Sign in to use this feature.

Years

Between: -

Subjects

remove_circle_outline
remove_circle_outline
remove_circle_outline
remove_circle_outline
remove_circle_outline
remove_circle_outline
remove_circle_outline
remove_circle_outline

Journals

Article Types

Countries / Regions

Search Results (51)

Search Parameters:
Keywords = clear-sky data selection

Order results
Result details
Results per page
Select all
Export citation of selected articles as:
26 pages, 2952 KB  
Article
Evaluation of the Reanalysis and Satellite Surface Solar Radiation Datasets Using Ground-Based Observations over India
by Ashwin Vijay Jadhav, Ketaki Belange, Nikhil Gajbhiv, Vinay Kumar, P. R. C. Rahul, B. L. Sudeepkumar and Rohini Lakshman Bhawar
Atmosphere 2025, 16(8), 957; https://doi.org/10.3390/atmos16080957 - 11 Aug 2025
Cited by 1 | Viewed by 1262
Abstract
Surface solar radiation (SSR) is a critical component of the Earth’s energy balance and plays a pivotal role in climate modelling, hydrological processes, and solar energy planning. In data-scarce regions like India, where dense ground-based radiation networks are limited, reanalysis and satellite-derived SSR [...] Read more.
Surface solar radiation (SSR) is a critical component of the Earth’s energy balance and plays a pivotal role in climate modelling, hydrological processes, and solar energy planning. In data-scarce regions like India, where dense ground-based radiation networks are limited, reanalysis and satellite-derived SSR datasets are often utilized to fill observational gaps. However, these datasets are subject to systematic biases, particularly under diverse sky and seasonal conditions. This study presents a comprehensive evaluation of four widely used SSR datasets: ERA5, IMDAA, MERRA2, and CERES, against high-quality in situ observations from 27 India Meteorological Department (IMD) stations, for the period 1985–2020. The assessment incorporates multi-scale temporal analysis (daily/monthly), spatial validation, and sky-condition stratification via the clearness index (Kt). The results indicate that CERES exhibits the best overall performance with the lowest RMSE (16.30 W/m2), minimal bias (–2.5%), and strong correlation (r = 0.97; p = 0.01), particularly under partly cloudy conditions. ERA5, with a finer spatial resolution, also performs robustly (RMSE = 20.80 W/m2; MBE = –0.8%; r = 0.94; p = 0.01), showing consistent agreement with observed seasonal cycles, though slightly underestimating SSR during monsoonal cloud cover. MERRA2 shows moderate overestimation (+4.4%) with region-specific bias variability, while IMDAA demonstrates persistent overestimation (+10.2%) across all conditions, highlighting limited sensitivity to atmospheric transparency. Importantly, this study reconciles apparent contradictions between monthly and sky condition-based bias analyses, attributing them to aggregation differences. While reanalysis datasets overestimate SSR during the monsoon on average, they tend to underestimate it under heavily overcast conditions. These insights are critical for guiding the selection and application of SSR datasets in solar energy modelling, SPV system design, and climate diagnostics across India’s heterogeneous atmospheric regimes. Full article
(This article belongs to the Section Climatology)
Show Figures

Figure 1

20 pages, 26018 KB  
Article
An Accuracy Assessment of the ESTARFM Data-Fusion Model in Monitoring Lake Dynamics
by Can Peng, Yuanyuan Liu, Liwen Chen, Yanfeng Wu, Jingxuan Sun, Yingna Sun, Guangxin Zhang, Yuxuan Zhang, Yangguang Wang, Min Du and Peng Qi
Water 2025, 17(14), 2057; https://doi.org/10.3390/w17142057 - 9 Jul 2025
Viewed by 714
Abstract
High-spatiotemporal-resolution remote sensing data are of great significance for surface monitoring. However, existing remote sensing data cannot simultaneously meet the demands for high temporal and spatial resolution. Spatiotemporal fusion algorithms are effective solutions to this problem. Among these, the ESTARFM (Enhanced Spatiotemporal Adaptive [...] Read more.
High-spatiotemporal-resolution remote sensing data are of great significance for surface monitoring. However, existing remote sensing data cannot simultaneously meet the demands for high temporal and spatial resolution. Spatiotemporal fusion algorithms are effective solutions to this problem. Among these, the ESTARFM (Enhanced Spatiotemporal Adaptive Reflection Fusion Model) algorithm has been widely used for the fusion of multi-source remote sensing data to generate high spatiotemporal resolution remote sensing data, owing to its robustness. However, most existing studies have been limited to applying ESTARFM for the fusion of single-surface-element data and have paid less attention to the effects of multi-band remote sensing data fusion and its accuracy analysis. For this reason, this study selects Chagan Lake as the study area and conducts a detailed evaluation of the performance of the ESTARFM in fusing six bands—visible, near-infrared, infrared, and far-infrared—using metrics such as the correlation coefficient and Root Mean Square Error (RMSE). The results show that (1) the ESTARFM fusion image is highly consistent with the clear-sky Landsat image, with the coefficients of determination (R2) for all six bands exceeding 0.8; (2) the Normalized Difference Vegetation Index (NDVI) (R2 = 0.87, RMSE = 0.023) and the Normalized Difference Water Index (NDWI) (R2 = 0.93, RMSE = 0.022), derived from the ESTARFM fusion data, are closely aligned with the real values; (3) the evaluation and analysis of different bands for various land-use types reveal that R2 generally exhibits a favorable trend. This study extends the application of the ESTARFM to inland water monitoring and can be applied to scenarios similar to Chagan Lake, facilitating the acquisition of high-frequency water-quality information. Full article
(This article belongs to the Special Issue Drought Evaluation Under Climate Change Condition)
Show Figures

