Sign in to use this feature.

Years

Between: -

Subjects

remove_circle_outline
remove_circle_outline
remove_circle_outline
remove_circle_outline
remove_circle_outline
remove_circle_outline
remove_circle_outline
remove_circle_outline
remove_circle_outline

Journals

remove_circle_outline
remove_circle_outline
remove_circle_outline
remove_circle_outline
remove_circle_outline
remove_circle_outline
remove_circle_outline
remove_circle_outline
remove_circle_outline
remove_circle_outline
remove_circle_outline
remove_circle_outline
remove_circle_outline
remove_circle_outline
remove_circle_outline
remove_circle_outline
remove_circle_outline
remove_circle_outline

Article Types

Countries / Regions

remove_circle_outline
remove_circle_outline
remove_circle_outline
remove_circle_outline
remove_circle_outline

Search Results (1,096)

Search Parameters:
Keywords = close-coupling method

Order results
Result details
Results per page
Select all
Export citation of selected articles as:
25 pages, 1501 KB  
Article
MA-JTATO: Multi-Agent Joint Task Association and Trajectory Optimization in UAV-Assisted Edge Computing System
by Yunxi Zhang and Zhigang Wen
Drones 2026, 10(4), 267; https://doi.org/10.3390/drones10040267 - 7 Apr 2026
Abstract
With the rapid development of applications such as smart cities and the industrial internet, the computation-intensive tasks generated by massive sensing devices pose significant challenges to traditional cloud computing paradigms. Unmanned aerial vehicle (UAV)-assisted edge computing systems, leveraging their high mobility and wide-area [...] Read more.
With the rapid development of applications such as smart cities and the industrial internet, the computation-intensive tasks generated by massive sensing devices pose significant challenges to traditional cloud computing paradigms. Unmanned aerial vehicle (UAV)-assisted edge computing systems, leveraging their high mobility and wide-area coverage capabilities, offer an innovative architecture for low-latency and highly reliable edge services. However, the practical deployment of such systems faces a highly complex multi-objective optimization problem featured by the tight coupling of task offloading decisions, UAV trajectory planning, and edge server resource allocation. Conventional optimization methods are difficult to adapt to the dynamic and high-dimensional characteristics of this problem, leading to suboptimal system performance. To address this critical challenge, this paper constructs an intelligent collaborative optimization framework for UAV-assisted edge computing systems and formulates the system quality of service (QoS) optimization problem as a mixed-integer non-convex programming problem with the dual objectives of minimizing task processing latency and reducing overall system energy consumption. A multi-agent joint task association and trajectory optimization (MA-JTATO) algorithm based on hybrid reinforcement learning is proposed to solve this intractable problem, which innovatively decouples the original coupled optimization problem into three interrelated subproblems and realizes their collaborative and efficient solution. Specifically, the Advantage Actor-Critic (A2C) algorithm is adopted to realize dynamic and optimal task association between UAVs and edge servers for discrete decision-making requirements; the multi-agent deep deterministic policy gradient (MADDPG) method is employed to achieve cooperative and energy-efficient trajectory planning for multiple UAVs to meet the needs of continuous control in dynamic environments; and convex optimization theory is applied to obtain a closed-form optimal solution for the efficient allocation of computational resources on edge servers. Simulation results demonstrate that the proposed MA-JTATO algorithm significantly outperforms traditional baseline algorithms in enhancing overall QoS, effectively validating the framework’s superior performance and robustness in dynamic and complex scenarios. Full article
(This article belongs to the Section Drone Communications)
Show Figures

