Sign in to use this feature.

Years

Between: -

Subjects

remove_circle_outline
remove_circle_outline
remove_circle_outline
remove_circle_outline
remove_circle_outline
remove_circle_outline
remove_circle_outline
remove_circle_outline
remove_circle_outline

Journals

Article Types

Countries / Regions

Search Results (186)

Search Parameters:
Keywords = cephalopods

Order results
Result details
Results per page
Select all
Export citation of selected articles as:
26 pages, 9407 KB  
Article
Optimizing Fishery Survey Design in Guangdong’s Restricted Coastal Waters
by Kui Zhang, Li Su, Yancong Cai, Youwei Xu and Zuozhi Chen
Animals 2025, 15(22), 3283; https://doi.org/10.3390/ani15223283 - 13 Nov 2025
Abstract
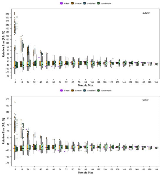
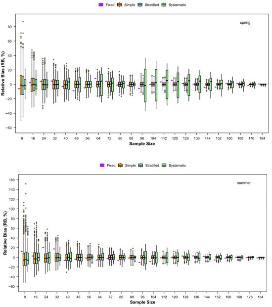
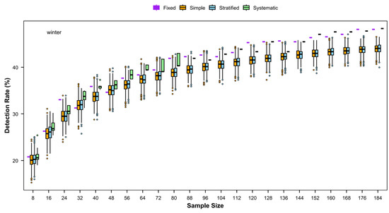
The coastal restricted fishing area of Guangdong contains key spawning and nursery habitats with high biodiversity but growing ecological pressure, yet the influence of survey design and sampling frequency on biodiversity detection and abundance estimates remains unclear. We conducted four seasonal bottom-trawl surveys [...] Read more.
The coastal restricted fishing area of Guangdong contains key spawning and nursery habitats with high biodiversity but growing ecological pressure, yet the influence of survey design and sampling frequency on biodiversity detection and abundance estimates remains unclear. We conducted four seasonal bottom-trawl surveys in 2023–2024 at 186 stations and compared fixed-site sampling (FS), simple random sampling (SRS), stratified random sampling by depth (StRS), and systematic sampling (SS). We recorded 563 species (446 fishes, 101 crustaceans, 16 cephalopods), observed seasonal shifts in dominant taxa, and found catch rates varied seasonally and spatially, peaking in summer. Species detection rose with station number and sampling frequency. For species richness, SS produced the highest detection and the lowest error and bias but showed volatility; StRS and SRS were more stable. For abundance, StRS had the lowest error, whereas SRS had the smallest absolute bias. Across all four seasons, 88 stations achieved an 80% richness detection rate; among reduced-frequency designs, autumn-only, spring–autumn, and autumn–spring–summer minimized errors. These results guide cost–precision trade-offs: SS (with random starts and interval rotation) for richness-oriented aims, and depth-based StRS for abundance, supporting optimized long-term monitoring and management in the northern South China Sea. Full article
(This article belongs to the Special Issue Research on Fish Population Dynamics)
Show Figures

Figure 1

17 pages, 999 KB  
Review
Convergent Evolution and the Epigenome
by Sebastian Gaston Alvarado, Annaliese Chang and Maral Tajerian
Epigenomes 2025, 9(4), 45; https://doi.org/10.3390/epigenomes9040045 - 11 Nov 2025
Viewed by 354
Abstract
Background: Trait convergence or parallelism is widely seen across the animal and plant kingdoms. For example, the evolution of eyes in cephalopods and vertebrate lineages, wings in bats and insects, or shark and dolphin body shapes are examples of convergent evolution. Such traits [...] Read more.
Background: Trait convergence or parallelism is widely seen across the animal and plant kingdoms. For example, the evolution of eyes in cephalopods and vertebrate lineages, wings in bats and insects, or shark and dolphin body shapes are examples of convergent evolution. Such traits develop as a function of environmental pressures or opportunities that lead to similar outcomes despite the independent origins of underlying tissues, cells, and gene transcriptional patterns. Our current understanding of the molecular processes underlying these phenomena is gene-centric and focuses on how convergence involves the recruitment of novel genes, the recombination of gene products, and the duplication and divergence of genetic substrates. Scope: Despite the independent origins of a given trait, these model organisms still possess some form of epigenetic processes conserved in eukaryotes that mediate gene-by-environment interactions. These traits evolve under similar environmental pressures, so attention should be given to plastic molecular processes that shape gene function along these evolutionary paths. Key Mechanisms: Here, we propose that epigenetic processes such as histone-modifying machinery are essential in mediating the dialog between environment and gene function, leading to trait convergence across disparate lineages. We propose that epigenetic modifications not only mediate gene-by-environment interactions but also bias the distribution of de novo mutations and recombination, thereby channeling evolutionary trajectories toward convergence. An inclusive view of the epigenetic landscape may provide a parsimonious understanding of trait evolution. Full article
(This article belongs to the Collection Feature Papers in Epigenomes)
Show Figures

