Sign in to use this feature.

Years

Between: -

Subjects

remove_circle_outline
remove_circle_outline
remove_circle_outline
remove_circle_outline
remove_circle_outline
remove_circle_outline
remove_circle_outline
remove_circle_outline

Journals

Article Types

Countries / Regions

Search Results (21)

Search Parameters:
Keywords = cetane number enhancement

Order results
Result details
Results per page
Select all
Export citation of selected articles as:
20 pages, 2201 KB  
Article
Performance and Emission Characteristics of n-Pentanol–Diesel Blends in a Single-Cylinder CI Engine
by Doohyun Kim, Jeonghyeon Yang and Jaesung Kwon
Energies 2025, 18(19), 5083; https://doi.org/10.3390/en18195083 - 24 Sep 2025
Viewed by 44
Abstract
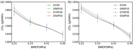
This work provides a systematic evaluation of the performance and regulated emissions of binary n-pentanol–diesel blends under steady-state conditions, thereby clarifying condition-dependent efficiency–emission trade-offs across multiple loads and speeds. A single-cylinder, air-cooled diesel engine was operated at two speeds (1700 and 2700 rpm) [...] Read more.
This work provides a systematic evaluation of the performance and regulated emissions of binary n-pentanol–diesel blends under steady-state conditions, thereby clarifying condition-dependent efficiency–emission trade-offs across multiple loads and speeds. A single-cylinder, air-cooled diesel engine was operated at two speeds (1700 and 2700 rpm) and four brake mean effective pressure (BMEP) levels (0.25–0.49 MPa) using commercial diesel (D100) and three n-pentanol–diesel blends at volume ratios of 10%, 30%, and 50% (designated D90P10, D70P30, and D50P50, respectively). Brake thermal efficiency (BTE), brake specific energy consumption (BSEC), and brake specific fuel consumption (BSFC) were measured alongside exhaust emissions of nitrogen oxides (NOx), carbon monoxide (CO), hydrocarbon (HC), carbon dioxide (CO2), and smoke opacity. The results show that due to a lower cetane number, high latent heat of vaporization, and reduced heating value, n-pentanol blends incur efficiency and fuel consumption penalties at light to moderate loads. However, these disadvantages diminish or reverse at high loads and speeds: D50P50 surpasses D100 in BTE and matches or improves BSEC and BSFC at 2700 rpm and 0.49 MPa. Emission data reveal that the blend’s fuel-bound oxygen and enhanced mixing provide up to 16% NOx reduction; 35% and 45% reductions in CO and HC, respectively; and a 74% reduction in smoke opacity under demanding conditions, while CO2 per unit work output aligns with or falls below D100 at high load. These findings demonstrate that optimized n-pentanol–diesel blends can simultaneously improve efficiency and mitigate emissions, offering a practical pathway for low-carbon diesel engines. Full article
(This article belongs to the Special Issue Renewable Fuels for Internal Combustion Engines: 2nd Edition)
Show Figures

Figure 1

20 pages, 1435 KB  
Article
Evaluation of Tire Pyrolysis Oil–HVO Blends as Alternative Diesel Fuels: Lubricity, Engine Performance, and Emission Impacts
by Tomas Mickevičius, Agnieszka Dudziak, Jonas Matijošius and Alfredas Rimkus
Energies 2025, 18(16), 4389; https://doi.org/10.3390/en18164389 - 18 Aug 2025
Viewed by 815
Abstract
In the pursuit of sustainable and circular energy sources, this study examines the potential of tire pyrolysis oil (TPO) as a diesel fuel substitute when combined with hydrotreated vegetable oil (HVO), a second-generation biofuel. At varying TPO-HVO blend percentages, this investigation evaluates engine [...] Read more.
In the pursuit of sustainable and circular energy sources, this study examines the potential of tire pyrolysis oil (TPO) as a diesel fuel substitute when combined with hydrotreated vegetable oil (HVO), a second-generation biofuel. At varying TPO-HVO blend percentages, this investigation evaluates engine performance and emissions in relation to critical fuel parameters, including density, viscosity, and lubricity. The high-frequency reciprocating rig (HFRR) method was employed to examine tribological aspects, and a single-cylinder diesel engine was tested under various load conditions. The findings indicated that blends containing up to 30% TPO maintained sufficient lubrication and engine performance to comply with diesel standards, concurrently reducing carbon monoxide and smoke emissions. The increase in TPO proportion resulted in a decrease in cetane number, an increase in NOx emissions, and a rise in viscosity, particularly under full engine load conditions. The utilization of TPO is crucial for converting tire waste into fuel, as it mitigates the accumulation of tire waste and reduces dependence on fossil fuels, despite existing challenges. This study provides critical insights into the efficacy of blending methods and underscores the necessity of additional fuel refining processes, such as cetane enhancement and desulfurization, to facilitate their integration into transportation energy systems. Full article
Show Figures

