Optimizing Fishery Survey Design in Guangdong’s Restricted Coastal Waters
Simple Summary
Abstract
1. Introduction
2. Materials and Methods
2.1. Survey Data
2.2. Dominant Fish Species
2.3. Sampling Design
2.3.1. Fixed-Site Sampling
2.3.2. Simple Random Sampling
2.3.3. Stratified Random Sampling
2.3.4. Systematic Sampling
2.3.5. Sampling Frequency
2.4. Evaluation of Sampling Design Effects
2.4.1. Species Richness Detectability
2.4.2. Relative Estimation Error
2.4.3. Relative Bias
2.5. Statistical Analysis
3. Results
3.1. Species Composition and Dominant Species
3.2. The Temporal and Spatial Variations of Fishery Resources
3.3. Species Richness
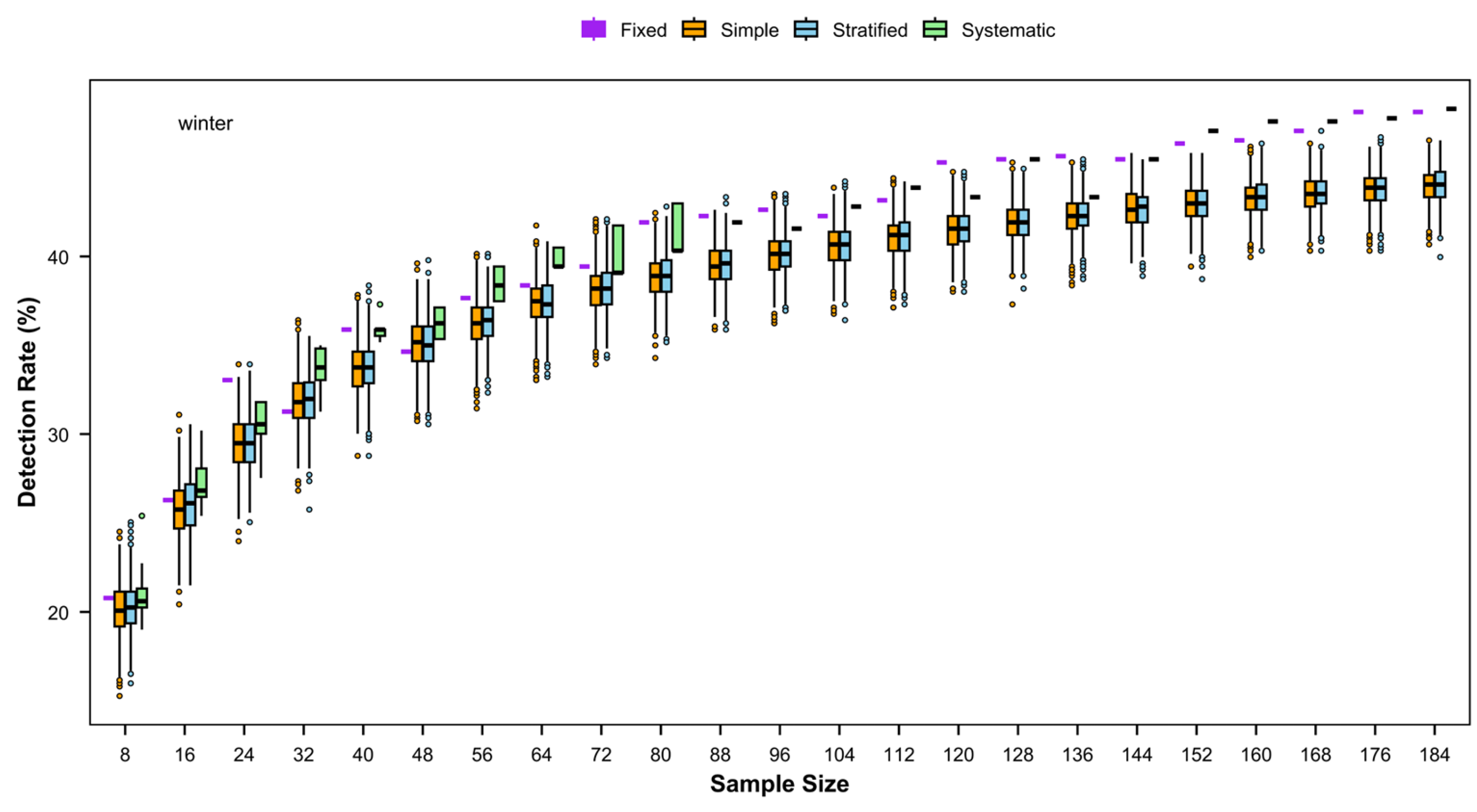
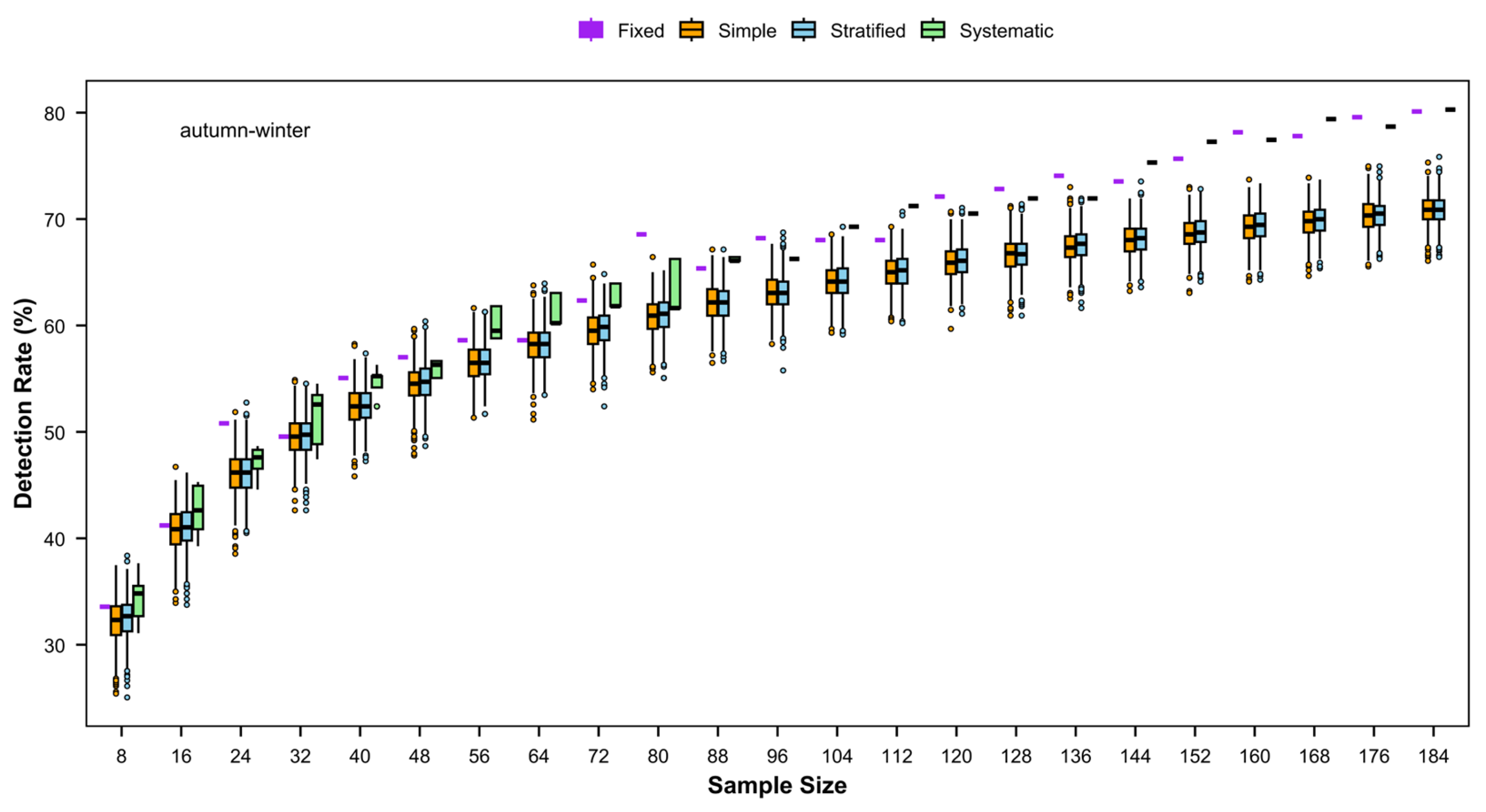
3.3.1. Detection Rates
3.3.2. REE of the Detection Rates
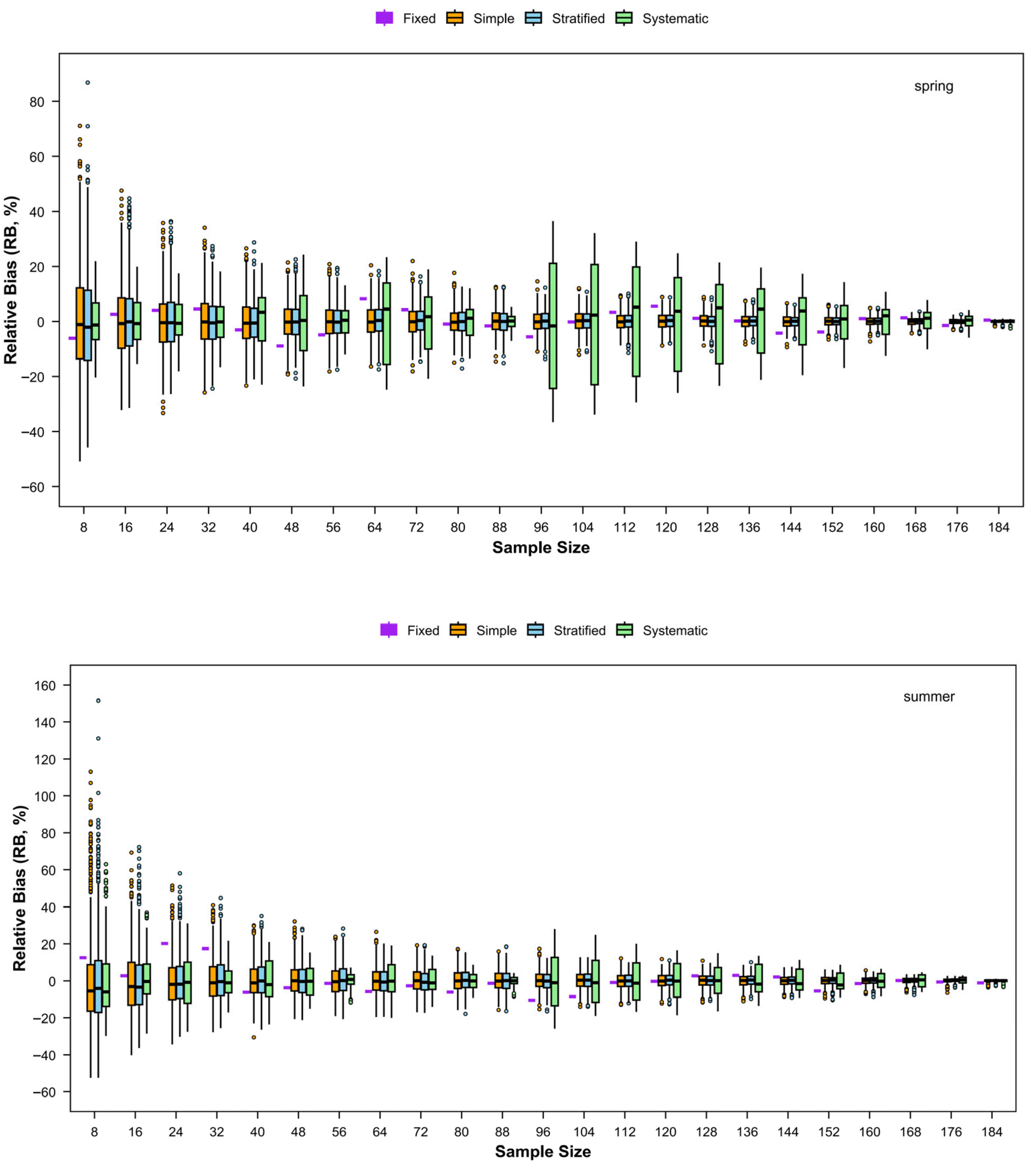
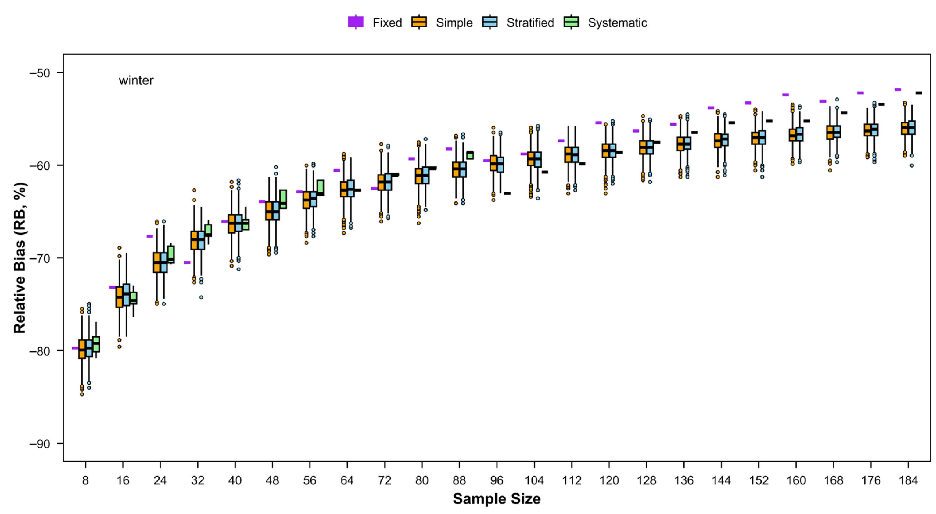
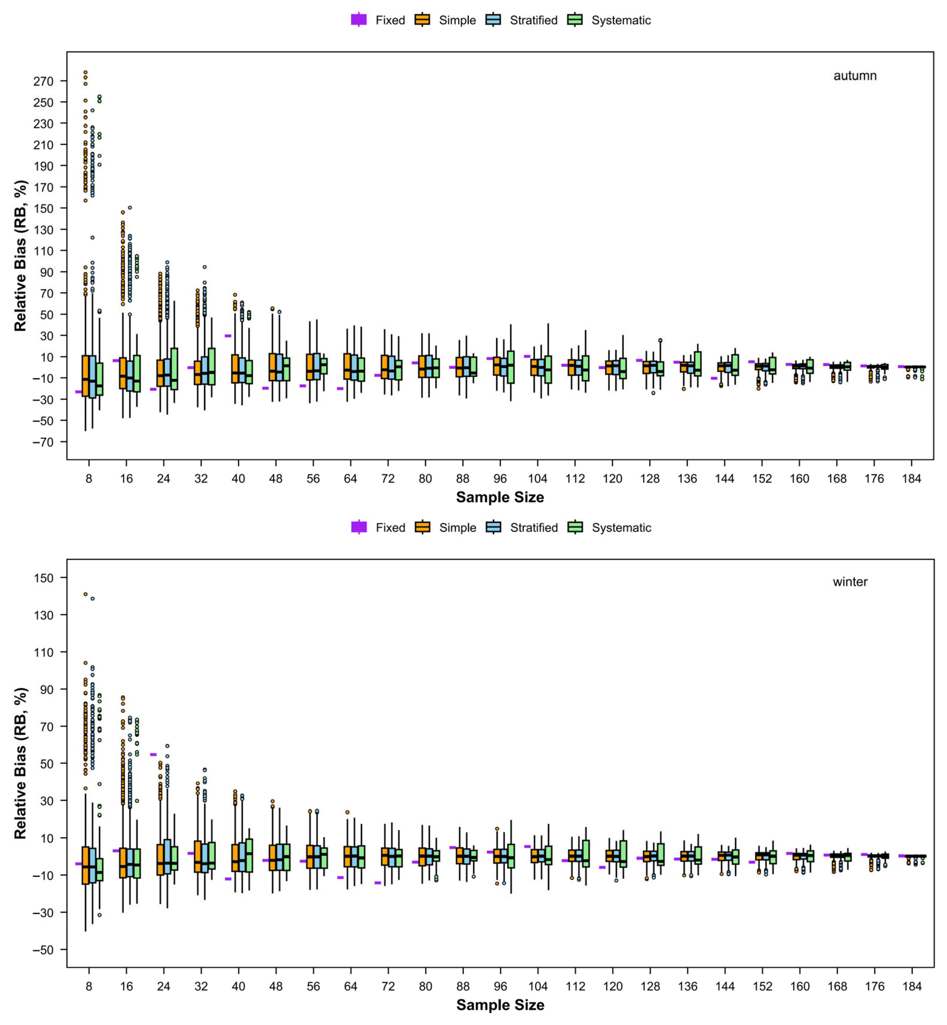
3.3.3. RB of the Detection Rates
3.4. Relative Abundance
3.4.1. REE
3.4.2. RB
4. Discussion
4.1. The Basic Status of Fishery Resources
4.2. Sampling Design Performance
4.3. Influence of Sampling Frequency and Seasonal Combinations
4.4. Management Implications and Recommended Survey Designs
4.5. Limitations and Future Directions
5. Conclusions
Supplementary Materials
Author Contributions
Funding
Institutional Review Board Statement
Informed Consent Statement
Data Availability Statement
Conflicts of Interest
Abbreviations
| SCS | South China Sea |
| FS | Fixed-site sampling |
| SRS | Simple random sampling |
| StRS | Stratified random sampling |
| SS | Systematic sampling |
| CS | Cluster sampling |
| REE | Relative estimation error |
| RB | Relative bias |
