Next Article in Journal
Deep Learning with Dipper Throated Optimization Algorithm for Energy Consumption Forecasting in Smart Households
Next Article in Special Issue
Promotion of the NO-to-NO2 Conversion of a Biofueled Diesel Engine with Nonthermal Plasma-Assisted Low-Temperature Soot Incineration of a Diesel Particulate Filter
Previous Article in Journal
Evaluation of Water Resources through Efficiency Index and Water Productivity in EU
Previous Article in Special Issue
The Influence of Nonthermal Plasma Technology on Oxidation Characteristics of Soot Operated on Direct Injection Internal Combustion Engines
 
 
Font Type:
Arial Georgia Verdana
Font Size:
Aa Aa Aa
Line Spacing:
Column Width:
Background:
Article

Experimental Evaluation of Performance and Combustion Characteristics of Blended Plastic Pyrolysis Oil in Enhanced Diesel Engine

by
Chonlakarn Wongkhorsub
1,2,*,
Wantana Chaowasin
1,2 and
Kampanart Theinnoi
1,2
1
Department of Power Engineering Technology, College of Industrial Technology, King Mongkut’s University of Technology North Bangkok, Bangkok 10800, Thailand
2
Research Centre for Combustion Technology and Alternative Energy (CTAE), Science and Technology Research Institute, King Mongkut’s University of Technology North Bangkok, Bangkok 10800, Thailand
*
Author to whom correspondence should be addressed.
Energies 2022, 15(23), 9115; https://doi.org/10.3390/en15239115
Submission received: 31 October 2022 / Revised: 24 November 2022 / Accepted: 26 November 2022 / Published: 1 December 2022
(This article belongs to the Special Issue Energy Trends of Fuel Combustion in Diesel Engine)

Abstract

Plastic waste is the largest volume of waste and the most discarded, and it has a direct negative impact on the environment. Therefore, the pyrolysis oil process is an essential and sustainable solution to reduce plastic waste accumulation. However, the plastic pyrolysis fuel performance in diesel engines is reduced due to its lower cetane number. Diesel and pyrolysis oil were blended in ratios of 90:10 (BP10), 80:20 (BP20), 70:30 (BP30), 60:40 (BP40), and 50:50 (BP50) and applied in a single-cylinder diesel engine to investigate the engine performance and exhaust emission. The long ignition delay, thermal efficiency drops, and emission growth were found regarding the higher blended fuel ratios. BP30 was selected to evaluate the performance and combustion characteristics of blended plastic pyrolysis oil and diesel fuel blends by enhancing an unmodified engine using low hydrogen additions (1000 ppm) and advanced timing adjustment. The hydrogen injected into the intake manifold, along with the advanced fuel injection timing (−16.5 CA°BTDC), affected engine performance and emissions (CO, HC, and NO) at 1500 rpm under 25%, 50%, and 75% of the maximum load compared with diesel fuel. The results showed that the hydrogen addition was very positive for both engine performance and emission reduction, as the expanded flammability of the hydrogen promoted a wide range of combustion within the cylinder, whereas the advanced injection timing achieved improved engine performance but produced higher emissions compared to B7 at all engine loads.

1. Introduction

An estimated 6300 million metric tons (Mt) of plastic waste has been produced since 1950. By 2050, it is predicted that 12,000 Mt of plastic waste would be present in landfills or the natural environment if the current patterns continue [1]. Plastic is mainly produced from petroleum-based raw resources that account for 8–9% of global oil and gas consumption [2]. The impact of plastic waste negatively affects the environment, the ecosystem, and human health. Many studies have discovered the damage of plastic waste to the environment, caused by the whole life cycle of plastic, highlighting the lack of effective policy responses [3,4,5,6,7]. There have been several concerns in gathering and recycling plastic waste as a strategy of conserving resources and the environment. However, the amount of waste accumulated in landfill sites must be sorted. Turning waste into energy not only eliminates plastic waste, but it also produces an alternative fuel, replacing fossil fuel, which supports sustainable energy. As the topic of global warming is leading to worldwide endorsements of regulations to replace fossil fuels with alternative energy sources, the disposal of these types of plastic waste requires a pyrolysis process, as pyrolysis is a promising technique to sustainably degrade waste plastics [8].
Among the alternative fuel technologies, waste plastic pyrolysis oil (PPO) has the highest impact to the environment, not only reducing fossil fuel consumption but also providing a sustainable solution for the plastic problem. A commercial waste plastic pyrolysis plant was established in Thailand. However, the current product fuel is mostly utilized to replace bunker oil, which is against the fuel properties of PPO. Pyrolysis is a thermochemical process of converting from a solid state to a liquid state by thermally degrading long-chain polymer molecules into smaller, less complex molecules through heat and pressure. The operating conditions of pyrolysis require intense heat in a chamber lacking oxygen to transform plastic into oil, gas, and char [9]. The composition of the output is influenced by the raw material. In focusing on plastic waste, the main types of plastic that are applied are HDPE, LDPE, PP, and PS. These kinds of plastic lead to greater yields of pyrolysis oil than gas and char. The pyrolysis product is mainly influenced by the local consumption behavior, which affects the variance in the feedstock. However, a pretreatment of the feedstock is required to make it uniform and dehydrate the material to improve the quality of the oil product [10,11]. The improvement in the process yield depends on the thermal condition and the catalyst [12]. The operating temperature should be considered between 400 and 600 °C, whereas the higher temperature-raising ratio introduces more oil product compared to char and gas [13]. Most pyrolysis products typically consist of liquid oil, which has an experimental calorific value more than 40 MJ/kg. In comparison to the standards for the commercial fuel grade of gasoline and diesel, the pyrolysis oil is considered to have a high energy usage. However, some physical properties of the pyrolysis fuel, such as the viscosity and flash point, have lower performance than the diesel standard [14,15,16].
While viscosity is crucial in the fuel injection process, an experimental study in a diesel engine aimed to evaluate the engine’s tolerance of pyrolysis oil [17]. Several experiments have been conducted to evaluate the performance of plastic pyrolysis oil with diesel oil in compression ignition diesel engines. Most of them followed a similar pattern. Compared to diesel operation, the engine can withstand a medium blend rate with lower engine performance but more NOx, CO, and HC emissions [18,19]. Plastic pyrolysis oil has a slightly lower calorific value, viscosity, and flash point but a higher cetane index than diesel fuel. The enhancement of the engine performance and emission reduction due to use of plastic pyrolysis oil (PPO) is an essential part of implementing pyrolysis oil to reduce fossil fuel consumption. Modifying the compression ratio was introduced to reduce the PPO emissions. They can be improved once the engine operates at a high engine operating load and compression ratio [20]. Fuel injection timing adjustment was also proposed. Advancing the fuel injection timing led to more complete combustion but tended to increase NOx emissions due to the higher combustion temperature, whereas exhaust gas recirculation (EGR) is an efficient method for controlling NOx formation. The amount of oxygen available for combustion was decreased by the presence of exhaust gases in the intake mixture, even though exhaust gases are primarily made up of high-specific-heat gases such as carbon dioxide, nitrogen, etc. The increase in the specific heat caused by the addition of exhaust gases to the intake mixture lowers the flame temperature [21,22,23]. In addition, the effect of FeCl3 and diethyl ether (DEE) as additives in the fuel was also investigated to reduce the emissions. The research lowered the emissions of CO, HC, and smoke but not NO [24,25]. Due to the research on exhaust gas, fuel reforming in a diesel engine can perform up to 11% of on-board hydrogen production. The hydrogen enhancement in a diesel engine improves the thermal energy, and aftertreatment activities reduce the emissions [26]. In addition, a hydrogen boost in a CI engine leads to a lower in-cylinder gas temperature during diffusion-controlled combustion, resulting in an emission reduction [27].
As the characteristics of the PPO itself were its low viscosity and flashpoint, the additive to increase the oxygen in the fuel might not be impacted. Therefore, the aim of this research was to evaluate the efficiency of the fuel injection timing technique and the hydrogen enhancement technique in a blended PPO fuel to balance the advantage of using PPO with the combustion performance and to minimize emissions. In order to achieve this objective, the properties of PPO and diesel blended with 7% bio-oil (B7), which is the standard diesel fuel in Thailand, were investigated, variations in the effects of the blended fuel ratio on engine performance and emissions were observed to discover the optimum blend, and a thorough investigation of the enhancing approaches was reviewed using B7 and the optimum blend. Furthermore, the opportunity of low-carbon fuel is raised. Hydrogen is now recognized as a true energy carrier and a clean fuel [28]. The PPO replacing diesel without any modification should be the best solution for the transition period while carbon-free technology for transportation, for instance, fuel cell technology, is not strongly established on the market.

