Sign in to use this feature.

Years

Between: -

Subjects

remove_circle_outline
remove_circle_outline
remove_circle_outline
remove_circle_outline
remove_circle_outline
remove_circle_outline
remove_circle_outline
remove_circle_outline
remove_circle_outline

Journals

remove_circle_outline
remove_circle_outline
remove_circle_outline
remove_circle_outline
remove_circle_outline
remove_circle_outline
remove_circle_outline
remove_circle_outline
remove_circle_outline

Article Types

Countries / Regions

remove_circle_outline
remove_circle_outline
remove_circle_outline
remove_circle_outline
remove_circle_outline
remove_circle_outline

Search Results (971)

Search Parameters:
Keywords = cementitious additives

Order results
Result details
Results per page
Select all
Export citation of selected articles as:
17 pages, 4752 KB  
Article
Mechanism of Vanadium–Titanium Slag in Regulating the Performance and Hydration of Metallurgical Slag-Based Cementitious Materials
by Bo Su, Siqi Zhang, Xingyang Xu, Tong Zhao, Huifen Yang and Junyao Liu
Metals 2026, 16(4), 442; https://doi.org/10.3390/met16040442 (registering DOI) - 18 Apr 2026
Abstract
To achieve the large-scale, high-value utilization of vanadium–titanium slag (VTS) in the metallurgical industry, this study replaces blast furnace slag (BFS) with VTS to construct a quaternary all-solid-waste cementitious system composed of VTS, BFS, steel slag (SS), and desulfurization gypsum (DG). It systematically [...] Read more.
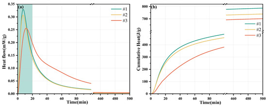
To achieve the large-scale, high-value utilization of vanadium–titanium slag (VTS) in the metallurgical industry, this study replaces blast furnace slag (BFS) with VTS to construct a quaternary all-solid-waste cementitious system composed of VTS, BFS, steel slag (SS), and desulfurization gypsum (DG). It systematically investigates the effects of VTS content (0–60%) on the mechanical properties, leaching toxicity, and hydration heat behavior of the system. XRD, TG–DSC, and SEM–EDS techniques are employed to explore the influence of VTS on hydration behavior and microstructural evolution. The results show that when VTS replaces 30% of the BFS (A3, VTS:BFS:SS:DG = 3:3:3:1), the 28-day compressive strength reaches 31.33 MPa. The leaching concentrations of heavy metals in all specimens are far below the standards for drinking water quality. Hydration heat analysis reveals that the incorporation of VTS advances the acceleration period of hydration. The A3 specimen maintains a relatively high heat release rate in the middle and later stages (after 72 h), and its cumulative heat release is significantly higher than that of the system without VTS, revealing the “slow hydration” mechanism of VTS at later stages. The [SiO4]–[AlO4] bonds in VTS undergo a depolymerization–repolymerization process. In addition, an appropriate amount of VTS promotes the deposition of hydration products such as ettringite (AFt), C–S–H, and C–A–S–H gels through micro-filling effects and heterogeneous nucleation, thereby improving the microstructure of the system. However, excessive VTS (≥45%) significantly inhibits the hydration reaction and reduces gel formation due to the decrease in highly reactive BFS components and the increased TiO2 content. This study provides new insights into the resource utilization of VTS in multi-solid-waste cementitious materials. In addition, VTS-based cementitious materials are suitable for practical scenarios with low early strength requirements, such as goaf backfilling. Therefore, future studies should further investigate the long-term sulfate resistance and carbonation resistance of these materials under real application conditions. Full article
(This article belongs to the Special Issue Recent Developments in Ironmaking)
Show Figures