Figure 1

20 pages, 5892 KB  
Article
Nonlinear Ultrasonic Time-Domain Identification Based on Chaos Sensitivity and Its Application to Fatigue Detection of U71Mn Rail Steels
by Hongzhao Li, Mengfei Cheng, Chengzhong Luo, Weiwei Zhang, Jing Wu and Hongwei Ma
Sensors 2026, 26(7), 2262; https://doi.org/10.3390/s26072262 - 6 Apr 2026
Abstract
A nonlinear ultrasonic time-domain identification method based on chaos sensitivity was proposed in this study. The Duffing chaotic system was introduced into the weak second harmonic identification to realize early detection and quantitative evaluation of fatigue damage in U71Mn steel. First, to ensure [...] Read more.
A nonlinear ultrasonic time-domain identification method based on chaos sensitivity was proposed in this study. The Duffing chaotic system was introduced into the weak second harmonic identification to realize early detection and quantitative evaluation of fatigue damage in U71Mn steel. First, to ensure the reliability of nonlinear ultrasonic testing, a probe-pressure monitoring device was designed. Through pressure-stability experiments, 16 N was determined as the optimal pressure, which effectively suppresses contact nonlinearity interference and ensures coupling stability. Subsequently, the Duffing chaos detection system was established. The signal-system frequency-matching problem was resolved through time-scale transformation. Simultaneously, the issue of unknown initial phases was resolved using phase traversal compensation. Based on the chaotic system’s sensitivity to specific frequency signals and immunity to noise, the amplitudes of the fundamental wave and second harmonics in the target signals were quantified to calculate the nonlinear coefficient. Experimental results demonstrate that the proposed method can extract these amplitudes directly in the time domain, thereby effectively overcoming the spectral leakage inherent in traditional frequency-domain methods. The nonlinear coefficient of U71Mn steel exhibits a “double-peak” characteristic as fatigue damage increases. Specifically, the first peak appears at approximately 50% of fatigue life, while the second occurs at approximately 80%. This phenomenon is closely correlated with the distinct stages of internal fatigue crack propagation, reflecting a complex damage-evolution mechanism. This study not only provides a novel method for the precise extraction of weak nonlinear signals but also establishes a critical theoretical and experimental foundation for accurate fatigue life prediction for U71Mn rail steel. Full article
(This article belongs to the Section Fault Diagnosis & Sensors)
28 pages, 5422 KB  
Article
Vision-Guided Dual-Loop Control of a Truck-Mounted Electric Water Cannon for Autonomous Fire Suppression
by Zhiyuan Chen and Chaofeng Liu
Appl. Sci. 2026, 16(7), 3469; https://doi.org/10.3390/app16073469 - 2 Apr 2026
Viewed by 169
Abstract
Fire trucks equipped with truck-mounted electric water cannons are key mobile firefighting assets for urban and industrial fire response. However, due to the inherent mechanical inertia of the cannon body, its low-frequency motion response cannot match high-frequency control commands, making the system prone [...] Read more.
Fire trucks equipped with truck-mounted electric water cannons are key mobile firefighting assets for urban and industrial fire response. However, due to the inherent mechanical inertia of the cannon body, its low-frequency motion response cannot match high-frequency control commands, making the system prone to oscillations and control instability. To address this command–execution frequency mismatch, this paper proposes a decoupled dual closed-loop control architecture for truck-mounted electric water cannons on mobile fire trucks: the fast loop is used for fire-source tracking and rapid localization, while the slow loop is used for water-jet aiming alignment. In the fast loop, a 2-D quadrant positioning rule drives the pan–tilt unit to achieve rapid fire tracking and accurate centering. In the slow loop, Kalman-filter-based state estimation and delay-aligned prediction generate feedforward aiming commands; these commands are fused with error feedback and further processed through command limiting and trajectory optimization, ultimately producing smooth and executable angle references. The visual perception module ran at 58 FPS, satisfying the real-time requirement of the proposed system. In five repeated extinguishment tests under controlled open-site conditions, the proposed method successfully completed all trials and reduced the mean extinguishment time to 13.55 s, compared with 15.83 s for the incremental-PID baseline and 23.76 s for the coupled proportional baseline, while also showing smoother correction and less redundant oscillation. Full article
(This article belongs to the Section Mechanical Engineering)
Show Figures

Figure 1

18 pages, 4762 KB  
Article
Motion Planning and Control of Mobile Manipulators for Grasping-on-the-Move Tasks
by Zegang Sun, Shanlin Zuo, Qiang Jiang, Peng Zhang and Jiping Yu
Technologies 2026, 14(4), 210; https://doi.org/10.3390/technologies14040210 - 2 Apr 2026
Viewed by 214
Abstract
Currently, most mobile manipulators employ a “Stop-and-Grasp” strategy, where the base of the manipulator stops before the arm executes the grasp. However, achieving “Grasping-on-the-Move” actions—where the robot grasps a target while the base is in motion—remains a significant challenge due to the coupling [...] Read more.
Currently, most mobile manipulators employ a “Stop-and-Grasp” strategy, where the base of the manipulator stops before the arm executes the grasp. However, achieving “Grasping-on-the-Move” actions—where the robot grasps a target while the base is in motion—remains a significant challenge due to the coupling of base and arm dynamics. To address this, we propose a two-phase collaborative motion planning framework. In the first phase (long-range approach), we introduce a spatially constrained visual servoing (SC-VS) method. By establishing a dynamic safety corridor based on the chassis path, this method ensures robust target tracking and obstacle avoidance for the arm during base motion. In the second phase (close-range grasping), to seize the brief grasping opportunity, we propose a Constrained-Sampling RRT-Connect (CSR-RRT-Connect) algorithm. By restricting the sampling region based on target prediction, this algorithm significantly reduces planning time. Comparative experiments demonstrate that our method achieves a 92% success rate at a base speed of 0.3 m/s, significantly outperforming the 46% success rate of baseline methods, while exhibiting superior robustness against dynamic operational disturbances and perception noise. Full article
(This article belongs to the Topic New Trends in Robotics: Automation and Autonomous Systems)
Show Figures