2. Materials and Methods

2.1. Fuel Properties

The plastic pyrolysis oil (PPO) in this experiment was a recovery product from a waste plastic pyrolysis plant in Thailand. As the purpose of the plant is to eliminate waste, the feedstock composition was varied, as it was received from domestic waste and industrial packaging waste. However, it should be highlighted that more than 25% of the feedstock was PS waste (industrial packaging) in order to maintain the reactor’s gas output as an energy source. Due to the amount of PS feedstock, this oil clearly had a low viscosity and flash point [17]. The operating temperature of this plant is 450–500 °C.
The fuel properties were tested according to the ASTM standard at Bangchak Corporation’s laboratory, as presented in Table 1, for diesel fuel (B7), PPO, and the fuel blended in B7-to-PPO ratios of 90:10 (BP10), 80:20 (BP20), 70:30 (BP330), 60:40 (BP40), and 50:50 (BP50). The properties demonstrated that the viscosity, flash point, and cetane index of the pyrolysis oil were lower than for the diesel fuel. The PPO appeared to have an acceptable high heating value (HHV) compared to B7, despite having lower C and H concentrations, which increases the heating value and makes up for inert fuel components (N and O). The H/C ratio for the PPO was slightly higher than B7, as shown in Table 1. Though the PPO itself had a cetane index higher than 47, which is the minimum cetane index number for a diesel engine, the ignition delay of the PPO was a concern [29].

2.2. The Experimental Setup

The basis of the test setup was a YANMAR L100V four-stroke, one-cylinder diesel engine, as shown in Figure 1. The engine specifications are presented in Table 2. In the hydrogen enhancement part, the injection volume of H2 at 1000 ppm was installed on the air intake manifold, whereas the injection timing adjustments were advanced at −16.5CA°BTDC regarding the mechanical fuel injection pump [30]. The purity of the hydrogen (99.98% vol.) was controlled with a mass flow controller to estimate the volumetric H2 required with theoretical calculations according to the test. The H2 concentrations were constantly monitored by continuous sampling with gas chromatography.
The engine was connected to an eddy-current engine dynamometer (Hofman, model D3210 Elze1, Hofmann Prüftechnik GmbH, Germany) for controlling engine torque and a consistent engine speed. The experiment was carried out at a constant speed of 1500 rpm, which is the engine’s normal operating speed due to optimized fuel consumption. In addition, the engine loads corresponding to the brake mean effective pressures (BMEP) of 1.63, 2.07, and 2.44 bar were between 25%, 50%, and 75%. The crankshaft position was evaluated by a Baumer Electric CH-8500 digital shaft encoder. To record the cylinder pressure, a KISTLER type 6056A pressure transducer was installed at the cylinder head and connected to a data acquisition board through a KISTLER type 5018A charged amplifier. In-house software was used in LabVIEW to achieve engine control and data acquisition. The primary output from the engine control parameters for the analysis of consecutive engine cycles contained the cylinder pressure, crank angle for ignition, and indicated mean effective pressure (IMEP). The heat release rate (HRR) was calculated using the average in-cylinder pressure value of 200 cycles and Equation (1) [31]. For the emission analysis in the combustion process, a Horiba emissions analyzer was attached at the end of the exhaust pipe. This analyzer measured the emission levels of O2, CO, CO2, HC, and NO.
d Q d θ = γ γ 1 p d V d θ + γ γ 1 V d p d θ
where:
d Q d θ = net rate of heat release (J/θ);
γ = isentropic expansion coefficient;
p = in-cylinder pressure (Pa);
V = in-cylinder volume (m3).
After the engine reached a steady state condition, the measurements of the various parameters were taken. Each test was repeated three times to ensure the reproducibility of the experimental data, and afterwards the reported parameters’ average values were assessed. The confidence interval with a 95% confidence level was used to provide the statistical significance of the experimental data while taking the trends of the findings into account. The technical specifications and the accuracy of the measurement instruments are shown in Table 3.

3. The Effect of Pyrolysis Oil Compared with Diesel Fuel

This experiment concentrated on the prospect of optimizing the blended pyrolysis oil with diesel in a diesel engine with an equivalent efficiency to normal diesel oil. The diesel fuel (B7) in Thailand was produced under the EURO IV standard and contained 7% biodiesel. In this study, the PPO blends varied the B7 and PPO in volume ratios of 90:10 (BP10), 80:20 (BP20), 70:30 (BP30), 60:40 (BP40), and 50:50 (BP50). The blended PPO was limited to 50% vol. in the fuel blends, as the higher blend had higher undesirable emissions and unstable engine performance [18,32].