Figure 1

26 pages, 2960 KB  
Article
Tissue-Specific Gene Expression of Digestive Tract Glands in Paroctopus digueti: Insights for Cephalopod Biology and Aquaculture
by María G. Martínez-Morales, Oscar E. Juárez, Dariel Tovar-Ramírez, Clara E. Galindo-Sánchez, Claudia Ventura-López, Carlos Rosas, Héctor Nolasco-Soria and Bertha Patricia Ceballos-Vázquez
Animals 2025, 15(21), 3224; https://doi.org/10.3390/ani15213224 - 6 Nov 2025
Viewed by 527
Abstract
Pacific pygmy octopus Paroctopus digueti is a promising model for cephalopod research and aquaculture; its feeding and nutritional biology remain poorly understood. The anterior salivary glands (ASG), posterior salivary glands (PSG), and digestive gland (DG) are central to these processes, but molecular comparisons [...] Read more.
Pacific pygmy octopus Paroctopus digueti is a promising model for cephalopod research and aquaculture; its feeding and nutritional biology remain poorly understood. The anterior salivary glands (ASG), posterior salivary glands (PSG), and digestive gland (DG) are central to these processes, but molecular comparisons are lacking. To address this gap, we performed a transcriptomic study to explore the enzymatic repertoire and functional specialization of these tissues. Total RNA was extracted from ASG, PSG, and DG of three pre-adult individuals collected in La Paz Bay, Mexico. RNA-Seq libraries were sequenced, and a non-redundant multi-tissue transcriptome was assembled. The ASG displayed high expression of neuropeptides, playing a role in neuroendocrine regulation. The PSG showed elevated protease expression, supporting its function in extracellular digestion, alongside toxins that reinforce its role as a venom gland. The DG was enriched in proteins linked to biomolecule catabolism and antimicrobial peptides, alluding to metabolic specialization and immune defense. These results were validated by qPCR, and target genes were also amplified in Octopus maya and O. hubbsorum, showing some similarities in expression patterns. Overall, our findings suggest strong glandular specialization in P. digueti, providing insights into cephalopod digestive physiology and supporting its value as a model species. Full article
(This article belongs to the Special Issue Recent Advances in Cephalopod Biology Research)
Show Figures

Graphical abstract

13 pages, 3050 KB  
Article
First Record of Urceolaria carmenae n. sp. (Ciliophora, Peritrichia, Mobilida) Infesting the Gills of Octopus bimaculatus Verrill from the Gulf of California, Mexico
by Graciela Esmeralda Colunga-Ramírez and Sheila Castellanos-Martínez
Fishes 2025, 10(11), 553; https://doi.org/10.3390/fishes10110553 - 2 Nov 2025
Viewed by 253
Abstract
Ciliate infestations in aquatic organisms are commonly associated with aquaculture, yet their impact on natural ecosystems remains largely understudied. This study describes a mobilid peritrich species infesting the gills of Octopus bimaculatus from the Gulf of California, Mexico. All 76 examined hosts (100%) [...] Read more.
Ciliate infestations in aquatic organisms are commonly associated with aquaculture, yet their impact on natural ecosystems remains largely understudied. This study describes a mobilid peritrich species infesting the gills of Octopus bimaculatus from the Gulf of California, Mexico. All 76 examined hosts (100%) exhibited infestation, with a mean intensity of 687 ± 228 (279–1077) urceolariid cells per gill. The ciliate cells displayed morphological traits consistent with those of the genus Urceolaria: turban-shaped cells measuring 44.2 ± 13.2 (31.3–88.6) µm in diameter; an adhesive disc of 36.5 ± 10.7 (29.2–74.6) μm in diameter; 18–19 plates measuring 11.0 ± 0.86 (9–12) µm in length; and 166–169 radial pins. Phylogenetic analysis of 18S rDNA sequences placed this species within the genus Urceolaria, a sister group to Urceolaria urechi and Urceolaria serpularum, with a genetic distance of 1.0% with respect to the previously described species. Combined morphological and molecular data support the description of a new species, Urceolaria carmenae n. sp. This is the first record of a mobilid peritrich in cephalopod mollusks, thereby enhancing our understanding of the diversity of ciliates among marine invertebrates in their natural habitats. Full article
(This article belongs to the Special Issue Biology and Culture of Marine Invertebrates)
Show Figures

