP. This study demonstrates the effectiveness of various inhibitors in reducing calcium consumption in solution and altering the morphology of CaCO3 crystals, thereby preventing calcium carbonate (CaCO3) scale formation. Full article
Show Figures

Graphical abstract

15 pages, 4260 KB  
Article
Research on the Ultrasonic Electro-Spark Deposition Process and the Properties of the Deposition Layer
by Bihan Li, Xiaobin Ma, Yongwei Liu, Hanqi Wang, Manyu Bao and Ruijun Wang
Coatings 2025, 15(9), 1038; https://doi.org/10.3390/coatings15091038 - 4 Sep 2025
Viewed by 543
Abstract
The continuous discharge voltage waveform and phenomena between the electrode and substrate were explored in this paper to study the ultrasonic electro-spark deposition process. Additionally, the impact of ultrasonics on the ultrasonic electro-spark deposition process and the properties of the deposition layer were [...] Read more.
The continuous discharge voltage waveform and phenomena between the electrode and substrate were explored in this paper to study the ultrasonic electro-spark deposition process. Additionally, the impact of ultrasonics on the ultrasonic electro-spark deposition process and the properties of the deposition layer were examined. The results show that the charge–discharge frequency of the ultrasonic electro-spark deposition process was commensurate with the discharge frequency of the ultrasonic electro-spark deposition power source, and the voltage waveform was stable. When ultrasonics is introduced, the molten droplet spray trajectory is efficiently guided, resulting in the spark spray trajectory displaying notable directional concentration characteristics. During a single charging and discharging phase, the electrode and substrate made roughly 15 mechanical contacts, 1 of which was discharging, and the remaining 14 were mechanically contacted reinforcement. The surface of the ultrasonic electro-spark deposition layer exhibited a sputtering morphology with no surface cracks. Phase structures such as Co3W3C, Fe3W3C, Fe6W6C, WC, and W2C constituted the majority of the ultrasonic electro-spark deposition layer’s microstructure and showed strong metallurgical bonds with the substrate. The ultrasonic electro-spark deposition layer has a surface roughness of 2.554 μm, a cross-section porosity of 1.3%, and a maximum microhardness of 1038.8 HV0.025. Comparative analysis demonstrates that the addition of ultrasonics can significantly enhance the deposition layer’s quality and performance. When compared to the electro-spark deposition layer, the surface roughness of the ultrasonic electro-spark deposition layer decreases by roughly 61.4%, the cross-sectional porosity decreases by around 57.5%, and the maximum microhardness increases by about 15.5%. Many cracks and much high surface roughness in the conventional electro-spark deposition layer are resolved by the ultrasonic electro-spark deposition technique, which is crucial for cold drawing mold surface strengthening. Full article
(This article belongs to the Section Surface Characterization, Deposition and Modification)
Show Figures

Figure 1

22 pages, 1104 KB  
Article
Improving CO2 Capture Efficiency Through Novel CLOU-Based Fuel Reactor Configuration in Chemical Looping Combustion
by Anna Zylka, Jaroslaw Krzywanski, Tomasz Czakiert, Marcin Sosnowski, Karolina Grabowska, Dorian Skrobek and Lukasz Lasek
Energies 2025, 18(17), 4640; https://doi.org/10.3390/en18174640 - 1 Sep 2025
Viewed by 720
Abstract
Climate change and global decarbonization targets drive the search for more efficient and cost-effective combustion technologies. Chemical looping combustion (CLC) using solid oxygen carriers with chemical looping with oxygen uncoupling (CLOU) functionality has attracted growing interest due to its inherent potential for CO [...] Read more.
Climate change and global decarbonization targets drive the search for more efficient and cost-effective combustion technologies. Chemical looping combustion (CLC) using solid oxygen carriers with chemical looping with oxygen uncoupling (CLOU) functionality has attracted growing interest due to its inherent potential for CO2 capture without requiring additional separation processes. This study introduces a conceptual proof-of-concept design of a novel fuel reactor design for a dual-fluidized bed CLC system operating with solid fuels. The new configuration incorporates a perforated conveyor for circulating CLOU-type oxygen carriers, thereby avoiding direct contact between the carriers and the fuel–ash mixture. This approach prevents the slip of unburned fuel and ash into the air reactor, minimizes the loss of oxygen carriers, and improves combustion efficiency. The proposed reactor concept enables the generation of flue gas with a high CO2 concentration, which facilitates its subsequent capture and reduces the energy penalty associated with traditional CCS techniques. The improved phase separation and better control of oxygen carrier residence time contribute to enhanced system performance and reduced operating costs. Preliminary process simulations conducted in the CeSFaMB environment, using boundary and initial conditions from a CLC test rig, were included to illustrate the potential of the design. Experimental validation is outside the scope of this study and will be presented in future work once the dedicated test facility is operational. This contribution should therefore be regarded as a conceptual proof-of-concept study, and experimental validation together with techno-economic benchmarking will be reported in follow-up publications once the dedicated test facility is operational. Full article
Show Figures

Figure 1

Back to TopTop