Figure 1

22 pages, 12462 KB  
Article
Impact of Post-Injection Strategies on Combustion and Emissions in a CTL–Ammonia Dual-Fuel Engine
by Siran Tian, Lina Zhang, Yi Wang and Haozhong Huang
Energies 2025, 18(12), 3077; https://doi.org/10.3390/en18123077 - 11 Jun 2025
Viewed by 580
Abstract
Ammonia is a carbon-free fuel with strong potential for emission reduction. However, its high auto-ignition temperature and low reactivity lead to poor ignitability and unstable combustion. In contrast, coal-to-liquid (CTL) fuel offers high cetane number, low sulfur content, and low aromaticity, making it [...] Read more.
Ammonia is a carbon-free fuel with strong potential for emission reduction. However, its high auto-ignition temperature and low reactivity lead to poor ignitability and unstable combustion. In contrast, coal-to-liquid (CTL) fuel offers high cetane number, low sulfur content, and low aromaticity, making it a clean fuel with excellent ignition performance. Blending CTL with ammonia can effectively compensate for ammonia’s combustion limitations, offering a promising pathway toward low-carbon clean combustion. This study explores the effects of post-injection strategies on combustion and emission characteristics of a CTL–ammonia dual-fuel engine under different levels of ammonia energy fractions (AEFs). Results show that post-injection significantly improves combustion and emission performance by expanding ammonia’s the favorable reactivity range of ammonia and enhancing NH3 oxidation, particularly under moderate AEF conditions (5–10%) where ammonia and CTL demonstrate strong synergy. For emissions, moderate post-injection notably reduces CO at low AEFs, while NOX emissions consistently decrease with increasing post-injection quantity, with greater suppression observed at higher AEFs. Soot emissions are also effectively reduced under post-injection conditions. Although total hydrocarbon (THC) emissions increase due to ammonia’s low reactivity, post-injection mitigates this accumulation trend to some extent, demonstrating overall co-benefits for emission control. Comprehensive evaluation indicates that the combination of 5–10% AEF, 8–12 mg post-injection quantity, and post-injection timing of 10–15 °CA achieves the most favorable balance of combustion efficiency, emissions reduction, and reaction stability, confirming the potential of the CTL–ammonia dual-fuel system for clean and efficient combustion. Full article
(This article belongs to the Section I2: Energy and Combustion Science)
Show Figures

Figure 1

26 pages, 16158 KB  
Article
Optimization of Blighia sapida Seed Oil Biodiesel Production: A Sustainable Approach to Renewable Biofuels
by Oyetola Ogunkunle and Christopher C. Enweremadu
Resources 2025, 14(6), 89; https://doi.org/10.3390/resources14060089 - 26 May 2025
Cited by 1 | Viewed by 1079
Abstract
This study aims to optimize the production of biodiesel from Blighia sapida (Ackee) seed oil, a non-edible and underutilized feedstock, as a sustainable alternative to conventional fossil-based diesel fuels. The transesterification of Blighia sapida seed oil was optimized using Response Surface Methodology (RSM) [...] Read more.
This study aims to optimize the production of biodiesel from Blighia sapida (Ackee) seed oil, a non-edible and underutilized feedstock, as a sustainable alternative to conventional fossil-based diesel fuels. The transesterification of Blighia sapida seed oil was optimized using Response Surface Methodology (RSM) with a Box–Behnken experimental design. Three process variables, reaction time, temperature, and methanol-to-oil molar ratio, were selected for modeling biodiesel yield. The resulting biodiesel was characterized by physicochemical properties in accordance with ASTM D6751 standards. The optimal transesterification conditions were found to be 60 min, 60 °C, and a methanol-to-oil ratio of 3:1, yielding 98.36% biodiesel. This represents an improvement over the unoptimized yield of 94.3% at a 6:1 molar ratio. Experimental validation produced an average yield of 97.49%, confirming the model’s reliability. The produced biodiesel exhibited a kinematic viscosity of 4.02 mm2/s, cetane number of 54.6, flash point of 138 °C, and acid value of 0.421 mg KOH/g, which are all within the ASTM D6751 standard limits. This work is among the first to systematically optimize Blighia sapida biodiesel production using RSM. The results demonstrate its viability as a clean-burning, high-quality biodiesel fuel with promising fuel properties and environmental benefits. Its high cetane number and low methanol requirement enhance its combustion performance and production efficiency, positioning Blighia sapida as a competitive feedstock for sustainable biofuel development. Full article
Show Figures