Figure 1

18 pages, 3551 KB  
Article
Sustainable Stabilization of Collapsible Clay Soils Using Eco-Friendly Additives and Sarooj Mortar: Experimental Assessment of Strength and Collapse Behavior
by Yashar Mostafaei, Mohammad Ali Arjomand, Ali Asgari, Abolfazl Soltani and Mohammad Ali Ramezanpour
Buildings 2026, 16(8), 1561; https://doi.org/10.3390/buildings16081561 - 16 Apr 2026
Viewed by 164
Abstract
Collapsible soils present significant geotechnical challenges due to their abrupt volume reduction and strength degradation upon wetting, which can lead to severe structural damage. This study evaluates the effectiveness of sustainable and eco-friendly additives—including rice husk ash, lime, eggshell powder, turmeric, polypropylene fibers, [...] Read more.
Collapsible soils present significant geotechnical challenges due to their abrupt volume reduction and strength degradation upon wetting, which can lead to severe structural damage. This study evaluates the effectiveness of sustainable and eco-friendly additives—including rice husk ash, lime, eggshell powder, turmeric, polypropylene fibers, nanosilica, and Sarooj mortar—in stabilizing a naturally collapsible clay soil from Gorgan, Iran. A comprehensive experimental program comprising collapse potential, unconfined compressive strength (UCS), and unconsolidated undrained (UU) triaxial tests was conducted. The untreated soil exhibited a high collapse potential of approximately 11.1%, classifying it as severely collapsible. Upon stabilization, the collapse potential was significantly reduced to 1.35–4.63%, representing a reduction of up to ~88%, and reclassifying the soil into slight to moderate collapsibility. In terms of strength improvement, the UCS increased from 0.71 kg/cm2 (untreated soil) to values exceeding 3.5–4.3 kg/cm2 after 28 days of curing, corresponding to an increase of more than 4–5 times depending on the mixture composition. Additionally, triaxial test results indicated improvements of over 20% in shear strength parameters, including cohesion and friction angle, particularly after 28 days of curing. The observed improvements are attributed to the combined effects of pozzolanic reactions (lime, rice husk ash, nanosilica), cementitious bonding (Sarooj mortar), and mechanical reinforcement (polypropylene fibers), which collectively enhance soil structure, reduce the void ratio, and increase interparticle bonding. Among the tested mixtures, samples containing higher nanosilica and fiber content demonstrated superior performance in both strength and collapse resistance. Overall, the integration of traditional Sarooj mortar with modern eco-friendly additives provides a sustainable and efficient solution for mitigating collapse potential and enhancing the mechanical behavior of clayey soils. The proposed approach offers a low-carbon alternative to conventional stabilization methods, with significant implications for foundation engineering and infrastructure development in regions with problematic soils. Full article
(This article belongs to the Section Building Materials, and Repair & Renovation)
Show Figures

Figure 1

22 pages, 4968 KB  
Review
Materials for Acid Activation: New Principles and Recent Advances
by Larissa Vieira Rocha, Madeleing Taborda Barraza, Carlos Maurício Fontes Vieira, Afonso Rangel Garcez de Azevedo and Markssuel Teixeira Marvila
Minerals 2026, 16(4), 404; https://doi.org/10.3390/min16040404 - 15 Apr 2026
Viewed by 239
Abstract
Population growth and rapid urbanization have significantly increased construction activities and the demand for building materials. It is estimated that approximately 39% of global CO2 emissions are associated with the construction sector, with nearly 8% directly attributed to Portland cement production. In [...] Read more.
Population growth and rapid urbanization have significantly increased construction activities and the demand for building materials. It is estimated that approximately 39% of global CO2 emissions are associated with the construction sector, with nearly 8% directly attributed to Portland cement production. In addition to greenhouse gas emissions, the cement industry is responsible for substantial environmental impacts, including natural resource depletion, soil degradation, and air and water pollution. In this context, the development of alternative and more sustainable binder systems has become a global research priority. Geopolymers have emerged as promising materials produced through either alkaline or acid activation routes, offering advantages such as a reduced carbon footprint, high durability, and rapid strength development. Among these systems, acid-activated materials, particularly phosphate-based geopolymers, differ fundamentally from conventional alkali-activated binders in terms of reaction chemistry and binding phases. The formation of aluminum phosphate (AlPO4) networks plays a key role in governing the mechanical performance and microstructural stability of these materials. This mini-review provides a critical overview of the fundamental principles of acid activation applied to alternative cementitious materials, with emphasis on dissolution mechanisms, polycondensation reactions, and the nature of binding phases in phosphate-based systems. Unlike previous reviews, this study integrates recent findings on reaction mechanisms with a comparative analysis between acid and alkaline activation routes, highlighting underexplored aspects of precursor reactivity and binder formation. The main types of acids used as activators, the influence of precursor chemical composition, and the conceptual differences between acid and alkaline activation are discussed. In addition, recent advances, current challenges, and future perspectives of acid activation are addressed, highlighting its potential as a viable low-carbon binder route for sustainable construction materials, with strong prospects for partially replacing Portland cement, particularly in high-performance applications requiring enhanced chemical resistance and thermal stability. Full article
Show Figures