Appendix A




















References
- Qiu, Y.; Lin, Z.; Wang, Y. Responses of fish production to fishing and climate variability in the northern South China Sea. Prog. Oceanogr. 2010, 85, 197–212. [Google Scholar] [CrossRef]
- Chen, P.; Qin, C.; Yu, J.; Shu, L.; Li, X.; Zhou, Y.; Yuan, H. Evaluation of the effect of stock enhancement in the coastal waters of Guangdong, China. Fish. Manag. Ecol. 2015, 22, 172–180. [Google Scholar] [CrossRef]
- Wang, X.; Qiu, Y.; Du, F.; Liu, W.; Sun, D.; Chen, X.; Yuan, W.; Chen, Y. Roles of fishing and climate change in long-term fish species succession and population dynamics in the outer beibu gulf, south china sea. Acta Oceanol. Sin. 2019, 10, 1–8. [Google Scholar] [CrossRef]
- Liu, J.; Gutang, Q.; Fan, Y.; Bi, R.; Zhao, P.; Zhang, K.; Sun, Z.; Li, P.; Liu, W.; Wang, J. Microplastics in fish species from the eastern Guangdong: Implications to Indo-Pacific humpback dolphin (Sousa chinensis) and human health. Mar. Environ. Res. 2025, 204, 106852. [Google Scholar] [CrossRef]
- Wang, Y.; Yuan, W. Changes of demersal trawl fishery resources in northern South China Sea as revealed by demersal trawling. South China Fish. Sci. 2008, 4, 26–33. [Google Scholar]
- MOA. China Fishery Statistical Yearbooks 1978–2023; China Agriculture Press: Beijing, China, 2024. [Google Scholar]
- Laptikhovsky, V.; Allcock, A.L.; Barnwall, L.; Barrett, C.; Cooke, G.; Drerup, C.; Firmin, C.; Lozach, S.; MacLeod, E.; Oesterwind, D.; et al. Spatial and temporal variability of spawning and nursery grounds of Loligo forbesii and Loligo vulgaris squids in ecoregions of Celtic seas and greater North Sea. ICES J. Mar. Sci. 2022, 79, 1918–1930. [Google Scholar] [CrossRef]