Figure 1

16 pages, 3181 KB  
Article
Experimental Investigation of 2-Ethylhexyl Nitrate Effects on Engine Performance and Exhaust Emissions in Biodiesel-2-Methylfuran Blend for Diesel Engine
by Balla M. Ahmed, Maji Luo, Hassan A. M. Elbadawi, Nasreldin M. Mahmoud and Pang-Chieh Sui
Energies 2025, 18(11), 2730; https://doi.org/10.3390/en18112730 - 24 May 2025
Viewed by 1093
Abstract
Biodiesel and 2-methylfuran (MF) exhibit significant potential as alternative fuels due to advancements in their production techniques. Despite this potential, the low cetane number (CN) of biodiesel–MF (BMF) blends limits their practical use in diesel engines due to poor auto-ignition characteristics and extended [...] Read more.
Biodiesel and 2-methylfuran (MF) exhibit significant potential as alternative fuels due to advancements in their production techniques. Despite this potential, the low cetane number (CN) of biodiesel–MF (BMF) blends limits their practical use in diesel engines due to poor auto-ignition characteristics and extended ignition delays. This study addresses this issue by investigating the impact of the cetane improver 2-ethylhexyl nitrate (2-EHN) on the performance and emissions of a BMF30 blend. The blend consists of 70% biodiesel and 30% MF, with 2-EHN added at concentrations of 1% and 1.5% to enhance ignition properties. The experiments were conducted on a four-cylinder, four-stroke, direct-injection compression ignition (DICI) engine at a constant speed of 1800 rpm with brake mean effective pressures (BMEP) ranging from 0.13 to 1.13 MPa. The results showed that 2-EHN improved the CN of the BMF30 blend, leading to earlier combustion initiation and longer combustion duration. At low BMEP (0.13 MPa), 2-EHN increased the peak rate of heat release and in-cylinder pressure, whereas at higher BMEP (0.88 MPa), these parameters decreased. The key findings include a reduction in brake-specific fuel consumption (BSFC) by 5.49–7.33% and an increase in brake thermal efficiency (BTE) by 3.30–4.69%. Additionally, NOx emissions decreased by 9.4–17.48%, with the highest reduction observed at 1.5% 2-EHN. CO emissions were reduced by 45.1–85.5% and soot emissions also declined. Hydrocarbon (HC) emissions decreased by 14.56–24.90%. These findings demonstrate that adding 2-EHN to BMF30 blends enhances engine performance, reduces key emissions, and offers a promising alternative fuel for diesel engines. Full article
(This article belongs to the Section B: Energy and Environment)
Show Figures

Figure 1

16 pages, 3603 KB  
Article
Experimental Study of 2-Ethylhexyl Nitrate Effects on Engine Performance and Exhaust Emissions of Diesel Engine Fueled with Diesel–2-Methylfuran Blends
by Balla M. Ahmed, Maji Luo, Hassan A. M. Elbadawi, Nasreldin M. Mahmoud and Pang-Chieh Sui
Energies 2025, 18(1), 98; https://doi.org/10.3390/en18010098 - 30 Dec 2024
Cited by 1 | Viewed by 1694
Abstract
2-Methylfuran (2-MF) has emerged as a promising renewable alternative fuel, primarily due to its sustainable production processes and its potential to significantly reduce soot emissions. However, when blended with diesel, it presents challenges, including an increase in NOx emissions, which is attributed to [...] Read more.
2-Methylfuran (2-MF) has emerged as a promising renewable alternative fuel, primarily due to its sustainable production processes and its potential to significantly reduce soot emissions. However, when blended with diesel, it presents challenges, including an increase in NOx emissions, which is attributed to the lower cetane number (CN) of the M30 blend. This study investigates the effect of adding 2-ethylhexyl nitrate (2-EHN), a cetane enhancer, to the M30 blend (30% 2-MF by volume), on combustion characteristics and exhaust emissions. Experiments were conducted using a modified four-cylinder, four-stroke, direct-injection compression ignition (DICI) engine featuring a common rail fuel injection system. The engine was evaluated under different load conditions, with brake mean effective pressure (BMEP) ranging from 0.13 to 1.13 MPa, while maintaining a constant engine speed of 1800 rpm. The incorporation of 1.5% and 2.5% 2-EHN into the M30 blend enhanced combustion performance, as indicated by a reduction in the maximum pressure rise rate, a shorter ignition delay (ID), and an extended combustion duration (CD). Furthermore, the brake-specific fuel consumption (BSFC) reduced by 2.78% and 5.7%, while the brake thermal efficiency (BTE) increased by 3.54% and 7.1%, respectively. Moreover, the inclusion of 2-EHN led to a significant reduction in Nox by 9.20–17.57%, with the most significant reduction observed at a 2.5% 2-EHN, where hydrocarbon (HC) decreased by 7.93–21.59%, and carbon monoxide (CO) reduced by 12.11–33.98% as compared to the M30 blend without 2-EHN. Although a slight increase in soot emissions was observed with higher concentrations of 2-EHN, soot levels remained significantly lower than those from pure diesel. The results indicate that the addition of 2-EHN can effectively mitigate the trade-off between NOx and soot emissions in low cetane number oxygenated fuels. Full article
(This article belongs to the Section B: Energy and Environment)
Show Figures