Figure 1

33 pages, 1475 KB  
Article
Design and Construction Practices for Full-Depth Reclamation of Asphalt Mixtures with Bituminous and Cementitious Additives
by Swathi Malluru, Ahmed Saidi, Ayman Ali and Yusuf Mehta
Materials 2026, 19(8), 1540; https://doi.org/10.3390/ma19081540 - 12 Apr 2026
Viewed by 304
Abstract
Several highway agencies have implemented full-depth reclamation (FDR) as a sustainable technology for rehabilitating deteriorated asphalt pavements. However, the lack of standardized mix design procedures and limited field assessment, in terms of rutting and cracking resistance, pose challenges to the widespread implementation of [...] Read more.
Several highway agencies have implemented full-depth reclamation (FDR) as a sustainable technology for rehabilitating deteriorated asphalt pavements. However, the lack of standardized mix design procedures and limited field assessment, in terms of rutting and cracking resistance, pose challenges to the widespread implementation of FDR. This study addresses these challenges by synthesizing current FDR mix design and construction practices and validating highway agency-recommended practices through laboratory performance evaluation. The study objectives were achieved by (1) reviewing current FDR mix design and construction specifications of highway agencies across the US and internationally, (2) conducting surveys with highway agencies and interviews with subject matter experts (SMEs), and (3) evaluating the laboratory performance of FDR mixtures. Based on the findings from the literature, survey responses, and SME interviews, three FDR mixtures were designed in the lab: (i) cement-only, (ii) asphalt emulsion and cement, and (iii) foamed asphalt and cement. Each mix was then evaluated for rutting susceptibility using the Asphalt Pavement Analyzer (APA) and cracking resistance using the indirect tensile (IDT) test to identify optimum dosages of bituminous and cementitious additives. Laboratory results showed that FDR mixtures with 3% asphalt emulsion and 1% cement improved rutting resistance by 46% and cracking performance by 70% compared to cement-only mixtures with 4% cement. In contrast, foamed asphalt did not result in a significant improvement in FDR performance. Survey responses indicated that 89% of respondents reported good field performance of FDR, with Pennsylvania and North Dakota exhibiting excellent performance 10 years after construction. Full article
(This article belongs to the Section Construction and Building Materials)
22 pages, 5260 KB  
Article
Effect of Particle Size Distribution and Dosage of Clam Shell-Derived Filler on the Mechanical Performance of Cementitious Mortars
by Benjamín Antonio García Montecinos, Meylí Valin Fernández, Luis Enrique Merino Quilodrán, Iván Ignacio Muñoz Soto and José Luis Valin Rivera
Appl. Sci. 2026, 16(8), 3736; https://doi.org/10.3390/app16083736 - 10 Apr 2026
Viewed by 192
Abstract
From an environmental perspective, the use of clam shells contributes positively to marine waste management and promotes more sustainable construction practices. This study aims to analyze the influence of clam shell-derived filler on the mechanical properties of cementitious mortars, evaluating its effect as [...] Read more.
From an environmental perspective, the use of clam shells contributes positively to marine waste management and promotes more sustainable construction practices. This study aims to analyze the influence of clam shell-derived filler on the mechanical properties of cementitious mortars, evaluating its effect as a function of dosage and particle fineness, in order to determine its potential as a sustainable additive in construction applications. The shells were ground for 0.5, 1.0, and 1.5 h and incorporated at percentages ranging from 0.5% to 5.0% by mass of cement. Slump (reduced Abram’s cone) was performed in the fresh state for each specimen mixture, while flexural strength, and compressive strength tests were performed at 7, 14, and 28 days of curing. Microstructural characterization was also performed using scanning electron microscopy (SEM) and energy dispersive X-ray spectroscopy (EDX) analysis. In addition, particle size distribution parameters were determined to quantify the effect of grinding time on particle refinement and its relationship with mechanical performance. A multifactor ANOVA was conducted to evaluate the statistical significance of grinding time and filler dosage on compressive strength. The results showed that the combination of 0.5 h of grinding and 1.0% filler provided the best mechanical performance for both flexural and compressive strength, with values of 7.27 MPa and 26.16 MPa, respectively. Dosages higher than 2.0% tended to decrease strength, which is associated with saturation of non-cementing particles. EDX analysis showed adequate calcium distribution without generating chemical segregation. The results showed that the combination of 0.5 h of grinding and 1.0% filler provided the best mechanical performance for both flexural and compressive strength, with values of 7.27 MPa and 26.16 MPa, respectively. Dosages higher than 2.0% tended to decrease strength, which is associated with saturation effects and increased specific surface area. The statistical analysis confirmed that both grinding time and filler dosage significantly influence compressive strength, highlighting the importance of optimizing particle size distribution and filler content to achieve improved mechanical performance. Full article
