Sign in to use this feature.

Years

Between: -

Subjects

remove_circle_outline
remove_circle_outline
remove_circle_outline
remove_circle_outline
remove_circle_outline
remove_circle_outline
remove_circle_outline
remove_circle_outline
remove_circle_outline

Journals

remove_circle_outline
remove_circle_outline
remove_circle_outline
remove_circle_outline
remove_circle_outline
remove_circle_outline
remove_circle_outline
remove_circle_outline
remove_circle_outline
remove_circle_outline
remove_circle_outline
remove_circle_outline
remove_circle_outline
remove_circle_outline
remove_circle_outline
remove_circle_outline
remove_circle_outline
remove_circle_outline
remove_circle_outline
remove_circle_outline
remove_circle_outline
remove_circle_outline
remove_circle_outline
remove_circle_outline
remove_circle_outline
remove_circle_outline
remove_circle_outline
remove_circle_outline
remove_circle_outline
remove_circle_outline
remove_circle_outline
remove_circle_outline
remove_circle_outline

Article Types

Countries / Regions

remove_circle_outline
remove_circle_outline
remove_circle_outline
remove_circle_outline
remove_circle_outline
remove_circle_outline
remove_circle_outline
remove_circle_outline
remove_circle_outline

Search Results (10,241)

Search Parameters:
Keywords = cardiovascular disease risk

Order results
Result details
Results per page
Select all
Export citation of selected articles as:
20 pages, 1726 KB  
Review
CILP2: From ECM Component to a Pleiotropic Modulator in Metabolic Dysfunction, Cancer, and Beyond
by Zheqiong Tan, Suotian Liu and Zhongxin Lu
Biomolecules 2026, 16(1), 167; https://doi.org/10.3390/biom16010167 (registering DOI) - 19 Jan 2026
Abstract
Initially characterized as a component of the extracellular matrix (ECM) in cartilage, cartilage intermediate layer protein 2 (CILP2) is now recognized as a pleiotropic secretory protein with far-reaching roles in physiology and disease. This review synthesizes evidence establishing CILP2 as a key modulator [...] Read more.
Initially characterized as a component of the extracellular matrix (ECM) in cartilage, cartilage intermediate layer protein 2 (CILP2) is now recognized as a pleiotropic secretory protein with far-reaching roles in physiology and disease. This review synthesizes evidence establishing CILP2 as a key modulator at the nexus of metabolic dysfunction, cancer, and other pathologies. Genomic studies have firmly established the NCAN-CILP2 locus as a hotspot for genetic variants influencing dyslipidemia and cardiovascular risk. Functionally, CILP2 is upregulated by metabolic stress, including high glucose and oxidatively modified LDL (oxLDL), and actively contributes to pathologies such as dyslipidemia, diabetes, and sarcopenia by impairing glucose metabolism and mitochondrial function. Its role extends to fibrosis and neurodevelopment, promoting hypertrophic scar formation and neurogenesis through interactions with ATP citrate lyase (ACLY) and Wnt3a, respectively. More recently, CILP2 has emerged as an oncoprotein, overexpressed in multiple cancers, including pancreatic ductal adenocarcinoma and colorectal cancer. It drives tumor proliferation and metastasis and correlates with tumor microenvironment remodeling through mechanisms involving Akt/EMT signaling and immune infiltration. The dysregulation of CILP2 in patient serum and its correlation with disease severity and poor prognosis highlight it as a promising biomarker and a compelling therapeutic target across a spectrum of human diseases. Full article
(This article belongs to the Section Biomacromolecules: Proteins, Nucleic Acids and Carbohydrates)
Show Figures

