Sign in to use this feature.

Years

Between: -

Subjects

remove_circle_outline
remove_circle_outline
remove_circle_outline
remove_circle_outline
remove_circle_outline
remove_circle_outline
remove_circle_outline
remove_circle_outline
remove_circle_outline

Journals

remove_circle_outline
remove_circle_outline
remove_circle_outline
remove_circle_outline
remove_circle_outline
remove_circle_outline
remove_circle_outline
remove_circle_outline
remove_circle_outline

Article Types

Countries / Regions

remove_circle_outline
remove_circle_outline
remove_circle_outline
remove_circle_outline

Search Results (384)

Search Parameters:
Keywords = bulk scaling model

Order results
Result details
Results per page
Select all
Export citation of selected articles as:
13 pages, 10056 KB  
Article
An Electrical Equivalent Model of an Electromembrane Stack with Fouling Under Pulsed Operation
by Pablo Yáñez, Hector Ramirez and Alvaro Gonzalez-Vogel
Membranes 2026, 16(1), 42; https://doi.org/10.3390/membranes16010042 - 16 Jan 2026
Abstract
This study introduces a novel hybrid model for an electromembrane stack, unifying an equivalent electrical circuit model incorporating specific resistance (RM,Rs) and capacitance (Cgs,Cdl) parameters with an empirical fouling [...] Read more.
This study introduces a novel hybrid model for an electromembrane stack, unifying an equivalent electrical circuit model incorporating specific resistance (RM,Rs) and capacitance (Cgs,Cdl) parameters with an empirical fouling model in a single framework. The model simplifies the traditional approach by serially connecting N (N=10) ion exchange membranes (anionic PC-SA and cationic PC-SK) and is validated using NaCl and Na2SO4 solutions in comparison with laboratory tests using various voltage signals, including direct current and electrically pulsed reversal operations at frequencies of 2000 and 4000 Hz. The model specifically accounts for the chemical stratification of the cell unit into bulk solution, diffusion, and Stern layers. We also included a calibration method using correction factors (αi) to fine-tune the electrical current signals induced by voltage stimulation. The empirical component of the model uses experimental data to simulate membrane fouling, ensuring consistency with laboratory-scale desalination processes performed under pulsed reversal operations and achieving a prediction error of less than 10%. In addition, a comparative analysis was used to assess the increase in electrical resistance due to fouling. By integrating electronic and empirical electrochemical data, this hybrid model opens the way to the construction of simple, practical, and reliable models that complement theoretical approaches, signifying an advance for a variety of electromembrane-based technologies. Full article
Show Figures

Graphical abstract

22 pages, 1424 KB  
Review
Advances in CO2 Laser Treatment of Cotton-Based Textiles: Processing Science and Functional Applications
by Andris Skromulis, Lyubomir Lazov, Inga Lasenko, Svetlana Sokolova, Sandra Vasilevska and Jaymin Vrajlal Sanchaniya
Polymers 2026, 18(2), 193; https://doi.org/10.3390/polym18020193 - 10 Jan 2026
Viewed by 185
Abstract
CO2 laser processing has emerged as an efficient dry-finishing technique capable of inducing controlled chemical and morphological transformations in cotton and denim textiles. The strong mid-infrared absorption of cellulose enables localised photothermal heating, leading to selective dye decomposition, surface oxidation, and micro-scale [...] Read more.
CO2 laser processing has emerged as an efficient dry-finishing technique capable of inducing controlled chemical and morphological transformations in cotton and denim textiles. The strong mid-infrared absorption of cellulose enables localised photothermal heating, leading to selective dye decomposition, surface oxidation, and micro-scale ablation while largely preserving the bulk fabric structure. These laser-driven mechanisms modify colour, surface chemistry, and topography in a predictable, parameter-dependent manner. Low-fluence conditions predominantly produce uniform fading through fragmentation and oxidation of indigo dye; in comparison, moderate thermal loads promote the formation of carbonyl and carboxyl groups that increase surface energy and enhance wettability. Higher fluence regimes generate micro-textured regions with increased roughness and anchoring capacity, enabling improved adhesion of dyes, coatings, and nanoparticles. Compared with conventional wet processes, CO2 laser treatment eliminates chemical effluents, strongly reduces water consumption and supports digitally controlled, Industry 4.0-compatible manufacturing workflows. Despite its advantages, challenges remain in standardising processing parameters, quantifying oxidation depth, modelling thermal behaviour, and assessing the long-term stability of functionalised surfaces under real usage conditions. In this review, we consolidate current knowledge on the mechanistic pathways, processing windows, and functional potential of CO2 laser-modified cotton substrates. By integrating findings from recent studies and identifying critical research gaps, the review supports the development of predictable, scalable, and sustainable laser-based cotton textile processing technologies. Full article
(This article belongs to the Special Issue Environmentally Friendly Textiles, Fibers and Their Composites)
Show Figures