3.1. Combustion Characterization

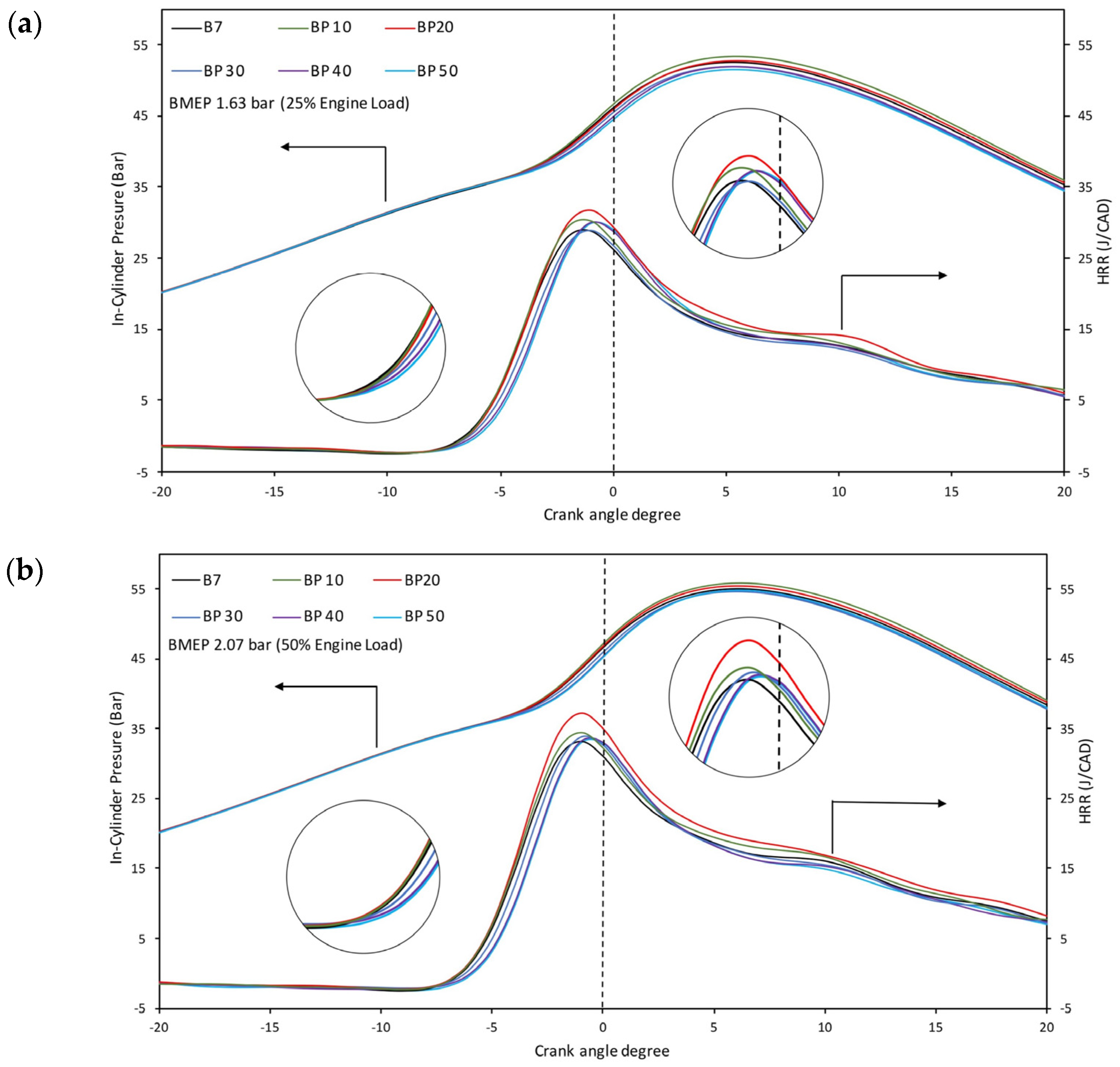
The variations in the in-cylinder pressure and heat release rate (HRR) for blended PPO operation at 25%, 50%, and 75% of the maximum load were 1.63 bar, 2.07 bar, and 2.44 bar IMEP, respectively, with a fixed engine speed (1500 rpm) compared with diesel fuel, as shown in Figure 2. The peak pressure and the HRR of the engine for the blended fuel performed reasonably with B7 due to the comparative cetane index in the diesel fuel range. However, as the cetane index indicates the ability to auto-ignite rapidly when fuel was injected into the engine with compressed and heated air, the results show that the effect of the blended PPO was a slightly longer ignition delay with higher-percentage pyrolysis oil blends [33,34]. Furthermore, the higher HRR values were found due to the fuel accumulation during the long ignition delay [22]. The ring structures of fuels with high aromatic components such as PPO cause them to typically have a higher adiabatic flame temperature [18], and the high adiabatic flame temperature effects the higher heat release rate [31]. Therefore, it can be seen in Figure 2 that the lower blends (BP10 and BP20) offered higher HRR values than B7 at similar ignition times with low and medium engine loads as the effect of the high aromatic component in PPO. However, the factor of the cetane index number overcame the flame temperature effects, as the higher amount of fuel injection in the high engine load reflected the decreases in the HRR values in BP10 and BP20, while BP40 and BP50 had the longest ignition delays with higher HRR values. These findings conformed to the in-cylinder peak pressure, which is shown in Figure 3. As the peak pressure depends on the combustion rate in the initial stages, it certainly showed that the blended PPO had a similar latent heat of evaporation compared to B7. The high oxygen content in PPO leads to a higher thermal efficiency than for B7, which causes the engine’s combustion process improvement [35].