Figure 1

33 pages, 1716 KB  
Review
Non-Coding RNA Profile in the Progression of Carotid Atherosclerosis: A Systematic Review
by Gemma Sardelli, Pasquale Bufano, Rosetta Ragusa, Marco Laurino, Gabriele Masini, Luna Gargani, Danilo Neglia, Raffaele De Caterina and Chiara Caselli
Int. J. Mol. Sci. 2026, 27(2), 1002; https://doi.org/10.3390/ijms27021002 (registering DOI) - 19 Jan 2026
Abstract
Carotid atherosclerosis remains one of the primary etiological factors underlying ischemic stroke, contributing to adult neurological disability and mortality. In recent years, non-coding RNAs (ncRNAs) have emerged as key regulators of gene expression, actively modulating molecular pathways involved in atherogenesis. This systematic review, [...] Read more.
Carotid atherosclerosis remains one of the primary etiological factors underlying ischemic stroke, contributing to adult neurological disability and mortality. In recent years, non-coding RNAs (ncRNAs) have emerged as key regulators of gene expression, actively modulating molecular pathways involved in atherogenesis. This systematic review, the first to be exclusively focused on carotid atherosclerosis, aimed at synthesizing current findings on the differential expression of ncRNAs throughout the natural history of the disease, thus providing the first comprehensive attempt to delineate a stage-specific ncRNA expression profile in carotid disease. A comprehensive literature search was conducted in PubMed and Scopus databases in January 2025, following PRISMA guidelines. Original studies involving human subjects with carotid atherosclerosis, evaluating the expression of intracellular or circulating ncRNAs, were included and then categorized according to their association with cardiovascular risk factors, carotid intima-media thickness (cIMT), presence of atherosclerotic plaques, plaque vulnerability, clinical symptoms, and ischemic stroke. Out of 148 articles initially identified, 49 met the inclusion criteria and were analyzed in depth. Among the different classes of ncRNAs, microRNAs (miRNAs) were the most frequently reported as dysregulated, followed by circular RNAs (circRNAs) and long non-coding RNAs (lncRNAs). Notably, the majority of identified ncRNAs were implicated in key pathogenic mechanisms such as inflammatory signaling, vascular smooth muscle cell (VSMC) phenotypic modulation, and ABCA1-mediated cholesterol efflux. Collectively, the evidence underscores the association and possible involvement of ncRNAs in the initiation and progression of carotid atherosclerosis and its cerebrovascular complications. Their relative stability in biological fluids and cell-specific expression profiles highlight their strong potential as minimally invasive biomarkers and—possibly—novel therapeutic targets. Full article
12 pages, 541 KB  
Article
Impact of Insulin Resistance and Preclinical Atherosclerosis Parameters in Long-Term Prediction of Cardiovascular Events: A Seven-Year Prospective Study
by Daniela Di Lisi, Girolamo Manno, Cristina Madaudo, Francesco Perone, Francesco Leonforte, Antonio Luca Maria Parlati, Andrea Flex, Salvatore Novo, Paolo Tondi, Alfredo Ruggero Galassi and Giuseppina Novo
J. Clin. Med. 2026, 15(2), 808; https://doi.org/10.3390/jcm15020808 (registering DOI) - 19 Jan 2026
Abstract
Background/Objectives: Cardiovascular (CV) and cerebrovascular diseases, primarily attributed to atherosclerosis, stand as leading global causes of morbidity and mortality. This study aims to evaluate the impact of preclinical atherosclerosis parameters, including intima-media thickness (IMT) and arterial stiffness, in a seven-year follow-up of [...] Read more.
Background/Objectives: Cardiovascular (CV) and cerebrovascular diseases, primarily attributed to atherosclerosis, stand as leading global causes of morbidity and mortality. This study aims to evaluate the impact of preclinical atherosclerosis parameters, including intima-media thickness (IMT) and arterial stiffness, in a seven-year follow-up of 100 patients with CV risk factors but no known history of CV or cerebrovascular diseases. Methods: Between April 2014 and December 2015, 100 patients presenting with suspected ischemic heart disease were enrolled. The study integrates the color Doppler examination of the supra-aortic trunks with the evaluation of preclinical parameters of atherosclerosis, such as intima-media thickness (IMT), βeta index, and pulse wave velocity (PWV), as well as echocardiographic evaluations, including global longitudinal strain (GLS). CV risk factors, metabolic syndrome, and insulin resistance were assessed and measured for each patient using the Homeostasis Model Assessment of Insulin Resistance (HOMA-IR). Two- and seven-year follow-ups assessed various CV events. Results: The study population comprised 67% males and 33% females. Metabolic syndrome, impaired fasting glycemia and hypertension were prevalent. The mean value of IMT was 1.21 ± 0.26 mm, and PWV was 8.47 ± 2.14 m/s. The 7-year follow-up identified IMT, PWV, and HOMA-IR as strong positive predictors of cardiovascular events, with PWV emerging as a particularly sensitive indicator of early events. Conclusions: Insulin resistance and cardiovascular risk factors may contribute to early alterations in myocardial and vascular function, even in the absence of overt disease. PWV, as a recognized surrogate marker of arterial stiffness, may serve as a sensitive tool for the early prediction of cardiovascular events. A comprehensive screening, including the assessment of markers indicating subclinical vascular alterations, along with the implementation of preventive interventions, is crucial for populations at risk. Full article
(This article belongs to the Special Issue Cardiovascular Risks in Autoimmune and Inflammatory Diseases)
Show Figures