Figure 1

13 pages, 1343 KB  
Article
The Human Thermal Load of Mornings with Clear Skies in the Hungarian Lowland
by Ferenc Ács, Erzsébet Kristóf and Annamária Zsákai
Atmosphere 2025, 16(6), 647; https://doi.org/10.3390/atmos16060647 - 27 May 2025
Viewed by 744
Abstract
The climate of the Hungarian lowland (Central European region, Pannonian Plain area) can be characterized by Köppen’s Cfb climate formula (C—warm temperate, f—no seasonality in the annual course of precipitation, b—warm summer). This characterization does not provide information about the human thermal load [...] Read more.
The climate of the Hungarian lowland (Central European region, Pannonian Plain area) can be characterized by Köppen’s Cfb climate formula (C—warm temperate, f—no seasonality in the annual course of precipitation, b—warm summer). This characterization does not provide information about the human thermal load and thermal perception. The aim of this work is to fill this gap. We focused on the morning, clear-sky periods of the day, when the heat supply provided by the weather is the lowest. The human thermal load of clear-sky mornings was estimated using the new clothing thermal resistance–operative temperature (rclTo) model. In contrast to IREQ-type (Required Clothing Insulation) models, this model parametrizes the total metabolic heat flux density (M) as a function of anthropometric data (body mass, height, sex, age). In the simulations, the selected persons walk (M values range between 135 and 170 W m−2) or stand (M values range between 84 and 96 W m−2), while their body mass index (BMI) varies between 25 and 37 kg m−2. The following main results should be highlighted: (1) Human activity has a significant impact on rcl; it ranges between 0 and 3.5 clo during walking and between 0 and 6.7 clo during standing. (2) The interpersonal variability of rcl increases with increasing heat deficit accordingly; in the case of a walking person, it is around 1 clo in the largest heat deficits and around 0 clo in the smallest heat deficits. Since, in general, anticyclones increase the heat deficit while cyclones reduce it, extreme thermal loads are associated with anticyclones. It should be mentioned that the interpersonal variability of the human thermal load cannot be analyzed without databases containing people’s anthropometric data. Full article
(This article belongs to the Section Biometeorology and Bioclimatology)
Show Figures

Figure 1

19 pages, 3776 KB  
Article
Research on Weighted Fusion Method for Multi-Source Sea Surface Temperature Based on Cloud Conditions
by Xiangxiang Rong and Haiyong Ding
Remote Sens. 2025, 17(8), 1466; https://doi.org/10.3390/rs17081466 - 20 Apr 2025
Viewed by 723
Abstract
The sea surface temperature (SST) is an important parameter reflecting the energy exchange between the ocean and the atmosphere, which has a key impact on climate change, marine ecology and fisheries. However, most of the existing SST fusion methods suffer from poor portability [...] Read more.
The sea surface temperature (SST) is an important parameter reflecting the energy exchange between the ocean and the atmosphere, which has a key impact on climate change, marine ecology and fisheries. However, most of the existing SST fusion methods suffer from poor portability and a lack of consideration of cloudy conditions, which can affect the data accuracy and reliability. To address these problems, this paper proposes an infrared and microwave SST fusion method based on cloudy conditions. The method categorizes the fusion process according to three scenarios—clear sky, completely cloudy, and partially cloudy—adjusting the fusion approach for each condition. In this paper, three representative global datasets from home and abroad are selected, while the South China Sea region, which suffers from extreme weather, is used as a typical study area for validation. By introducing the buoy observation data, the fusion results are evaluated using the metrics of bias, RMSE, URMSE, r and coverage. The experimental results show that the biases of the three fusion results of VIRR-RH, AVHRR-RH and MODIS-RH are −0.611 °C, 0.043 °C and 0.012 °C, respectively. In the South China Sea region under extreme weather conditions, the bias is −0.428 °C, the RMSE is 0.941 °C, the URMSE is 0.424 °C and the coverage rate reaches 25.55%. These results confirm that this method not only produces significant fusion effects but also exhibits strong generalization and adaptability, being unaffected by specific sensors or regions. Full article
Show Figures