Graphical abstract

31 pages, 4474 KB  
Article
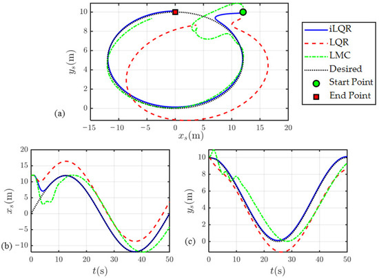
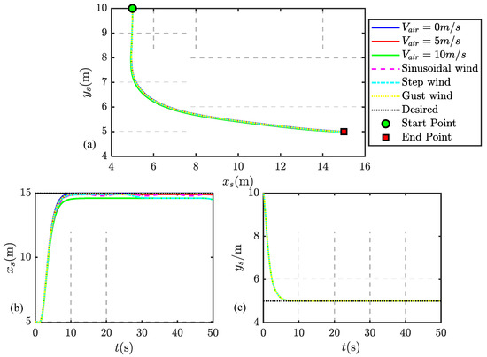
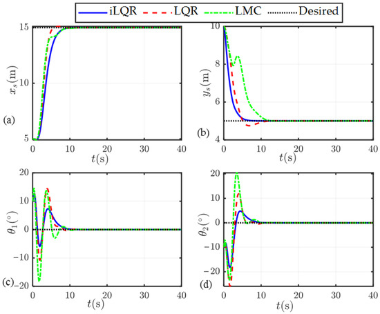
Dynamics Modeling and Nonlinear Optimal Control of an Underactuated Dual-Unmanned Aerial Helicopters Slung Load System
by Yanhua Han, Ruofan Li and Yong Zhang
Aerospace 2026, 13(4), 329; https://doi.org/10.3390/aerospace13040329 - 1 Apr 2026
Viewed by 200
Abstract
This paper focuses on the dynamics modeling and control methods for an underactuated Dual-Unmanned Aerial Helicopter Slung Load System (DUH-SLS), which consists of two Unmanned Aerial Helicopters (UAHs) connected to the suspended load via two sling cables. The DUH-SLS is a multi-body coupled [...] Read more.
This paper focuses on the dynamics modeling and control methods for an underactuated Dual-Unmanned Aerial Helicopter Slung Load System (DUH-SLS), which consists of two Unmanned Aerial Helicopters (UAHs) connected to the suspended load via two sling cables. The DUH-SLS is a multi-body coupled system with internal ideal constraint forces and has seven motion degrees of freedom (DOFs) in the longitudinal plane. In this paper, a set of independent and complete generalized coordinates is selected to describe the system’s motion. The dynamics model of DUH-SLS is established using Lagrange analytical mechanics. This approach, which avoids system internal forces, greatly improves modeling efficiency. Finally, the correctness of this dynamics model is validated using a virtual prototype of the DUH-SLS developed in the multi-body dynamics simulation software ADAMS. The DUH-SLS is a complex nonlinear controlled object, and the iterative Linear Quadratic Regulator (iLQR) method is introduced to design an integrated optimal controller to achieve trajectory tracking and swing suppression for the DUH-SLS. This method transforms the quadratic optimal control problem of nonlinear systems into a series of linear quadratic optimal control (LQR) problems through iterative optimization in function space, thus obtaining an optimal solution. The iLQR optimal controller requires offline iterative computation, but the optimal control obtained has a state feedback closed-loop form, which ensures robustness during online control. Numerical simulation results demonstrate that the proposed iLQR optimal controller exhibits excellent control performance in complex multi-task scenarios. Particularly in trajectory tracking tasks, the maximum average position tracking error of the iLQR controller is only 0.14 m, compared to 3.57 m and 3.11 m for the LQR and LMC (Lyapunov Method Controller) controllers, respectively. Furthermore, the controller demonstrates strong robustness against internal parameter perturbations and external complex wind disturbances, fully validating the effectiveness and superiority of the proposed approach. Full article
(This article belongs to the Section Aeronautics)
Show Figures