Figure 1

23 pages, 947 KB  
Article
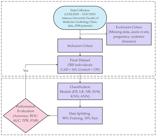
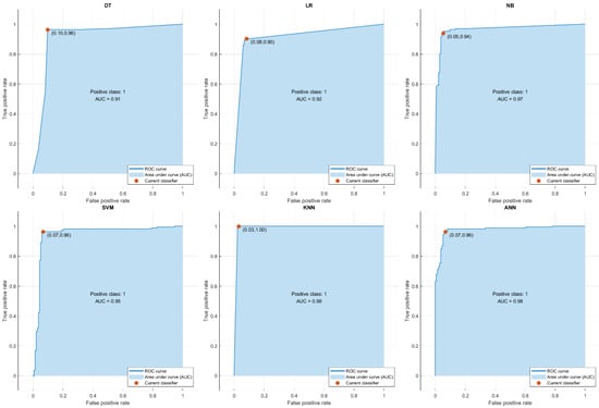
Machine Learning-Based Prediction of Coronary Artery Disease Using Clinical and Behavioral Data: A Comparative Study
by Abdulkadir Çakmak, Gülşah Akyilmaz, Aybike Gizem Köse, Gökhan Keskin and Levent Uğur
Diagnostics 2026, 16(2), 318; https://doi.org/10.3390/diagnostics16020318 - 19 Jan 2026
Abstract
Background and Objectives: Coronary artery disease (CAD) is a leading cause of morbidity and mortality worldwide. An early and accurate diagnosis is essential for effective clinical management and risk stratification. Recent advances in machine learning (ML) have provided opportunities to enhance the diagnostic [...] Read more.
Background and Objectives: Coronary artery disease (CAD) is a leading cause of morbidity and mortality worldwide. An early and accurate diagnosis is essential for effective clinical management and risk stratification. Recent advances in machine learning (ML) have provided opportunities to enhance the diagnostic performance by integrating multidimensional patient data. This study aimed to develop and compare several supervised ML algorithms for early CAD diagnosis using demographic, anthropometric, biochemical, and psychosocial parameters. Materials and Methods: A total of 300 adult patients (165 CAD-positive and 135 controls) were retrospectively analyzed using a dataset comprising 21 biochemical markers, body composition metrics, and self-reported eating behavior scores. Six ML algorithms, k-nearest neighbors (k-NNs), support vector machines (SVMs), artificial neural networks (ANNs), logistic regression (LR), naïve Bayes (NB), and decision trees (DTs), were trained and evaluated using 10-fold cross-validation. Model performance was assessed based on accuracy, sensitivity, false-negative rate, and area under the Receiver Operating Characteristic (ROC) curve (AUC). Results: The k-NN model achieved the highest performance, with 98.33% accuracy and an AUC of 0.99, followed by SVM (96.67%, AUC = 0.95) and ANN (95.33%, AUC = 0.98). Patients with CAD exhibited significantly higher levels of glucose, triglycerides (TGs), LDL cholesterol (LDL-C), and abdominal obesity, while vitamin B12 levels were lower (p < 0.001). Although emotional and mindful eating scores differed significantly between the groups, their contribution to model performance was limited. Conclusions: Machine learning models, particularly k-NN, SVM, and ANN, have demonstrated high accuracy in distinguishing CAD patients from healthy controls when applied to a diverse set of clinical and behavioral variables. This study highlights the potential of integrating psychosocial and clinical data to enhance CAD prediction models beyond traditional biomarkers. Full article
Show Figures

