Short-Term Solar Radiation Prediction Based on Convolution Neural Network and Fitted Clear-Sky Model
Abstract
1. Introduction
2. Materials and Methods
2.1. Data Collection
2.2. Clear-Sky DNI Forecast
2.2.1. Clear-Sky DNI Model
2.2.2. Clear-Sky Detection
- (1)
- Selecting the First Clear-Sky DNI Value within a Time Period.
- (2)
- Selecting Subsequent Clear-Sky DNI Values within a Time Period.
2.2.3. Clear-Sky DNI Model Fitting
2.3. Data Preprocessing
2.3.1. DNI Clear-Sky Index
2.3.2. Distortion Correction
2.3.3. Cloud Motion Estimation
2.3.4. Region of Interest
2.4. DNI Forecast Model
2.4.1. The Primary Framework
2.4.2. The Still Model
- The Linke turbidity coefficient, , is calculated from the current DNI using the inverse function, , such that .
- The predicted DNI, , is computed by applying the function at using the derived , expressed as .

2.4.3. The Motion Model
- Input Layer: Two 3-channel images (ROI: 3 × 88 × 88; downsampled all-sky image: 3 × 88 × 88).
- Fusion Layer: Concatenated into a 6-channel tensor (6 × 88 × 88) to preserve local (ROI) and global (all-sky) cloud features.
- Convolutional Blocks: 4 layers (kernel sizes: 22 × 22, 11 × 11, 5 × 5, 2 × 2), each followed by ReLU activation and 2 × 2 max-pooling to extract hierarchical features.
- Fully Connected Layers: Two dense layers (640 → 500 neurons) for feature integration.
- Output Layer: Scalar clear-sky index (), with final DNI forecast computed as .
2.4.4. Dataset Partition
2.5. Step-by-Step Description of the Proposed Method
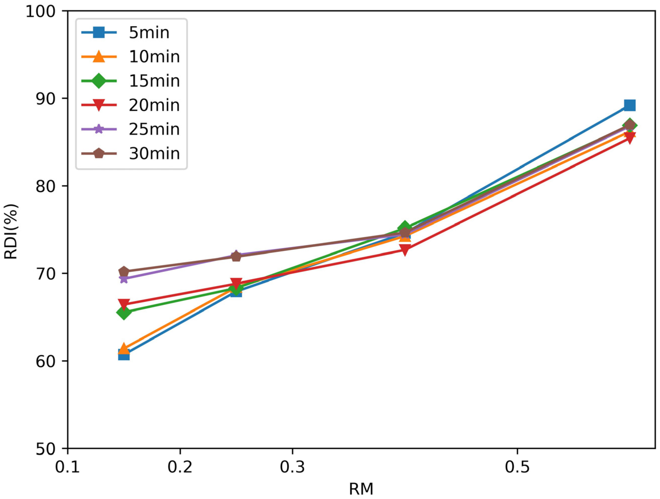
3. Results
- Clear-sky situation: the measured DNI remains within 10% of the clear-sky DNI value for 90% of the day;
- Overcast situation: the measured DNI stays below 60% of the clear-sky DNI value for 90% of the day, with a mean DNI variation under 20 W/m2;
- Mixed situation: all other cases; note that such days may include periods of both clear-sky and overcast conditions.
4. Discussion
- Data Grouping and Training: We partition the data based on whether the maximum cloud pixel velocity exceeds 5. Only data with are used for training the motion model. In contrast, Karout et al. utilize the mixed situation dataset for training where clear-sky/overcast data with low variability are included.
- Fitting the clear-sky DNI model’s parameter per hour is adopted, and the fitted parameter is used to calculate the clear-sky DNIs and then the clear-sky DNI index within the hour period when preparing the training data. When performing DNI prediction on the test set, we adopted the same calculation method for the clear-sky DNI as in Karout et al.’s work [16].
- Region of Interest and Uncertainty Handling: The ROI for our deep learning model (i.e., the motion model) is the same size as the solar region. Uncertainty in the cloud speed derived from dense optical flow is addressed by incorporating the three channels of the scaled, distortion-corrected image into the input tensor. Conversely, Karout et al. mitigate this uncertainty by enlarging the ROI size.
- Dynamic ROI adaptation: Replace the fixed 88-pixel ROI with a size/shape-adaptive ROI, adjusted based on cloud movement direction and velocity to better capture sun-obscuring cloud segments.