Figure 1

43 pages, 6496 KB  
Review
A Review of Biodiesel Cold Flow Properties and Its Improvement Methods: Towards Sustainable Biodiesel Application
by Yano Surya Pradana, I Gusti B. N. Makertihartha, Antonius Indarto, Tirto Prakoso and Tatang Hernas Soerawidjaja
Energies 2024, 17(18), 4543; https://doi.org/10.3390/en17184543 - 10 Sep 2024
Cited by 21 | Viewed by 4243
Abstract
Significant concerns over energy security and environmental impact reduction will drive all stakeholders to generate proper alternative energies. Biodiesel is a prospective cleaner-burning biofuel that can contribute on addressing these concerns globally. Presently, pure biodiesel (B100) application is still facing several obstacles, principally [...] Read more.
Significant concerns over energy security and environmental impact reduction will drive all stakeholders to generate proper alternative energies. Biodiesel is a prospective cleaner-burning biofuel that can contribute on addressing these concerns globally. Presently, pure biodiesel (B100) application is still facing several obstacles, principally in terms of its cold flow properties. Improvement in cold flow behavior parameters is the solution to promoting biodiesel implementation at a higher percentage and wider environmental temperature range. This study provides a detailed review of several improvement methods, both physical, chemical, and biological, from various scientific sources, to elevate the cold fluidity characteristics of biodiesel. The investigated methods convincingly offer proper enhancement in the cold flow properties of biodiesel. Mostly, this improvement is accompanied by an alleviation in oxidation stability, cetane number, and/or viscosity. However, the skeletal isomerization method presents promising cold fluidity refinement with minimal reduction in other physical properties. Therefore, the continuous development of these methods promises global sustainable application of high-quality biodiesel. Full article
(This article belongs to the Special Issue Advanced Technologies for Fuel Production and Application)
Show Figures

Figure 1

11 pages, 1027 KB  
Article
Catalytic Valorization of Organic Solid Waste: A Pilot-Scale Run of Sugarcane Bagasse
by Zhaofei Li, Ali Omidkar and Hua Song
Catalysts 2024, 14(9), 568; https://doi.org/10.3390/catal14090568 - 28 Aug 2024
Viewed by 1530
Abstract
Organic solid waste treatment is crucial for enhancing environmental sustainability, promoting economic growth, and improving public health. Following our previous organic solid waste upgrading technique, a further two-step pilot-scale run, using sugarcane bagasse as the feedstock, has been successfully conducted with long-term stability. [...] Read more.
Organic solid waste treatment is crucial for enhancing environmental sustainability, promoting economic growth, and improving public health. Following our previous organic solid waste upgrading technique, a further two-step pilot-scale run, using sugarcane bagasse as the feedstock, has been successfully conducted with long-term stability. Firstly, the sugarcane bagasse was treated under mild conditions (400 °C and 1 bar of CH4), and this catalytic Methanolysis treatment resulted in a bio-oil with a yield of 60.5 wt.%. Following that, it was subjected to a catalytic Methano-Refining process (400 °C and 50 bar of CH4) to achieve high-quality renewable fuel with a liquid yield of 95.0 wt.%. Additionally, this renewable fuel can be regarded as an ideal diesel component with a high cetane number, high heating values, a low freezing point, low density and viscosity, and low oxygen, nitrogen, and sulfur contents. The successful pilot-scale catalytic upgrading of sugarcane bagasse further verified the effectiveness of this methane-assisted organic solid waste upgrading technique and confirmed the high flexibility of this innovative technology for processing a wide spectrum of agricultural and forestry residues. This study will shed light on the further valorization of organic solid waste and other carbonaceous materials. Full article
(This article belongs to the Special Issue Catalyzing the Sustainable Process Paradigm)
Show Figures