3.2. Engine Performance

The brake specific fuel consumption (BSFC) of the different blends against the engine load is shown in Figure 4. It reveals that standard B7 fuel had the BSFC values of 478.34 g/kWh, 307.8 g/kWh, and 246.57 g/kWh at 25%, 50%, and 75% of the maximum load, respectively, which were higher than high blended PPOs (BP30, BP40, and BP50) in the 25% and 50% engine-load conditions. However, the opposite trend was seen for the BSFC for the high engine-load condition, as pyrolysis oil had a lower calorific value than B7 [25]. The BSFC tended to increase by 8%, 1.2%, 2%, 4.2%, and 4%, respectively, for the ratios of BP10, BP20, BP30, BP40, and BP50 with high engine load, as the lower viscosity of the blended fuel led to smaller fuel droplets being injected, less fuel penetration, inappropriate fuel–air mixing, and decreased combustion efficiency [36]. Moreover, the engine needed to maintain stable operating conditions, and the fuel injection rate was higher according to the amount of pyrolysis oil that was mixed. As the BSFC was the parameter to assess the fuel economy of the engine, increased proportionally blended PPO caused a lower calorific value. Therefore, more fuel was required to compensate for the lower calorific value of the blended fuel. However, compared to the price of fossil fuel and the sustainable advantage of the PPO, medium blend (BP30) is an interesting option due to the engine performance.
As the thermal efficiency is the ability of a fuel to be converted into mechanical output, the thermal efficiencies of the engine with blended fuel tended to increase with increases in the blended fuel ratio compared to B7, as presented in Figure 5. Considering the thermal efficiency of the engine’s 25% and 50% of maximum working loads, the high blended fuels (BP30, BP40, and BP50) resulted in higher thermal efficiency. Since the oxygen content in pyrolysis oil is higher than that of diesel fuel, it promotes better combustion, and the low viscosity of the pyrolysis oil makes the injection more diffuse, as occurred in low-density and low-viscosity blend fuels [37]. However, the opposite trend is seen for the magnitude with a high engine load. The thermal efficiency ratio of pyrolysis oil tends to be lower compared to diesel. The reason behind this phenomenon is that low viscosity causes better atomization and faster fuel vaporization, which results in an early ignition under a high engine load [38].

3.3. Effects of the Pyrolysis Oil on Exhaust Gas Emissions

3.3.1. Unburned Hydrocarbon (HC)

Since unburned hydrocarbon emissions are caused by the incomplete combustion of a fuel–air mixture, the high oxygen content in the PPO improves the combustion process, thereby reducing the number of unburned hydrocarbons left over from the combustion process, as presented in Figure 6 [39]. The unburned hydrocarbon emissions from all the blended PPO fuels were lower than for B7. However, the amount of the unburned hydrocarbon increased proportionally with the blend ratio due to the higher effects of the cetane index number and the longer ignition delay. This proved that the characterization of the oxygen content and the low viscosity of the PPO enhanced the combustion process [21].

3.3.2. Carbon Monoxide (CO)

The effect of the engine load on the CO for the blended PPO compared with the B7 is shown in Figure 7. CO emissions were caused by the partial combustion and partial oxidation of carbon atoms in the fuel due to the lower cetane index and the lower carbon content in PPO. The CO neat and medium PPO blends (BP10, BP20, and BP 30) les to lower CO concentrations than the B7 fuel. However, as the effect of the low cetane number and the ignition delay effect overcame the high blended PPO (BP40 and BP50), the CO emissions were noticeably higher with a high engine load. However, the advantage of the neat and medium blended oil was exceptional for all engine loads.

3.3.3. Nitric Oxide (NO)

As NOx is one of the most harmful pollutants for the environment and humans, nitric oxide a concern, as it is the predominant component for NOx emissions. The effect of the engine load on nitric oxide (NO) emissions is shown in Figure 8. The thermal mechanism due to the elevated temperature and high oxygen availability in diesel is the main reason for the NOx production in diesel engines [31,32]. The NO formation alters the temperature increase in the combustion chamber, where the higher the combustion temperature, the higher the content of NO in the exhaust gas. Considering that the nitric oxide (NO) content in PPO tends to be lower compared to B7, this may be due to the relatively high vaporization capability of the PPO, as the low viscosity of the pyrolysis oil increases the tendency for the fuel to vaporize in the combustion chamber [25]. Additionally, the vaporization of the fuel requires an amount of latent energy, resulting in a temperature drop in the combustion chamber, which causes the decreasing tendency of nitric oxide (NO). The influence was found for all engine loads.

4. The Effects of Hydrogen Enhancement and Injection Timing Adjustment

Regarding the effect of blended PPO on engine performance and emissions, the low and medium blended fuels (BP10, BP20, and BP30) performed well in combustion characterization, engine performance, and emissions. However, the thermal efficiencies of the high-concentration blended fuel tended to decrease with a high engine load as an effect of the calorific value of the fuel. Moreover, the overall emissions were likely to increase due to the blended PPO ratio. Focusing on the nitric oxide (NO), the medium blended fuel (BP30) resulted in the lowest emission due to the balancing of the disadvantage of the ignition delay and the lower cetane index with the advantage of the low viscosity and high oxygen content. Therefore, BP30 was selected to experiment and evaluate the enhancement of the engine with 1000 ppm hydrogen injected into the intake manifold along with an advanced fuel injection timing of −16.5 CA°BTDC, affecting engine performance and emissions. The reason behind choosing the 1000 ppm hydrogen enhancement is that, as the reforming exhaust gas recirculation (REGR) produced a maximum hydrogen 15% vol. of the hydrocarbon of the exhaust gas, the modest injection of 1000 ppm from REGR generation should be possible for all conditions [26]. The hydrogen addition set off the combustion and emission characteristics of the engine to a great extent, while the advanced fuel injection timing improved the premix period and ignition delay. While the auto-ignition and knocking phenomena need to be balanced in alternative fuel, injection timing adjustment is a solution method. Regarding the initial ignition characteristic in PPO, retarded injection timing was incompatible with the PPO. Therefore, only the advanced injection timing adjustment was offered in this experiment [19,22,40].
This part of the experiment aimed to evaluate the engine performance and emissions of four types of fuel, which were (1) the standard fuel B7, (2) BP30, (3) the 1000 ppm hydrogen enhancement (BP30+H), and (4) an advanced fuel injection timing of −16.5 CA°BTDC (BP30-1).

4.1. Combustion Characteristics

The in-cylinder pressure profile and the heat release rate of the experiment are shown in Figure 9. Associated with the B7, the BP30 brought out a slight ignition delay, while the BP30-1 performed advanced combustion as expected. It developed a higher in-cylinder peak pressure when the fuel injection degree changed. The BP30+H results were the most comparable to B7, as the effect of the high flame speed of hydrogen provided rapid combustion [41]. These combustion characteristics were measured at all engine loads. Furthermore, the high calorific value of hydrogen promoted better engine combustion. The ignition delay and combustion duration are presented in Figure 10. The ignition delay was computed from the start of injection at 15.5 CA, and combustion duration was obtained through the duration between 15.5 CA to 85.5 CA to observe the fuel characterization to compare combustion characteristics [42]. Although there was an overall improvement in ignition delay from BP30 to BP30-1, extended combustion durations were still seen for any given load.
The ignition delay enhancement in BP30 1000 ppm slightly advanced the ignition, while the long combustion duration found in BP30 had significantly improved in BP30+H, caused by the high calorific value of hydrogen, as obviously seen in the high-load engine, as presented in Figure 10. The combustion duration of the BP30 before enhancement appeared to be extended from the B7 due the effect of the mixing range of the hydrocarbon compounds in the pyrolysis oil [11,13]. The advanced injection timing considerably prolonged the combustion duration. Nevertheless, the hydrogen enhancement was attributed to the shortened combustion duration because the expanded flammability of hydrogen promoted a wide range of combustion within the cylinder.

