Sign in to use this feature.

Years

Between: -

Subjects

remove_circle_outline
remove_circle_outline
remove_circle_outline
remove_circle_outline
remove_circle_outline
remove_circle_outline
remove_circle_outline
remove_circle_outline
remove_circle_outline

Journals

Article Types

Countries / Regions

Search Results (56)

Search Parameters:
Keywords = cant measurement

Order results
Result details
Results per page
Select all
Export citation of selected articles as:
16 pages, 11136 KB  
Article
Hybrid Fe3O4-Gd2O3 Nanoparticles Prepared by High-Energy Ball Milling for Dual-Contrast Agent Applications
by Vladislav A. Mikheev, Timur R. Nizamov, Alexander I. Novikov, Maxim A. Abakumov, Alexey S. Lileev and Igor V. Shchetinin
Int. J. Mol. Sci. 2026, 27(2), 910; https://doi.org/10.3390/ijms27020910 - 16 Jan 2026
Viewed by 124
Abstract
This work investigates the feasibility of synthesis hybrid x Gd2O3 + (100 − x) Fe3O4 nanoparticles using the scalable method of high-energy ball milling for dual-contrast magnetic resonance imaging applications. Comprehensive studies of the structure, magnetic and [...] Read more.
This work investigates the feasibility of synthesis hybrid x Gd2O3 + (100 − x) Fe3O4 nanoparticles using the scalable method of high-energy ball milling for dual-contrast magnetic resonance imaging applications. Comprehensive studies of the structure, magnetic and functional properties of the hybrid nanoparticles were conducted. It was found that the milling process initiates the transformation of the cubic phase c-Gd2O3 (Ia3¯) into the monoclinic m-Gd2O3 (C2/m). Measurements of the magnetic properties showed that the specific saturation magnetization of the Fe3O4 phase is substantially reduced, which is a characteristic feature of nanoparticles due to phenomena such as surface spin disorder and spin-canting effects. The transmission electron microscopy results confirm the formation of hybrid Fe3O4-Gd2O3 nanostructures and the measured particle sizes show good correlation with the X-ray diffraction results. A comprehensive structure–property relationship study revealed that the obtained hybrid nanoparticles exhibit high r2 values, reaching 160 mM−1s−1 and low r1 values, a characteristic that is determined primarily by the presence of a large fraction of Gd2O3 particles with sizes of ≈30 nm and Fe3O4 crystallites of ≈10 nm. Full article
Show Figures

Figure 1

24 pages, 3961 KB  
Article
A Novel Measurement-Based Computational Method for Real-Time Distribution of Lateral Wheel–Rail Contact Forces
by Nihat Bulduk and Muzaffer Metin
Machines 2025, 13(12), 1105; https://doi.org/10.3390/machines13121105 - 28 Nov 2025
Viewed by 543
Abstract
This study has developed a novel measurement-based computational method that accurately determines the vertical and lateral wheel–rail contact forces transmitted from railway vehicles to the rails. A major contribution—and the first in the literature—is the analytical distribution of the total lateral wheelset force [...] Read more.
This study has developed a novel measurement-based computational method that accurately determines the vertical and lateral wheel–rail contact forces transmitted from railway vehicles to the rails. A major contribution—and the first in the literature—is the analytical distribution of the total lateral wheelset force into its outer-wheel and inner-wheel components, thereby enabling precise individual evaluation of derailment risk on each wheel in curved tracks. Analytical equations derived from Newton’s second law were first formulated to express both vertical forces and total axle lateral force directly from bogie/axle-box accelerations and suspension reactions. To eliminate the deviations caused by conventional simplifying assumptions (neglect of creep effects, wheel diameter variation, and constant contact geometry), surrogate functions and distribution equations sensitive to curve radius, vehicle speed, and cant deficiency were introduced for the first time and seamlessly integrated into the equations. Validation was performed using the Istanbul Tramway multibody model in SIMPACK 2024x.2, with the equations implemented in MATLAB/Simulink R2024b. Excellent agreement with SIMPACK reference results was achieved on straight tracks and curves, after regression-based calibration of the surrogate functions. Although the method requires an initial regression calibration within a simulation environment, it relies exclusively on measurable parameters, ensuring low cost, full compatibility with existing vehicle sensors, and genuine suitability for real-time monitoring. Consequently, it supports predictive maintenance and proactive safety management while overcoming the practical limitations of instrumented wheelsets and offering a robust, fleet-scalable alternative for the railway industry. Full article
(This article belongs to the Special Issue Research and Application of Rail Vehicle Technology)
Show Figures