Figure 1

33 pages, 1578 KB  
Review
Renewable Methanol as a Fuel for Heavy-Duty Engines: A Review of Technologies Enabling Single-Fuel Solutions
by Yi-Hao Pu, Quinten Dejaegere, Magnus Svensson and Sebastian Verhelst
Energies 2024, 17(7), 1719; https://doi.org/10.3390/en17071719 - 3 Apr 2024
Cited by 13 | Viewed by 4675
Abstract
To meet climate targets, a global shift away from fossil fuels is essential. For sectors where electrification is impractical, it is crucial to find sustainable energy carriers. Renewable methanol is widely considered a promising fuel for powering heavy-duty applications like shipping, freight transport, [...] Read more.
To meet climate targets, a global shift away from fossil fuels is essential. For sectors where electrification is impractical, it is crucial to find sustainable energy carriers. Renewable methanol is widely considered a promising fuel for powering heavy-duty applications like shipping, freight transport, agriculture, and industrial machines due to its various sustainable production methods. While current technological efforts focus mainly on dual-fuel engines in shipping, future progress hinges on single-fuel solutions using renewable methanol to achieve net-zero goals in the heavy-duty sector. This review examines the research status of technologies enabling methanol as the sole fuel for heavy-duty applications. Three main categories emerged from the literature: spark-ignition, compression-ignition, and pre-chamber systems. Each concept’s operational principles and characteristics regarding efficiency, stability, and emissions were analyzed. Spark-ignition concepts are a proven and cost-effective solution with high maturity. However, they face limitations due to knock issues, restricting power output with larger bore sizes. Compression-ignition concepts inherently do not suffer from end-gas autoignition, but encounter challenges related to ignitability due to the low cetane number of methanol. Nonetheless, various methods for achieving autoignition of methanol exist. To obtain stable combustion at all load points, a combination of techniques will be required. Pre-chamber technology, despite its lower maturity, holds promise for extending the knock limit and enhancing efficiency by acting as a distributed ignition source. Furthermore, mixing-controlled pre-chamber concepts show potential for eliminating knock and the associated size and power limitations. The review concludes by comparing each technology and identifying research gaps for future work. Full article
(This article belongs to the Special Issue Internal Combustion Engine: Research and Application—2nd Edition)
Show Figures