4.2. Engine Performance

The effects of the hydrogen gas content and fuel injection timing adjustment on brake specific energy consumption are shown in Figure 11, and the brake thermal efficiency is shown in Figure 12. The brake specific energy consumption (BSEC) was applied instead of the specific fuel consumption to reflect the actual fuel consumption in terms of the heating value, as the BP30 obtained a lower calorific value. The heating value obtained from hydrogen enhancement was assessed regarding the heating value of the hydrogen and the air–fuel ratio.
The energy consumption of the B7 tended to be higher than all BP30 fuels with low engine loads due to the advantage of the low viscosity, fuel spray air mixing, and oxygenate content of BP30 compared to diesel fuel, whereas the consumption characteristic had an opposite performance with a high engine load. However, with all engine loads, the consumption of the BP30 1000 ppm tended to decrease, as the combustion characteristics of the hydrogen gas were characterized by fast combustion. The advanced injection timing consumed less energy with low and medium engine loads, while consumption slightly increased with a high load (75%). The thermal efficiency caused by the combustion of engines with B7, BP30, and BP30 with two enhancement processes were investigated, as in Figure 11. When hydrogen gas was injected through the intake manifold, the engine had a higher fuel–air ratio than the others, resulting in higher thermal efficiency. The BP30 with injection timing adjustment had improved efficiency with low and medium engine loads, as the effect of the low viscosity of BP30 and the advanced injection timing enhanced the mixing ability. Moreover, the thermal efficiency tended to decline with high engine loads, regardless of the effect of the cetane index in overcoming the advantage of the mixing time as the engine load increased.

4.3. Effects of the Enhanced PPO on Emissions

4.3.1. Unburned Hydrocarbon (HC)

The effect of the enhanced PPO on unburned hydrocarbon is presented in Figure 13. The HC from the exhaust gas of B7 fuel was the base line for the experiment. It was found that the HC of BP30 was significantly lower than B7 and the enhanced method, as the high oxygen content in the PPO improved the combustion process. However, the HC emissions increased responsively with the hydrogen with a low engine load due to the extra hydrocarbon access in the combustion engine, whereas the HC emissions managed to decline to be lower than B7 with medium and high loads due to the improvement in combustion. Though the extended premix phase of the injection timing should lead to complete combustion [22], the HC emissions that occurred from the advanced injection timing were considerably high for all loads, which may have been due to the misfiring and cold wall flame-quenching effect in low-flash-point fuel leading to increases in HC and CO as the fuel altered the condition in the nozzle spray phenomena [25,43].

4.3.2. Carbon Monoxide (CO)

The effect of blended fuel enhancement compared with the B7 on CO is shown in Figure 14. In general, inefficient combustion processes with insufficient air–fuel mixing and CO that was unable to oxidize into CO2 were the main causes of HC and CO emissions [43]. Overall, the BP30 and BP30+H reflected lower CO emissions, as the high O2 content expanded the thermal efficiency for all engine loads. Moreover, researching the O2 in the exhaust gas showed that the level of access to oxygen in BP30 was the highest, while the BP+H emitted less than B7, as the intake air reduced the hydrogen input. However, the advanced injection timing caused higher CO emissions for all loads, which was related to the extended combustion duration and the elevated HC emissions due to the premix combustion leads absent of oxygen and the cold wall flame-quenching effect [43].

4.3.3. Nitric Oxide (NO)

The effect of the blended fuel enhancement on NO compared with B7 is presented in Figure 15. The temperature in the cylinder, oxygen content, and residence time for the reactions all contributed significantly to NOx generation. Therefore, the higher the temperature in the combustion chamber was attributed to the growth of NO [35,38,44]. These results suggest that the amount of NO was rising according to engine load, as the high temperature induced the breakdown of nitrogen and oxygen into nitric oxide. Due to the relatively high vaporization capability of the low viscosity in BP30, BP30+H, and BP30-1, all of them achieved lower NO emissions than B7. The NO emissions for BP30 offered the lowest emission as high heat evaporation in the premix process [25]. Though the amount of nitric oxide increased with the presence of hydrogen gas in the combustion chamber in BP30+H, causing the combustion chamber temperature to rise as a consequence of the properties of hydrogen gas, it was still lower than for B7.

5. Conclusions

This research has presented the evaluation of enhancing engine performance without engine modification for blended pyrolysis oil application in a diesel engine. While the characteristics of PPO itself are its low density, low viscosity, and low cetane index which affect the ignition delay in the combustion process and create emissions [20], the high adiabatic flame temperature of the PPO affects the higher heat release rate [31]. The low viscosity of the fuel altered the condition of the nozzle spray phenomena, affecting the flame quenching [25,44]. Therefore, the suitable blending ratio of waste plastic pyrolysis oil and B7 is BP30, which is the harmonizing point of the low viscosity, low flash point, and low cetane number. A greater blended ratio leads to increased emissions due to the low cetane number, while the neat blended fuel decreases the thermal efficiency and economic benefits. The hydrogen enhancement reflected greater results, both in engine performance and emissions, due to the extra hydrocarbon access in the combustion engine. Hydrogen enhancement affects greater emissions from BP30 but less than B7. The advanced injection timing enhances the mixing ability but generates poor emissions due to the premix combustion leads absent of oxygen and a reduction in the residence time of combustion. Moreover, the thermal efficiency tends to decline with high engine loads, regardless of the effect of the cetane index in overcoming the advantage of mixing time as the engine load increases. The results suggest that the neat hydrogen enhancement seems to be the most promising potential method to improve the overall engine performance in terms of ignition delay, combustion duration, and emission reduction. However, the long-term effect of PPO usage should be investigated in order to use PPO as a reliable alternative fuel.

Author Contributions

Conceptualization, C.W. and K.T.; methodology, C.W. and K.T.; formal analysis, C.W., K.T. and W.C.; investigation, C.W., K.T. and W.C.; writing—original draft preparation, C.W. and W.C.; writing—review and editing, C.W. and K.T. All authors have read and agreed to the published version of the manuscript.