Figure 1

22 pages, 332 KB  
Article
Ceasing Export Activities: A Dynamic Analysis of Pre-Exit Financial and Internationalization Predictors
by Oliver Lukason and Tiia Vissak
Information 2026, 17(1), 45; https://doi.org/10.3390/info17010045 - 4 Jan 2026
Viewed by 313
Abstract
This article aims to find out if pre-exit financial (FP) and internationalization (IP) performance indicators can be used for predicting full de-internationalization (ceasing all export activities; CE). To achieve that, a theoretical concept focusing on the behavior of these predictors is built, and [...] Read more.
This article aims to find out if pre-exit financial (FP) and internationalization (IP) performance indicators can be used for predicting full de-internationalization (ceasing all export activities; CE). To achieve that, a theoretical concept focusing on the behavior of these predictors is built, and three research questions are postulated. Full de-internationalization is an under-researched topic in international business studies, while quantitative studies focusing on its predictors are especially rare. This study fills both gaps by providing population-level evidence for the theoretical concept. The dataset is composed of Estonian exporters that ceased or continued exporting in 2010–2022. IP variables focus on export scale, intensity and scope, while FP variables focus on liquidity, solvency, profitability and revenue-creation capability. The variables cover the timespan of three (pre-exit) years. To outline the significance of predictors and accuracies in the whole population and for different types of exporters, initially, logistic regression is applied, after which the prediction models are also composed with neural networks. Before CE, IP is in a gradual decline, while the bulk of this decline is concentrated shortly before the exit. Before CE, exporters are constantly liquidity- and solvency-constrained, while the problems with revenue creation and profitability are much shorter-lived. That population-level behavior is subject to substantial variation for different types of exporters, especially regarding FP. Prediction models incorporating the full set of variables achieve high accuracy; however, predictive performance declines as the time to exit increases and varies across exporter types. IP variables are more beneficial for predicting CE. The latter also serve as the main practical implications of the paper. Full article
(This article belongs to the Special Issue Decision Models for Economics and Business Management)
20 pages, 6827 KB  
Article
Multiphysics Modelling and Experimental Validation of Road Tanker Dynamics: Stress Analysis and Material Characterization
by Conor Robb, Gasser Abdelal, Pearse McKeefry and Conor Quinn
Computation 2026, 14(1), 7; https://doi.org/10.3390/computation14010007 - 2 Jan 2026
Viewed by 185
Abstract
Crossland Tankers is a leading manufacturer of bulk-load road tankers in Northern Ireland. These tankers transport up to forty thousand litres of liquid over long distances across diverse road conditions. Liquid sloshing within the tank has a significant impact on driveability and the [...] Read more.
Crossland Tankers is a leading manufacturer of bulk-load road tankers in Northern Ireland. These tankers transport up to forty thousand litres of liquid over long distances across diverse road conditions. Liquid sloshing within the tank has a significant impact on driveability and the tanker’s lifespan. This study introduces a novel Multiphysics model combining Smooth Particle Hydrodynamics (SPH) and Finite Element Analysis (FEA) to simulate fluid–structure interactions in a full-scale road tanker, validated with real-world road test data. The model reveals high-stress zones under braking and turning, with peak stresses at critical chassis locations, offering design insights for weight reduction and enhanced safety. Results demonstrate the approach’s effectiveness in optimising tanker design, reducing prototyping costs, and improving longevity, providing a valuable computational tool for industry applications. Full article
(This article belongs to the Section Computational Engineering)
Show Figures