Figure 1

20 pages, 1900 KB  
Article
Enhanced Trajectory Tracking Accuracy of a Mobile Manipulator via MRE Intelligent Isolation System Under Continuous Impact Disturbances
by Zhenghan Zhu, Chi Fai Cheung and Yangmin Li
Machines 2026, 14(4), 385; https://doi.org/10.3390/machines14040385 - 1 Apr 2026
Viewed by 214
Abstract
Continuous impact vibrations caused by uneven road surfaces (such as speed bumps) can significantly reduce the trajectory tracking accuracy of mobile manipulator. This study proposes for the first time an integrated framework combining a semi-active magnetorheological elastomer (MRE) intelligent isolation system with an [...] Read more.
Continuous impact vibrations caused by uneven road surfaces (such as speed bumps) can significantly reduce the trajectory tracking accuracy of mobile manipulator. This study proposes for the first time an integrated framework combining a semi-active magnetorheological elastomer (MRE) intelligent isolation system with an active trajectory tracking controller to improve the operational accuracy of mobile manipulator under continuous impact excitation, and numerically evaluates the effect of the MRE isolation system. The working principle and design method of the MRE isolation system for mobile manipulators are described, and a multi-layer MRE isolator is fabricated and experimentally characterized. A semi-active control strategy is developed to adaptively adjust the stiffness and damping of the isolator based on continuous impact input. To further compensate for residual disturbances transmitted through the isolator, an enhanced computational torque control (CTC) and proportional-derivative (PD) controller with predefined-time disturbance observer (DOB) is designed for the mobile manipulator. This ensures that the disturbance estimate converges within a predefined time window, thereby improving the robustness of the closed-loop system. By constructing a comprehensive multibody dynamics model coupling the vehicle, the MRE isolator, and the manipulator, vibration transmission is analyzed and trajectory tracking performance is evaluated. Simulation results under continuous road impact excitation demonstrate that the proposed semi-active MRE intelligent isolation system can significantly suppress base vibration and greatly improve the trajectory tracking accuracy of the mobile manipulator end-effector and its joints. This study proves the feasibility of the semi-active MRE isolation system in the trajectory tracking application of mobile manipulator and provides a new approach for the collaborative design of intelligent vibration isolation and control strategies for mobile robot systems operating in harsh and frequently impacted environments. Full article
Show Figures

Figure 1

20 pages, 262 KB  
Article
Exploring the Impact of Parkinson’s Disease on Marital Relationships
by Pardis Momeni and Elisabeth Winnberg
Nurs. Rep. 2026, 16(4), 113; https://doi.org/10.3390/nursrep16040113 - 31 Mar 2026
Viewed by 252
Abstract
Background/Objectives: Parkinson’s disease (PD) is a progressive neurodegenerative disorder that affects both motor and non-motor functioning, leading to increasing dependency and long-term psychosocial consequences. As the disease progresses, partners often assume caregiving roles, resulting in shifts in responsibilities, communication patterns, and emotional [...] Read more.
Background/Objectives: Parkinson’s disease (PD) is a progressive neurodegenerative disorder that affects both motor and non-motor functioning, leading to increasing dependency and long-term psychosocial consequences. As the disease progresses, partners often assume caregiving roles, resulting in shifts in responsibilities, communication patterns, and emotional dynamics within marital relationships. The aim of this study was therefore to explore the impact of Parkinson’s disease on marital relationships. Methods: A qualitative interview study with a retrospective design was conducted. Six couples were recruited through a movement disorders clinic and a lay organization in Sweden. Semi-structured, face-to-face interviews were conducted separately with each partner. Interviews were transcribed verbatim and analyzed using conventional content analysis with an inductive design. Results: Four main themes emerged: managing the disease together in partnership, nurturing the relationship, facing marital hardship, and planning an uncertain future. Couples who adopted a positive and pragmatic outlook, shared responsibilities, and maintained open communication seemed to be better able to manage the disease. Engaging in joint activities and reciprocal communication strengthened emotional closeness. In contrast, changes in roles, emotional distress, loss of intimacy, and communication avoidance challenged relationships. Thinking about the future evoked feelings of ambivalence, as couples balanced uncertainty with a need for security. Conclusions: Parkinson’s disease affects marital relationships, reshaping roles, emotional bonds, and future perspectives. The ability of nurses to address both partners’ needs and promote communication and shared coping strategies is essential to strengthening couples’ well-being. Full article
(This article belongs to the Special Issue Nursing Interventions to Improve Healthcare for Older Adults)
19 pages, 28180 KB  
Article
Hybrid Evolutionary Optimization of Coupling-Corrected Equivalent Sources for Anechoic Replication of Outdoor Electromagnetic Fields
by Yidi Hu, Yujie Qi, Kuiyuan Wang, Hongbin Chen, Jiewen Deng, Kai Zhang, Han Liu and Tianwu Li
Electronics 2026, 15(7), 1436; https://doi.org/10.3390/electronics15071436 - 30 Mar 2026
Viewed by 220
Abstract
We propose a coupling-aware equivalent source reconstruction framework for reproducing complex three-dimensional electromagnetic (EM) environments inside an anechoic chamber. A measured or simulated target field is represented by a finite set of physically realizable equivalent source antennas whose positions and complex excitations are [...] Read more.
We propose a coupling-aware equivalent source reconstruction framework for reproducing complex three-dimensional electromagnetic (EM) environments inside an anechoic chamber. A measured or simulated target field is represented by a finite set of physically realizable equivalent source antennas whose positions and complex excitations are identified by solving a nonlinear high-dimensional inverse problem. To ensure physical fidelity, the forward model explicitly accounts for mutual coupling through a full-wave Method-of-Moments (MoM) formulation, avoiding the inaccuracies of idealized uncoupled superposition. The inverse problem is efficiently solved using a hybrid evolutionary optimization scheme that combines an adaptive differential evolution strategy with stagnation-triggered CMA-ES refinement, augmented by a lightweight surrogate-based pre-screening to reduce expensive full-wave evaluations. The optimized source configuration is directly deployed in a microwave anechoic chamber, where the reconstructed field is measured on an observation plane and compared against the target field. The experimental results demonstrate close agreement in both amplitude and spatial distribution, while the proposed optimization pipeline substantially reduces the number of full-wave evaluations required for convergence. This work enables accurate repeatable chamber emulation of outdoor or in situ EM scenarios for robust system-level testing and evaluation. Full article
Show Figures