Figure 1

21 pages, 2118 KB  
Article
An Innovative Co-Cultivation of Microalgae and Actinomycete-Inoculated Lettuce in a Hydroponic Deep-Water Culture System for the Sustainable Development of a Food–Agriculture–Energy Nexus
by Wasu Pathom-aree, Sritip Sensupa, Antira Wichaphian, Nanthakrit Sriket, Benyapa Kitwetch, Jeeraporn Pekkoh, Pachara Sattayawat, Sureeporn Lomakool, Yupa Chromkaew and Sirasit Srinuanpan
Horticulturae 2024, 10(1), 70; https://doi.org/10.3390/horticulturae10010070 - 10 Jan 2024
Cited by 7 | Viewed by 4131
Abstract
In recent years, researchers have turned their attention to the co-cultivation of microalgae and plants as a means to enhance the growth of hydroponically cultivated plants while concurrently producing microalgal biomass. However, the techniques used require precise calibration based on plant growth responses [...] Read more.
In recent years, researchers have turned their attention to the co-cultivation of microalgae and plants as a means to enhance the growth of hydroponically cultivated plants while concurrently producing microalgal biomass. However, the techniques used require precise calibration based on plant growth responses and their interactions with the environment and cultivation conditions. This study initially focused on examining the impact of hydroponic nutrient concentrations on the growth of the microalga Chlorella sp. AARL G049. The findings revealed that hydroponic nutrient solutions with electrical conductivities (EC) of 450 µS/cm and 900 µS/cm elicited a positive response in microalgae growth, resulting in high-quality biomass characterized by an elevated lipid content and favorable properties for renewable biodiesel. The biomass also exhibited high levels of polyunsaturated fatty acids (PUFAs), indicating excellent nutritional indices. The microalgae culture and microalgae-free culture, along with inoculation-free lettuce (Lactuca sativa L. var. longifolia) and lettuce that was inoculated with plant growth actinobacteria, specifically the actinomycete Streptomyces thermocarboxydus S3, were subsequently integrated into a hydroponic deep-water culture system. The results indicated that several growth parameters of lettuce cultivated in treatments incorporating microalgae experienced a reduction of approximately 50% compared to treatments without microalgae, and lowering EC levels in the nutrient solution from 900 µS/cm to 450 µS/cm resulted in a similar approximately 50% reduction in lettuce growth. Nevertheless, the adverse impacts of microalgae and nutrient stress were alleviated through the inoculation with actinomycetes. Even though the co-cultivation system leads to reduced lettuce growth, the system enables the production of high-value microalgal biomass with exceptional biodiesel fuel properties, including superior oxidative stability (>13 h), a commendable cetane number (>62), and a high heating value (>40 MJ/kg). This biomass, with its potential as a renewable biodiesel feedstock, has the capacity to augment the overall profitability of the process. Hence, the co-cultivation of microalgae and actinomycete-inoculated lettuce appears to be a viable approach not only for hydroponic lettuce cultivation but also for the generation of microalgal biomass with potential applications in renewable energy. Full article
(This article belongs to the Special Issue New Advances in Green Leafy Vegetables)
Show Figures

Graphical abstract

13 pages, 3471 KB  
Article
Combustion and Emission of Castor Biofuel Blends in a Single-Cylinder Diesel Engine
by Fangyuan Zheng and Haengmuk Cho
Energies 2023, 16(14), 5427; https://doi.org/10.3390/en16145427 - 17 Jul 2023
Cited by 10 | Viewed by 2070
Abstract
Fossil fuels confront the problem of strategic resource depletion since they have been continuously utilized for more than 200 years and cause serious damages to the ecological environment of the planet. In this work, the transesterification of castor plant oil was utilized to [...] Read more.
Fossil fuels confront the problem of strategic resource depletion since they have been continuously utilized for more than 200 years and cause serious damages to the ecological environment of the planet. In this work, the transesterification of castor plant oil was utilized to make biodiesel, and castor biodiesel’s physicochemical qualities were assessed. On a single-cylinder, four-stroke, water-cooled agricultural diesel engine, an experimental study was conducted to compare and analyze the engine performance and emission characteristics of diesel and biodiesel blends in various amounts. The B20, B40, B60, and B80 biodiesel blends were evaluated at different engine speeds (1200, 1400, 1600, and 1800 rpm) with a constant engine load (50%). According to the experimental findings, the brake thermal efficiency (BTE) declines as the engine speed rises, and the biodiesel fuel blend has a lower brake thermal efficiency (BTE) than diesel fuel because of its higher density and viscosity and lower calorific value. The amount of gasoline required to create power increases as the speed does, and the brake-specific fuel consumption (BSFC) trend is upward. Due to their low calorific value and high viscosity properties, biodiesel blends have a greater brake-specific fuel consumption (BSFC) than diesel. The fuel’s exhaust gas temperature (EGT) has an upward trend with an increased rotational speed. The biodiesel blend’s high cetane number shortens the ignition delay and lowers the exhaust gas temperature (EGT) compared to diesel. A fuel with oxygen added, biodiesel enhances combustion, increases the combustion temperature, speeds up the oxidation process, and lowers carbon monoxide (CO) and hydrocarbon emissions. B80 produces the lowest carbon monoxide and hydrocarbon emissions at 1800 rpm, at 0.33%, and 30 ppm, respectively. On the other hand, increased carbon dioxide (CO2) emissions result from a high oxygen concentration. In addition, compared to diesel fuel, biodiesel’s greater combustion temperature causes the creation of increased nitrogen oxide (NOx) emissions. According to the research findings, a castor biodiesel fuel blend is an excellent alternative fuel for engines since it can be utilized directly without modifying the current engine construction and has good engine and exhaust emission performance. Full article
Show Figures