Figure 1

18 pages, 3557 KB  
Article
Longitudinal Landscape of Long Flu and Long COVID
by Ming Zheng
COVID 2026, 6(1), 21; https://doi.org/10.3390/covid6010021 - 18 Jan 2026
Abstract
Influenza is typically framed as an acute respiratory infection, yet accumulating evidence suggests that—like SARS-CoV-2—it may trigger persistent, multi-organ morbidity consistent with a post-acute infection syndrome (“long flu”). Leveraging the nationwide FinnGen registry infrastructure, we conducted a temporally stratified disease-wide association study (DWAS) [...] Read more.
Influenza is typically framed as an acute respiratory infection, yet accumulating evidence suggests that—like SARS-CoV-2—it may trigger persistent, multi-organ morbidity consistent with a post-acute infection syndrome (“long flu”). Leveraging the nationwide FinnGen registry infrastructure, we conducted a temporally stratified disease-wide association study (DWAS) to map antecedent risk factors and long-term sequelae following clinically diagnosed influenza and COVID-19. We assembled an exposed cohort comprising 9204 individuals with influenza (ICD-10 J09–J11) and 4,258 individuals with COVID-19 (ICD-10 U072) recorded in specialist inpatient/outpatient care between 1998 and 2021, and an unexposed comparator cohort of 420,005 individuals with no recorded influenza or pneumonia (J09–J18) across their available medical history. Across harmonized clinical endpoints, we fitted age- and sex-adjusted Cox proportional hazards models and controlled for multiple testing using a stringent false discovery rate threshold (FDR-adjusted p<0.001), further interrogating temporal persistence within 1-, 5-, and 15-year windows. The DWAS revealed that both infections are associated with broad, system-spanning disease signatures extending beyond the respiratory tract, including circulatory, neurological, metabolic, musculoskeletal, digestive, mental/behavioural, ocular, and oncologic endpoints. Predisposition analyses demonstrated that infection risk is concentrated in individuals with substantial pre-existing multimorbidity, most prominently cardiovascular disease, alongside cardiometabolic, respiratory, renal, neuropsychiatric, and inflammatory conditions. Post-infection analyses identified a durable burden of incident multi-system morbidity after influenza, with particularly robust and persistent cardiovascular and neurological signatures—encompassing thromboembolic disease and major adverse cardiovascular outcomes, as well as migraine, neurodegenerative disorders, and depression—together with metabolic and renal sequelae that, in subsets, extended across multi-year horizons. Collectively, these longitudinal findings reframe influenza as a systemic event embedded within a chronic disease continuum, motivate recognition of “long flu” as a clinically meaningful post-viral risk landscape, and support intensified prevention and risk-stratified surveillance strategies alongside analogous efforts for long COVID. Full article
(This article belongs to the Special Issue Post-Acute Infection Syndromes: Lessons from Long COVID and Long Flu)
19 pages, 842 KB  
Review
Diagnostic, Prognostic and Therapeutic Utility of MicroRNA-21 in Ischemic Heart Disease
by Boris Burnjaković, Marko Atanasković, Marko Baralić, Aladin Altić, Emil Nikolov, Anastasija Ilić, Aleksandar Sič, Verica Stanković Popović, Ana Bontić, Selena Gajić and Sanja Stankovic
Int. J. Mol. Sci. 2026, 27(2), 954; https://doi.org/10.3390/ijms27020954 (registering DOI) - 18 Jan 2026
Abstract
Ischemic heart disease (IHD) remains a leading cause of global morbidity and mortality despite advances in prevention, diagnosis, and therapy. Traditional clinical risk scores and biomarkers often fail to fully capture the complex molecular processes underlying atherosclerosis, myocardial infarction, and ischemic cardiomyopathy, leaving [...] Read more.
Ischemic heart disease (IHD) remains a leading cause of global morbidity and mortality despite advances in prevention, diagnosis, and therapy. Traditional clinical risk scores and biomarkers often fail to fully capture the complex molecular processes underlying atherosclerosis, myocardial infarction, and ischemic cardiomyopathy, leaving substantial residual risk. MicroRNAs have emerged as promising regulators and biomarkers of cardiovascular disease, among which microRNA-21 (miR-21) has attracted particular attention. MiR-21 is deeply involved in key pathophysiological mechanisms of IHD, including endothelial dysfunction, vascular inflammation, vascular smooth muscle cell proliferation, plaque development and vulnerability, cardiomyocyte survival, and myocardial fibrosis. Accumulating clinical evidence suggests that circulating miR-21 holds diagnostic value across the ischemic continuum, from stable coronary artery disease to acute coronary syndromes, myocardial infarction, and ischemic heart failure. Moreover, miR-21 demonstrates prognostic relevance, correlating with plaque instability, adverse remodeling, heart failure progression, and long-term cardiovascular outcomes. Preclinical studies further indicate that miR-21 represents a double-edged therapeutic target, offering cardio protection in acute ischemic injury while contributing to fibrosis and maladaptive remodeling if dysregulated. This narrative review summarizes current evidence on the diagnostic, prognostic, and therapeutic utility of miR-21 in IHD, highlighting its clinical promise as well as key limitations and future translational challenges. Full article
15 pages, 267 KB  
Review
Breast Cancer and Cardiovascular Risk: The Role of Dyslipidemia, Inflammation and Obesity
by Barbara Loboda, Darko Zdravkovic, Nebojsa Ivanovic, Natasa Colakovic, Simona Petricevic, Milan Gojgic, Bogdan Crnokrak, Vladimir Milosavljevic, Viseslav Popadic, Dragana Bjelica, Visnja Stojanovic and Marija Zdravković
Diagnostics 2026, 16(2), 308; https://doi.org/10.3390/diagnostics16020308 - 18 Jan 2026
Abstract
Cardiovascular diseases, malignancy, and diabetes mellitus are the most common chronic non-communicable diseases affecting the population in Serbia. According to The Cancer Registry of the Republic of Serbia, breast cancer is the most common cancer affecting women in Serbia. Every year, 4600 women [...] Read more.
Cardiovascular diseases, malignancy, and diabetes mellitus are the most common chronic non-communicable diseases affecting the population in Serbia. According to The Cancer Registry of the Republic of Serbia, breast cancer is the most common cancer affecting women in Serbia. Every year, 4600 women get diagnosed with BC, and 1600 women die from this disease. Every eighth woman in Serbia is diagnosed with BC. This review aims to summarize clinical and theoretical information about breast cancer, metabolic syndrome and cardiovascular risk connection. The literature search was conducted through PubMed, Google Scholar and cross-references in January 2024. We concluded that although there is a well-established connection between cardiovascular risk, metabolic syndrome, inflammation, dyslipidemia, obesity, diabetes mellitus and breast cancer, more multicenter prospective clinical studies are needed to establish the precise association and pathophysiological mechanisms. Full article
(This article belongs to the Special Issue Advances in the Diagnosis and Management of Breast Cancer)
18 pages, 768 KB  
Review
The Role of the NF-κB Signaling Pathway in Atherosclerotic Plaque Rupture and Targeted Therapeutic Strategies
by Lihui Yin, Xuehua Wang, Ni Xiong, Jinjie Xiong, Qianyi Liu, Han Li, Yanling Huang, Jiaxi Lv, Yan Wang and Zhaohui Wang
Biomedicines 2026, 14(1), 201; https://doi.org/10.3390/biomedicines14010201 - 16 Jan 2026
Viewed by 85
Abstract
Atherosclerosis (AS) is a disease characterized by chronic vascular wall inflammation and lipid deposition. Although lipid-lowering drugs such as statins have significantly reduced cardiovascular event rates, “residual inflammatory risk” remains a key factor driving disease progression and plaque rupture. As a central regulator [...] Read more.
Atherosclerosis (AS) is a disease characterized by chronic vascular wall inflammation and lipid deposition. Although lipid-lowering drugs such as statins have significantly reduced cardiovascular event rates, “residual inflammatory risk” remains a key factor driving disease progression and plaque rupture. As a central regulator of the inflammatory response, the nuclear factor-κappaB (NF-κB) signaling network comprises both canonical pro-inflammatory pathways and functionally more complex non-canonical pathways. Increasing evidence in recent years indicates that abnormal and sustained activation of the non-canonical NF-κB signaling pathway plays a pivotal role in driving plaque rupture. This review first elaborates on the shift in AS strategies from “lipid-lowering” to “anti-inflammatory” approaches, followed by an in-depth analysis of the molecular activation mechanisms of the NF-κB signaling pathway and its distinctiveness in the AS pathological process, along with its epigenetic regulation. It emphasizes how this pathway drives pathological angiogenesis and regulates vascular smooth muscle cell (VSMC) phenotypic switching and macrophage function, thereby forming a vicious cycle that amplifies inflammation and structural damage, ultimately leading to acute cardiovascular events. Finally, we systematically summarize current progress and challenges in drug development targeting the NF-κB pathway (e.g., targeting key kinases like NIK and IKKα), aiming to provide theoretical foundations and future directions for novel therapeutic strategies to stabilize coronary plaques and prevent acute coronary syndromes. Full article
Show Figures