Figure 1

16 pages, 6704 KB  
Article
Multi-Junction Solar Module and Supercapacitor Self-Powering Miniaturized Environmental Wireless Sensor Nodes
by Mara Bruzzi, Giovanni Pampaloni, Irene Cappelli, Ada Fort, Maurizio Laschi, Valerio Vignoli and Dario Vangi
Sensors 2024, 24(19), 6340; https://doi.org/10.3390/s24196340 - 30 Sep 2024
Cited by 1 | Viewed by 1153
Abstract
A novel prototype based on the combination of a multi-junction, high-efficiency photovoltaic (PV) module and a supercapacitor (SC) able to self-power a wireless sensor node (WSN) for outdoor air quality monitoring has been developed and tested. A PV module with about an 8 [...] Read more.
A novel prototype based on the combination of a multi-junction, high-efficiency photovoltaic (PV) module and a supercapacitor (SC) able to self-power a wireless sensor node (WSN) for outdoor air quality monitoring has been developed and tested. A PV module with about an 8 cm2 active area made of eight GaAs-based triple-junction solar cells with a nominal 29% efficiency was assembled and characterized under terrestrial clear-sky conditions. Energy is stored in a 4000 F/4.2 V supercapacitor with high energy capacity and a virtually infinite lifetime (104 cycles). The node power consumption was tailored to the typical power consumption of miniaturized, low-consumption NDIR CO2 sensors relying on an LED as the IR source. The charge/discharge cycles of the supercapacitor connected to the triple-junction PV module were measured under illumination with a Sun Simulator device at selected radiation intensities and different node duty cycles. Tests of the miniaturized prototype in different illumination conditions outdoors were carried out. A model was developed from the test outcomes to predict the maximum number of sensor samplings and data transmissions tolerated by the node, thus optimizing the WSN operating conditions to ensure its self-powering for years of outdoor deployment. The results show the self-powering ability of the WSN node over different insolation periods throughout the year, demonstrating its operation for a virtually unlimited lifetime without the need for battery substitution. Full article
(This article belongs to the Special Issue Indoor Wi-Fi Positioning: Techniques and Systems—2nd Edition)
Show Figures

Figure 1

16 pages, 4112 KB  
Communication
A Cloud Detection Algorithm Based on FY-4A/GIIRS Infrared Hyperspectral Observations
by Jieying Ma, Yi Liao and Li Guan
Remote Sens. 2024, 16(3), 481; https://doi.org/10.3390/rs16030481 - 26 Jan 2024
Cited by 3 | Viewed by 2188
Abstract
Cloud detection is an essential preprocessing step when using satellite-borne infrared hyperspectral sounders for data assimilation and atmospheric retrieval. In this study, we propose a cloud detection algorithm based solely on the sensitivity and detection characteristics of the FY-4A Geostationary Interferometric Infrared Sounder [...] Read more.
Cloud detection is an essential preprocessing step when using satellite-borne infrared hyperspectral sounders for data assimilation and atmospheric retrieval. In this study, we propose a cloud detection algorithm based solely on the sensitivity and detection characteristics of the FY-4A Geostationary Interferometric Infrared Sounder (GIIRS), rather than relying on other instruments. The algorithm consists of four steps: (1) combining observed radiation and clear radiance data simulated by the Community Radiative Transfer Model (CRTM) to identify clear fields of view (FOVs); (2) determining the number of clouds within adjacent 2 × 2 FOVs via a principal component analysis of observed radiation; (3) identifying whether there are large observed radiance differences between adjacent 2 × 2 FOVs to determine the mixture of clear skies and clouds; and (4) assigning adjacent 2 × 2 FOVs as a cloud cluster following the three steps above to select an appropriate classification threshold. The classification results within each cloud detection cluster were divided into the following categories: clear, partly cloudy, or overcast. The proposed cloud detection algorithm was tested using one month of GIIRS observations from May 2022 in this study. The cloud detection and classification results were compared with the FY-4A Advanced Geostationary Radiation Imager (AGRI)’s operational cloud mask products to evaluate their performance. The results showed that the algorithm’s performance is significantly influenced by the surface type. Among all-day observations, the highest recognition performance was achieved over the ocean, followed by land surfaces, with the lowest performance observed over deep inland water. The proposed algorithm demonstrated better clear sky recognition during the nighttime for ocean and land surfaces, while its performance was higher for partly cloudy and overcast conditions during the day. However, for inland water surfaces, the algorithm consistently exhibited a lower cloud recognition performance during both the day and night. Moreover, in contrast to the GIIRS’s Level 2 cloud mask (CLM) product, the proposed algorithm was able to identify partly cloudy conditions. The algorithm’s classification results departed slightly from those of the AGRI’s cloud mask product in areas with clear sky/cloud boundaries and minimal convective cloud coverage; this was attributed to the misclassification of clear sky as partly cloudy under a low-resolution situation. AGRI’s CLM products, temporally and spatially collocated to the GIIRS FOV, served as the reference value. The proportion of FOVs consistently classified as partly cloudy to the total number of partly cloudy FOVs was 40.6%. In comparison with the GIIRS’s L2 product, the proposed algorithm improved the identification performance by around 10%. Full article
Show Figures