Figure 1

18 pages, 1269 KB  
Article
Correlation Between Volumetric Soft Tissue Asymmetry and Postero-Anterior Cephalometric Measurements in Patients with Skeletal Facial Asymmetry: A Cross-Sectional Pilot Study
by Saki Tanaka, Yudai Shimpo, Hiromi Sato, Toshiko Sekiya, Shotaro Ueda, Chihiro Kariya, Takashi Oikawa and Hiroshi Tomonari
J. Clin. Med. 2025, 14(19), 6721; https://doi.org/10.3390/jcm14196721 - 23 Sep 2025
Viewed by 949
Abstract
Background/Objectives: While skeletal facial asymmetry is commonly assessed using posteroanterior (PA) cephalometric radiographs, the association between skeletal measurements and volumetric soft tissue asymmetry remains unclear. This study aimed to identify which skeletal parameters are most strongly correlated with soft tissue asymmetry measured using [...] Read more.
Background/Objectives: While skeletal facial asymmetry is commonly assessed using posteroanterior (PA) cephalometric radiographs, the association between skeletal measurements and volumetric soft tissue asymmetry remains unclear. This study aimed to identify which skeletal parameters are most strongly correlated with soft tissue asymmetry measured using three-dimensional (3D) imaging. Methods: Thirty-three Japanese patients (8 males and 25 females; mean age: 26.85 ± 12.13 years) undergoing orthodontic–orthognathic treatment were included. Three-dimensional facial surface data were acquired using the VECTRA® H1 imaging system. Soft tissue asymmetry was quantified by calculating the volumetric difference between the original and mirrored 3D facial images, divided into three regions: whole face, midface, and lower face. PA cephalometric radiographs were traced, and 28 skeletal variables were measured. Pearson correlation coefficients were calculated between skeletal variables and asymmetry volumes and squared to obtain R2 values. Results: The strongest correlation with whole facial soft tissue asymmetry was found for menton deviation from the midline (R2 = 0.630). Similar trends were observed for the lower face. In contrast, only one skeletal variable showed a moderate correlation with midfacial asymmetry (maximum R2 = 0.186), and skeletal parameters related to maxillary occlusal cant did not show significant associations. Conclusions: Volumetric soft tissue asymmetry is strongly associated with mandibular skeletal deviation, particularly menton displacement, whereas midfacial skeletal morphology may have a limited impact. Further studies including more patients with pronounced midfacial soft tissue asymmetry are warranted. Full article
(This article belongs to the Special Issue Orthodontics: State of the Art and Perspectives)
Show Figures

Figure 1

19 pages, 11321 KB  
Article
Uncovering the Mechanisms of Long-Range Magnetic Order in [Mn(mal)(H2O)]n: Insights from Microscopic and Macroscopic Magnetic Analysis
by Fernando S. Delgado, Laura Cañadillas-Delgado, Juan Rodríguez-Carvajal, Óscar Fabelo and Jorge Pasán
Magnetochemistry 2024, 10(12), 109; https://doi.org/10.3390/magnetochemistry10120109 - 20 Dec 2024
Cited by 2 | Viewed by 1583
Abstract
In this study, we investigate the magnetic properties of the molecular compound [Mn(mal)(H2O)]ₙ (mal = dianion of malonic acid) by integrating microscopic and macroscopic characterization, combining unpolarized neutron diffraction and magnetometry measurements. Neutron diffraction, though non-commonly applied to molecular compounds, proved [...] Read more.
In this study, we investigate the magnetic properties of the molecular compound [Mn(mal)(H2O)]ₙ (mal = dianion of malonic acid) by integrating microscopic and macroscopic characterization, combining unpolarized neutron diffraction and magnetometry measurements. Neutron diffraction, though non-commonly applied to molecular compounds, proved essential for fully resolving the magnetic structure, as well as overcoming challenges such as hydrogen-related incoherent scattering and difficulties in accurately locating light atoms. Our neutron data provided critical structural details, including the precise location of hydrogen atoms, especially those associated with crystallization water molecules. By conducting low-temperature measurements below the magnetic ordering temperature, we identified the correct Shubnikov space group (Pc’a21’) and established a magnetic model consistent with the observed weak ferromagnetism. Our findings reveal that the compound presents a spin-canted structure with a weak ferromagnetic signal along the b-axis. This signal originates primarily from antisymmetric exchange interactions rather than single-ion anisotropy, consistent with the isotropic nature of the Mn(II) (6A1g) ground state. The combined neutron diffraction and magnetometry results provide a comprehensive understanding of how structural and symmetry factors influence the magnetic properties of malonate-based manganese compounds. Full article
Show Figures