Figure 1

30 pages, 11072 KB  
Article
Pepper Leaf Extracts Alleviate HFD-Induced Metabolic Disorders via Microbiota-Driven Intestinal Barrier Repair and Bile Acid Reprogramming
by Ning Xu, Suxia Shen, Zhaotian Yang, Lin Zeng, Haifeng Zhang, Xiaojun Liao and Yan Zhang
Nutrients 2026, 18(7), 1105; https://doi.org/10.3390/nu18071105 - 30 Mar 2026
Viewed by 470
Abstract
Background: Obesity and its related metabolic complications, including non-alcoholic fatty liver disease (NAFLD) and insulin resistance, constitute an escalating global public health challenge, with high-fat diet (HFD) exposure recognized as a primary etiological driver. This study aimed to systematically evaluate the therapeutic [...] Read more.
Background: Obesity and its related metabolic complications, including non-alcoholic fatty liver disease (NAFLD) and insulin resistance, constitute an escalating global public health challenge, with high-fat diet (HFD) exposure recognized as a primary etiological driver. This study aimed to systematically evaluate the therapeutic effects of pepper leaf extracts (PLE), spinach extracts (SE), and obeticholic acid (OCA) on HFD-induced metabolic dysfunction in mice. Methods: Integrated phenotypic, histopathological, gut microbial, bile acid, and metabolomic analyses were applied to evaluate the intervention effects. Results: Our results demonstrated that 16-week dietary intervention with PLE, SE, or OCA all effectively mitigated HFD-induced obesity, pathological adipose remodeling, hepatic steatosis, systemic insulin resistance, and intestinal barrier dysfunction. Mechanistically, PLE effectively restored intestinal barrier integrity and reshaped the dysbiotic gut microbiota, with a marked enrichment of beneficial bacterial taxa closely linked to intestinal barrier maintenance, and normalized the disrupted cecal bile acid profile in HFD-fed mice. Furthermore, untargeted metabolomic analysis revealed that PLE reprogrammed disordered systemic metabolism, with significant modulation of key pathways involved in bile acid homeostasis, amino acid metabolism, and energy metabolism. Conclusions: In summary, this study provides evidence that PLE effectively attenuates HFD-induced metabolic disorders through modulation of the gut microbiota–bile acid–metabolome axis and restoration of intestinal barrier integrity. The superior therapeutic efficacy of PLE compared with SE and OCA, coupled with its favorable safety profile, positions PLE as a promising novel natural candidate for the prevention and treatment of obesity and its associated metabolic complications. Full article
(This article belongs to the Section Phytochemicals and Human Health)
Show Figures