Figure 1

20 pages, 963 KB  
Review
Angiopoietin-like Protein 3 (ANGPTL3) Targeting in the Management of Dyslipidemias
by Constantine E. Kosmas, Loukianos S. Rallidis, Ioannis Hoursalas, Evangelia J. Papakonstantinou and Christina E. Kostara
Int. J. Mol. Sci. 2026, 27(2), 921; https://doi.org/10.3390/ijms27020921 - 16 Jan 2026
Viewed by 103
Abstract
Cardiovascular disease (CVD) remains the leading cause of morbidity and mortality, despite advances in pharmacological prevention and treatment. The burden of CVD necessitates implementing the treatment of risk factors including dyslipidemia. Pharmaceutical advancements and in depth understanding of pathophysiology have enabled innovative therapies [...] Read more.
Cardiovascular disease (CVD) remains the leading cause of morbidity and mortality, despite advances in pharmacological prevention and treatment. The burden of CVD necessitates implementing the treatment of risk factors including dyslipidemia. Pharmaceutical advancements and in depth understanding of pathophysiology have enabled innovative therapies targeting pathways underlying lipoprotein metabolism disorders. Angiopoietin protein-like 3 (ANGPTL3) plays a crucial role in the regulation of lipoprotein metabolism, therefore being a potential therapeutic target. Inhibition of ANGPTL3 has emerged as a new therapeutic strategy to reduce LDL-cholesterol levels independent of the LDL receptor function. Therapeutic approaches for ANGPTL3 inhibition range from monoclonal antibodies to nucleic acid therapeutics including antisense oligonucleotides and small interfering RNAs. In this review, we briefly explain the structure and mechanism of action of ANGPTL3 and discuss the therapeutic approaches for targeting ANGPTL3 in the clinical setting. We also discuss Evinacumab, a monoclonal antibody, its structure, mechanism of action, safety, tolerability, pharmacokinetics, and pharmacodynamics, as well as its clinical trial-derived results. The antisense oligonucleotides modify ANGPTL3 mRNA to inhibit protein production, and small interfering RNAs induce mRNA degradation; results from clinical trials were reviewed in detail. Finally, we discuss promising gene editing approaches including clustered regularly interspaced short palindromic repeats (CRISPR)/Cas systems. Full article
(This article belongs to the Section Molecular Pathology, Diagnostics, and Therapeutics)
Show Figures