Graphical abstract

13 pages, 1084 KB  
Article
The “Can Do, Do Do” Framework Applied to Assess the Association between Physical Capacity, Physical Activity and Prospective Falls, Subsequent Fractures, and Mortality in Patients Visiting the Fracture Liaison Service
by Merle R. Schene, Caroline E. Wyers, Johanna H. M. Driessen, Lisanne Vranken, Kenneth Meijer, Joop P. van den Bergh and Hanna C. Willems
J. Pers. Med. 2024, 14(4), 337; https://doi.org/10.3390/jpm14040337 - 23 Mar 2024
Cited by 1 | Viewed by 2037
Abstract
The “can do, do do” framework combines measures of poor and normal physical capacity (PC, measured by a 6 min walking test, can do/can’t do) and physical activity (PA, measured by accelerometer, do do/don’t do) into four domains and is able to categorize [...] Read more.
The “can do, do do” framework combines measures of poor and normal physical capacity (PC, measured by a 6 min walking test, can do/can’t do) and physical activity (PA, measured by accelerometer, do do/don’t do) into four domains and is able to categorize patient subgroups with distinct clinical characteristics, including fall and fracture risk factors. This study aims to explore the association between domain categorization and prospective fall, fracture, and mortality outcomes. This 6-year prospective study included patients visiting a Fracture Liaison Service with a recent fracture. Outcomes were first fall (at 3 years of follow-up, measured by fall diaries), first subsequent fracture, and mortality (at 6 years). Cumulative incidences of all three outcomes were calculated. The association between domain categorization and time to the three outcomes was assessed by uni- and multivariate Cox proportional hazard analysis with the “can do, do do” group as reference. The physical performance of 400 patients with a recent fracture was assessed (mean age: 64 years; 70.8% female), of whom 61.5%, 20.3%, and 4.9% sustained a first fall, sustained a subsequent fracture, or had died. Domain categorization using the “can do, do do” framework was not associated with time to first fall, subsequent fracture, or mortality in the multivariate Cox regression analysis for all groups. “Can’t do, don’t do” group: hazard ratio [HR] for first fall: 0.75 (95% confidence interval [CI]: 0.45–1.23), first fracture HR: 0.58 (95% CI: 0.24–1.41), and mortality HR: 1.19 (95% CI: 0.54–6.95). Categorizing patients into a two-dimensional framework seems inadequate to study complex, multifactorial outcomes. A personalized approach based on known fall and fracture risk factors might be preferable. Full article
(This article belongs to the Special Issue Geriatric Medicine: Towards Personalized Medicine)
Show Figures