Funding

This work was supported by the National Science, Research and Innovation Fund (NSRF) and King Mongkut’s University of Technology North Bangkok (contract no. KMUTNB-FF-66-19).

Data Availability Statement

Not applicable.

Acknowledgments

Zin Huad Heng Innovation Co., Ltd. is recognized for supplying the pyrolysis oil to KMUTNB as part of this research.

Conflicts of Interest

The authors declare no conflict of interest.

Nomenclature

B77% biodiesel + 93% diesel
BP1010% plastic pyrolysis oil + 90% B7 fuel
BP2020% plastic pyrolysis oil + 80% B7 fuel
BP3030% plastic pyrolysis oil + 70% B7 fuel
BP30-1advanced fuel injection timing of −16.5 CA°BTDC
BP30+H1000 ppm hydrogen enhancement
BP4040% plastic pyrolysis oil + 60% B7 fuel
BP5050% plastic pyrolysis oil + 50% B7 fuel
BMEPbrake mean effective pressure
BSECbrake specific energy consumption
BSFCbrake specific fuel consumption
CA°BTDCcrank angle degree before top dead center
CADcrank angle degree
COcarbon monoxide emissions
DEEdiethyl ether
EGRexhaust gas recirculation
HCunburned hydrocarbon
HHVhigh heating value
HRRheat release rate
IMEPindicated mean effective pressure
NOnitric oxide
PPOplastic pyrolysis oil
REGRreforming exhaust gas recirculation