30 pages, 10952 KB  
Article
Tunnel Mudstone Valorization from a Tunnel Project in Guangxi, China: Development of a Solidified Grouting Material for Karst Pile Foundation Cavity Treatment
by Qiusheng Wang, Penghai Xu and Ruitao Zhang
Appl. Sci. 2026, 16(8), 3710; https://doi.org/10.3390/app16083710 - 10 Apr 2026
Viewed by 154
Abstract
Karst pile foundation cavity treatment requires grouting materials with suitable flowability, stability, strength, and cost-effectiveness, while large quantities of waste mudstone generated by tunnel excavation in Guangxi, China, also require sustainable valorization. In this study, tunnel-excavated mudstone from a tunnel project in Guangxi, [...] Read more.
Karst pile foundation cavity treatment requires grouting materials with suitable flowability, stability, strength, and cost-effectiveness, while large quantities of waste mudstone generated by tunnel excavation in Guangxi, China, also require sustainable valorization. In this study, tunnel-excavated mudstone from a tunnel project in Guangxi, China, was used as the primary raw material to develop a solidified grouting material for karst pile foundation cavity treatment. Uniform experimental design, stepwise nonlinear regression, response surface analysis, and multi-objective optimization were employed to evaluate the effects of key mix parameters and determine the optimal formulation. The results showed that the optimal slurry was obtained at a cementitious material-to-mudstone ratio of 0.16, an admixture-to-cementitious material ratio of 0.06, a water-to-solid ratio of 0.63, and the slag powder content-to-cementitious materials ratio of 0.34. In addition, the anti-dispersion performance improved by 87.78%, and compared with conventional cement-soil, C25 concrete, and C30 concrete, the CO2 emissions were reduced by 37%, 67.4%, and 68.6%, respectively, with the material cost being 73.8% lower than that of traditional cement mortar. These results indicate that the proposed material has promising engineering applicability and demonstrates significant economic and environmental benefits, as well as the valorization potential of tunnel-excavated mudstone. Full article
(This article belongs to the Topic Solid Waste Recycling in Civil Engineering Materials)
21 pages, 9288 KB  
Article
Mix Proportion Optimization and Fiber Reinforcement Research on an Alkali-Activated GGBS-FA-SF Ternary System
by Xiaoxi Li, Huanbao Liu, Chuanpeng Li, Xigang Wang, Kejie Wang and Xiang Cheng
J. Compos. Sci. 2026, 10(4), 201; https://doi.org/10.3390/jcs10040201 - 9 Apr 2026
Viewed by 289
Abstract
The production of cement is associated with significant CO2 emissions, while the escalating volume of solid waste poses severe environmental challenges. To reduce the dependence on cement and fully utilize solid waste materials to address these challenges, this study prepared alkali-activated concrete [...] Read more.
The production of cement is associated with significant CO2 emissions, while the escalating volume of solid waste poses severe environmental challenges. To reduce the dependence on cement and fully utilize solid waste materials to address these challenges, this study prepared alkali-activated concrete by completely replacing cement with solid waste materials (slag, fly ash, and silica fume). Research was conducted on the optimization of material mix design and fiber reinforcement. From macro–micro perspectives and through advanced characterization methods (SEM, XRD, and TG), the action mechanism of activator concentration and precursor material content on alkali-activated concrete was revealed, as well as the influence law of glass fiber on material properties. Meanwhile, the optimal activator concentration, precursor material content and fiber content were determined. The results show that appropriately increasing the activator concentration and slag proportion can effectively promote the formation of cementitious products, thereby improving the mechanical properties of the material. However, excessive alkalinity will lead to an uncontrolled reaction and adverse effects. The addition of fibers significantly enhances the mechanical properties of the material, especially the flexural strength. When the fiber content is 1.8%, the flexural strength is increased by 45.16%. This work establishes a sustainable pathway for construction materials, while addressing industrial waste management and carbon neutrality goals. Full article
(This article belongs to the Section Composites Manufacturing and Processing)
Show Figures