Figure 1

19 pages, 5071 KB  
Article
Magnetoelectric Properties of Aurivillius-Layered Perovskites
by Vadla Veenachary, Eskilla Venkata Ramana, Simhachalam Narendra Babu, Venkata Sreenivas Puli, Sujoy Saha, Gopalan Srinivasan, G. Prasad and N. V. Prasad
Crystals 2024, 14(4), 299; https://doi.org/10.3390/cryst14040299 - 22 Mar 2024
Cited by 7 | Viewed by 2356
Abstract
In the present work, we have synthesized rare-earth ion modified Bi4−xRExTi2Fe0.7Co0.3O12−δ (RE = Dy, Sm, La) multiferroic compounds by the conventional solid-state route. Analysis of X-ray diffraction by Rietveld refinement confirmed the [...] Read more.
In the present work, we have synthesized rare-earth ion modified Bi4−xRExTi2Fe0.7Co0.3O12−δ (RE = Dy, Sm, La) multiferroic compounds by the conventional solid-state route. Analysis of X-ray diffraction by Rietveld refinement confirmed the formation of a polycrystalline orthorhombic phase. The morphological features revealed a non-uniform, randomly oriented, plate-like grain structure. The peaks evident in the Raman spectra closely corresponded to those of orthorhombic Aurivillius phases. Dielectric studies and impedance measurements were carried out. Asymmetric complex impedance spectra suggested the relaxation of charge carriers belonging to the non-Debye type and controlled by a thermally activated process. Temperature-dependent AC conductivity data showed a change of slope in the vicinity of the phase transition temperature of both magnetic and electrical coupling natures. Based on the universal law and its exponent nature, one can suppose that the conduction process is governed by a small polaron hopping mechanism but significant distortion of TiO6 octahedral. The doping of the A-sites with rare-earth element ions and changes in the concentrations of Fe and Co ions located on the B-sites manifested themselves in saturated magnetic hysteresis loops, indicating competitive interactions between ferroelectric and canted antiferromagnetic spins. The magnetic order in the samples is attributed to pair-wise interactions between adjacent Fe3+–O–Fe3+, Co2+/3+–O–Co3+/2+, and Co2+/3+–O–Fe3+ ions or Dzyaloshinskii–Moriya interactions among magnetic ions in the adjacent sub-lattices. As a result, enhanced magnetoelectric coefficients of 42.4 mV/cm-Oe, 30.3 mV/cm-Oe, and 21.6 mV/cm-Oe for Bi4−xDyxTi2Fe0.7Co0.3O12−δ (DBTFC), Bi4−xLaxTi2Fe0.7Co0.3O12−δ (LBTFC), and Bi4−xSmxTi2Fe0.7Co0.3O12−δ (SBTFC), respectively, have been obtained at lower magnetic fields (<3 kOe). The strong coupling of the Aurivillius compounds observed in this study is beneficial to future multiferroic applications. Full article
(This article belongs to the Special Issue Advanced Ferroelectric, Piezoelectric and Dielectric Ceramics)
Show Figures

Figure 1

18 pages, 6101 KB  
Article
A Computationally Efficient Approach for Resampling Microwave Radiances from Conical Scanners to a Regular Earth Grid
by Carl Mears, Andrew Manaster and Frank Wentz
Remote Sens. 2023, 15(20), 5047; https://doi.org/10.3390/rs15205047 - 20 Oct 2023
Viewed by 1713
Abstract
Satellite-borne microwave imagers are often operated as “conical scanners”, which use an off-axis paraboloid antenna that spins around an Earth-directed axis. As a result, individual measurements are arranged in curved “scans” on the Earth. Each measurement footprint is generally elliptical, with a range [...] Read more.
Satellite-borne microwave imagers are often operated as “conical scanners”, which use an off-axis paraboloid antenna that spins around an Earth-directed axis. As a result, individual measurements are arranged in curved “scans” on the Earth. Each measurement footprint is generally elliptical, with a range of alignments relative to fixed directions on the Earth. Taken together, these geometrical features present a challenge for users who want collocate microwave radiances with other sources of information. These sources include maps of surface conditions (often available on a regular latitude–longitude grid), information from other satellites (which will have a different, non-aligned scan geometry), or point-like in situ information. Such collocations are important for algorithm development and validation activities. Some of these challenges associated with collocating microwave radiances would be eliminated by resampling satellite data onto circular footprints on an Earth-fixed grid. This is because circular footprints help enable accurate collocations between satellite sensors on different platforms whose native footprints are usually ellipses canted at varying angles. Here, we describe a computationally efficient method to accurately resample microwave radiances onto circular footprints, facilitating comparisons and combinations between different types of geophysical information. Full article
(This article belongs to the Section Satellite Missions for Earth and Planetary Exploration)
Show Figures