5. Conclusions
Supplementary Materials
Author Contributions
Funding
Data Availability Statement
Conflicts of Interest
Abbreviations
| DNI | Direct Normal Irradiance |
| GHI | Global Horizontal Irradiance |
| CSP | Concentrated Solar Power |
| PV | Photovoltaic |
| CNN | Convolutional Neural Network |
| ROI | Region of Interest |
| nMAE | Normalized Mean Absolute Error |
| nRMSE | Normalized Root Mean Squared Error |
| RNN | Recurrent Reural Network |
| LSTM | Long Short-Term Memory |
| GRU | Gated Recurrent Unit |
| 3D-CNN | 3D Convolutional Neural Network |
| MLP | Multi-Layer Perceptron |
| SCNN | Siamese Convolutional Neural Network |
| KNN | K-Nearest Neighbors |
| CCM | Cross-Correlation Method |
| PIV | Particle Image Velocimetry |
| ReLU | Rectified Linear Unit |
| FC | Fully Connected |
| RDI | Ramp Detection Index |
References
- Cruz, N.C.; Redondo, J.L.; Berenguel, M.; Álvarez, J.D.; Ortigosa, P.M. Review of software for optical analyzing and optimizing heliostat fields. Renew. Sust. Energy Rev. 2017, 72, 1001–1018. [Google Scholar] [CrossRef]
- Law, E.W.; Prasad, A.A.; Kay, M.; Taylor, R.A. Direct normal irradiance forecasting and its application to concentrated solar thermal output forecasting—A review. Sol. Energy 2014, 108, 287–307. [Google Scholar] [CrossRef]
- Schroedter-Homscheidt, M.; Benedetti, A.; Killius, N. Verification of ECMWF and ECMWF/MACC’s global and direct irradiance forecasts with respect to solar electricity production forecasts. Meteorol. Z. 2017, 26, 1–19. [Google Scholar] [CrossRef]
- Wang, Z.; Wu, S.; Huang, Y.; Liu, R.; Liu, X. A comprehensive review of deep learning for solar nowcasting: Enhancing accuracy, reliability, and interpretability. Appl. Energy 2026, 407, 127378. [Google Scholar] [CrossRef]
- Wu, J.; Chan, C.K. Prediction of hourly solar radiation using a novel hybrid model of ARMA and TDNN. Sol. Energy 2011, 85, 808–817. [Google Scholar] [CrossRef]
- Sun, H.W.; Yan, D.; Zhao, N.; Zhou, J.Z. Empirical investigation on modeling solar radiation series with ARMA-GARCH models. Energy Convers. Manag. 2015, 92, 385–395. [Google Scholar] [CrossRef]
- Shoaei, M.; Noorollahi, Y.; Hajinezhad, A.; Moosavian, S.F. A review of the applications of artificial intelligence in renewable energy systems: An approach-based study. Energy Convers. Manag. 2024, 306, 118207. [Google Scholar] [CrossRef]
- Tian, S.; Liu, X. Incorporating advanced machine learning algorithms into solar power forecasting in off-grid hybrid renewable systems. Electr. Pow. Syst. Res. 2025, 248, 111979. [Google Scholar] [CrossRef]
- Aman, R.; Rizwan, M.; Kumar, A. A novel hybrid intelligent approach for solar photovoltaic power prediction considering UV index and cloud cover. Electr. Eng. 2025, 107, 1203–1224. [Google Scholar] [CrossRef]
- Marquez, R.; Coimbra, C.F.M. Intra-hour DNI forecasting based on cloud tracking image analysis. Sol. Energy 2013, 91, 327–336. [Google Scholar] [CrossRef]
- Quesada-Ruiz, S.; Chu, Y.; Tovar-Pescador, J.; Pedro, H.T.C.; Coimbra, C.F.M. Cloud-tracking methodology for intra-hour DNI forecasting. Sol. Energy 2014, 102, 267–275. [Google Scholar] [CrossRef]
- Chu, Y.; Li, M.; Pedro, H.T.C.; Coimbra, C.F.M. Real-time prediction intervals for intra-hour DNI forecasts. Renew. Energy 2015, 83, 234–244. [Google Scholar] [CrossRef]
- Feng, C.; Zhang, J. SolarNet: A sky image-based deep convolutional neural network for intra-hour solar forecasting. Sol. Energy 2020, 204, 71–78. [Google Scholar] [CrossRef]
- Zhao, X.; Wei, H.K.; Wang, H.; Zhu, T.T.; Zhang, K.J. 3D-CNN-based feature extraction of ground-based cloud images for direct normal irradiance prediction. Sol. Energy 2019, 181, 510–518. [Google Scholar] [CrossRef]