Figure 1

48 pages, 13934 KB  
Article
Static and Dynamic Properties of Organic Soils Stabilized with Nano-Silica and Sand
by Gaoliang Tao, Ning Yang, Shaoping Huang, Qingsheng Chen and Eihui Guo
Appl. Sci. 2026, 16(7), 3607; https://doi.org/10.3390/app16073607 - 7 Apr 2026
Viewed by 204
Abstract
The stabilization of soft, organic-rich soils with cement is often hindered by retarded hydration and poor long-term performance under cyclic loads. While nano-silica or sand are known modifiers, their individual efficacy in high-organic environments remains limited, and a systematic comparison of their composite [...] Read more.
The stabilization of soft, organic-rich soils with cement is often hindered by retarded hydration and poor long-term performance under cyclic loads. While nano-silica or sand are known modifiers, their individual efficacy in high-organic environments remains limited, and a systematic comparison of their composite effect across different soil types is lacking. This study investigates the synergistic enhancement of cement-stabilized soils using a combined nano-SiO2 and sand composite, comparing its effectiveness in high-organic soft soil and low-organic clay. Laboratory tests, including unconfined compressive strength (UCS), cyclic loading, scanning electron microscopy (SEM), and X-ray diffraction (XRD), were conducted. Results showed a stark contrast in 28-day UCS between unmodified soft soil cement (0.13 MPa) and clay cement (1.04 MPa). The optimal composite of 3.5% nano-SiO2 and 40% sand increased the 28-day UCS to 1.39 MPa for soft soil (a 969% improvement) and 5.51 MPa for clay (a 430% improvement), respectively. Notably, under a cyclic stress ratio (CSR) of 0.7~0.8, unmodified specimens failed after fewer than 120 load cycles, whereas the composite-modified soils withstood 20,000 cycles without failure, demonstrating exceptional fatigue resistance independent of static strength gain. Microstructural analysis revealed that the composite effectively promoted the formation of cementitious hydration products, counteracting the inhibitory effect of organic matter. This research demonstrates that the nano-silica sand composite provides a superior and more broadly applicable improvement for cement-stabilized soils across the tested organic content range (3.3–7.7% LOI) compared to single-additive approaches, significantly enhancing both mechanical strength and long-term durability. Full article
Show Figures

Figure 1

25 pages, 7882 KB  
Article
Optimizing the Composition of Solid Sodium Silicate-Activated Solid Waste-Based Geopolymer Based on the Response Surface Methodology and Its Performance
by Huiyong Zhou, Yanchao Wang, Hua Gao, Wei Guo, Taotao Fan, Chundi Si and Xibao Ma
Materials 2026, 19(7), 1438; https://doi.org/10.3390/ma19071438 - 3 Apr 2026
Viewed by 335
Abstract
Alkali-activated solid waste-based geopolymer represents a novel form of inorganic cementitious material, which is one of the key research directions in the building materials field to achieve the targets of carbon peak and carbon neutrality. Therefore, taking solid waste materials as raw materials [...] Read more.
Alkali-activated solid waste-based geopolymer represents a novel form of inorganic cementitious material, which is one of the key research directions in the building materials field to achieve the targets of carbon peak and carbon neutrality. Therefore, taking solid waste materials as raw materials to prepare the alkali-activated solid waste-based geopolymers with better mechanical properties is of significant importance for expanding the utilization channels of industrial solid waste materials in Hebei Province. In this study, three solid waste materials, slag, iron tailings sand and coal gangue powder, were used as the precursors of geopolymer, and solid sodium silicate was used as the activator to prepare the solid waste-based geopolymer. Response surface methodology was adopted to design the composition of the geopolymer, and the dosages of slag, Na2O and coal gangue powder were taken as design variables, and the compressive strength of the geopolymer at 7 days and 28 days were taken as response variables. The results show that it is feasible to optimize the composition of solid sodium silicate-activated solid waste-based geopolymer (SSG) by using response surface methodology. The error value of the SSG-mortar compressive strength prediction model is below 2.0%. The slag contents exhibit a positive correlation with the compressive strength of SSG-mortar, but the coal gangue powder contents and Na2O contents have a negative correlation. The optimized compositions of SSG-mortar are 20% iron tailings sand, 26% coal gangue powder, 54% slag, and 6.41% Na2O (regulated by 6.23% solid sodium silicate and 6.23% solid NaOH granules), and the corresponding compressive strengths of SSG-mortar at 7 days and 28 days are 37.1 MPa and 44.9 MPa, respectively. In addition, dry shrinkage tests, wet–dry cycling tests, freeze–thaw cycling tests, salt corrosion tests, SEM analysis and XRD analysis were conducted on the SSG-mortar with the optimal composition to evaluate its shrinkage behavior, freeze–thaw resistance, salt corrosion resistance and microstructural strengthening mechanisms. The results show that SSG-mortar has relatively good frost resistance and salt erosion resistance. The mass loss rate value and compressive strength loss rate value of SSG-mortar are 1.67% and 18.7%, respectively, after 100 freeze–thaw cycles. Furthermore, the corrosion resistance coefficient value of SSG-mortar is greater than 92%, and the mass loss rate value is lower than 2.4%. The SEM and XRD test results display that, in an alkaline environment, the interwoven consolidation of hydrated gels (including C-S-H gel, C-A-S-H gel, C-(N)-A-S-H gel and N-A-S-H gel) and the filling effect of solid wastes jointly achieve an improvement in the properties of SSG-mortar. Full article
Show Figures