Graphical abstract

27 pages, 7961 KB  
Review
Marine-Inspired Multimodal Sensor Fusion and Neuromorphic Processing for Autonomous Navigation in Unstructured Subaquatic Environments
by Chandan Sheikder, Weimin Zhang, Xiaopeng Chen, Fangxing Li, Yichang Liu, Zhengqing Zuo, Xiaohai He and Xinyan Tan
Sensors 2025, 25(21), 6627; https://doi.org/10.3390/s25216627 - 28 Oct 2025
Viewed by 1279
Abstract
Autonomous navigation in GPS-denied, unstructured environments such as murky waters or complex seabeds remains a formidable challenge for robotic systems, primarily due to sensory degradation and the computational inefficiency of conventional algorithms. Drawing inspiration from the robust navigation strategies of marine species such [...] Read more.
Autonomous navigation in GPS-denied, unstructured environments such as murky waters or complex seabeds remains a formidable challenge for robotic systems, primarily due to sensory degradation and the computational inefficiency of conventional algorithms. Drawing inspiration from the robust navigation strategies of marine species such as the sea turtle’s quantum-assisted magnetoreception, the octopus’s tactile-chemotactic integration, and the jellyfish’s energy-efficient flow sensing this study introduces a novel neuromorphic framework for resilient robotic navigation, fundamentally based on the co-design of marine-inspired sensors and event-based neuromorphic processors. Current systems lack the dynamic, context-aware multisensory fusion observed in these animals, leading to heightened susceptibility to sensor failures and environmental perturbations, as well as high power consumption. This work directly bridges this gap. Our primary contribution is a hybrid sensor fusion model that co-designs advanced sensing replicating the distributed neural processing of cephalopods and the quantum coherence mechanisms of migratory marine fauna with a neuromorphic processing backbone. Enabling real-time, energy-efficient path integration and cognitive mapping without reliance on traditional methods. This proposed framework has the potential to significantly enhance navigational robustness by overcoming the limitations of state-of-the-art solutions. The findings suggest the potential of marine bio-inspired design for advancing autonomous systems in critical applications such as deep-sea exploration, environmental monitoring, and underwater infrastructure inspection. Full article
Show Figures