Figure 1

20 pages, 5535 KB  
Article
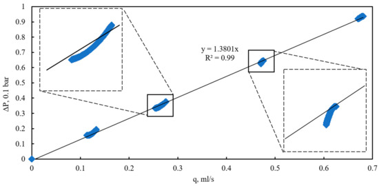
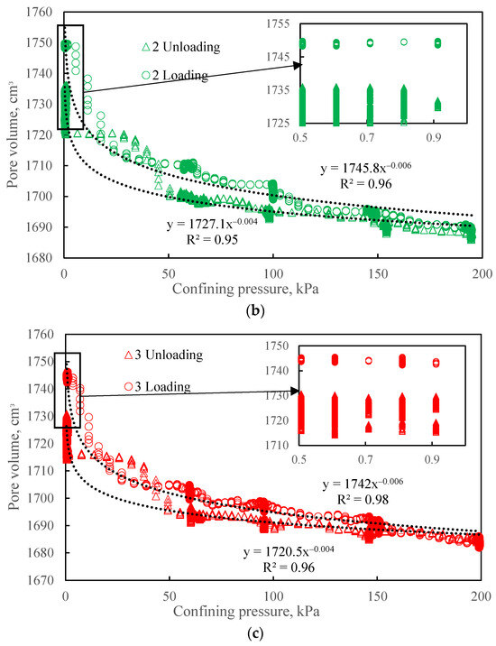
Assessing the Influence of Confining Pressure on the Consolidation of Granular Bulk Models Using an Integrated Sensor System
by Evgenii Kozhevnikov, Mikhail Turbakov, Zakhar Ivanov, Daniil Katunin, Evgenii Riabokon, Evgenii Gladkikh and Mikhail Guzev
Sensors 2026, 26(1), 277; https://doi.org/10.3390/s26010277 - 1 Jan 2026
Viewed by 294
Abstract
Large-scale bulk models offer a promising approach for the experimental investigation of flow in porous media. However, conventional configurations frequently lack adequate confinement systems, resulting in model instability under dynamic flow conditions. This paper introduces a novel experimental apparatus designed for large-scale porous [...] Read more.
Large-scale bulk models offer a promising approach for the experimental investigation of flow in porous media. However, conventional configurations frequently lack adequate confinement systems, resulting in model instability under dynamic flow conditions. This paper introduces a novel experimental apparatus designed for large-scale porous media flooding studies. The porous medium is represented by a tubular granular bulk model measuring one meter in length and 95 mm in diameter. An integrated array of distributed pressure, temperature, and electrical resistance sensors allows for the acquisition of a longitudinal pressure profile, the evaluation of the model’s consolidation state, and the assessment of its stress sensitivity. Comparative studies of filtration processes are presented for a granular bulk model under both confined and unconfined conditions. The results indicate that in the absence of confinement, the model exhibits high sensitivity to pressure differentials, manifesting as a nonlinear relationship between flow rate and pressure drop alongside significant fluctuations in electrical resistance. Conversely, cyclic loading under confining pressure promotes uniform and stable consolidation of the model, thereby minimizing hysteresis and particle displacement. These findings underscore that effective confinement is critical for ensuring the representativeness of data derived from large-scale bulk models of unconsolidated porous media. Full article
(This article belongs to the Section Physical Sensors)
Show Figures

Figure 1

16 pages, 2561 KB  
Article
Study of 3C-SiC Power MOSFETs
by Hamid Fardi
Micromachines 2025, 16(12), 1406; https://doi.org/10.3390/mi16121406 - 14 Dec 2025
Viewed by 375
Abstract
This work presents the simulation and design of 3C-SiC power MOSFETs, focusing on critical parameters including avalanche impact ionization, breakdown voltage, bulk and channel mobilities, and the trade-off between on-resistance and breakdown voltage. The device design is carried out by evaluating the blocking [...] Read more.
This work presents the simulation and design of 3C-SiC power MOSFETs, focusing on critical parameters including avalanche impact ionization, breakdown voltage, bulk and channel mobilities, and the trade-off between on-resistance and breakdown voltage. The device design is carried out by evaluating the blocking voltage of scaled structures as a function of the blocking layer’s doping concentration. To mitigate edge-effect breakdown at the p-well/n-drift interface, a step-profile doping strategy is employed. Multiple transistor layouts with varying pitches are developed using a commercially available device simulator. Results are benchmarked against a one-dimensional analytical model, validating the on-state resistance, current–voltage behavior, and overall accuracy of the simulation approach. For the selected material properties, simulations predict that a 600 V 3C-SiC MOSFET achieves an on-state resistance of 0.8 mΩ·cm2, corresponding to a 7 μm drift layer with a doping concentration of 1 × 1016 cm−3. Full article
Show Figures