Graphical abstract

19 pages, 3145 KB  
Article
Design, Implementation and Comparative Analysis of Three Models for Estimation of Solar Radiation Components on a Horizontal Surface
by Ilyas Rougab, Oscar Barambones, Mohammed Yousri Silaa and Ali Cheknane
Symmetry 2024, 16(1), 71; https://doi.org/10.3390/sym16010071 - 5 Jan 2024
Cited by 2 | Viewed by 2135
Abstract
Solar radiation data play a pivotal role in harnessing solar energy. Unfortunately, the availability of these data is limited due to the sparse distribution of meteorological stations worldwide. This paper introduces and simulates three models designed for estimating and predicting global solar radiation [...] Read more.
Solar radiation data play a pivotal role in harnessing solar energy. Unfortunately, the availability of these data is limited due to the sparse distribution of meteorological stations worldwide. This paper introduces and simulates three models designed for estimating and predicting global solar radiation at ground level. Furthermore, it conducts an in-depth analysis and comparison of the simulation results derived from these models, utilizing measured data from selected sites in Algeria where such information is accessible. The focus of our study revolves around three empirical models: Capderou, Lacis and Hansen, and Liu and Jordan. These models utilize day number and solar factor as input parameters, along with the primary site’s geographical coordinates—longitude, latitude, and altitude. Additionally, meteorological parameters such as relative humidity, temperature, and pressure are incorporated into the models. The objective is to estimate global solar radiation for any given day throughout the year at the specified location. Upon simulation, the results highlight that the Capderou model exhibits superior accuracy in approximating solar components, demonstrating negligible deviations between real and estimated values, especially under clear-sky conditions. However, these models exhibit certain limitations in adverse weather conditions. Consequently, alternative approaches, such as fuzzy logic methods or models based on satellite imagery, become essential for accurate predictions in inclement weather scenarios. Full article
Show Figures

Figure 1

19 pages, 7323 KB  
Article
Photovoltaic Power Forecasting Approach Based on Ground-Based Cloud Images in Hazy Weather
by Zhiying Lu, Wenpeng Chen, Qin Yan, Xin Li and Bing Nie
Sustainability 2023, 15(23), 16233; https://doi.org/10.3390/su152316233 - 23 Nov 2023
Cited by 6 | Viewed by 1689
Abstract
Haze constitutes a pivotal meteorological variable with notable implications for photovoltaic power forecasting. The presence of haze is anticipated to lead to a reduction in the output power of photovoltaic plants. Therefore, achieving precise forecasts of photovoltaic power in hazy conditions holds paramount [...] Read more.
Haze constitutes a pivotal meteorological variable with notable implications for photovoltaic power forecasting. The presence of haze is anticipated to lead to a reduction in the output power of photovoltaic plants. Therefore, achieving precise forecasts of photovoltaic power in hazy conditions holds paramount significance. This study introduces a novel approach to forecasting photovoltaic power under haze conditions, leveraging ground-based cloud images. Firstly, the aerosol scattering coefficient is introduced as a pivotal parameter for characterizing photovoltaic power fluctuations influenced by haze. Additionally, other features, such as sky cloud cover, color attributes, light intensity, and texture characteristics, are considered. Subsequently, the Spearman correlation coefficient is applied to calculate the correlation between feature sequences and photovoltaic power. Effective features are then selected as inputs and three models—LSTM, SVM, and XGBoost—are employed for training and performance analysis. After comparing with existing technologies, the predicted results have achieved the best performance. Finally, using actual data, the effectiveness of the aerosol scattering coefficient is confirmed, by exhibiting the highest correlation index, as a pivotal parameter for forecasting photovoltaic output under the influence of haze. The results demonstrate that the aerosol scattering coefficient enhances the forecast accuracy of photovoltaic power in both heavy and light haze conditions by 1.083% and 0.599%, respectively, while exerting minimal influence on clear days. Upon comprehensive evaluation, it is evident that the proposed forecasting method in this study offers substantial advantages for accurately predicting photovoltaic power output in hazy weather scenarios. Full article
Show Figures