- Zhu, T.; Guo, Y.; Li, Z.; Wang, C. Solar Radiation Prediction Based on Convolution Neural Network and Long Short-Term Memory. Energies 2021, 14, 8498. [Google Scholar] [CrossRef]
- Karout, Y.; Thil, S.; Eynard, J.; Guillot, E.; Grieu, S. Hybrid intrahour DNI forecast model based on DNI measurements and sky-imaging data. Sol. Energy 2023, 249, 541–558. [Google Scholar] [CrossRef]
- Xu, S.; Zhang, R.; Ma, H.; Ekanayake, C.; Cui, Y. On vision transformer for ultra-short-term forecasting of photovoltaic generation using sky images. Sol. Energy 2024, 267, 112203. [Google Scholar] [CrossRef]
- Shi, C.; Su, Z.; Zhang, K.; Xie, X.; Zhang, X. CloudSwinNet: A hybrid CNN-transformer framework for ground-based cloud images fine-grained segmentation. Energy 2024, 309, 133128. [Google Scholar] [CrossRef]
- Jonathan, A.L.; Cai, D.; Ukwuoma, C.C.; Nkou, N.J.J.; Huang, Q.; Bamisile, O. A radiant shift: Attention-embedded CNNs for accurate solar irradiance forecasting and prediction from sky images. Renew. Energy 2024, 234, 121133. [Google Scholar] [CrossRef]
- Otuka, C.I.; Cai, D.; Ukwuoma, C.C.; Luo, S.; Yang, Z.; Bamisile, O.; Ukwuoma, C.D.; Otuka, C.U.; Otuka, N.O.; Huang, Q. Experimental review and recent advances in deep learning techniques for solar irradiance forecasting and prediction. Sol. Energy 2026, 304, 114175. [Google Scholar] [CrossRef]
- Luiz, E.W.; Martins, F.R.; Costa, R.S.; Pereira, E.B. Comparison of methodologies for cloud cover estimation in Brazil—A case study. Energy Sustain. Dev. 2018, 43, 15–22. [Google Scholar] [CrossRef]
- Nou, J.; Chauvin, R.; Thil, S.; Grieu, S. A new approach to the real-time assessment of the clear-sky direct normal irradiance. Appl. Math. Model. 2016, 40, 7245–7264. [Google Scholar] [CrossRef]
- Duffie, J.A.; Beckman, W.A. Solar Engineering of Thermal Processes, 4th ed.; John Wiley & Sons, Inc.: Hoboken, NJ, USA, 2013. [Google Scholar] [CrossRef]
- Reno, M.J.; Hansen, C.W.; Stein, J.S. Global Horizontal Irradiance Clear Sky Models: Implementation and Analysis; Sand: Albuquerque, NM, USA, 2014. [Google Scholar] [CrossRef]
- Younes, S.; Muneer, T. Clear-sky classification procedures and models using a world-wide data-base. Appl. Energy 2007, 84, 623–645. [Google Scholar] [CrossRef]
- Reno, M.J.; Hansen, C.W. Identification of periods of clear sky irradiance in time series of GHI measurements. Renew. Energy 2016, 90, 520–531. [Google Scholar] [CrossRef]
- Bone, V.; Pidgeon, J.; Kearney, M.; Veeraragavan, A. Intra-hour direct normal irradiance forecasting through adaptive clear-sky modelling and cloud tracking. Sol. Energy 2018, 159, 852–867. [Google Scholar] [CrossRef]
- Scaramuzza, D.; Martinelli, A.; Siegwart, R. A Toolbox for Easily Calibrating Omnidirectional Cameras. In IEEE/RSJ International Conference on Intelligent Robots and Systems; IEEE: New York, NY, USA, 2006; pp. 5695–5701. [Google Scholar] [CrossRef]
- Chauvin, R.; Nou, J.; Thil, S.; Grieu, S. Modelling the clear-sky intensity distribution using a sky imager. Sol. Energy 2015, 119, 1–17. [Google Scholar] [CrossRef]
- Hamill, T.M.; Nehrkorn, T. A short-term cloud forecast scheme using cross correlations. Weather Forecast. 1993, 8, 401–411. [Google Scholar] [CrossRef]
- Caldas, M.; Alonso-Suárez, R. Very short-term solar irradiance forecast using all-sky imaging and real-time irradiance measurements. Renew. Energy 2019, 143, 1643–1658. [Google Scholar] [CrossRef]
- Mori, N.; Chang, K.-A. mpiv—MATLAB PIV Toolbox. 2003. Available online: http://www.oceanwave.jp/softwares/mpiv (accessed on 15 September 2025).