Figure 1

24 pages, 5039 KB  
Article
Diet Reconstruction Under Limited Prior Information: Dietary Contributions and Isotopic Niche of Metridium senile in the North Yellow Sea
by Yongsong Zhao, Xiujuan Shan, Guangliang Teng, Shiqi Song, Yunlong Chen and Xianshi Jin
Biology 2025, 14(11), 1508; https://doi.org/10.3390/biology14111508 - 28 Oct 2025
Viewed by 406
Abstract
Biomass of the plumose anemone Metridium senile has surged in the benthic ecosystem of the North Yellow Sea in recent years. Understanding its diet and the proportional contributions of food sources is essential for assessing the ecological consequences of this expansion. The species [...] Read more.
Biomass of the plumose anemone Metridium senile has surged in the benthic ecosystem of the North Yellow Sea in recent years. Understanding its diet and the proportional contributions of food sources is essential for assessing the ecological consequences of this expansion. The species is often characterized as a passive suspension feeder, yet laboratory feeding trials have documented shrimp consumption. Because prior dietary information from the region is scarce, conventional stable isotope approaches are poorly constrained. We developed an integrative framework coupling trophic position estimation, isotopic niche metrics, spatial point pattern analysis, and a Bayesian mixing model to improve diet attribution under limited prior information and to test whether M. senile preys on small-bodied and juvenile teleosts and invertebrates under natural conditions. Our analyses showed that: (i) M. senile occupied a high trophic position (TP = 3.09 ± 0.25), exceeding those estimated for putative predators in our dataset, implying weak top-down control; (ii) in isotopic niche analyses, M. senile showed high posterior probabilities of occurring within the niches of cephalopods and medium-sized fishes (78.30% and 63.04%, respectively), consistent with shared prey and inconsistent with a strictly suspension-feeding strategy; (iii) mixing space diagnostics informed by spatial point pattern analysis indicated that including small-sized fishes and shrimps as sources was necessary to reconcile the elevated TP; and (iv) the Bayesian mixing model estimated that small-bodied and juvenile teleosts and invertebrates supplied most long-term nutrition (posterior mean ≈ 0.65), with the remainder from suspension-derived sources, consistent with an opportunistic generalist rather than a strict suspension feeder. Sustained predation on small-bodied and juvenile teleosts and invertebrates could suppress early fish recruitment, impose top-down control on forage species, and alter the local food web structure. Management should monitor M. senile (size structure, population density, and co-occurrence with juveniles and forage biota) and consider targeted removals and seafloor litter cleanups in priority habitats. The framework is applicable to diet studies with limited prior information; adding δ34S, compound-specific amino-acid isotopes (CSIA-AA), and DNA-based dietary evidence should further sharpen source discrimination. Full article
Show Figures

Graphical abstract

22 pages, 3612 KB  
Article
Using Citizen Science to Improve Our Understanding of Northern Shortfin Squid (Illex illecebrosus) and Longfin Inshore Squid (Doryteuthis pealeii) Ecology and Fisheries off Atlantic Canada
by Krista Dawn Baker, Chelsea Malayny and Neil Ollerhead
Fishes 2025, 10(11), 544; https://doi.org/10.3390/fishes10110544 - 25 Oct 2025
Viewed by 333
Abstract
Northern shortfin squid (Illex illecebrosus) and longfin inshore squid (Doryteuthis pealeii) are fished commercially and recreationally off Atlantic Canada, but limited reporting, particularly from recreational fisheries, has left major gaps in our understanding of their ecology and fishery dynamics. [...] Read more.
Northern shortfin squid (Illex illecebrosus) and longfin inshore squid (Doryteuthis pealeii) are fished commercially and recreationally off Atlantic Canada, but limited reporting, particularly from recreational fisheries, has left major gaps in our understanding of their ecology and fishery dynamics. Our research used three years of data collected through citizen science initiatives, field visits, and commercial index harvesters to provide much-needed descriptions of squid fisheries and basic ecological characteristics, with a particular focus on Newfoundland and Labrador (NL). We documented active recreational squid fisheries landing both species, including the first confirmed observations of longfin inshore squid in the NL fishery. Distinct regional patterns emerged. North Coast Region fishers tended to use different gear and practices, achieved higher catch-per-unit effort (CPUE), and caught larger squid compared to other NL regions. South Coast Region fishers more frequently caught longfin inshore squid, and although relatively low CPUE was reported, this region tended to have a more active recreational fishery. Our findings reveal previously unrecognized regional variation in squid fisheries and highlight the need for improved understanding of squid ecology and the impacts of the recreational and commercial fisheries on the resource off Atlantic Canada. Full article
(This article belongs to the Section Biology and Ecology)
Show Figures