Figure 1

22 pages, 2601 KB  
Article
Study on Maximum Vertical Prestressing Spacing for Long-Span PC Continuous Rigid-Frame Bridges
by Fei Xia, Shenxin Zhang and Yasir Ibrahim Shah
Buildings 2026, 16(7), 1363; https://doi.org/10.3390/buildings16071363 - 30 Mar 2026
Viewed by 252
Abstract
Vertical prestressing is critical for shear resistance in long-span PC continuous rigid-frame bridges, yet existing design methods rely on the inaccurate superposition of single-tendon stress fields, neglecting mechanical interaction between adjacent tendons. This study derives the first closed-form elastic analytical solution for the [...] Read more.
Vertical prestressing is critical for shear resistance in long-span PC continuous rigid-frame bridges, yet existing design methods rely on the inaccurate superposition of single-tendon stress fields, neglecting mechanical interaction between adjacent tendons. This study derives the first closed-form elastic analytical solution for the vertical normal stress field under two interacting prestressing tendons, explicitly capturing the coupling term. Validated against high-fidelity Finite Element Analysis (FEA), the solution achieves a Mean Absolute Percentage Error (MAPE) below 6.8%, outperforming conventional superposition methods by 6.8–17.7 percentage points. The analysis reveals a transition from diffusion-dominated to superposition-dominated stress regimes and establishes a predictive linear relationship between tendon spacing and the depth of the prestressing blind zone. The section at one-fourth of the web height below the top edge is identified as the critical control section, leading to a proposed maximum spacing limit of 0.34 times the web height to ensure a stress uniformity coefficient greater than 0.95. This criterion represents a 13.3% increase over empirical rules and a 27.5% increase over the JTG 3362-2018 limit, enabling estimated savings of 52,000 CNY per typical four-span bridge while maintaining structural safety. This represents a 13.3% increase over empirical rules and a 27.5% increase over the limit in JTG 3362-2018, enabling estimated savings of 52,000 CNY per typical four-span bridge while maintaining structural safety. Full article
Show Figures

Figure 1

26 pages, 4556 KB  
Review
Advances in Molecular Dynamics Simulations for Hydrogels and Nanocomposite-Reinforced Hydrogels: Multiscale Simulation Strategies and Future Directions
by Lanlan Wang, Xiangling Gu, Yanyan Zhao, Jinju Tian, Xiaokun Ma and Mingqiong Tong
Gels 2026, 12(4), 288; https://doi.org/10.3390/gels12040288 - 29 Mar 2026
Viewed by 253
Abstract
Hydrogels and nanocomposite−enhanced hydrogels, owing to their high−water content, excellent biocompatibility, and mechanical flexibility, have demonstrated broad application prospects in tissue engineering, drug delivery, and flexible electronics. With the continuous advancement of computational power, molecular dynamics (MD) simulations have increasingly become an important [...] Read more.
Hydrogels and nanocomposite−enhanced hydrogels, owing to their high−water content, excellent biocompatibility, and mechanical flexibility, have demonstrated broad application prospects in tissue engineering, drug delivery, and flexible electronics. With the continuous advancement of computational power, molecular dynamics (MD) simulations have increasingly become an important tool for characterizing nanocomposite materials and hydrogel systems. This approach enables the capture of structural evolution at the atomic/molecular scale and provides mechanistic insights into deformation behaviors and interaction mechanisms under external stimuli such as mechanical force, temperature, and electric fields. This review is organized around the central framework of “structural construction–interfacial regulation−responsive behavior–dynamic evolution”, and systematically summarizes the recent progress in the application of molecular dynamics and multiscale simulation methods to hydrogels and nanocomposite hydrogels. The systems discussed mainly include synthetic polymer-based hydrogels, natural polymer−based hydrogels, peptide/protein−based hydrogels, and nanocomposite hydrogels. Particular emphasis is placed on modeling strategies and force−field selection principles for describing atomic interactions in various nanocomposite hydrogel systems. In addition, the important applications of multiscale simulation strategies in elucidating the interfacial behavior of hydrogels and the mechanisms underlying their dynamic responses under nonequilibrium conditions are also discussed. Finally, future development trends are outlined, including multiscale coupled simulations, closed−loop correction between experiments and simulations, and data−driven modeling strategies for the precise design and performance prediction of complex hydrogel systems. Full article
(This article belongs to the Special Issue Recent Advances in Smart and Tough Hydrogels)
Show Figures