Figure 1

14 pages, 2193 KB  
Article
Unraveling Electron-Matter Dynamics in Halide Perovskites Through Monte Carlo Insights into Energy Deposition and Radiation Effects in MAPbI3
by Ivan E. Novoselov and Ivan S. Zhidkov
J. Nucl. Eng. 2025, 6(4), 55; https://doi.org/10.3390/jne6040055 - 10 Dec 2025
Viewed by 358
Abstract
Lead halide perovskites, exemplified by methylammonium (MA) lead iodide (MAPbI3), combine strong optical absorption, long carrier diffusion lengths, and defect-tolerant electronic structure with facile processing, making them attractive for photovoltaics and radiation detection. Yet, their behavior under electron irradiation remains insufficiently [...] Read more.
Lead halide perovskites, exemplified by methylammonium (MA) lead iodide (MAPbI3), combine strong optical absorption, long carrier diffusion lengths, and defect-tolerant electronic structure with facile processing, making them attractive for photovoltaics and radiation detection. Yet, their behavior under electron irradiation remains insufficiently understood, limiting deployment in space and dosimetry contexts. Here, we employ Monte Carlo simulations (Geant4) to model electron interactions with MAPbI3 across energies from 0.1 to 100 MeV and absorber thicknesses from 10 μm to 1 cm. We quantify deposited energy, event statistics, energy per interaction, non-ionizing energy loss, and dominant radiation effects. The results reveal strong thickness-dependent regimes: thin photovoltaic-type layers (~hundreds of nanometers) are largely transparent to MeV electrons, minimizing bulk damage but allowing localized ionization, exciton self-trapping, and photoexcitation-driven ion migration. Although localized excitations can temporarily improve carrier collection under short-term exposure, their cumulative effect drives ionic rearrangement and defect growth, ultimately reducing device stability. In contrast, thicker detector-type films (10–100 μm) sustain multiple scattering and ionization cascades, enhancing sensitivity but accelerating defect accumulation. At centimeter scales, energy deposition saturates, enabling bulk-like absorption for high-flux dosimetry. Overall, electron irradiation in MAPbI3 is dominated by electronic excitation rather than ballistic displacements, underscoring the need to optimize thickness and composition to balance efficiency, sensitivity, and durability. Full article
Show Figures

Figure 1

15 pages, 1007 KB  
Article
Simulated Annealing Integrated with Discrete-Event Simulation for Berth Allocation in Bulk Ports Under Demurrage Constraints
by Enrique Delahoz-Domínguez, Adel Mendoza-Mendoza and Daniel Mendoza-Casseres
Eng 2025, 6(12), 352; https://doi.org/10.3390/eng6120352 - 5 Dec 2025
Viewed by 378
Abstract
Efficient berth allocation remains a critical challenge in bulk port operations due to the stochastic nature of vessel arrivals and the complex interaction among loading resources. This study proposes an integrated optimisation–simulation framework to minimise total demurrage costs under uncertainty. The mathematical model [...] Read more.
Efficient berth allocation remains a critical challenge in bulk port operations due to the stochastic nature of vessel arrivals and the complex interaction among loading resources. This study proposes an integrated optimisation–simulation framework to minimise total demurrage costs under uncertainty. The mathematical model was formulated as a mixed-integer linear program (MILP) to determine the optimal assignment and sequencing of vessels to berths and shiploaders, subject to time-window and capacity constraints. The MILP was solved using a Simulated Annealing (SA) metaheuristic to improve computational efficiency for large-scale instances. Subsequently, the optimised berth plans were evaluated in FlexSim, a discrete-event simulation environment, to assess the operational variability arising from stochastic factors, including vessel arrival times, service durations, and loader availability. System performance was measured through vessel waiting time, berth utilisation rate, and demurrage cost variability across multiple replications. Results indicate that the proposed SA–FlexSim framework reduced average demurrage costs by 28.7% compared to the deterministic MILP and by 21.3% relative to standalone SA, confirming its effectiveness and robustness under uncertain operating conditions. The hybrid methodology provides a practical decision-support tool for terminal operators seeking to enhance scheduling reliability and cost efficiency in bulk port environments. Full article
(This article belongs to the Special Issue Supply Chain Engineering)
Show Figures