- Johannesen, E.; Frøysa, H.G.; Langangen, Ø.; Vikebø, F.B. Northeast Arctic haddock (Melanogrammus aeglefinus) spawning grounds and drift to nursery areas in the Barents Sea. Fish. Oceanogr. 2024, 33, e12694. [Google Scholar] [CrossRef]
- Cao, L.; Chen, Y.; Dong, S.L.; Hanson, A.; Huang, B.; Leadbitter, D.; Little, D.C.; Pikitch, E.K.; Qiu, Y.S.; de Mitcheson, Y.S.; et al. Opportunity for marine fisheries reform in China. Proc. Natl. Acad. Sci. USA 2017, 114, 435–442. [Google Scholar] [CrossRef]
- Kuang, T.; Chen, W.; Huang, S.; Liu, L.; Zhou, L. Environmental drivers of the functional structure of fish communities in the Pearl River Estuary. Estuar. Coast. Shelf Sci. 2021, 263, 107625. [Google Scholar] [CrossRef]
- Pan, S.; Lin, K.; Lv, S.; Wang, X. Importance of species interactions in structuring fish community of Leizhou Bay waters, northern South China Sea. Acta Ecol. Sin. 2022, 42, 9383–9393. [Google Scholar] [CrossRef]
- Buckland, S.T.; Anderson, D.R.; Burnham, K.P.; Laake, J.L.; Thomas, L.N. Introduction to Distance Sampling: Estimating Abundance of Biological Populations; Oxford University Press: London, UK, 2001; pp. 1–467. [Google Scholar]
- Xu, B.; Ren, Y.; Chen, Y.; Xue, Y.; Zhang, C.; Wan, R. Optimization of stratification scheme for a fishery-independent survey with multiple objectives. Acta Oceanol. Sin. 2015, 34, 154–169. [Google Scholar] [CrossRef]
- Kimura, D.K.; Somerton, D.A. Review of statistical aspects of survey sampling for marine fisheries. Rev. Fish. Sci. 2006, 14, 245–283. [Google Scholar] [CrossRef]
- Jardim, E.; Ribeiro, P.J. Geostatistical assessment of sampling designs for Portuguese bottom trawl surveys. Fish. Res. 2007, 85, 239–247. [Google Scholar] [CrossRef]