Figure 1

26 pages, 2278 KB  
Review
Molecular Mechanisms of Lignans in Lowering Blood Pressure and Anti-Obesity Effects: A Review
by Gitishree Das, Sandra Gonçalves, José Basilio Heredia, Nayely Leyva-López, Anabela Romano, Spiros Paramithiotis, Han-Seung Shin and Jayanta Kumar Patra
Foods 2026, 15(2), 336; https://doi.org/10.3390/foods15020336 - 16 Jan 2026
Viewed by 115
Abstract
Lignans are naturally occurring compounds found in a wide variety of plant species, including flaxseed, soybean, pumpkin seed, broccoli, sesame seed, and some berries. Lignans have been used for centuries in both food and traditional herbal medicine. Recently, numerous new lignans and lignan [...] Read more.
Lignans are naturally occurring compounds found in a wide variety of plant species, including flaxseed, soybean, pumpkin seed, broccoli, sesame seed, and some berries. Lignans have been used for centuries in both food and traditional herbal medicine. Recently, numerous new lignans and lignan derivatives with diverse biological properties have been identified. Lignans are considered promising for human health due to their hydrogen-donating antioxidant activity together with their ability to complex divalent transition metal cations. They have demonstrated beneficial effects for cardiovascular disease, as well as in maintaining blood glucose levels, supporting cardiac health, promoting anti-obesity effects, decreasing the risk of renal diseases, enhancing brain function, improving skin and gut health, among others. This review explores the biosynthesis and biological effects of lignans, with a particular focus on their antihypertensive and anti-obesity properties, as well as the molecular mechanisms involved. It also highlights recent advances in sustainable lignan extraction techniques that are suitable for human use. The mechanisms underlying these bioactivities are thought to involve hormonal metabolism and availability, antioxidant action, modulation of angiogenesis, and more. However, further research is needed to fully elucidate the molecular pathways through which lignans exert their therapeutic effects. Overall, lignans from various plant sources hold significant potential for application in functional foods, dietary supplements, and pharmaceutical products aimed at preventing and managing a range of health conditions, including hypertension and obesity. Full article
Show Figures

Figure 1

16 pages, 2087 KB  
Review
Transcranial Color Doppler for Assessing Cerebral Venous Outflow in Critically Ill and Surgical Patients
by Amedeo Bianchini, Giovanni Vitale, Gabriele Melegari, Matteo Cescon, Matteo Ravaioli, Elena Zangheri, Maria Francesca Scuppa, Stefano Tigano and Antonio Siniscalchi
Diagnostics 2026, 16(2), 289; https://doi.org/10.3390/diagnostics16020289 - 16 Jan 2026
Viewed by 81
Abstract
In recent years, Transcranial Color Doppler (TCCD) has gained increasing recognition as a non-invasive neuromonitoring tool. However, there remains a strong tendency to view arterial TCCD as the ‘stethoscope for the brain,’ while the assessment of cerebral venous flow is still underrepresented in [...] Read more.
In recent years, Transcranial Color Doppler (TCCD) has gained increasing recognition as a non-invasive neuromonitoring tool. However, there remains a strong tendency to view arterial TCCD as the ‘stethoscope for the brain,’ while the assessment of cerebral venous flow is still underrepresented in clinical protocols. This review aims to explore the emerging role of venous TCCD, particularly when combined with Internal Jugular Vein (IJV) ultrasound, in evaluating cerebral venous outflow in both critically ill and surgical patients. We conducted a narrative review of e-Pub articles from PubMed, MEDLINE, and Scopus, on the pathophysiological factors that impair cerebral venous drainage and their clinical implications in surgical and critical care settings. Based on this evidence, we developed two procedural algorithms that integrate established knowledge of cerebral venous hemodynamics with common clinical conditions affecting venous outflow, including internal jugular central venous catheter placement, mechanical ventilation, and pneumoperitoneum. The algorithms emphasize systematic monitoring of cerebral venous drainage, including assessment of internal jugular vein morphology and Rosenthal’s vein flow, to guide procedural optimization and minimize potential neurological complications. They were informed by validated frameworks, such as the RaCeVa protocol, and are illustrated through two representative clinical case scenarios. Cerebral venous congestion can be induced by multiple established risk factors, including mechanical ventilation, cardiovascular disease, elevated intra-abdominal pressure, the Trendelenburg position, and central venous catheterization. In selected patients, real-time venous TCCD monitoring, combined with IJV assessment, allows early detection of cerebral venous outflow impairment and guides timely hemodynamic and procedural adjustments in both surgical settings and critical care contexts. Venous TCCD neuromonitoring may help prevent intracranial hypertension and its consequent neurological complications. It can guide clinical decisions during procedures that may compromise cerebral venous drainage, such as mechanical ventilation, the placement of large-bore central venous catheters, or laparoscopic and robot-assisted surgeries. Further studies are warranted to validate this strategy and better define its role in specific high-risk clinical scenarios. Full article
(This article belongs to the Section Medical Imaging and Theranostics)
Show Figures