Figure 1

16 pages, 820 KB  
Article
Sustainable Recovery of Valuable Constituents from Octopus (Octopus vulgaris) Cooking Liquor
by Ricardo Prego, Antonio Cobelo-García, Marcos Trigo, Susana Calvo and Santiago P. Aubourg
Sustainability 2025, 17(21), 9391; https://doi.org/10.3390/su17219391 - 22 Oct 2025
Viewed by 275
Abstract
Cooking liquor (CL) from marine species processing has been reported to include a wide range of valuable constituents. In this study, the chemical composition of CL from octopus (Octopus vulgaris) processing, with and without a filtration process, was analysed. Regarding non-filtered [...] Read more.
Cooking liquor (CL) from marine species processing has been reported to include a wide range of valuable constituents. In this study, the chemical composition of CL from octopus (Octopus vulgaris) processing, with and without a filtration process, was analysed. Regarding non-filtered CL, values of 15.30, 0.29, 8.85 and 174.53 g·L−1 CL for protein, lipids, ash, and total volatile base-nitrogen (TVB-N), respectively, were detected. The most abundant fatty acids (FAs) (g·100 g−1 total FAs) were C16:0 (37.8), C18:0 (20.8), and C22:6ω3 (13.4). Values of 0.40 and 2.10 were obtained for polyunsaturated FA/saturated FA and ω3 FA/ω6 FA ratios. Macroelement content varied from 0.036 (Ca) to 1.81 (Na) g·L−1 CL. For microelements, values ranged between 0.0015 (Co) and 1.95 (As) mg·L−1 CL. Industrial filtration of CL led to decreased values of protein, lipid, ash, TVB-N, and C22:5ω3; in contrast, an increased presence of C14:0, C18:1ω9, C20:1ω9, and C22:1ω9 was detected. Filtration led to a ca. 50% decrease in macroelement presence. For microelements, this process led to losses of 20–40% (Ba, Pb), 40–60% (As, Fe, Mn), 60–70% (Co, Zn), and 84% (Cd). This study provides a first comprehensive characterisation of octopus cooking liquor as a potential source of bioactive compounds. Full article
Show Figures

Figure 1

17 pages, 1734 KB  
Review
Why Humans Prefer Phylogenetically Closer Species: An Evolutionary, Neurocognitive, and Cultural Synthesis
by Antonio Ragusa
Biology 2025, 14(10), 1438; https://doi.org/10.3390/biology14101438 - 18 Oct 2025
Viewed by 376
Abstract
Humans form deep attachments to some nonhuman animals, yet these attachments are unequally distributed across the tree of life. Drawing on evolutionary biology, comparative cognition, neuroscience, and cultural anthropology, this narrative review explains why empathy and affective preference are typically stronger for phylogenetically [...] Read more.
Humans form deep attachments to some nonhuman animals, yet these attachments are unequally distributed across the tree of life. Drawing on evolutionary biology, comparative cognition, neuroscience, and cultural anthropology, this narrative review explains why empathy and affective preference are typically stronger for phylogenetically closer species—especially mammals—than for distant taxa such as reptiles, fish, or arthropods. We synthesize evidence that signal recognizability (faces, gaze, vocal formants, biological motion) and predictive social cognition facilitate mind attribution to mammals; conserved neuroendocrine systems (e.g., oxytocin) further amplify affiliative exchange, particularly in domesticated dyads (e.g., dog–human). Ontogenetic learning and media narratives magnify these effects, while fear modules and disgust shape responses to some distant taxa. Notwithstanding this average gradient, boundary cases—cephalopods, cetaceans, parrots—show that perceived agency, sociality, and communicative transparency can overcome phylogenetic distance. We discuss measurement (behavioral, psychophysiological, neuroimaging), computational accounts in predictive-processing terms, and implications for animal welfare and conservation. Pragmatically, calibrated anthropomorphism, hands-on education, and messaging that highlights agency, parental care, or ecological function reliably broaden concern for under-represented taxa. Recognizing both evolved priors and cultural plasticity enables more equitable and effective science communication and policy. Expanding empathy beyond its ancestral anchors is not only an ethical imperative but a One Health necessity: safeguarding all species means safeguarding the integrity of our shared planetary life. Full article
Show Figures