Figure 1

30 pages, 16867 KB  
Article
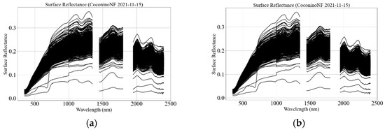
Implementing a Dual-Spectrometer Approach for Improved Surface Reflectance Estimation
by Mahesh Shrestha, Joshua Mann, Emily Maddox, Terry Robbins, Jeffrey Irwin, Travis Kropuenske and Dennis Helder
Remote Sens. 2023, 15(23), 5451; https://doi.org/10.3390/rs15235451 - 22 Nov 2023
Cited by 2 | Viewed by 1688
Abstract
Surface reflectance measurement is an integral part of the vicarious calibration of satellite sensors and the validation of satellite-derived top-of-atmosphere (TOA) and surface reflectance products. A well-known practice for estimating surface reflectance is to conduct a field campaign with a spectrometer and a [...] Read more.
Surface reflectance measurement is an integral part of the vicarious calibration of satellite sensors and the validation of satellite-derived top-of-atmosphere (TOA) and surface reflectance products. A well-known practice for estimating surface reflectance is to conduct a field campaign with a spectrometer and a calibration panel, which is labor-intensive and expensive. To address this issue, the Radiometric Calibration Network, RadCalNet, has been developed, which automatically collects surface reflectance over several selected sites. Neither of these approaches can continuously track the atmosphere, which limits their ability to compensate for atmospheric transmittance change during target measurement. This paper presents the dual-spectrometer approach that uses a stationary spectrometer dedicated to continuously tracking changes in atmospheric transmittance by staring at a calibrated reference panel while the mobile spectrometer measures the target. Simultaneous measurement of the reflectance panel and target help to transfer calibration from the stationary spectrometer to the mobile spectrometer and synchronize the measurements. In this manner, atmospheric transmittance changes during target measurement can be tracked and used to reduce the variability of the target surface reflectance. This paper uses field measurement data from combined field campaigns between different calibration groups at Brookings, South Dakota, and Landsat 8 and Landsat 9 underfly efforts over Coconino National Forest, Arizona, and Guymon, Oklahoma. Preliminary results show that even in a clear sky condition, where atmospheric transmittance changes are minimal, the precision of target surface reflectance estimated using the dual-spectrometer approach is 2–6% better than the single-spectrometer approach. The dual-spectrometer approach shows the potential for a substantial improvement in the precision of the target spectral profile when the atmospheric transmittance is changing rapidly during field measurement. Results show that during non-optimal atmospheric conditions, the dual-spectrometer approach improved the precision of the surface reflectance by 50–60% compared to the single-spectrometer approach across most spectral regions. The ability to estimate surface reflectance more precisely using the dual-spectrometer approach in different atmospheric conditions improves the vicarious calibration of optical satellite sensors and the validation of both TOA and surface reflectance products. Full article
(This article belongs to the Section Engineering Remote Sensing)
Show Figures

Figure 1

13 pages, 1852 KB  
Article
Screening Approach of the Langley Calibration Station for Sun Photometers in China
by Lina Xun, Xue Liu, Hui Lu, Jingjing Zhang and Qing Yan
Atmosphere 2023, 14(11), 1641; https://doi.org/10.3390/atmos14111641 - 31 Oct 2023
Viewed by 1554
Abstract
A sun photometer is a type of photometer that points at the sun, and it has been playing an increasingly important role in characterizing aerosols across the world. As long as the solar photometer is accurately calibrated, the optical thickness of the aerosol [...] Read more.
A sun photometer is a type of photometer that points at the sun, and it has been playing an increasingly important role in characterizing aerosols across the world. As long as the solar photometer is accurately calibrated, the optical thickness of the aerosol can be obtained from the measured value of this device. When the calibration of a single instrument is not accurate, the inversion quantity varies greatly. The calibration constant of the sun photometer changes during its use process; thus, calibrations are frequently needed in order to ensure the accuracy of the measured value. The calibration constant of the solar photometer is usually determined using the Langley method. Internationally, AERONET has two Langley calibration stations: the Mauna Loa observatory in the United States and the Izaña observatory in Spain. So far, the International Comparison and Calibration System has been established in Beijing, similar to AERONET at GSFC, but the Langley calibration system has not yet been established. Therefore, it is necessary to select a suitable calibration station in China. This paper studies the requirements of the calibration station using the Langley method. We used long-term records of satellite-derived measurements and survey data belonging to the aerosol optical thickness data of SNPP/VIIRS, CERES, MERRA-2, etc., in order to gain a better understanding of whether these stations are suitable for calibration. From the existing astronomical observation stations, meteorological stations, and the Sun–Sky Radiometer Observation Network (SONET) observation stations in China, the qualified stations were selected. According to the statistical data from the Ali observatory, the monthly average of clear sky is 20.21 days, and it is always greater than 15 days. The monthly average of aerosol is not more than 0.15 and is less than 0.3. We believe that the atmosphere above the Ali observatory is stable, and the results show that the Ali observatory has excellent weather conditions. This study can provide a selection of calibration sites for solar photometer calibrations in China that may need to be further characterized and evaluated, and at the same time provide a method to exclude unsuitable calibration sites. Full article
(This article belongs to the Section Atmospheric Techniques, Instruments, and Modeling)
Show Figures