Figure 1

10 pages, 212 KB  
Article
Preoperative Anemia and Coronary Artery Disease as Predictors of Major Adverse Cardiac Events After Open Abdominal Aortic Surgery
by Jovan Petrovic, Slobodan Pesic, Natasa Davidovac, Djurdjija Jelicic, Smiljana Stojanovic, Mihailo Neskovic, Bojan Vucurevic, Petar Dabic, Petar Otasevic, Dragana Unic-Stojanovic, Slobodan Tanaskovic and Milovan Bojic
J. Clin. Med. 2026, 15(2), 738; https://doi.org/10.3390/jcm15020738 - 16 Jan 2026
Viewed by 60
Abstract
Background/Objectives: Coronary artery disease (CAD) is highly prevalent in patients undergoing vascular surgery and is a major determinant of postoperative morbidity and mortality. Preoperative anemia is a well-recognized risk factor for adverse outcomes, including major adverse cardiac events (MACEs), but its independent [...] Read more.
Background/Objectives: Coronary artery disease (CAD) is highly prevalent in patients undergoing vascular surgery and is a major determinant of postoperative morbidity and mortality. Preoperative anemia is a well-recognized risk factor for adverse outcomes, including major adverse cardiac events (MACEs), but its independent impact in patients with CAD undergoing abdominal aortic aneurysm (AAA) repair remains unclear. Methods: We conducted a retrospective cohort study of 410 consecutive patients undergoing open AAA repair at a tertiary vascular center between 2023 and 2025. Preoperative anemia was defined as hemoglobin < 130 g/L and significant CAD as ≥70% luminal narrowing for non-left main disease or ≥50% for left main disease. The primary outcome was MACE (cardiovascular death, myocardial infarction, or stroke) during hospitalization. Baseline covariates included age, sex, diabetes mellitus (DM), chronic kidney disease (CKD), congestive heart failure (CHF), peripheral artery disease (PAD), and other relevant comorbidities. Multivariable logistic regression models were used to evaluate associations of anemia, CAD, and their interaction with MACE. Additionally, a composite risk group was created to examine MACE rates across mutually exclusive subgroups. Results: Among 410 patients, 314 (76.6%) had CAD and 116 (28.3%) had preoperative anemia. Overall, 67 patients (16.3%) experienced MACE. In the reduced model including only anemia and CAD, anemia remained a strong independent predictor of a MACE (OR 4.46, 95% CI 2.57–7.72, p < 0.001), and CAD was also independently associated (OR 2.20, 95% CI 1.00–4.72, p = 0.044). In the full multivariable model adjusting for DM, CHF, CKD, PAD, and age, anemia was the strongest predictor (OR 4.53, 95% CI 2.49–8.26, p < 0.001), while CAD showed a borderline association (OR 2.07, 95% CI 0.94–4.57, p = 0.071). Interaction analysis indicated no statistically significant modification in risk by the combination of anemia and CAD. The composite risk group variable was omitted due to collinearity with its components. Conclusions: Preoperative anemia, particularly in patients with CAD, is a significant and independent predictor of major adverse cardiac events following open AAA repair. These findings support the importance of early identification and correction of anemia before surgery to improve perioperative cardiac outcomes in this high-risk population. Full article
(This article belongs to the Special Issue Aortic Aneurysms: Recent Advances in Diagnosis and Treatment)
13 pages, 693 KB  
Article
Adherence to the Mediterranean Diet Is a Strong Predictor of Glycemic and Lipidemic Control in Adults with Type 2 Diabetes: An Observational Study from a Tertiary Hospital in Greece
by Aristeidis Vavitis, Ioanna A. Anastasiou, Dimitris Kounatidis, Eleni Rebelos and Nikolaos Tentolouris
Nutrients 2026, 18(2), 285; https://doi.org/10.3390/nu18020285 - 16 Jan 2026
Viewed by 162
Abstract
Background/Objectives: Type 2 diabetes (T2D) is a chronic metabolic disorder closely linked to cardiovascular disease and obesity and notably influenced by lifestyle and dietary patterns. The Mediterranean diet has well-established benefits across multiple cardiometabolic risk factors, including those relevant to diabetes. This [...] Read more.
Background/Objectives: Type 2 diabetes (T2D) is a chronic metabolic disorder closely linked to cardiovascular disease and obesity and notably influenced by lifestyle and dietary patterns. The Mediterranean diet has well-established benefits across multiple cardiometabolic risk factors, including those relevant to diabetes. This study aimed to investigate the degree to which adults with T2D adhere to a Mediterranean dietary pattern and to examine how such adherence relates to glycemic and lipidemic regulation. Methods: This cross-sectional study included 100 adults with T2D (54 men and 46 women). Adherence to the Mediterranean diet was assessed using the Mediterranean Diet Score (MDS). Demographic, anthropometric, lifestyle, and clinical data were collected, and glycemic and lipid parameters were analyzed. Associations between Mediterranean diet adherence and metabolic outcomes were examined using correlation analyses and multivariable regression models adjusted for relevant confounders. Results: Most participants showed low adherence to the Mediterranean diet. A significant inverse association was observed between Mediterranean diet adherence and hemoglobin A1c (HbA1c) levels, with individuals scoring ≤35 on the MDS demonstrating higher HbA1c levels. Similar trends were observed in the lowest tertile of adherence. Notably, each one-point increase in MDS predicted a 0.13% reduction in HbA1c. In multivariable regression analyses, Mediterranean diet adherence remained the strongest predictor of glycemic control, independent of age, body mass index (BMI), sex, smoking status, physical activity and the number of antidiabetic treatments. Higher adherence was also significantly associated with lower low-density lipoprotein cholesterol (LDL-C) and triglyceride (TG) levels, as well as higher high-density lipoprotein cholesterol (HDL) concentrations. Conclusions: Greater adherence to the Mediterranean diet is independently associated with improved glycemic regulation and a more favorable lipid profile in adults with T2D. These findings support the Mediterranean diet as a valuable non-pharmacologic strategy for optimizing metabolic outcomes in people with T2D. Full article
(This article belongs to the Section Nutrition and Diabetes)
Show Figures