Figure 1

17 pages, 12144 KB  
Article
The Genome Survey Analysis of Female and Male Sepiella japonica
by Yuting Ren, Yinquan Qu, Fenglin Wang, Tianxiang Gao and Xiumei Zhang
Genes 2025, 16(10), 1215; https://doi.org/10.3390/genes16101215 - 15 Oct 2025
Viewed by 464
Abstract
Background/Objectives: Sepiella japonica is a highly adaptable cephalopod with an advanced nervous system and complex reproductive behavior, capable of reproducing two to three generations annually depending on water temperature. However, the absence of a complete genome assembly has limited molecular investigations of its [...] Read more.
Background/Objectives: Sepiella japonica is a highly adaptable cephalopod with an advanced nervous system and complex reproductive behavior, capable of reproducing two to three generations annually depending on water temperature. However, the absence of a complete genome assembly has limited molecular investigations of its unique biological characteristics. This study aimed to perform a genome survey of female and male S. japonica, systematically characterize and compare key genomic characteristics. Methods: Quality-filtered short reads enabled K-mer-based estimation of genome size, heterozygosity, repeat content, and GC content; generation of draft genome assemblies, SSR identification from the draft assemblies, complete mitogenome assemblies and annotations with ML phylogeny based on 13 concatenated PCGs, and PSMC-based demographic inference. Results: The estimated genome sizes were 4317 Mb (female) and 4222 Mb (male), with revised estimates of 4310 Mb and 4215 Mb, respectively. K-mer analysis revealed heterozygosity rates of 0.85% (female) and 0.77% (male) and repeat content of 76.05% (female) and 75.91% (male). The assembled genome sizes were 4197 Mb for females (N50: 508 bp) and 4206 Mb for males (N50: 511 bp); the GC content was 34.15% for both genomes. Deduplicated data showed GC content of 35.16% (female) and 35.27% (male). Microsatellite analysis revealed that mononucleotide repeats were the most abundant simple sequence repeat motif. The mitochondrial genome sequences measured 16,729 bp for the female genome and 16,725 bp for the male genome. Conclusions: This study provides fundamental data for subsequent high-quality whole-genome assembly and comparative analysis of female and male genomes. Full article
(This article belongs to the Section Animal Genetics and Genomics)
Show Figures

Figure 1

20 pages, 5710 KB  
Article
Salinity Stress Mechanisms in Sepia esculenta Larvae Revealed by Integrated Biochemical and Transcriptome Analyses
by Yancheng Zhao, Xueyu Zhu, Jingzhao Zhang, Weijun Wang, Cuiju Cui, Xin Tan, Xiumei Liu, Xiaohui Xu, Zan Li and Jianmin Yang
Biology 2025, 14(10), 1338; https://doi.org/10.3390/biology14101338 - 30 Sep 2025
Viewed by 429
Abstract
The stable marine environment is conducive to the development of the aquaculture industry. However, with the change of seawater salinity in recent years, it has had a great impact on the survival and breeding of cephalopods such as Sepia esculenta. In this [...] Read more.
The stable marine environment is conducive to the development of the aquaculture industry. However, with the change of seawater salinity in recent years, it has had a great impact on the survival and breeding of cephalopods such as Sepia esculenta. In this study, biochemical measurement and transcriptome sequencing were performed on the larvae of S. esculenta after different salinity stresses (salinity of 20 ppt and 40 ppt), and the reliability of transcriptome results was proved by physiological indexes. We performed Gene Ontology (GO), Kyoto Encyclopedia of Genes and Genomes (KEGG) enrichment analysis, and gene set enrichment analysis (GSEA) on all annotated genes, and gene sets were identified, including chemokine signaling pathways, MAPK signaling pathways, and cell cycle pathways. Finally, we constructed the protein-protein interaction networks (PPI) between the core genes in these gene sets and differentially expressed genes (DEGs) to identify key genes, including NFKBIA. Among them, the NFKBIA is not only a core gene in the chemokine signaling pathway gene set under four stresses but also has a high number of protein interactions. We speculate that this gene may have important immunomodulatory functions in the face of different time and salinity stresses. The results of our study explored the molecular mechanism of S. esculenta in the face of environmental stress, revealed the key molecular regulatory pathways for its survival and adaptation under complex environmental pressures, and may provide insights relevant to the development of S. esculenta pond culture. Full article
(This article belongs to the Special Issue Aquatic Economic Animal Breeding and Healthy Farming)
Show Figures