Graphical abstract

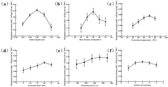
19 pages, 1465 KB  
Article
Response Surface Methodology-Optimized Ultrasonic-Assisted Extraction Combined with Folin–Ciocalteu Assay for Total Polyphenol Determination in Grape Seeds: Development and Application
by Chujun Li, Ruiqi Liu, Linlin Meng, Yuxin Meng, Shuang Xu, Xin Wang, Lihong Wang, Tao Lan and Tong Zhou
Appl. Sci. 2026, 16(7), 3306; https://doi.org/10.3390/app16073306 - 29 Mar 2026
Viewed by 194
Abstract
A robust Folin–Ciocalteu method, coupled with an optimized ultrasonic-assisted extraction, was established for accurate quantification of total polyphenols in high-oil grape seed matrices, where lipid interference and low extraction efficiency have been persistent challenges. Samples were first defatted with n-hexane to eliminate lipid [...] Read more.
A robust Folin–Ciocalteu method, coupled with an optimized ultrasonic-assisted extraction, was established for accurate quantification of total polyphenols in high-oil grape seed matrices, where lipid interference and low extraction efficiency have been persistent challenges. Samples were first defatted with n-hexane to eliminate lipid interference. Key colorimetric parameters—Folin–Ciocalteu reagent volume, Na2CO3 concentration, reaction temperature, and time—were systematically optimized and validated for linearity, precision, and recovery. Subsequently, using defatted grape seed powder as the raw material, a four-factor, three-level Box–Behnken design combined with response surface methodology was employed to optimize the four extraction parameters: solid-to-liquid ratio, ethanol concentration, extraction temperature, and extraction time. The optimal conditions were 0.5 mL of Folin–Ciocalteu reagent, 20% Na2CO3, and reaction at 30 °C for 2.0 h, yielding a linear calibration curve (R2 = 0.9991) with satisfactory methodological validation. Optimal extraction (52% ethanol, 1:50 w/v, 68 °C, 21 min) achieved a total polyphenol content of 2.93 × 104 mg·kg−1, closely matching the predicted value (relative error = 0.34%). Analysis of seven grape seed varieties from the Hebei Province revealed significant content variation (p < 0.05), ranging from 3.24 to 7.47 × 104 mg·kg−1, with Rose grape seeds exhibiting the highest level. The developed method effectively overcame matrix interference from high oil content, offering a reliable, efficient tool for screening high-polyphenol grape seed varieties and supporting the development of value-added functional products. Full article
Show Figures

Graphical abstract

24 pages, 2957 KB  
Review
Microplastics in Natural Waters: Occurrence, Risks and Mitigation Strategies
by Shuwen Zheng, Zhenyu Zhai, Zheming Zhang, Jianxiong Xiang, Jingsi Chen, Zhuorong Du and Xiaoyan Qian
Toxics 2026, 14(4), 296; https://doi.org/10.3390/toxics14040296 - 29 Mar 2026
Viewed by 409
Abstract
Microplastics have become a ubiquitous environmental contaminant in natural waters, raising significant concerns regarding aquatic ecosystem health and potential human exposure. A comprehensive synthesis of current knowledge on microplastic pollution in freshwater and marine systems is presented, focusing on sources, distribution patterns, environmental [...] Read more.
Microplastics have become a ubiquitous environmental contaminant in natural waters, raising significant concerns regarding aquatic ecosystem health and potential human exposure. A comprehensive synthesis of current knowledge on microplastic pollution in freshwater and marine systems is presented, focusing on sources, distribution patterns, environmental behavior, and associated risks. In freshwater environments, microplastic inputs are closely linked to human activities and land use, with wastewater treatment plant effluent, urban runoff, and agricultural drainage serving as major pathways. In marine systems, microplastics undergo dynamic transport influenced by particle properties, hydrodynamic conditions, and biological interactions such as biofouling and aggregation, leading to widespread distribution from coastal zones to deep sea sediments. Importantly, the role of the freshwater–estuarine–marine continuum is emphasized, highlighting the coupled processes of transport, retention, and remobilisation that govern the spatiotemporal distribution and ultimate fate of microplastics across interconnected aquatic systems. Toxicological effects on aquatic organisms are further examined, particularly immunotoxicity and neurotoxicity, alongside potential human health risks via ingestion, inhalation, and dermal exposure. Attention is drawn to the discrepancy between experimental exposure conditions and environmentally relevant concentrations, which constrains robust risk assessment. Current mitigation strategies, including source reduction, wastewater treatment upgrades, transport interception, and degradation technologies, are critically evaluated in terms of effectiveness and limitations. A clear distinction is made between apparent removal and actual degradation, with further consideration of the environmental implications associated with sludge retention and degradation byproducts. Finally, key research priorities are identified, including the need for standardized detection methods, improved exposure assessment, development of environmentally benign alternatives, and strengthened policy-driven source control. These insights provide a basis for advancing sustainable management strategies for microplastic pollution in natural waters. Full article
(This article belongs to the Section Emerging Contaminants)
Show Figures