Figure 1

14 pages, 3689 KB  
Article
Design and Analysis of Complementary Metal–Oxide–Semiconductor Single-Pole Double-Throw Switches for 28 GHz 5G New Radio
by Yo-Sheng Lin, Chin-Yi Huang, Chung-Ta Huang, Jin-Fa Chang, Nai-Wen Tien and Yu-Hao Chuang
Electronics 2023, 12(19), 4156; https://doi.org/10.3390/electronics12194156 - 7 Oct 2023
Cited by 6 | Viewed by 1927
Abstract
We propose a single-pole double-throw (SPDT) switch with low insertion loss (IL), high isolation, and high linearity for a 28 GHz 5G new radio. The transmit (TX) path is a π-network consisting of a parallel dynamic-threshold metal–oxide–semiconductor (DTMOS) transistor, M1, with [...] Read more.
We propose a single-pole double-throw (SPDT) switch with low insertion loss (IL), high isolation, and high linearity for a 28 GHz 5G new radio. The transmit (TX) path is a π-network consisting of a parallel dynamic-threshold metal–oxide–semiconductor (DTMOS) transistor, M1, with large body-floating resistance, RB (DTMOS-R M1), a series one-eighth-wavelength (λ/8) transmission line (TL), and a parallel capacitance, Cant. The series λ/8-TL in conjunction with the parallel Cant and transistors’ capacitance constitute an equivalent λ/4-TL with a characteristic impedance of 50 Ω. This leads to low IL in the TX mode and decent isolation in the receive (RX) mode. The RX path is an L-network constituting a series impedance (of parallel inductance L1 and DTMOS-R M2) and a parallel DTMOS-R M3. This leads to a decent IL in the RX mode and isolation in the TX mode. The first SPDT switch (SPDT SW1) is designed and implemented in a 90 nm complementary metal–oxide–semiconductor (CMOS) with a top metal thickness (TMT) of 3.4 μm. A comparative SPDT switch (SPDT SW2) in a 0.18 μm CMOS with a thinner TMT of 2.34 μm is also designed and implemented. In the TX mode, SPDT SW1 achieves a measured IL of 0.67 dB at 28 GHz and 0.58–1 dB for 17–34.9 GHz and a measured isolation of 44.3 dB at 28 GHz and 25.6–62.3 dB for 17–34.9 GHz, one of the best IL and isolation results ever reported for millimeter-wave CMOS SPDT switches. The measured input 1 dB compression point (P1dB) is 28.5 dBm at 28 GHz. Moreover, in the RX mode, SPDT SW1 attains a measured IL of 1.9 dB at 28 GHz and 1.83–2.1 dB for 25–38.3 GHz and an isolation of 25 dB at 28 GHz and 24.5–27 dB for 25–38.3 GHz. The measured P1dB is 24 dBm at 28 GHz. Full article
(This article belongs to the Special Issue Advanced Topics in Modelling Microwave and mmWave Electron Devices)
Show Figures

Figure 1

15 pages, 2713 KB  
Article
Occlusal Plane Steepness and Profile Change Following TAD-Based One-Step Retraction on Four-Unit Extraction Cases: A Retrospective Study
by Trefa Mohammed Ali Mahmood
Diagnostics 2023, 13(14), 2395; https://doi.org/10.3390/diagnostics13142395 - 18 Jul 2023
Cited by 1 | Viewed by 5606
Abstract
Background: With the introduction of high-tech appliances, anchorage devices, and improved patient awareness of the risks associated with maxillofacial surgery, treating complex situations with orthodontic treatment has become more difficult in recent years. This study was conducted to demonstrate that orienting the occlusal [...] Read more.
Background: With the introduction of high-tech appliances, anchorage devices, and improved patient awareness of the risks associated with maxillofacial surgery, treating complex situations with orthodontic treatment has become more difficult in recent years. This study was conducted to demonstrate that orienting the occlusal plane, all the dental, skeletal, and soft tissue parameters, would be improved and to find which of these parameters could be correlated with the steepness of the occlusal plane. Materials and methods: This was a retrospective study including 40 cephalometric interpretations for patients who were planned for four-unit extractions (20 cephalometric radiographies before treatment and 20 after finishing the treatment). All were treated in the same orthodontic clinic with the same protocol using the McLaughlin–Bennett–Trevisi (MBT) prescription, with 22 slots and one-step retraction following four-unit extraction based on temporary anchorage devices (TADs). Results: There was no significant change in the canting of the occlusal plane, and it remained relatively stable from 6.31° to 7.55°, while all the soft tissue-related cephalometric measurements were reduced significantly, except the nasolabial angle, as the relation of the upper and lower lip to the esthetic line of Ricketts’ (E-Line) was reduced by 2.91 and 2.46°, respectively; furthermore, the angle of convexity was reduced from 10.92° to 9.79°. Besides, the upper incisor display was reduced by 0.38° Conclusions: Both the Frankfort mandibular angle and upper-incisor-to-Frankfort horizontal plane were significant parametric factors associated with profile change after extraction treatment having a positive 0.01-level Pearson association with occlusal plane steepness. Therefore, using the MBT prescription with TAD-based retraction is one of the favorable methods for the management of complex cases. Full article
(This article belongs to the Special Issue New Insights into Diagnosis of Orthodontics)
Show Figures