Figure 1

48 pages, 1752 KB  
Review
The Natural History of Prediabetes and Cardiovascular Disease in the Pediatric Population
by Siham Accacha, Julia Barillas-Cerritos, Liana Gabriel, Ankita Srivastava, Shelly Gulkarov, Jennifer A. Apsan, Joshua De Leon and Allison B. Reiss
Biomedicines 2026, 14(1), 198; https://doi.org/10.3390/biomedicines14010198 - 16 Jan 2026
Viewed by 319
Abstract
The prevalence and incidence of prediabetes in children and youth continue to increase in parallel with the obesity epidemic. While prediabetes is defined by elevated HbA1c and/or impaired glucose tolerance (IGT) and/or impaired fasting glucose (IFG), the risk of clinical disease is a [...] Read more.
The prevalence and incidence of prediabetes in children and youth continue to increase in parallel with the obesity epidemic. While prediabetes is defined by elevated HbA1c and/or impaired glucose tolerance (IGT) and/or impaired fasting glucose (IFG), the risk of clinical disease is a continuum. Individuals with prediabetes are at a higher risk of developing youth-onset type 2 diabetes, which is considered a more aggressive form of the disease. This condition is associated with increased cardiovascular and metabolic risks and leads to an earlier onset of complications compared to adults with type 2 diabetes. Additionally, significant damage to beta cells may occur even before dysglycemia develops. Recent data indicate that mortality rates are higher in youths with type 2 diabetes compared to those with type 1 diabetes. Childhood prediabetes and cardiovascular complications associated with it are a significant health concern. This review provides the latest insights into this complex issue. We will present an overview of pathophysiology, screening methods, and therapeutic options to prevent the progression from prediabetes to type 2 diabetes in children. In summary, it is crucial to identify prediabetes in children, as this underscores the importance of appropriate screening and timely intervention. Full article
(This article belongs to the Special Issue Recent Advances in Endocrine Disease and Atherosclerosis)
Show Figures

Figure 1

16 pages, 358 KB  
Article
Multimodal Evaluation of Body Composition and Muscle Strength in Women Before and After Bariatric Surgery: A Clinical Observational Study
by Paulo Cesar Grippa, Karina Quesada, Gabriella de Oliveira Barboza, Maria Eduarda Garcia Marvulle, Daniele Candido, Nathália Mendes Machado, Lucas Fornari Laurindo, Adriano Cressoni Araújo, Enzo Pereira de Lima, Elen Landgraf Guiguer, Marcelo Dib Bechara, Cláudia Rucco Penteado Detregiachi, Eduardo Federighi Baisi Chagas and Sandra Maria Barbalho
Medicina 2026, 62(1), 182; https://doi.org/10.3390/medicina62010182 - 16 Jan 2026
Viewed by 165
Abstract
Background and Objectives: Obesity has been increasing sharply worldwide and is related to diabetes, cardiovascular diseases, liver disease, and cancer. Sleeve gastrectomy is the most used surgical approach to reduce body weight and treat metabolic implications observed in patients with moderate-to-severe obesity. [...] Read more.
Background and Objectives: Obesity has been increasing sharply worldwide and is related to diabetes, cardiovascular diseases, liver disease, and cancer. Sleeve gastrectomy is the most used surgical approach to reduce body weight and treat metabolic implications observed in patients with moderate-to-severe obesity. On the other hand, this procedure affects the musculoskeletal system, and investigating skeletal muscle is not routinely recommended for bariatric surgery. This study aimed to evaluate the psoas muscle in patients in the preoperative period of sleeve gastrectomy and six months after the procedure using abdominal computed tomography scans. Materials and Methods: This clinical, exploratory, and observational study, with a prospective longitudinal observational study design, was conducted at a single center with 31 women who underwent sleeve gastrectomy. The evaluations were performed before and after six months of the procedures. Results: Anthropometric, muscle strength, hepatic ultrasound, and psoas computerized tomography evaluations were performed. A significant reduction in body weight, body mass index, waist, neck, and calf circumference was observed. There was also a substantial reduction in right-hand strength and the area and index of the psoas muscle (but with an increase in density). Most presented a routine abdominal ultrasound. Conclusions: Our results suggest that muscle evaluation provides valuable information for clinical monitoring before and after bariatric surgery, helping to identify potential risks and guide multidisciplinary follow-up. Psoas muscle area and psoas muscle index decreased, but psoas muscle density increased, all significantly. These results indicate that conducting a muscle evaluation is helpful for patients undergoing bariatric surgery, supporting the use of the clinical approach before and after the procedure, predicting possible complications, and providing more accurate prognoses. Full article
Back to TopTop