Figure 1

22 pages, 1570 KB  
Article
Sustainable Rheology of Clay–Cement–Fly Ash Sealing Suspensions Applicable in Hydrotechnical Construction
by Jurij Delihowksi, Paweł Pichniarczyk, Filippo Gobbin, Paolo Colombo and Piotr Izak
Appl. Sci. 2026, 16(7), 3481; https://doi.org/10.3390/app16073481 - 2 Apr 2026
Viewed by 408
Abstract
The development of eco-efficient construction materials requires optimisation strategies that reduce cement consumption, valorise industrial by-products, and enhance performance without increasing material demand. Clay–cement sealing suspensions used in geotechnical engineering offer significant sustainability potential due to their high mineral content and compatibility with [...] Read more.
The development of eco-efficient construction materials requires optimisation strategies that reduce cement consumption, valorise industrial by-products, and enhance performance without increasing material demand. Clay–cement sealing suspensions used in geotechnical engineering offer significant sustainability potential due to their high mineral content and compatibility with supplementary cementitious materials such as siliceous fly ash. The early-age rheological properties are essential for the design of geotechnical sealing barriers, yet the influence of chemical additive sequencing on flow behaviour remains poorly understood. This study examines how the priority of sodium silicate addition—introduced either before cement and siliceous fly ash (the “Prior” series) or after them (the “After” series)—affects the flow curves, yield stress, thixotropy, and equilibrium shear stress of clay–cement–fly ash sealing suspensions. Ascending flow curves were fitted to the Casson, Herschel–Bulkley, and Ostwald–de Waele models, and a shear-rate-resolved thixotropic power density analysis was applied to decompose the hysteresis behaviour. The results demonstrate that the Prior series produces deflocculated colloidal clay networks with localised cementitious agglomerates, exhibiting lower shear stresses at low shear rates but markedly higher yield stress amplitudes and larger hysteresis loop areas. The After series yields more uniformly distributed nucleation–coagulation networks with smaller hysteresis loops and pronounced structural rebuilding at low shear rates during the ramp-down phase. These findings provide a physicochemical framework for tailoring the early-age rheology of clay–cement suspensions through controlled additive sequencing, with direct implications for pumpability, injectability, and post-placement structural recovery in geotechnical applications. Full article
(This article belongs to the Special Issue Eco-Friendly Building Materials Made from Industrial Waste)
Show Figures