- Nelson, G.A. Cluster sampling: A pervasive, yet little recognized survey design in fisheries research. Trans. Am. Fish. Soc. 2014, 143, 926–938. [Google Scholar] [CrossRef]
- Delargy, A.J.; Cassidy, K.S.; Lisi, A.D.; Stokesbury, K.D.E. A comparison of survey designs for marine benthic invertebrate sampling. Fish. Res. 2025, 285, 107384. [Google Scholar] [CrossRef]
- Folmer, O.; Pennington, M. A statistical evaluation of the design and precision of the shrimp trawl survey off West Greenland. Fish. Res. 2000, 49, 165–178. [Google Scholar] [CrossRef]
- Wang, J.; Xu, B.; Zhang, C.; Xue, Y.; Chen, Y.; Ren, Y. Evaluation of alternative stratifications for a stratified random fishery-independent survey. Fish. Res. 2018, 207, 150–159. [Google Scholar] [CrossRef]
- Zhang, G.; Wang, J.; Zhang, C.; Xue, Y.; Ren, Y.; Xu, B. Comparison of sampling designs of fishery–independent survey in estimating abundance indices of multiple target species. J. Fish. China 2021, 45, 700–715. [Google Scholar]
- Melissa, T.D. Estimating sampling effort for biomonitoring of nearshore fish communities in small central Minnesota Lakes. N. Am. J. Fish. Manage. 2007, 27, 1094–1111. [Google Scholar]
- Chen, D.; Zhang, M. Marine Fishes of China; China Ocean University Press: Qingdao, China, 2015. [Google Scholar]
- Froese, R.; Pauly, D. FishBase. World Wide Web Electronic Publication; Version (04/2025). 2025. Available online: https://www.fishbase.org (accessed on 26 June 2025).
- Pinkas, L.; Oliphant, M.S.; Iverson, I.L.K. Food habits of albacore, bluefin tuna and bonito in Californian waters. Fish. Bull. 1971, 153, 11–105. [Google Scholar]