References

  1. Geyer, R.; Jambeck, J.R. Production, use, and fate of all plastics ever made. Sci. Adv. 2017, 3, e1700782. [Google Scholar] [CrossRef]
  2. Nielsen, T.; Holmberg, K. Need a bag? A review of public policies on plastic carrier bags–Where, how and to what effect? Waste Manag. 2019, 87, 428–440. [Google Scholar] [CrossRef] [PubMed]
  3. Davidson, M.G.; Furlong, R. Developments in the Life Cycle Assessment of Chemical Recycling of Plastic Waste—A Review. J. Clean. Prod. 2021, 293, 126163. [Google Scholar] [CrossRef]
  4. Thompson, R.C.; Moore, C.J. Plastics, the environment and human health: Current consensus and future trends. Philos. Trans. R. Soc. B Biol. Sci. IB 2009, 1526, 2153–2166. [Google Scholar] [CrossRef] [PubMed]
  5. Jambeck, J.R.; Geyer, R. Plastic waste inputs from land into the ocean. Science 2015, 347, 768–771. [Google Scholar] [CrossRef] [PubMed]
  6. Hermabessiere, L.; Dehaut, A.; Paul-Pont, I. Occurrence and effects of plastic additives on marine environments and organisms: A review. Chemosphere 2017, 182, 781–793. [Google Scholar] [CrossRef] [PubMed]
  7. Worm, B.; Lotze, H.K.; Jubinville, I. Plastic as a persistent marine pollutant. Annu. Rev. Environ. Resour. 2017, 42, 1–26. [Google Scholar] [CrossRef]
  8. Sharma, V.; Hossain, A.K. Plastic waste to liquid fuel: A review of technologies, applications, and challenges. Sustain. Energy Technol. Assess. 2022, 53, 102651. [Google Scholar] [CrossRef]
  9. Kaminsky, W. Chemical recycling of plastics by fluidized bed pyrolysis. Fuel Commun. 2021, 8, 100023. [Google Scholar] [CrossRef]
  10. Islam, M.N.; Beg, M.R.A. Fixed Bed Pyrolysis of Waste Plastic for Alternative Fuel Production. J. Energy Environ. 2004, 3, 69–80. [Google Scholar]
  11. Maqsood, T.; Dai, J. Pyrolysis of plastic species: A review of resources and products. J. Anal. Appl. Pyrolysis 2021, 159, 105295. [Google Scholar] [CrossRef]
  12. Ahmad, I.; Khan, M.I. Pyrolysis Study of Polypropylene and Polyethylene into Premium Oil Products. Int. J. Green Energy 2015, 12, 663–671. [Google Scholar] [CrossRef]
  13. Fakhrhoseini, S.M.; Dastanian, M. Predicting Pyrolysis Products of PE, PP, and PET Using NRTL Activity Coefficient Model. J. Chem. 2013, 2013, 487676. [Google Scholar] [CrossRef]
  14. Sogancioglu, M.; Ahmetli, G. A Comparative Study on Waste Plastics Pyrolysis Liquid Products Quantity and Energy Recovery Potential. Energy Procedia 2017, 118, 231–236. [Google Scholar] [CrossRef]
  15. Syamsiro, M.; Cheng, S. Liquid and Gaseous Fuels from Waste Plastics by Sequential Pyrolysis and Catalytic Reforming Processes over Indonesian Natural Zeolite Catalysts. Waste Technol. 2014, 2, 44–51. [Google Scholar] [CrossRef]
  16. Kumagai, S.; Naketani, J. Latest Trends and Challenges in Feedstock Recycling of Polyolefinic Plastics. J. Jpn. Pet. Inst. 2020, 63, 345–364. [Google Scholar] [CrossRef]
  17. Sharuddin, S.D.A.; Abnisa, F. A review on pyrolysis of plastic wastes. Energy Convers. Manag. 2016, 115, 308–326. [Google Scholar] [CrossRef]
  18. Kalargaris, I.; Tian, G.; Gu, S. Combustion, performance and emission analysis of a DI diesel engine using plastic pyrolysis oil. Fuel Process Technol. 2017, 157, 108–115. [Google Scholar] [CrossRef]
  19. Srujana, N.; Reddy, G.B. Performance of CI engine blended with Plastic oil. Int. J. Sci. Eng. Res. 2021, 12, 402–405. [Google Scholar]
  20. Wathakit, K.; Sukjit, E.; Kaewbuddee, C. Characterization and Impact of Waste Plastic Oil in a Variable Compression Ratio Diesel Engine. Energies 2021, 14, 2230. [Google Scholar] [CrossRef]
  21. Wathakit, K.; Sukjit, E. Effect of injection timing on performance and emissions characteristics of a single cylinder diesel engine fuelled with waste plastic oil. J. Phys. Conf. Ser. 2018, 1074, 012041. [Google Scholar] [CrossRef]
  22. Damodharan, D.; Sathiyagnanam, A.P. Combined influence of injection timing and EGR on combination, performance and emissions of DI diesel engine fueled with neat waste plastic oil. Energy Convers. Manag. 2018, 161, 294–305. [Google Scholar] [CrossRef]
  23. Naima, K.; Menni, Y. Effect of EGR on Performances and Emissions of DI Diesel Engine Fueled with Waste Plastic Oil: CDF Approach. Ann. Chim. Sci. Matériaux 2021, 45, 217–223. [Google Scholar] [CrossRef]
  24. Patnaik, P.; Jena, S.P. Effect of FeCl3 and diethyl ether as additives on compression ignition engine emissions. Sustain. Environ. Res. 2017, 27, 154–161. [Google Scholar] [CrossRef]
  25. Devaraj, J.; Robinson, Y. Experimental investigation of performance, emission and combustion characteristics of waste plastic pyrolysis oil blended with diethyl ether used as fuel for diesel engine. Energy 2015, 85, 304–309. [Google Scholar] [CrossRef]
  26. Theinnoi, K.; Temwutthikun, W. Application of Exhaust Gas Fuel Reforming in Diesel Engines Towards the Improvement Urban Air Qualities. Energy Procedia 2018, 152, 875–882. [Google Scholar] [CrossRef]
  27. Tabili, M.; Hellier, P. Hydrogen-diesel fuel co-combustion strategies in light duty and heavy duty CI engine. Int. J. Hydrogen Energy 2018, 43, 9046–9058. [Google Scholar]
  28. Dincer, I.; Ozturk, M. Geothermal Energy Systems; Elsevier: Oxford, UK, 2021; pp. 31–56. [Google Scholar]
  29. ASTM D613-13; ASTM D613-13 Standard Test Method for Cetane Number of Diesel Fuel Oil. ASTM International: West Conshohocken, PA, USA, 2014.
  30. Yanmar. LV Service Manual Section 7; Yanmar: Osaka, Japan, 2008; pp. 13–14. [Google Scholar]
  31. Haywood, B.J. Internal Combustion Engine Fundamentals; McGraw-Hill: New York, NY, USA, 1988. [Google Scholar]
  32. Kalargaris, I.; Tian, G.; Gu, S. Investigation on the long-term effects of plastic pyrolysis oil usage in a diesel engine. Energy Procedia 2017, 142, 49–54. [Google Scholar] [CrossRef]
  33. Lilik, G.K.; Boehman, A.L. Advanced diesel combustion of a high cetane number fuel with low hydrocarbon and carbon monoxide emissions. Energy Fuels 2011, 25, 1444–1456. [Google Scholar] [CrossRef]
  34. Mohamed, M.; El-Hagar, E.G. Effect of Fuel Cetane Numbers on Reducing the Ignition Delay Period and Exhaust Emissions from DI Diesel Engine. WSEAS Trans. Heat Mass Transf. 2020, 15, 99–105. [Google Scholar] [CrossRef]
  35. Nagarajan, G.; Sampath, S.; Mani, M. Characterisation and effect of using waste plastic oil and diesel fuel blends in compression ignition engine. Energy 2011, 36, 212–219. [Google Scholar]
  36. Gad, M.S.; Abu-Elyazeed, O.S.; Mohamed, M.A. Effect of oil blends derived from catalytic pyrolysis of waste cooking oil on diesel engine performance, emissions and combustion. Energy 2021, 223, 120019. [Google Scholar] [CrossRef]
  37. Park, S.H.; Kim, S.H.; Lee, C.S. Mixing Stability and Spray Behavior Characteristics of Diesel−Ethanol−Methyl Ester Blended Fuels in a Common-Rail Diesel Injection System. Energy Fuels 2009, 23, 5228–5235. [Google Scholar] [CrossRef]
  38. Ramavathu, J.; Kota, T.R. Combustion performance and emission characteristics on HCCI engine of waste plastic pyrolysis oil biodiesel blends with external PFI and vaporizer. Int. J. Sustain. Eng. 2019, 13, 204–217. [Google Scholar] [CrossRef]
  39. Wongkhorsub, C.; Chindaprasert, N. A Comparison of the Use of Pyrolysis Oils in Diesel Engine. Energy Power Eng. 2013, 5, 350–355. [Google Scholar] [CrossRef]
  40. Hasegawa, H.; Mikami, M. Effect of hydrogen addition to intake gas on combustion and exhaust emission characteristics of a diesel engine. Int. J. Hydrogen Energy 2011, 36, 338–349. [Google Scholar]
  41. Wang, L.; Hong, C.; Li, X. Review on blended hydrogen-fuel internal combustion engines: A case study for China. Energy Rep. 2022, 8, 6480–6498. [Google Scholar] [CrossRef]
  42. Chan, J.H.; Tsolakis, A.; Herreros, J.M. Combustion, gaseous emissions and PM characteristics of Di-Methyl Carbonate (DMC)-gasoline blend on gasoline Direct Injection (GDI) engine. Fuel 2020, 263, 116742. [Google Scholar] [CrossRef]
  43. Turcios, M.A. Effects of cold wall quenching on unburned hydrocarbon emissions from a natural gas HPDI engine. In Electronic Theses and Dissertations (ETDs); University of British Columbia: Vancouver, BC, Canada, 2011. [Google Scholar]
  44. Sittichompoo, S.; Theinnoi, K.; Sawatmongkhon, B. Promotion effect of hydrogen addition in selective catalytic reduction of nitrogen oxide emissions from diesel engines fuelled with diesel-biodiesel-ethanol blends. Alex. Eng. J. 2022, 61, 5383–5395. [Google Scholar] [CrossRef]
Figure 1. The experimental setup.
Figure 1. The experimental setup.
Energies 15 09115 g001
Figure 2. In-cylinder pressure profile and heat release rate in the combustion process with (a) a BMEP of 1.63 bar (25% engine load); (b) a BMEP of 2.07 bar (50% engine load); and (c) a BMEP of 2.44 bar (75% engine load).
Figure 2. In-cylinder pressure profile and heat release rate in the combustion process with (a) a BMEP of 1.63 bar (25% engine load); (b) a BMEP of 2.07 bar (50% engine load); and (c) a BMEP of 2.44 bar (75% engine load).
Energies 15 09115 g002aEnergies 15 09115 g002b
Figure 3. Effects of fuel blends on in-cylinder peak pressure under various engine loads.
Figure 3. Effects of fuel blends on in-cylinder peak pressure under various engine loads.
Energies 15 09115 g003
Figure 4. Effects of fuel blends in brake specific fuel consumption under various engine loads.
Figure 4. Effects of fuel blends in brake specific fuel consumption under various engine loads.
Energies 15 09115 g004
Figure 5. Effects of fuel blends in brake thermal efficiency under various engine loads.
Figure 5. Effects of fuel blends in brake thermal efficiency under various engine loads.
Energies 15 09115 g005
Figure 6. Effects of fuel blends on hydrocarbon emissions (HC).
Figure 6. Effects of fuel blends on hydrocarbon emissions (HC).
Energies 15 09115 g006
Figure 7. Effects of fuel blends on carbon monoxide emissions (CO).
Figure 7. Effects of fuel blends on carbon monoxide emissions (CO).
Energies 15 09115 g007
Figure 8. Effects of fuel blends on nitric oxide (NO) emissions.
Figure 8. Effects of fuel blends on nitric oxide (NO) emissions.
Energies 15 09115 g008
Figure 9. In-cylinder pressure profile and heat release rate in the combustion enhancement process with (a) a BMEP of 1.63 bar (25% engine load); (b) a BMEP of 2.07 bar (50% engine load); and (c) a BMEP of 2.44 bar (75% engine load).
Figure 9. In-cylinder pressure profile and heat release rate in the combustion enhancement process with (a) a BMEP of 1.63 bar (25% engine load); (b) a BMEP of 2.07 bar (50% engine load); and (c) a BMEP of 2.44 bar (75% engine load).
Energies 15 09115 g009aEnergies 15 09115 g009b
Figure 10. Ignition delay and combustion duration in the combustion process with (a) a BMEP of 1.63 bar (25% engine load); (b) a BMEP of 2.07 bar (50% engine load); and (c) a BMEP of 2.44 bar (75% engine load).
Figure 10. Ignition delay and combustion duration in the combustion process with (a) a BMEP of 1.63 bar (25% engine load); (b) a BMEP of 2.07 bar (50% engine load); and (c) a BMEP of 2.44 bar (75% engine load).
Energies 15 09115 g010
Figure 11. Effects of fuel enhancement on brake specific energy consumption.
Figure 11. Effects of fuel enhancement on brake specific energy consumption.
Energies 15 09115 g011
Figure 12. Effects of fuel enhancement on brake thermal efficiency.
Figure 12. Effects of fuel enhancement on brake thermal efficiency.
Energies 15 09115 g012
Figure 13. Effects of fuel enhancement on unburned hydrocarbon.
Figure 13. Effects of fuel enhancement on unburned hydrocarbon.
Energies 15 09115 g013
Figure 14. Effects of fuel enhancement on carbon monoxide.
Figure 14. Effects of fuel enhancement on carbon monoxide.
Energies 15 09115 g014
Figure 15. Effects of fuel enhancement on nitric oxide (NO).
Figure 15. Effects of fuel enhancement on nitric oxide (NO).
Energies 15 09115 g015
Table 1. PPO and B7 fuel properties.
Table 1. PPO and B7 fuel properties.
PropertyMethodB7PPOBP10BP20BP30BP40BP50
Cetane IndexASTM D9765847.856.956.755.555.255.5
ApI Gravity at 15.6 °CASTM 405-1138.440.738.638.83939.239.5
Density at 30 °C (kg/L)ASTM D3410.8270.7890.8230.8190.8150.8120.808
Viscosity at 30 °C (mm2/s)ASTM D445-123.3891.6843.1172.9092.6362.4302.264
HHV (MJ/kg)ASTM D24045.91243.99845.62345.29845.13544.97344.810
Table 2. Engine Specifications.
Table 2. Engine Specifications.
ModelYANMAR L100V
Engine TypeFour-stroke, air-cooled diesel engine
Number of Cylinders1
Bore × Stroke86 mm × 75 mm
Combustion systemDirect injection
Displacement Volume435 cc.
AspirationNatural aspiration
Compression ratio21.2:1
Pushrod Length118 mm
Continuous rated output6.8 kW @ 3600 rpm
Maximum Torque24 N·m @ 3000 rpm
Fuel injection timing15.5 CA BTDC
Table 3. Measurement accuracy and uncertainty.
Table 3. Measurement accuracy and uncertainty.
Measurement/InstrumentMeasuring RangeAccuracyUncertainty
CO0.00–10.00%-vol.±0.03%-vol.±0.5%
CO20.00–20.00%-vol.±0.3%-vol. (0–8%-Vol)±1.7%
HC0–10,000 ppm-vol.≤10 ppm-vol.±1.7%
NO0–5000 ppm-vol.≤25 ppm-vol. (0–4000 ppm-vol.)±5%
O20.00–25.00%-vol.≤0.1%-vol.±1.7%
Thermocouple−40 to 1100 °C±1.5 °C±0.72%
TC-08 datalogger−270 to 1370 °C±0.5 °C + 0.2%±0.38%
Temperature measurement ±0.81%
Engine Speed100–4000 rpm±20 rpm±1.33%
Kitsler 6056A0–250 Bar±2%±2%
Cylinder for fuel blending1000 mL capacity, 10 mL graduation±1%±1%
IKA: C6000 isoperibol40,000 J±0.15% reproducibility±0.15%
Publisher’s Note: MDPI stays neutral with regard to jurisdictional claims in published maps and institutional affiliations.