Figure 1

21 pages, 4044 KB  
Article
Reconstruction of Land Surface Temperature Derived from FY-4A AGRI Data Based on Two-Point Machine Learning Method
by Yueli Li, Shanyou Zhu, Yumei Luo, Guixin Zhang and Yongming Xu
Remote Sens. 2023, 15(21), 5179; https://doi.org/10.3390/rs15215179 - 30 Oct 2023
Cited by 10 | Viewed by 2235
Abstract
Land surface temperature (LST) is one of the most important parameters of the interface between the earth surface and the atmosphere, and it plays a significant role in many research fields, such as agriculture, climate, hydrology, and the environment. However, the thermal infrared [...] Read more.
Land surface temperature (LST) is one of the most important parameters of the interface between the earth surface and the atmosphere, and it plays a significant role in many research fields, such as agriculture, climate, hydrology, and the environment. However, the thermal infrared band of remote sensors is easily affected by clouds and aerosols, leading to many data gaps in LST products, which restricts the subsequent application of these products. In this paper, Beijing, China, is selected as the study area, and the LST data retrieved from Fengyun 4A (FY-4A) Advanced Geosynchronous Radiation Imager (AGRI) are reconstructed based on the two-point machine learning method. Firstly, the two-point machine learning model is built to reconstruct the theoretical clear-sky LST from simulated and actual images, and the accuracy of the reconstruction results is evaluated compared with the random forest algorithm and the inverse distance weighted method. Secondly, the actual LST under the influence of clouds is reconstructed by using the ERA5 reanalysis LST data as the auxiliary data, and the reconstruction accuracy is then evaluated by the field measurement LST data. The experimental results show that (1) the prediction accuracy of the two-point machine learning method is higher than that of the random forest method in both simulated data and actual data experiments; (2) the R2 of reconstructed LST under theoretical clear-sky conditions is 0.6860 and the root mean square error (RMSE) is 2.9 K, while the R2 of the reconstructed accuracy of actual LST under clouds is 0.7275 and the RMSE is 2.6 K, i.e., the RMSE decreases by 10.34%; (3) the two-point machine method combined with the auxiliary ERA5 LST data can well reconstruct LST under cloudy conditions and present a reasonable LST distribution. Full article
(This article belongs to the Special Issue Land Surface Temperature Estimation Using Remote Sensing II)
Show Figures

Figure 1

16 pages, 2524 KB  
Article
All-Day Cloud Classification via a Random Forest Algorithm Based on Satellite Data from CloudSat and Himawari-8
by Yuanmou Wang, Chunmei Hu, Zhi Ding, Zhiyi Wang and Xuguang Tang
Atmosphere 2023, 14(9), 1410; https://doi.org/10.3390/atmos14091410 - 7 Sep 2023
Cited by 5 | Viewed by 2334
Abstract
It remains challenging to accurately classify complicated clouds owing to the various types of clouds and their distribution on multiple layers. In this paper, multi-band radiation information from the geostationary satellite Himawari-8 and the cloud classification product of the polar orbit satellite CloudSat [...] Read more.
It remains challenging to accurately classify complicated clouds owing to the various types of clouds and their distribution on multiple layers. In this paper, multi-band radiation information from the geostationary satellite Himawari-8 and the cloud classification product of the polar orbit satellite CloudSat from June to September 2018 are investigated. Based on sample sets matched by two types of satellite data, a random forest (RF) algorithm was applied to train a model, and a retrieval method was developed for cloud classification. With the use of this method, the sample sets were inverted and classified as clear sky, low clouds, middle clouds, thin cirrus, thick cirrus, multi-layer clouds and deep convection (cumulonimbus) clouds. The results indicate that the average accuracy for all cloud types during the day is 88.4%, and misclassifications mainly occur between low and middle clouds, thick cirrus clouds and cumulonimbus clouds. The average accuracy is 79.1% at night, with more misclassifications occurring between middle clouds, multi-layer clouds and cumulonimbus clouds. Moreover, Typhoon Muifa from 2022 was selected as a sample case, and the cloud type (CLT) product of an FY-4A satellite was used to examine the classification method. In the cloud system of Typhoon Muifa, a cumulonimbus area classified using the method corresponded well with a mesoscale convective system (MCS). Compared to the FY-4A CLT product, the classifications of ice-type (thick cirrus) and multi-layer clouds are effective, and the location, shape and size of these two varieties of cloud are similar. Full article
(This article belongs to the Special Issue Satellite Remote Sensing Applied in Atmosphere (2nd Edition))
Show Figures