- Yuan, M.; Chen, Z.; Zhang, J.; Jiang, Y.; Tang, Y.; Xu, S. Community structure of mesopelagic fish species in northern slope of South China Sea. South China Fish. Sci. 2018, 14, 85–91. [Google Scholar]
- Berg, E. Review of the third edition of sampling: Design and analysis. J. Appl. Stat. 2024, 51, 3486–3494. [Google Scholar] [CrossRef]
- Brown, R.S. Sampling//International Encyclopedia of Education; University of Southern California: Los Angeles, CA, USA, 2010; pp. 142–146. [Google Scholar]
- Ma, Y.; Ji, Y.; Zhang, C.; Xue, Y.; Ren, Y.; Xu, B. Effects of sampling design on species richness estimation of ichthyo–plankton in the coastal waters. J. Fish. Sci. China 2021, 28, 635–645. [Google Scholar]
- Chen, Y. A Monte Carlo study on impacts of the size of sub sample catch on estimation of fish stock parameters. Fish. Res. 1996, 26, 207–223. [Google Scholar] [CrossRef]
- Paloheimo, J.; Chen, Y. Estimating fishing mortality and cohort sizes. Can. J. Fish. Aquat. Sci. 1996, 53, 1572–1579. [Google Scholar] [CrossRef]
- Cai, Y.; Xu, S.; Chen, Z.; Xu, Y.; Jiang, Y.; Yang, C. Current status of community structure and diversity of fishery resources in offshore northern South China Sea. South China Fish. Sci. 2018, 14, 10–18. [Google Scholar]
- Cai, Y.; Huang, Z.; Xu, Y.; Sun, M.; Xu, S.; Zhang, K.; Chen, Z. Probability distribution characteristics of stock density in offshore of northern South China Sea. Chin. J. Appl. Ecol. 2019, 30, 2426–2436. [Google Scholar]
- Su, L.; Zhang, K.; Xu, Y.; Chen, Z. Variations in the fish community of the Beibu Gulf (South China Sea) following fishery resources protection measures. Fish. Res. 2025, 283, 107293. [Google Scholar] [CrossRef]