Figure 1

16 pages, 985 KB  
Article
Monitoring and Risk Assessment of Pesticide Residues in Seafood Using LC-MS/MS
by Dong-ju Kim, Eun-been Oh, Jee-hyo Moon, Jeong-won Choi, Tae-hwa Kim, Seok-hee Lee, Ju-Yeon Park, Chan-Hyeok Kwon and Kee-sung Kyung
Foods 2025, 14(18), 3198; https://doi.org/10.3390/foods14183198 - 13 Sep 2025
Viewed by 1102
Abstract
This study was conducted to monitor 161 pesticides and 37 of their metabolites in cephalopods, crustaceans, seaweeds, and shellfish and to assess their potential risks. A total of 696 types of seafood (227 cephalopods, 56 crustaceans, 189 seaweeds, and 224 shellfish) were collected [...] Read more.
This study was conducted to monitor 161 pesticides and 37 of their metabolites in cephalopods, crustaceans, seaweeds, and shellfish and to assess their potential risks. A total of 696 types of seafood (227 cephalopods, 56 crustaceans, 189 seaweeds, and 224 shellfish) were collected from local markets across the Republic of Korea and analyzed for pesticide residues using liquid chromatography–tandem mass spectrometry (LC-MS/MS). Pesticide residues were detected only in shrimp among the crustaceans, whereas no residues were found in any species of cephalopods. Pesticide residues in shellfish were detected in abalone, clam, and marsh clam, while in seaweed, they were found in dried laver, dried sea lettuce, and fresh sea mustard. Among seafood products, seaweed had the highest pesticide detection rate of 8.5%, and the residue level of diuron—the most frequently detected insecticide in seaweed—was 0.05 mg/kg. The estimated daily intake (EDI) was calculated using the maximum pesticide concentration in crustaceans, shellfish, cephalopods, and seaweed, along with the seafood consumption by average and the 97.5th-percentile extreme consumers. The percentage of the acceptable daily intake (%ADI), calculated using the EDI and ADI of the pesticide detected, was evaluated to be less than 0.7% for all samples. The results suggest that the consumption of crustaceans, shellfish, cephalopods, and seaweed distributed in the Republic of Korea poses a low risk to human health. Full article
(This article belongs to the Section Food Toxicology)
Show Figures

Figure 1

15 pages, 4176 KB  
Article
Lysozyme Activity in the Hemolymph of Octopus vulgaris (Cuvier, 1797) Following Challenge with Gram-Negative Bacteria: Insights into Temperature-Driven Innate Immune Response
by Daniella-Mari White, Eleni Anastasiadou, Michail-Aggelos Valsamidis and Vasileios Bakopoulos
Fishes 2025, 10(9), 428; https://doi.org/10.3390/fishes10090428 - 1 Sep 2025
Viewed by 680
Abstract
As aquaculture expands globally, understanding immune responses in non-traditional farmed species like Octopus vulgaris under varying environmental conditions is increasingly important. This study investigated lysozyme activity, a key innate immune marker, in cell-free hemolymph of O. vulgaris following experimental challenge with four Gram-negative [...] Read more.
As aquaculture expands globally, understanding immune responses in non-traditional farmed species like Octopus vulgaris under varying environmental conditions is increasingly important. This study investigated lysozyme activity, a key innate immune marker, in cell-free hemolymph of O. vulgaris following experimental challenge with four Gram-negative fish pathogens (Photobacterium damselae subsp. piscicida, P. damselae subsp. damselae, Vibrio alginolyticus, and V. anguillarum O1) at two temperatures (21 ± 0.5 °C and 24 ± 0.5 °C). These pathogens were selected because octopus farming frequently occurs near fish aquaculture facilities, raising the potential for pathogen crossover. A total of 216 wild octopuses were injected intramuscularly or intravenously and sampled on days 0, 3, and 7 post-challenge. Lysozyme activity varied by pathogen, injection route, sampling time, and temperature. A significant time- and temperature-dependent increase was observed, especially in IM-challenged groups exposed to Photobacterium species. Elevated temperatures supported a more prolonged immune response. These results highlight lysozyme as a responsive biomarker of innate immunity in O. vulgaris and emphasize the role of environmental factors in immune modulation. This work provides a foundation for disease monitoring and health management in cephalopod aquaculture. Future research should examine long-term lysozyme dynamics, broader pathogen exposure, molecular mechanisms, and additional environmental stressors such as salinity and pollution. Full article
(This article belongs to the Special Issue Advances in Pathology of Aquatic Animals)
Show Figures