Figure 1

15 pages, 11207 KB  
Technical Note
Comparison of FY-4A/AGRI SST with Himawari-8/AHI and In Situ SST
by Chang Yang, Lei Guan and Xiaohui Sun
Remote Sens. 2023, 15(17), 4139; https://doi.org/10.3390/rs15174139 - 23 Aug 2023
Cited by 8 | Viewed by 2264
Abstract
The Fengyun-4A (FY-4A) satellite is a new-generation geostationary meteorological satellite developed by China. The advanced geosynchronous radiation imager (AGRI), one of the key payloads onboard FY-4A, can monitor sea surface temperature (SST). This paper compares FY-4A/AGRI SST with in situ and Himawari-8/advanced Himawari [...] Read more.
The Fengyun-4A (FY-4A) satellite is a new-generation geostationary meteorological satellite developed by China. The advanced geosynchronous radiation imager (AGRI), one of the key payloads onboard FY-4A, can monitor sea surface temperature (SST). This paper compares FY-4A/AGRI SST with in situ and Himawari-8/advanced Himawari imager (AHI) SST. The study area spans 30°E–180°E, 60°S–60°N, and the study period is from January 2019 to December 2021. The matching time window of the three data is 30 min, and the space window is 0.1°. The quality control criterion is to select all clear sky and well-distributed matchups within the study period, removing the influence of SST fronts. The results of the difference between FY-4A/AGRI and in situ SST show a bias of −0.12 °C, median of −0.05 °C, standard deviation (STD) of 0.76 °C, robust standard deviation (RSD) of 0.68 °C, and root mean square error (RMSE) of 0.77 °C for daytime and a bias of 0.00 °C, median of 0.05 °C, STD of 0.78 °C, RSD of 0.72 °C, and RMSE of 0.78 °C for nighttime. The results of the difference between FY-4A/AGRI SST and Himawari-8/AHI SST show a bias of 0.04 °C, median of 0.10 °C, STD of 0.78 °C, RSD of 0.70 °C, and RMSE of 0.78 °C for daytime and the bias of 0.30 °C, median of 0.34 °C, STD of 0.81 °C, RSD of 0.76 °C, and RMSE of 0.86 °C for nighttime. The three-way error analysis also indicates a relatively larger error of AGRI SST. Regarding timescale, the bias and STD of FY-4A/AGRI SST show no seasonal correlation, but FY-4A/AGRI SST has a noticeable bias jump in the study period. Regarding spatial scale, FY-4A/AGRI SST shows negative bias at the edge of the AGRI SST coverage in the Pacific region near 160°E longitude and positive bias in high latitudes of the southern hemisphere. The accuracy of FY-4A/AGRI SST depends on the satellite zenith angle and water vapor. Further research on the FY-4A/AGRI SST retrieval algorithm accounting for the variability of water vapor will be conducted. Full article
Show Figures