Figure 1

10 pages, 4087 KB  
Article
The Impact of the Log-Sawing Patterns on the Quantitative and Qualitative Yield of Beech Timber (Fagus sylvatica L.)
by Peter Vilkovský, Ivan Klement and Tatiana Vilkovská
Appl. Sci. 2023, 13(14), 8262; https://doi.org/10.3390/app13148262 - 17 Jul 2023
Cited by 11 | Viewed by 2967
Abstract
The cost of raw materials has a major role in the wood industry. From this point of view, it is necessary to pay attention to the correct log-sawing pattern, which will optimize the sawing process and increase the quantity and quality of the [...] Read more.
The cost of raw materials has a major role in the wood industry. From this point of view, it is necessary to pay attention to the correct log-sawing pattern, which will optimize the sawing process and increase the quantity and quality of the material as well. For measurements, we used beech wood (Fagus sylvatica L.). Beech wood (Fagus sylvatica L.) is the most common wood species in the Slovak Republic; the total amount in forests is 34.8%. Beech wood has a high frequency of defects, such as red false heartwood, reaction wood (i.e., tension wood), dote, cracks, and so on. This research aimed to analyze the effect of the log-sawing patterns of through-and-through sawing, cant sawing, and quarter sawing on the resulting quantitative–qualitative yields of beech timber. The results showed that the highest quantitative yield was observed with the cant sawing pattern, at 84%, which was, on average, 17.3% higher compared to other types of cutting. It was found that quarter sawing resulted in a higher qualitative yield compared to through-and-through sawing or cant sawing (V5 = 62.69% and V6 = 47.86%). Full article
(This article belongs to the Section Materials Science and Engineering)
Show Figures

Figure 1

20 pages, 7083 KB  
Article
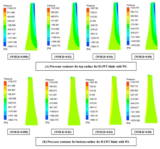
Study the Effect of Winglet Height Length on the Aerodynamic Performance of Horizontal Axis Wind Turbines Using Computational Investigation
by Eslam S. Abdelghany, Hesham H. Sarhan, Raed Alahmadi and Mohamed B. Farghaly
Energies 2023, 16(13), 5138; https://doi.org/10.3390/en16135138 - 3 Jul 2023
Cited by 13 | Viewed by 4179
Abstract
Tip vortices are one of the most critical phenomena facing rotary wings such as propellers and wind turbine blades and lead to changes in the aerodynamic parameters of blades. The winglet (WL) device is considered one of the most significant passive flow control [...] Read more.
Tip vortices are one of the most critical phenomena facing rotary wings such as propellers and wind turbine blades and lead to changes in the aerodynamic parameters of blades. The winglet (WL) device is considered one of the most significant passive flow control devices. It is used to diminish the strength of vortices at the blade tip, enhance the aerodynamic characteristics of turbine rotor blades, and thereby increase the overall turbine efficiency. The main objective of this research is to improve the aerodynamic characteristics of wind turbines by adding a winglet at the blade tip. An optimum turbine blade profile was taken to build the turbine rotor geometry. The turbine has three blades with a radius of 0.36 m, and the NACA4418 airfoil blade sections were used to build the blade profile. The computational domain was created by ANSYS software, and the model was validated for spalart-allmaras and k-ω SST turbulence models with experimental measurements. The computational model was solved for blade shapes without and with tip winglets. Various winglet height lengths per blade radius (WHLR) of 0.008, 0.02, 0.04, 0.05, 0.06, 0.07, and 0.08 were studied for a 90-degree cant-angle and a constant design tip speed ratio of 4.92. Generally, the results illustrate that the performance characteristics of the turbine rotor were improved by using the tip winglet. The lift-to-drag ratio coefficient (CL/CD) and power coefficient (Cp) are increasing with increasing WHLR until they reach the highest improvement value, and then they start to decrease gradually. The optimum WHLR is about 0.042, with a percentage improvement in the lift-to-drag ratio (CL/CD) and power coefficient (Cp) related to the blade without winglet of about 11.6% and 6.9%, respectively, and an increase in the thrust force of 14.8%. This is mainly caused by decreasing the vortex strength near the tip region and improving the characteristics of stall behaviors. Full article
(This article belongs to the Section A3: Wind, Wave and Tidal Energy)
Show Figures