Figure 1

26 pages, 6323 KB  
Article
Targeting Pan-Cancer Stemness: Core Regulatory lncRNAs as Novel Therapeutic Vulnerabilities
by Shengcheng Deng, Yufan Yang, Dapeng Gao, Jiajun Gao and Yuanyan Xiong
Int. J. Mol. Sci. 2025, 26(23), 11684; https://doi.org/10.3390/ijms262311684 - 2 Dec 2025
Viewed by 565
Abstract
Tumor stemness represents a key biological process that drives tumor progression and therapeutic resistance across various cancer types. To systematically elucidate the regulatory roles of long non-coding RNAs (lncRNAs) in this process, we integrated bulk transcriptomic data from The Cancer Genome Atlas (TCGA) [...] Read more.
Tumor stemness represents a key biological process that drives tumor progression and therapeutic resistance across various cancer types. To systematically elucidate the regulatory roles of long non-coding RNAs (lncRNAs) in this process, we integrated bulk transcriptomic data from The Cancer Genome Atlas (TCGA) with publicly available pan-cancer single-cell transcriptomic atlases. Using machine-learning-based stemness metrics, we successfully quantified stemness features and identified unique lncRNA gene sets for each cancer type at the bulk data level. The high-stemness subtype exhibited enhanced proliferation, an immunosuppressive microenvironment, and profound metabolic reprogramming. Based on these findings, we constructed a robust prognostic model with remarkable predictive performance across multiple cancer types. At the single-cell resolution, we reconstructed the dynamic trajectory of stemness evolution, uncovering distinctive metabolic and cell-communication patterns within cancer stem cells (CSCs). This multi-scale analysis consistently nominated a core set of regulatory lncRNAs, including NEAT1 and MALAT1. Our work not only nominates potential targets for stemness-directed therapy but also provides a comprehensive framework for understanding lncRNA-driven mechanisms of cancer aggressiveness and resistance. Full article
(This article belongs to the Section Molecular Informatics)
Show Figures

Figure 1

21 pages, 3853 KB  
Article
Numerical Analysis of Water-Injection Drag Reduction on a Flat Plate
by David Hitchmough, Anas Muhamad Pauzi, Eddie Blanco-Davis, Andrew Spiteri, Ava Shahrokhi, Alex Routledge, Roger Armson, Nikolaos Tsoulakos and Jin Wang
J. Mar. Sci. Eng. 2025, 13(12), 2271; https://doi.org/10.3390/jmse13122271 - 28 Nov 2025
Viewed by 436
Abstract
Water injection is a promising alternative to traditional air lubrication for reducing ship hull drag and improving energy efficiency. Addressing the limited research on the efficacy of water lubrication on ships, this novel study is the first to numerically evaluate its performance on [...] Read more.
Water injection is a promising alternative to traditional air lubrication for reducing ship hull drag and improving energy efficiency. Addressing the limited research on the efficacy of water lubrication on ships, this novel study is the first to numerically evaluate its performance on a flat-plate model, systematically investigating key operational and geometrical parameters. The rectangular flat plate model of finite thickness represents a 1:56 scale of the Japan Bulk Carrier hull. The study conducts Reynolds-Averaged Navier–Stokes (RANS) simulations using the commercial CFD package STAR-CCM+ and systematically investigates the effects of injection angle, velocity ratio, flow rate, Reynolds number, and plate orientation. The results indicate that an injection angle of 60–90° is optimal, with an ideal velocity ratio (UInj/Ub) of approximately 1.5, resulting in a drag reduction of up to 38.8%. The flow-rate ratio (QInj/Qw) also serves as a pertinent scaling parameter, with an optimum at 1.1. The study found that the primary drag reduction mechanism is the decrease in skin friction, which, unlike pressure-driven effects, is robust across different plate orientations. These findings underscore the potential of water injection as a scalable and effective strategy for maritime decarbonisation, exhibiting performance that is robust and stable across a wide range of Reynolds numbers and plate orientations. Full article
Show Figures