- Chu, Y.; Pedro, H.T.C.; Coimbra, C.F.M. Hybrid intra-hour DNI forecasts with sky image processing enhanced by stochastic learning. Sol. Energy 2013, 98, 592–603. [Google Scholar] [CrossRef]
- Sun, D.Q.; Roth, S.; Black, M.J. A Quantitative Analysis of Current Practices in Optical Flow Estimation and the Principles Behind Them. Int. J. Comput. Vision 2014, 106, 115–137. [Google Scholar] [CrossRef]
- Farnebäck, G. Two-frame motion estimation based on polynomial expansion. In Image Analysis, Proceedings; Bigun, J., Gustavsson, T., Eds.; Springer: Berlin/Heidelberg, Germany, 2003; Volume 2749, pp. 363–370. [Google Scholar] [CrossRef]
- Du, J.; Min, Q.L.; Zhang, P.L.; Guo, J.H.; Yang, J.; Yin, B.S. Short-Term Solar Irradiance Forecasts Using Sky Images and Radiative Transfer Model. Energies 2018, 11, 1107. [Google Scholar] [CrossRef]
- West, S.R.; Rowe, D.; Sayeef, S.; Berry, A. Short-term irradiance forecasting using skycams: Motivation and development. Sol. Energy 2014, 110, 188–207. [Google Scholar] [CrossRef]
- Kamadinata, J.O.; Ken, T.L.; Suwa, T. Sky image-based solar irradiance prediction methodologies using artificial neural networks. Renew. Energy 2019, 134, 837–845. [Google Scholar] [CrossRef]
- Hartigan, J.A.; Wong, M.A. A K-Means Clustering Algorithm. J. R. Stat. Society. Ser. C (Appl. Stat.) 1979, 28, 100–108. [Google Scholar] [CrossRef]
- Reda, I.; Andreas, A. Solar position algorithm for solar radiation applications. Sol. Energy 2004, 76, 577–589. [Google Scholar] [CrossRef]
- Yang, D.; Alessandrini, S.; Antonanzas, J.; Antonanzas-Torres, F.; Badescu, V.; Beyer, H.G.; Blaga, R.; Boland, J.; Bright, J.M.; Coimbra, C.F.M.; et al. Verification of deterministic solar forecasts. Sol. Energy 2020, 210, 20–37. [Google Scholar] [CrossRef]
- Chu, Y.H.; Pedro, H.T.C.; Li, M.Y.; Coimbra, C.F.M. Real-time forecasting of solar irradiance ramps with smart image processing. Sol. Energy 2015, 114, 91–104. [Google Scholar] [CrossRef]
- Hernandez-Lopez, R.; Travieso-Gonzalez, C.M.; Ajali-Hernandez, N.I. Sky Image Classification Based on Transfer Learning Approaches. Sensors 2024, 24, 3726. [Google Scholar] [CrossRef]
- Liu, W.; Liu, Y.; Zhou, X.; Xie, Y.; Han, Y.; Yoo, S.; Sengupta, M. Use of physics to improve solar forecast: Part III, impacts of different cloud types. Sol. Energy 2025, 286, 113171. [Google Scholar] [CrossRef]





Disclaimer/Publisher’s Note: The statements, opinions and data contained in all publications are solely those of the individual author(s) and contributor(s) and not of MDPI and/or the editor(s). MDPI and/or the editor(s) disclaim responsibility for any injury to people or property resulting from any ideas, methods, instructions or products referred to in the content. |
© 2026 by the authors. Licensee MDPI, Basel, Switzerland. This article is an open access article distributed under the terms and conditions of the Creative Commons Attribution (CC BY) license.
Share and Cite
Dai, Z.; Xie, Y.; Wei, Y.; Wang, D.; Han, Z.; Deng, Y. Short-Term Solar Radiation Prediction Based on Convolution Neural Network and Fitted Clear-Sky Model. Energies 2026, 19, 1583. https://doi.org/10.3390/en19061583
Dai Z, Xie Y, Wei Y, Wang D, Han Z, Deng Y. Short-Term Solar Radiation Prediction Based on Convolution Neural Network and Fitted Clear-Sky Model. Energies. 2026; 19(6):1583. https://doi.org/10.3390/en19061583
Chicago/Turabian StyleDai, Zengli, Yu Xie, Yuan Wei, Dongxiang Wang, Zhaohui Han, and Yunpeng Deng. 2026. "Short-Term Solar Radiation Prediction Based on Convolution Neural Network and Fitted Clear-Sky Model" Energies 19, no. 6: 1583. https://doi.org/10.3390/en19061583
APA StyleDai, Z., Xie, Y., Wei, Y., Wang, D., Han, Z., & Deng, Y. (2026). Short-Term Solar Radiation Prediction Based on Convolution Neural Network and Fitted Clear-Sky Model. Energies, 19(6), 1583. https://doi.org/10.3390/en19061583