Figure 1

22 pages, 10663 KB  
Article
Optimization of Magnetic Cobalt Ferrite Nanoparticles for Magnetic Heating Applications in Biomedical Technology
by Diana Zahn, Joachim Landers, Marco Diegel, Soma Salamon, Andreas Stihl, Felix H. Schacher, Heiko Wende, Jan Dellith and Silvio Dutz
Nanomaterials 2023, 13(10), 1673; https://doi.org/10.3390/nano13101673 - 18 May 2023
Cited by 8 | Viewed by 3199
Abstract
Using magnetic nanoparticles for extracorporeal magnetic heating applications in bio-medical technology allows higher external field amplitudes and thereby the utilization of particles with higher coercivities (HC). In this study, we report the synthesis and characterization of high coercivity cobalt ferrite nanoparticles [...] Read more.
Using magnetic nanoparticles for extracorporeal magnetic heating applications in bio-medical technology allows higher external field amplitudes and thereby the utilization of particles with higher coercivities (HC). In this study, we report the synthesis and characterization of high coercivity cobalt ferrite nanoparticles following a wet co-precipitation method. Particles are characterized with magnetometry, X-ray diffraction, Mössbauer spectroscopy, transmission electron microscopy (TEM) and calorimetric measurements for the determination of their specific absorption rate (SAR). In the first series, CoxFe3−xO4 particles were synthesized with x = 1 and a structured variation of synthesis conditions, including those of the used atmosphere (O2 or N2). In the second series, particles with x = 0 to 1 were synthesized to study the influence of the cobalt fraction on the resulting magnetic and structural properties. Crystallite sizes of the resulting particles ranged between 10 and 18 nm, while maximum coercivities at room temperatures of 60 kA/m for synthesis with O2 and 37 kA/m for N2 were reached. Magnetization values at room temperature and 2 T (MRT,2T) up to 60 Am2/kg under N2 for x = 1 can be achieved. Synthesis parameters that lead to the formation of an additional phase when they exceed specific thresholds have been identified. Based on XRD findings, the direct correlation between high-field magnetization, the fraction of this antiferromagnetic byphase and the estimated transition temperature of this byphase, extracted from the Mössbauer spectroscopy series, we were able to attribute this contribution to akageneite. When varying the cobalt fraction x, a non-monotonous correlation of HC and x was found, with a linear increase of HC up to x = 0.8 and a decrease for x > 0.8, while magnetometry and in-field Mössbauer experiments demonstrated a moderate degree of spin canting for all x, yielding high magnetization. SAR values up to 480 W/g (@290 kHz, 69 mT) were measured for immobilized particles with x = 0.3, whit the external field amplitude being the limiting factor due to the high coercivities of our particles. Full article
(This article belongs to the Special Issue Plasmonic and Magnetic Nanoparticles for Localized-Hyperthermia)
Show Figures

Figure 1

16 pages, 4876 KB  
Article
Preoperative Anatomical Variables Affecting the Outcome of Surgical Correction in Class III Face Asymmetry
by Yi-Ting Li, Ying-An Chen, Cheng-Hui Lin and Ellen Wen-Ching Ko
Appl. Sci. 2023, 13(7), 4502; https://doi.org/10.3390/app13074502 - 1 Apr 2023
Viewed by 2697
Abstract
Objective: The study investigated the preoperative anatomical variables that affect the outcome of surgical correction in patients with Class III facial asymmetry. Methods: The study recruited 37 consecutive patients with facial asymmetry who had 2-jaw orthognathic surgery. They were divided into two groups [...] Read more.
Objective: The study investigated the preoperative anatomical variables that affect the outcome of surgical correction in patients with Class III facial asymmetry. Methods: The study recruited 37 consecutive patients with facial asymmetry who had 2-jaw orthognathic surgery. They were divided into two groups based on the surgical outcome: symmetrical (S group) or asymmetrical (A group), according to the asymmetry index. The CBCT images were obtained before surgery (T0) and after debond (T1). The 3D dentofacial measurements were compared between groups S and A by the Mann–Whitney test. Spearman correlation analysis was performed to examine the relationship of all dentoskeletal variables in T0 with the facial symmetry outcome. Results: Significant between-group differences were observed in preoperative time, including maxillary anterior occlusal canting, maxillary posterior occlusal canting, the gonion–Frankfort horizontal plane (FHP) distance, the mandibular ramus axis–FHP distances, and sagittal and transverse of condyle position. Conclusions: For patients with severe skeletal Class III asymmetry, preoperative anatomical variables, particularly preoperative “roll” and “yaw” discrepancies and anatomical limitations of the mandible, should be considered for favorable asymmetry correction. Based on the anatomic variables that affect the outcomes of facial asymmetry correction, prognosis and treatment limitation could be predicted before treatment. Full article
Show Figures