- Zhang, K.; Li, J.; Hou, G.; Huang, Z.; Shi, D.; Chen, Z.; Qiu, Y. Length-based assessment of fish stocks in a data-poor, jointly exploited (China and Vietnam) fishing ground, northern South China Sea. Front. Mar. Sci. 2021, 8, 718052. [Google Scholar] [CrossRef]
- Zhang, K.; Su, L.; Chen, Z.; Qiu, Y. An extensive assessment of exploitation indicators for multispecies fisheries in the South China Sea to inform more practical andprecise management in China. Ecol. Indic. 2025, 173, 113363. [Google Scholar] [CrossRef]
- Kotwicki, S.; Ono, K. The effect of random and density-dependent variation in sampling efficiency on variance of abundance estimates from fishery surveys. Fish Fish. 2019, 20, 760–774. [Google Scholar] [CrossRef]
- Miller, T.J.; Skalski, J.R.; Ianelli, J.N. Optimizing a stratified sampling design when faced with multiple objectives. ICES J. Mar. Sci. 2007, 64, 97–109. [Google Scholar] [CrossRef]
- Oyafuso, Z.S.; Barnett, L.A.K.; Kotwicki, S. Incorporating spatiotemporal variability in multispecies survey design optimization addresses trade-offs in uncertainty. ICES J. Mar. Sci. 2021, 78, 1288–1300. [Google Scholar] [CrossRef]
- Zimmermann, F.; Enberg, K. Can less be more? Effects of reduced frequency of surveys and stock assessments. ICES J. Mar. Sci. 2016, 74, 56–68. [Google Scholar] [CrossRef]










| Spring | Summer | Autumn | Winter |
|---|---|---|---|
| Leiognathus brevirostris (3372) | Decapterus maruadsi (6069) | Portunus tweediei (1751) | Metapenaeopsis palmensis (3928) |
| Deveximentum ruconius (3179) | Photopectoralis bindus (2836) | Metapenaeopsis palmensis (1009) | Ilisha melastoma (1577) |