Share and Cite

MDPI and ACS Style

Wongkhorsub, C.; Chaowasin, W.; Theinnoi, K. Experimental Evaluation of Performance and Combustion Characteristics of Blended Plastic Pyrolysis Oil in Enhanced Diesel Engine. Energies 2022, 15, 9115. https://doi.org/10.3390/en15239115

AMA Style

Wongkhorsub C, Chaowasin W, Theinnoi K. Experimental Evaluation of Performance and Combustion Characteristics of Blended Plastic Pyrolysis Oil in Enhanced Diesel Engine. Energies. 2022; 15(23):9115. https://doi.org/10.3390/en15239115

Chicago/Turabian Style

Wongkhorsub, Chonlakarn, Wantana Chaowasin, and Kampanart Theinnoi. 2022. "Experimental Evaluation of Performance and Combustion Characteristics of Blended Plastic Pyrolysis Oil in Enhanced Diesel Engine" Energies 15, no. 23: 9115. https://doi.org/10.3390/en15239115

APA Style

Wongkhorsub, C., Chaowasin, W., & Theinnoi, K. (2022). Experimental Evaluation of Performance and Combustion Characteristics of Blended Plastic Pyrolysis Oil in Enhanced Diesel Engine. Energies, 15(23), 9115. https://doi.org/10.3390/en15239115

Note that from the first issue of 2016, this journal uses article numbers instead of page numbers. See further details here.

Article Metrics

Back to TopTop