Figure 1

24 pages, 3948 KB  
Article
Robust Prediction of Compressive Strength of SCM Concrete with Nested Cross-Validation and Bayesian Optimization
by Ümit Işıkdağ, Gebrail Bekdaş, Sinan Melih Nigdeli, Farnaz Ahadian and Zong Woo Geem
Algorithms 2026, 19(4), 277; https://doi.org/10.3390/a19040277 - 2 Apr 2026
Viewed by 305
Abstract
Concrete production is one of the main sources of CO2 emissions. The primary reason for this is the high clinker content of Portland cement. To mitigate this problem, supplementary cementitious materials (SCMs) such as fly ash, silica fume, Ground granulated blast furnace [...] Read more.
Concrete production is one of the main sources of CO2 emissions. The primary reason for this is the high clinker content of Portland cement. To mitigate this problem, supplementary cementitious materials (SCMs) such as fly ash, silica fume, Ground granulated blast furnace slag (GGBFS), rice husk ash, and natural pozzolans are increasingly being used. These materials are used as partial replacements for cement. SCMs not only reduce the environmental impact of concrete but can also improve its long-term mechanical and durability properties. The aim of this study is to develop a machine learning framework that can accurately predict the compressive strength of concrete containing SCMs. The framework includes the training and evaluation of several machine learning models. Nested cross-validation and Bayesian hyperparameter optimization were used to explore the full capacity of the models and ensure reliable evaluation. Permutation significance testing and learning curve analysis were applied to verify that the models learn meaningful patterns rather than memorize the data. Also, feature importance and SHapley Additive exPlanations analyses were performed and the key variables that influence the prediction of the compressive strength of SCM concrete were identified. The optimized XGBoost model achieved the best generalization performance with a holdout R2 of 0.8398. It confirms the effectiveness of the proposed statistically rigorous machine learning framework for reliable compressive strength prediction of SCM-blended concrete. Full article
Show Figures

Figure 1

21 pages, 5003 KB  
Article
Retarding Effect and Hydration Mechanism of Sodium Polyacrylate on Magnesium Potassium Phosphate Cement
by Yunpeng Cui, Runqing Liu, Yuanquan Yang, Bo Pang and Yihe Wang
Materials 2026, 19(7), 1349; https://doi.org/10.3390/ma19071349 - 28 Mar 2026
Viewed by 341
Abstract
Magnesium phosphate cement (MPC) is a type of rapid-hardening inorganic cementitious material, which has important application value in rapid road repair, solidification of hazardous and radioactive waste, and other fields. However, it suffers from excessively fast setting and hardening and a short working [...] Read more.
Magnesium phosphate cement (MPC) is a type of rapid-hardening inorganic cementitious material, which has important application value in rapid road repair, solidification of hazardous and radioactive waste, and other fields. However, it suffers from excessively fast setting and hardening and a short working time retention, which severely restrict its engineering application. Therefore, the development of high-efficiency set retarders is of great significance for optimizing MPC performance, enhancing its construction workability, and expanding its application scope. In this study, the effect of sodium polyacrylate (PAAS) on the setting and hardening of magnesium potassium phosphate cement (MKPC) was investigated by testing the setting time and fluidity at a low water-to-solid ratio (W/S = 0.18). Through pH and electrical conductivity measurements, combined with XRD, TG/DTG, and FTIR characterizations, we elucidated the retarding mechanism of PAAS on MKPC using a high water-to-solid ratio (W/S = 10). The results indicate that the setting time of MKPC is positively correlated with the PAAS dosage, whereas the fluidity and compressive strength exhibited a negative correlation with the PAAS dosage. Additionally, PAAS reduces the total heat release and the heat release rate of MKPC. The addition of PAAS increased the pH of the suspension, thereby reducing the solubility of MgO, but did not inhibit the dissolution of KH2PO4. The carboxylate groups in PAAS chemically reacted with Mg2+ on the surface of MgO to form magnesium carboxylate complexes (Mg-PAA), which remained as precipitates in the MKPC suspension system, thus reducing the amount of available Mg2+ participating in the hydration reaction. Furthermore, PAAS had no effect on the final precipitate composition at the end of hydration, which was composed of MgKPO4·6H2O and Mg3(PO4)2·22H2O in all cases. Full article
Show Figures

Figure 1

14 pages, 2870 KB  
Article
Cementitious Mortars as Structural Supercapacitors: Role of Zeolite Additives and Moisture Evolution
by Michail Galetakis and Alexandra Gkoutzou
Buildings 2026, 16(7), 1343; https://doi.org/10.3390/buildings16071343 - 27 Mar 2026
Viewed by 345
Abstract
This study aims to investigate the potential for using commercial building materials such as cement and quarry sand for developing functional building components with electrical energy storage capacities. Cubic specimens of cement mortars made from commercial Portland cement and quarry sand were fabricated, [...] Read more.
This study aims to investigate the potential for using commercial building materials such as cement and quarry sand for developing functional building components with electrical energy storage capacities. Cubic specimens of cement mortars made from commercial Portland cement and quarry sand were fabricated, while commercial galvanized mesh, used for mortar reinforcement, was used as electrodes. Moreover, natural zeolites were used as additives to modify mortar electrical properties. Cyclic voltammetry (CV), and electrochemical impedance spectroscopy (EIS) were used to assess the capacity of the fabricated specimens for electrical energy storage. Results indicated that the studied cement mortars modified with natural zeolites behave as a non-ideal electrical double-layer capacitor (EDLC) with stable capacitive behavior over time. This makes these cementitious materials promising for further research in electrical energy storage applications. Full article
(This article belongs to the Special Issue Advanced Composite Materials for Sustainable Construction)
Show Figures