Figure 1

33 pages, 3776 KB  
Review
Performance and Emission Characteristics of Second-Generation Biodiesel with Oxygenated Additives
by Saad Ahmad, Ali Turab Jafry, Muteeb ul Haq, Naseem Abbas, Huma Ajab, Arif Hussain and Uzair Sajjad
Energies 2023, 16(13), 5153; https://doi.org/10.3390/en16135153 - 4 Jul 2023
Cited by 30 | Viewed by 2856
Abstract
Biofuels are environmental friendly renewable fuels, that can be directly used in a diesel engine. However, a few shortcomings like a higher density, viscosity, a lower calorific value and increase in NOx emissions, has caused researchers to look for fuel additives to improve [...] Read more.
Biofuels are environmental friendly renewable fuels, that can be directly used in a diesel engine. However, a few shortcomings like a higher density, viscosity, a lower calorific value and increase in NOx emissions, has caused researchers to look for fuel additives to improve the physiochemical properties of these fuels and to enhance their performance and reduce harmful emissions. It is for this reason that modern research is focused on blending oxygenated additives such as alcohols and ethers with different generations of biodiesel. Since most studies have covered the effect of alcohol on biodiesel, there are few studies which have investigated the effect of oxygenated additives such as alcohols and ethers, especially related to second-generation biodiesel. Moreover, the details of their composition and molecular structure are still lacking. Hence, this study focuses on the performance and emission characteristics of biodiesel with the inclusion of oxygenated additives (alcohols and ethers) of non-edible-oil-based second-generation blends. The reviewed results showed that Neem biodiesel with methanol or diethyl ether reduced brake-specific fuel consumption by 10%, increased brake thermal efficiency by 25% and reduced CO and HC emissions due to a higher oxygen content. Diethyl ether reduced NOx emissions as well by producing a cooling effect, i.e., a reduced in-cylinder temperature. The addition of heptane, butanol and di ethyl ether to Jatropha biodiesel showed an improved brake thermal efficiency and an increment in brake-specific fuel consumption (5–20%), with reduced HC and CO2 (3–12%) emissions. Calophyllum inophyllum biodiesel also showed impressive results in terms of improving efficiency and reducing emissions with addition of butanol, pentanol, decanol and hexanol. Other factors that influenced emissions are the cetane number, viscosity, density and the latent heat of evaporation of tested biodiesel blends. This review would help the research community and the relevant industries to consider an efficient biodiesel blend for future study or its implementation as an alternate fuel in diesel engines. Full article
(This article belongs to the Special Issue Recent Progress in Biodiesel and IC Engines)
Show Figures

Figure 1

15 pages, 1764 KB  
Article
Fatty Acid Alkyl Ester Production by One-Step Supercritical Transesterification of Beef Tallow by Using Ethanol, Iso-Butanol, and 1-Butanol
by Ricardo García-Morales, Francisco J. Verónico-Sánchez, Abel Zúñiga-Moreno, Oscar A. González-Vargas, Edgar Ramírez-Jiménez and Octavio Elizalde-Solis
Processes 2023, 11(3), 742; https://doi.org/10.3390/pr11030742 - 2 Mar 2023
Cited by 7 | Viewed by 2711
Abstract
The effect of temperature was studied on the synthesis of fatty acid alkyl esters by means of transesterification of waste beef tallow using ethanol and, iso-butanol and 1-butanol at supercritical conditions. These alcohols are proposed for the synthesis of biodiesel in order to [...] Read more.
The effect of temperature was studied on the synthesis of fatty acid alkyl esters by means of transesterification of waste beef tallow using ethanol and, iso-butanol and 1-butanol at supercritical conditions. These alcohols are proposed for the synthesis of biodiesel in order to improve the cold flow properties of alkyl esters. Alcohol–beef tallow mixtures were fed to a high-pressure high-temperature autoclave at a constant molar ratio of 45:1. Reactions were carried out in the ranges of 310–390 °C and 310–420 °C for ethanol and iso-butanol, respectively; meanwhile, synthesis using 1-butanol was assessed only at 360 °C. After separation of fatty acid alkyl esters, these samples were characterized by nuclear magnetic resonance (NMR) and gas chromatography coupled to mass spectrometry (GC-MS) to quantify yields, chemical composition, and molecular weight. Results indicated that yields enhanced as temperature increased; the maximum yields for fatty acid ethyl esters (FAEEs) were attained at 360 °C, and for fatty acid butyl esters (FABEs) were achieved at 375 °C; beyond these conditions, the alkyl ester yields reached equilibrium. Concerning the physicochemical properties of biodiesel, the predicted cetane number and cloud point were enhanced compared to those of fatty acid methyl esters. Full article
Show Figures