Figure 1

12 pages, 3039 KB  
Article
A 3D Coordination Polymer Based on Syn-Anti Bridged [Mn(RCOO)2]n Chains Showing Spin-Canting with High Coercivity and an Ordering Temperature of 14 K
by Soumen Kumar Dubey, Maxcimilan Patra, Kajal Gupta, Subham Bhattacharjee, Rajat Saha and Carlos J. Gómez-García
Magnetochemistry 2023, 9(2), 55; https://doi.org/10.3390/magnetochemistry9020055 - 10 Feb 2023
Cited by 3 | Viewed by 2975
Abstract
A new 3D manganese(II) coordination polymer, formulated as [Mn3(HL)6] (1) (where H2L = 6-hydroxypicolinic acid), has been hydrothermally synthesized and characterized by single-crystal X-ray crystallographic analysis along with other spectroscopic and magnetic techniques. Structural analysis [...] Read more.
A new 3D manganese(II) coordination polymer, formulated as [Mn3(HL)6] (1) (where H2L = 6-hydroxypicolinic acid), has been hydrothermally synthesized and characterized by single-crystal X-ray crystallographic analysis along with other spectroscopic and magnetic techniques. Structural analysis shows that the compound crystallizes in the monoclinic C2/c space group and is a non-porous 3D coordination polymer formed by three different Mn(II) centres connected by 6-hydroxypicolinic acid ligands in their keto form. Each Mn(II) centre shows a distorted octahedral coordination environment. Neighbouring Mn(II) centres are connected by two different syn-anti bridging carboxylate groups to form regular coordination chains. There are two different [Mn2(RCOO)2] units along the chain, formed by two crystallographically independent Mn centres (Mn1 and Mn2). These chains are further connected by HL ligands to form a 3D coordination network. Interestingly, both the hydroxy and the carboxylate groups of the ligands are deprotonated and coordinated to the metal centres, whereas the pyridyl group is protonated and uncoordinated, although it participates in strong hydrogen bonding interactions with oxygen atoms of the HL ligand, as shown by the Hirshfeld surface analysis. Both the absorption and emission spectra of the compound have also been measured. Variable temperature magnetic studies reveal the presence of a spin-canted antiferromagnetic behaviour with a high coercivity of 40 mT at 2 K and an ordering temperature of 14 K. Full article
Show Figures

Graphical abstract

10 pages, 18025 KB  
Article
The Effect of Co-Doping on the Structural and Magnetic Properties of Single-Domain Crystalline Copper Ferrite Nanoparticles
by Gassem M. Alzoubi
Magnetochemistry 2022, 8(12), 164; https://doi.org/10.3390/magnetochemistry8120164 - 22 Nov 2022
Cited by 17 | Viewed by 3433
Abstract
Nanoparticles of Co-doped copper ferrite, Cu0.75Co0.25Fe2O4, were successfully synthesized by hydrothermal method. The preparation conditions were optimized to produce small nanoparticles with crystallite size of 20 nm that fall into the single-domain regime. The influence [...] Read more.
Nanoparticles of Co-doped copper ferrite, Cu0.75Co0.25Fe2O4, were successfully synthesized by hydrothermal method. The preparation conditions were optimized to produce small nanoparticles with crystallite size of 20 nm that fall into the single-domain regime. The influence of Co-doping on the structure and magnetic properties of pure copper ferrite, CuFe2O4, was investigated. The prepared ferrite nanoparticles were found to be in a single structural phase with a spinel-type structure, according to the XRD and FT-IR measurements. When compared to pure Cu ferrite, the addition of Co increased the lattice constant and decreased the density. The TEM results confirmed the spherical morphology of the prepared ferrite nanoparticles. For the entire temperature range of the ferrite nanoparticles, the magnetization measurements showed a single ferrimagnetic phase. It was observed that the coercivity and remanent magnetization increased with decreasing temperature. Magnetic anisotropy was found to increase with Co-doping in comparison to pure Cu ferrite. The ZFC–FC magnetization curves showed that the blocking temperature (TB) of the prepared nanoparticles is above room temperature, demonstrating that they are ferrimagnetic at room temperature and below. Additionally, it was found that decreasing the magnetic field lowers TB. The FC curves below TB were observed to be nearly flat, indicating spin-glass behavior that might be attributed to nanoparticle interactions and/or surface effects such as spin canting and spin disorder. Full article
(This article belongs to the Special Issue Magnetic Nanoparticles: State of the Art and Future Perspectives)
Show Figures

Figure 1

Back to TopTop