| Sardinella jussieu (856) | Deveximentum ruconius (1442) | Charybdis truncata (916) | Harpadon nehereus (949) |
| Saurida tumbil (605) | Equulites berbis (1049) | Ilisha melastoma (727) | Portunus tweediei (716) |
| Uroteuthis duvaucelii (532) | Deveximentum ruconius (670) |
Disclaimer/Publisher’s Note: The statements, opinions and data contained in all publications are solely those of the individual author(s) and contributor(s) and not of MDPI and/or the editor(s). MDPI and/or the editor(s) disclaim responsibility for any injury to people or property resulting from any ideas, methods, instructions or products referred to in the content. |
© 2025 by the authors. Licensee MDPI, Basel, Switzerland. This article is an open access article distributed under the terms and conditions of the Creative Commons Attribution (CC BY) license (https://creativecommons.org/licenses/by/4.0/).
Share and Cite
Zhang, K.; Su, L.; Cai, Y.; Xu, Y.; Chen, Z. Optimizing Fishery Survey Design in Guangdong’s Restricted Coastal Waters. Animals 2025, 15, 3283. https://doi.org/10.3390/ani15223283
Zhang K, Su L, Cai Y, Xu Y, Chen Z. Optimizing Fishery Survey Design in Guangdong’s Restricted Coastal Waters. Animals. 2025; 15(22):3283. https://doi.org/10.3390/ani15223283
Chicago/Turabian StyleZhang, Kui, Li Su, Yancong Cai, Youwei Xu, and Zuozhi Chen. 2025. "Optimizing Fishery Survey Design in Guangdong’s Restricted Coastal Waters" Animals 15, no. 22: 3283. https://doi.org/10.3390/ani15223283
APA StyleZhang, K., Su, L., Cai, Y., Xu, Y., & Chen, Z. (2025). Optimizing Fishery Survey Design in Guangdong’s Restricted Coastal Waters. Animals, 15(22), 3283. https://doi.org/10.3390/ani15223283