Graphical abstract

29 pages, 8256 KB  
Article
Prospects for Biodiesel Production from Emerging Algal Resource: Process Optimization and Characterization of Biodiesel Properties
by Maria Hasnain, Neelma Munir, Zainul Abideen, Heather Macdonald, Maria Hamid, Zaheer Abbas, Ali El-Keblawy, Roberto Mancinelli and Emanuele Radicetti
Agriculture 2023, 13(2), 407; https://doi.org/10.3390/agriculture13020407 - 9 Feb 2023
Cited by 8 | Viewed by 3935
Abstract
The present work focuses on the optimization of the energy conversion process and the use of algal resources for biodiesel production with ultrasound and microwave techniques in Oedogonium, Oscillatoria, Ulothrix, Chlorella, Cladophora, and Spirogyra for the first time. [...] Read more.
The present work focuses on the optimization of the energy conversion process and the use of algal resources for biodiesel production with ultrasound and microwave techniques in Oedogonium, Oscillatoria, Ulothrix, Chlorella, Cladophora, and Spirogyra for the first time. The fuel properties are investigated to optimize the efficiency of the newly emerging algal energy feedstock. The study indicates that the optimized microwave technique improves the lipid extraction efficiency in Oedogonium, Oscillatoria, Ulothrix, Chlorella, Cladophora, and Spirogyra (38.5, 34, 55, 48, 40, and 33%, respectively). Moreover, the ultrasonic technique was also effective in extracting more lipids from Oedogonium sp., Oscillatoria sp., Ulothrix sp., Chlorella, Cladophora sp., and Spirogyra sp. (32, 21, 51, 40, and 36%, respectively) than from controls, using an ultra-sonication power of 80 kHz with an 8-min extraction time. The fatty acid composition, especially the contents of C16:0 and C18:1, were also enhanced after the microwave and sonication pretreatments in algal species. Enhancement of the lipids extracted from algal species improved the cetane number, high heating value, cold filter plugging point, and oxidative stability as compared to controls. Our results indicate that the conversion of biofuels from algae could be increased by the ultrasound and microwave techniques, to develop an eco-green and sustainable environment. Full article
Show Figures

Graphical abstract

17 pages, 4714 KB  
Article
Experimental Evaluation of Performance and Combustion Characteristics of Blended Plastic Pyrolysis Oil in Enhanced Diesel Engine
by Chonlakarn Wongkhorsub, Wantana Chaowasin and Kampanart Theinnoi
Energies 2022, 15(23), 9115; https://doi.org/10.3390/en15239115 - 1 Dec 2022
Cited by 5 | Viewed by 2826
Abstract
Plastic waste is the largest volume of waste and the most discarded, and it has a direct negative impact on the environment. Therefore, the pyrolysis oil process is an essential and sustainable solution to reduce plastic waste accumulation. However, the plastic pyrolysis fuel [...] Read more.
Plastic waste is the largest volume of waste and the most discarded, and it has a direct negative impact on the environment. Therefore, the pyrolysis oil process is an essential and sustainable solution to reduce plastic waste accumulation. However, the plastic pyrolysis fuel performance in diesel engines is reduced due to its lower cetane number. Diesel and pyrolysis oil were blended in ratios of 90:10 (BP10), 80:20 (BP20), 70:30 (BP30), 60:40 (BP40), and 50:50 (BP50) and applied in a single-cylinder diesel engine to investigate the engine performance and exhaust emission. The long ignition delay, thermal efficiency drops, and emission growth were found regarding the higher blended fuel ratios. BP30 was selected to evaluate the performance and combustion characteristics of blended plastic pyrolysis oil and diesel fuel blends by enhancing an unmodified engine using low hydrogen additions (1000 ppm) and advanced timing adjustment. The hydrogen injected into the intake manifold, along with the advanced fuel injection timing (−16.5 CA°BTDC), affected engine performance and emissions (CO, HC, and NO) at 1500 rpm under 25%, 50%, and 75% of the maximum load compared with diesel fuel. The results showed that the hydrogen addition was very positive for both engine performance and emission reduction, as the expanded flammability of the hydrogen promoted a wide range of combustion within the cylinder, whereas the advanced injection timing achieved improved engine performance but produced higher emissions compared to B7 at all engine loads. Full article
(This article belongs to the Special Issue Energy Trends of Fuel Combustion in Diesel Engine)
Show Figures

Figure 1

Back to TopTop