Graphical abstract

18 pages, 1265 KB  
Article
Robust Trajectory Tracking Control of Underactuated Overhead Cranes via Time Delay Estimation and the Sliding Mode Technique
by Ziyuan Lin and Xianqing Wu
Electronics 2026, 15(7), 1407; https://doi.org/10.3390/electronics15071407 - 27 Mar 2026
Viewed by 290
Abstract
As typical underactuated systems, overhead cranes are widely utilized in heavy-load transportation. However, their strong nonlinear coupling and underactuated characteristics complicate precise positioning and payload swing suppression. Furthermore, model uncertainties and external disturbances in practical environments increase control complexity and degrade system performance. [...] Read more.
As typical underactuated systems, overhead cranes are widely utilized in heavy-load transportation. However, their strong nonlinear coupling and underactuated characteristics complicate precise positioning and payload swing suppression. Furthermore, model uncertainties and external disturbances in practical environments increase control complexity and degrade system performance. To address these issues, this paper develops a trajectory tracking control scheme based on time delay estimation (TDE). Specifically, some transformations are made for the dynamic model and the TDE mechanism is used to estimate unknown nonlinear dynamics and external disturbances. Then, a sliding mode trajectory tracking controller, along with the TDE mechanism, is proposed for the trajectory tracking control and uncertainties estimation of the overhead crane system. Rigorous mathematical analysis is provided to demonstrate the asymptotic stability of the closed-loop system. Finally, simulation results verify the effectiveness of the proposed method in comparison with the existing control methods. Full article
Show Figures

Figure 1

16 pages, 4249 KB  
Article
Analysis Method for the Grid at the Sending End of Renewable Energy Scale Effect Under Typical AC/DC Transmission Scenarios
by Zheng Shi, Yonghao Zhang, Yao Wang, Yan Liang, Jiaojiao Deng and Jie Chen
Electronics 2026, 15(7), 1382; https://doi.org/10.3390/electronics15071382 - 26 Mar 2026
Viewed by 263
Abstract
In the context of the coordinated development of high-proportion renewable energy integration and alternating current/direct current (AC/DC) hybrid transmission, the sending-end power grid faces challenges such as decreased system strength, contracted stability boundaries, and difficulties in covering high-risk operating conditions. This paper proposes [...] Read more.
In the context of the coordinated development of high-proportion renewable energy integration and alternating current/direct current (AC/DC) hybrid transmission, the sending-end power grid faces challenges such as decreased system strength, contracted stability boundaries, and difficulties in covering high-risk operating conditions. This paper proposes a new renewable energy scale impact analysis method that integrates “typical scenario construction-scale ladder comparison–prediction-driven time series injection” in response to the operational constraints of AC/DC transmission. In terms of method implementation, firstly, a two-layer typical scenario system is constructed under unified transmission constraints and fixed grid boundaries: A regular benchmark scenario covers the main operating range, and a set of high-risk scenarios near the boundaries is obtained through multi-objective intelligent search, which is then refined through clustering to form a computable stress-test scenario library. Here, the boundary scenarios are generated by a multi-objective search that simultaneously drives multiple key section load rates towards their limits, subject to AC power-flow feasibility and operational constraints, and the resulting Pareto candidates are reduced into a compact stress-test library by clustering. Secondly, a ladder scenario with increasing renewable energy scale is constructed, and cross-scale comparisons are carried out within the same scenario system to extract the scale effect and critical laws of key safety indicators. Finally, data resampling and Gated Recurrent Unit multi-step prediction are introduced to generate wind power output time series, enabling the temporal mapping of prediction results to scenario injection quantities, and constructing a closed-loop input interface of “prediction–scenario–grid indicators”. The results demonstrate that the proposed hierarchical framework, under unified AC/DC export constraints, can effectively construct a compact stress-test scenario library with enhanced boundary-risk coverage and can reveal how transient voltage security evolves across renewable expansion scales. By coupling boundary-oriented scenario construction, cross-scale comparable assessment, and forecasting-driven time series injection, the framework improves engineering interpretability and practical applicability compared with conventional scenario sampling/reduction workflows. For the forecasting module, the Gated Recurrent Unit (GRU) model achieves MAPE = 8.58% and RMSE = 104.32 kW on the test set, outperforming Linear Regression (LR)/Random Forest (RF)/Support Vector Regression (SVR) in multi-step ahead prediction. Full article
(This article belongs to the Special Issue Applications of Computational Intelligence, 3rd Edition)
Show Figures

Figure 1

Back to TopTop