Figure 1

43 pages, 5027 KB  
Review
A Review of the Rheological Properties of 3D-Printed Concrete: Raw Materials, Printing Parameters, and Evolution Mechanisms
by Jianfen Luo, Qidong Wang, Lijia Wang and Mingyue Fang
Buildings 2026, 16(6), 1264; https://doi.org/10.3390/buildings16061264 - 23 Mar 2026
Viewed by 563
Abstract
As a representative digital additive construction material, three-dimensional printed concrete (3DPC) imposes a synergistic rheological requirement on fresh cementitious mixtures, namely “pumpability–extrudability–buildability,” throughout the forming process. Rheological parameters and their temporal evolution not only govern the stability of the material during pumping, nozzle [...] Read more.
As a representative digital additive construction material, three-dimensional printed concrete (3DPC) imposes a synergistic rheological requirement on fresh cementitious mixtures, namely “pumpability–extrudability–buildability,” throughout the forming process. Rheological parameters and their temporal evolution not only govern the stability of the material during pumping, nozzle extrusion, and layer-by-layer deposition, but also directly determine interlayer interfacial integrity, geometric fidelity, and the development of macroscopic mechanical performance. This paper provides a systematic review of the regulation strategies and evolutionary characteristics of 3DPC rheology, with particular emphasis on how raw material composition, printing parameters, and multiscale evolution mechanisms influence yield stress, plastic viscosity, and thixotropic behavior. The time-dependent evolution of rheological properties is elucidated across multiple length scales, encompassing microscopic particle interactions and hydration-induced bridging, mesoscopic aggregate force-chain networks and particle migration, and macroscopic shear stimulation coupled with temperature–humidity effects. On this basis, it is further highlighted that existing models and characterization frameworks remain insufficient to capture the time-dependent structural evolution under realistic printing conditions. Therefore, the establishment of unified characterization standards, together with in situ rheological measurements and multiscale simulations, is urgently required to enable the coordinated optimization of material design and printing processes and to facilitate engineering-scale implementation. Full article
(This article belongs to the Section Building Materials, and Repair & Renovation)
Show Figures

Figure 1

17 pages, 5202 KB  
Article
A Calcined Mg/Al LDHs Strategy for High-Performance Steel Slag Cementitious Composites
by Fuxiang Cui, Zian Tang, Bingyang He, Xiaohuan Jing, Zhaohou Chen, Daqiang Cang, Zhijie Yang and Lingling Zhang
Processes 2026, 14(6), 974; https://doi.org/10.3390/pr14060974 - 18 Mar 2026
Viewed by 213
Abstract
Due to the low hydration activity of steel slag, its mechanical properties are insufficient, which limits its strategic application in steel slag based cementitious composite. In this study, the promoting effect of calcined layered double hydroxide (CLDH) on the hydration process, mechanical properties, [...] Read more.
Due to the low hydration activity of steel slag, its mechanical properties are insufficient, which limits its strategic application in steel slag based cementitious composite. In this study, the promoting effect of calcined layered double hydroxide (CLDH) on the hydration process, mechanical properties, and microstructure of high-volume steel slag cementitious materials was systematically investigated. The results showed that the addition of CLDH significantly optimized the material’s performance. When the mass fraction of steel slag was 70 wt% and the CLDH dosage was 2.0 wt%, the 7-day compressive strength reached 42.5 MPa, indicating an increase of 23.9% compared with the control group. Microscopic characterization suggested that CLDH slightly enhanced the hydration reaction of steel slag and increased the generation of hydration products through the nucleation effect. The addition of CLDH demonstrated a change in the composition of C-(A)-S-H to a higher Al/Ca ratio. Meanwhile, the lamellar structure of CLDH effectively filled the pores and promoted the densification of the matrix. This research provides valuable insights for the high-value utilization of steel slag and the design of high-performance cementitious materials. Full article
Show Figures

Figure 1

Back to TopTop