Graphical abstract

30 pages, 723 KB  
Review
Exploring the Molluscan Microbiome: Diversity, Function, and Ecological Implications
by Tsireledzo Goodwill Makwarela, Nimmi Seoraj-Pillai and Tshifhiwa Constance Nangammbi
Biology 2025, 14(8), 1086; https://doi.org/10.3390/biology14081086 - 20 Aug 2025
Cited by 1 | Viewed by 1274
Abstract
Mollusks are among the most ecologically and economically significant invertebrates; yet, their associated microbiomes remain understudied relative to those of other metazoans. This scoping review synthesizes the current literature on the diversity, composition, functional roles, and ecological implications of molluscan microbiomes, with an [...] Read more.
Mollusks are among the most ecologically and economically significant invertebrates; yet, their associated microbiomes remain understudied relative to those of other metazoans. This scoping review synthesizes the current literature on the diversity, composition, functional roles, and ecological implications of molluscan microbiomes, with an emphasis on three major groups: gastropods, bivalves, and cephalopods. Drawing on studies from terrestrial, freshwater, and marine systems, we identified the dominant bacterial phyla, including Proteobacteria, Bacteroidetes, and Firmicutes, and explored how microbiota vary across different habitats, diets, tissue types, and host taxonomies. We examined the contribution of molluscan microbiomes to host functions, including digestion, immune modulation, stress responses, and nutrient cycling. Particular attention was given to the role of microbiota in shell formation, pollutant degradation, and adaptation to environmental stressors. The review also evaluated microbial interactions at different developmental stages and under aquaculture conditions. Factors influencing microbiome assembly, such as the host’s genetics, life history traits, and environmental exposure, were mapped using conceptual and graphical tools. Applications of molluscan microbiome research in aquaculture, conservation biology, and environmental biomonitoring are highlighted. However, inconsistencies in the sampling methods, taxonomic focus, and functional annotations limit the generalizability across taxa. We identify key knowledge gaps and propose future directions, including the use of meta-omics, standardized protocols, and experimental validation to deepen insights. By synthesizing emerging findings, this review contributes to a growing framework for understanding mollusk–microbiome interactions and their relevance to host fitness and ecosystem health. It further establishes the importance of mollusks as model systems for advancing microbiome science. Full article
Show Figures

Figure 1

22 pages, 598 KB  
Article
Re-Consider the Lobster: Animal Lives in Protein Supply Chains
by Karl T. Ulrich
Sustainability 2025, 17(15), 7034; https://doi.org/10.3390/su17157034 - 2 Aug 2025
Viewed by 600
Abstract
Animal protein production represents a complex system of lives transformed into nutrition, with profound ethical and environmental implications. This study provides a quantitative analysis of animal lives required to produce human-consumable protein across major food production systems. Categorizing animal lives based on cognitive [...] Read more.
Animal protein production represents a complex system of lives transformed into nutrition, with profound ethical and environmental implications. This study provides a quantitative analysis of animal lives required to produce human-consumable protein across major food production systems. Categorizing animal lives based on cognitive complexity and accounting for all lives involved in production, including direct harvests, reproductive animals, and feed species, reveals dramatic variations in protein efficiency. The analysis considers two categories of animal life: complex-cognitive lives (e.g., mammals, birds, cephalopods) and pain-capable lives (e.g., fish, crustaceans). Calculating protein yield per life demonstrates efficiency differences spanning more than five orders of magnitude, from 2 g per complex-cognitive life for baby octopus to 390,000 g per life for bovine dairy systems. Key findings expose disparities between terrestrial and marine protein production. Terrestrial systems involving mammals and birds show higher protein yields and exclusively involve complex-cognitive lives, while marine systems rely predominantly on pain-capable lives across complex food chains. Dairy production emerges as the most efficient system. Aquaculture systems reveal complex dynamics, with farmed carnivorous fish requiring hundreds of feed fish lives to produce protein, compared to omnivorous species that demonstrate improved efficiency. Beyond quantitative analysis, this research provides a framework for understanding the ethical and ecological dimensions of protein production, offering insights for potential systemic innovations. Full article
(This article belongs to the Section Sustainable Food)
Show Figures

Graphical abstract

Back to TopTop