Figure 1

25 pages, 10789 KB  
Article
Comparative Study of the Atmospheric Gas Composition Detection Capabilities of FY-3D/HIRAS-I and FY-3E/HIRAS-II Based on Information Capacity
by Mengzhen Xie, Mingjian Gu, Chunming Zhang, Yong Hu, Tianhang Yang, Pengyu Huang and Han Li
Remote Sens. 2023, 15(16), 4096; https://doi.org/10.3390/rs15164096 - 20 Aug 2023
Cited by 2 | Viewed by 2169
Abstract
Fengyun-3E (FY-3E)/Hyperspectral Infrared Atmospheric Sounder-II (HIRAS-II) is an extension Fengyun-3D (FY-3D)/HIRAS-I. It is crucial to fully explore and analyze the detection capabilities of these two instruments for atmospheric gas composition. Based on the observed spectral data from the infrared hyperspectral detection instruments FY-3D/HIRAS-I [...] Read more.
Fengyun-3E (FY-3E)/Hyperspectral Infrared Atmospheric Sounder-II (HIRAS-II) is an extension Fengyun-3D (FY-3D)/HIRAS-I. It is crucial to fully explore and analyze the detection capabilities of these two instruments for atmospheric gas composition. Based on the observed spectral data from the infrared hyperspectral detection instruments FY-3D/HIRAS-I and FY-3E/HIRAS-II, simulated radiance data and Jacobian matrices are obtained using the Rapid Radiative Transfer Model RTTOV (Radiative Transfer for TOVS (TIROS Operational Vertical Sounder)). By perturbing temperature (T), surface temperature (Tsurf), water vapor (H2O), ozone (O3), carbon dioxide (CO2), methane (CH4), carbon monoxide (CO), and nitrous oxide (N2O), the brightness temperature differences before and after the perturbations are calculated to analyze the sensitivity of temperature and various atmospheric gas components. The Improved Optimal Sensitivity Profile (OSP) algorithm is used to select the channels for atmospheric gas retrieval. The observation error covariance and background error covariance matrices are calculated, and then the information capacity is calculated, specifically the degrees of freedom for signal(DFS) and the entropy reduction (ER). Based on this, a comparative analysis is conducted on the information capacity of atmospheric water vapor and ozone components contained in the hyperspectral detection data from HIRAS-I and HIRAS-II instruments, respectively, to explore the retrieval capabilities of the two instruments for atmospheric gas components. We selected clear-sky data from the African oceanic region and the Chinese Yangtze River Delta terrestrial region for quantitative analysis of the information capacity of HIRAS-I and HIRAS-II. The results show that FY-3D/HIRAS-I and FY-3E/HIRAS-II exhibit different sensitivities to atmospheric gas components. In different experimental regions, temperature and water vapor show the most dramatic sensitivity changes, followed by ozone, methane, and nitrous oxide, while carbon monoxide and carbon dioxide exhibit the lowest variability. Regarding channel selection, HIRAS-II identifies more gas channels compared to HIRAS-I. The experiments concluded that HIRAS-II has a significantly higher information capacity than HIRAS-I, and the information capacity of atmospheric gas components varies across different experimental regions. Water vapor and ozone exhibit the highest information capacity, followed by nitrous oxide and methane, while carbon monoxide and carbon dioxide demonstrate the lowest capacity. The H2O ER (DFS) contained in FY-3E/HIRAS-II is 1.51 (0.35) higher than that in FY-3D/HIRAS-I, the O3 ER (DFS) in FY-3E/HIRAS-II is 1.51 (0.36) higher than that in FY-3D/HIRAS-I, while the N2O ER (DFS) in FY-3E/HIRAS-II is 0.17 (0.19) higher and the CH4 ER (DFS) is 0.07 (0.04) higher than that in FY-3D/HIRAS-I. Full article
(This article belongs to the Special Issue Advances in Infrared Observation of Earth’s Atmosphere II)
Show Figures

Figure 1

14 pages, 5715 KB  
Technical Note
Assessment of a New Solar Radiation Nowcasting Method Based on FY-4A Satellite Imagery, the McClear Model and SHapley Additive exPlanations (SHAP)
by Dongyu Jia, Liwei Yang, Xiaoqing Gao and Kaiming Li
Remote Sens. 2023, 15(9), 2245; https://doi.org/10.3390/rs15092245 - 24 Apr 2023
Cited by 13 | Viewed by 2979
Abstract
The global warming effect has been accelerating rapidly and poses a threat to human survival and health. The top priority to solve this problem is to provide reliable renewable energy. To achieve this goal, it is important to provide fast and accurate solar [...] Read more.
The global warming effect has been accelerating rapidly and poses a threat to human survival and health. The top priority to solve this problem is to provide reliable renewable energy. To achieve this goal, it is important to provide fast and accurate solar radiation predictions based on limited observation data. In this study, a fast and accurate solar radiation nowcasting method is proposed by combining FY-4A satellite data and the McClear clear sky model under the condition of only radiation observation. The results show that the random forest (RF) performed better than the support vector regression (SVR) model and the reference model (Clim-Pers), with the smallest normalized root mean square error (nRMSE) values (between 13.90% and 33.80%), smallest normalized mean absolute error (nMAE) values (between 7.50% and 24.77%), smallest normalized mean bias error (nMBE) values (between −1.17% and 0.7%) and highest R2 values (between 0.76 and 0.95) under different time horizons. In addition, it can be summarized that remote sensing data can significantly improve the radiation forecasting performance and can effectively guarantee the stability of radiation predictions when the time horizon exceeds 60 min. Furthermore, to obtain the optimal operation efficiency, the prediction results were interpreted by introducing the latest SHapley Additive exPlanation (SHAP) method. From the interpretation results, we selected the three key channels of an FY-4A and then made the model lightweight. Compared with the original input model, the new one predicted the results more rapidly. For instance, the lightweight parameter input model needed only 0.3084 s (compared to 0.5591 s for full parameter input) per single data point on average for the 10 min global solar radiation forecast in Yuzhong. Meanwhile, the prediction effect also remained stable and reliable. Overall, the new method showed its advantages in radiation prediction under the condition that only solar radiation observations were available. This is very important for radiation prediction in cities with scarce meteorological observation, and it can provide a reference for the location planning of photovoltaic power stations. Full article
Show Figures

Figure 1

Back to TopTop