Figure 1

31 pages, 4430 KB  
Article
Genetic Evidence Prioritizes Neurocognitive Decline as a Causal Driver of Sleep Disturbances: A Multi-Omics Analysis Identifying Causal Genes and Therapeutic Targets
by Yanan Du, Xiao-Yong Xia, Zhu Ni, Sha-Sha Fan, Junwen He, Yang He, Xiang-Yu Meng, Xu Wang and Xuan Xu
Curr. Issues Mol. Biol. 2025, 47(11), 967; https://doi.org/10.3390/cimb47110967 - 20 Nov 2025
Cited by 1 | Viewed by 901
Abstract
To resolve the ambiguous causal relationship between sleep disturbances and neurodegenerative diseases such as Alzheimer’s disease (AD), we conducted a multi-stage genetic and multi-omics investigation. Our large-scale bidirectional Mendelian randomization analysis identified a robust, asymmetrical pattern of genetic association, providing strong genetic evidence [...] Read more.
To resolve the ambiguous causal relationship between sleep disturbances and neurodegenerative diseases such as Alzheimer’s disease (AD), we conducted a multi-stage genetic and multi-omics investigation. Our large-scale bidirectional Mendelian randomization analysis identified a robust, asymmetrical pattern of genetic association, providing strong genetic evidence suggesting that liability for neurocognitive decline and AD is associated with sleep disturbances, with substantially weaker evidence for the reverse direction. To identify the underlying molecular drivers, a multi-omics Summary-data-based MR (SMR) analysis prioritized high-confidence causal genes, including YWHAZ, NT5C2, COX6B1, and CDK10. The predictive power of this gene signature was confirmed using machine learning models (ROC-AUC > 0.8), while functional validation through bulk and single-cell transcriptomics uncovered profound, cell-type-specific dysregulation in the AD brain, most notably opposing expression patterns between neurons and glial cells (e.g., YWHAZ was upregulated in excitatory neurons but downregulated in glia). Functional enrichment and network analyses implicated two core pathways—nucleotide metabolism centered on NT5C2 and synaptic function involving YWHAZ—and our investigation culminated in the identification of a promising therapeutic interaction, with molecular docking validating high-affinity binding between Ecdysterone and COX6B1 (docking score = −5.73 kcal/mol). Collectively, our findings strengthen the evidence that sleep disruption as a likely consequence of neurodegenerative processes and prioritize a set of validated, cell-type-specific gene targets within critical pathways, offering promising new avenues for therapeutic development. Full article
(This article belongs to the Special Issue Featured Papers in Bioinformatics and Systems Biology)
Show Figures

Figure 1

17 pages, 6899 KB  
Article
MASS-LSVD: A Large-Scale First-View Dataset for Marine Vessel Detection
by Yunsheng Fan, Dongjie Ju, Bing Han, Feng Sun, Liran Shen, Zongjiang Gao, Dongdong Mu and Longhui Niu
J. Mar. Sci. Eng. 2025, 13(11), 2201; https://doi.org/10.3390/jmse13112201 - 19 Nov 2025
Viewed by 881
Abstract
In this paper, we release a new large-scale dataset containing multiple categories of ships and floating objects at sea, which we call MASS-LSVD. It is used to train and validate target detection algorithms and future large models for ship autopiloting. The dataset was [...] Read more.
In this paper, we release a new large-scale dataset containing multiple categories of ships and floating objects at sea, which we call MASS-LSVD. It is used to train and validate target detection algorithms and future large models for ship autopiloting. The dataset was captured by a visible light camera installed aboard the world’s first intelligent research, teaching, and training ship, “Xinhongzhuan”. This MASS (maritime autonomous surface ship) was operated by Dalian Maritime University, China. We have collected more than 4000 h of video of the “Xinhongzhuan” vessel’s voyage in the Bohai Sea and other areas, which are carefully classified and filtered to cover as much as possible the various types of sample data in the marine environment, such as light intensity, weather, hull shading, data from ocean-going voyages, entering and exiting ports, etc. The dataset contains 64,263 1K-resolution images captured from video footage, covering four main ship types: Fishing Boat, Bulk Carrier, Cruise Ship, Container ship, and an ‘Other Ships’ class, for vessels that cannot be specifically classified. The dataset currently contains 64,263 pairs of 1K-resolution images covering four common ship types (fishing boat, bulk carrier, cruise ship, container, and other ship, where no specific ship type can be determined). All the images have been labeled with high-precision manual bounding boxes. In this paper, the MASS-LSVD dataset is used as the basis for training various target detection algorithms and comparing them with other datasets, which compensates for the lack of first-view images in the vessel target detection dataset, and MASS-LSVD is expected to be used to facilitate the research and application of autonomous ship navigation models in the framework of computer vision. Full article
(This article belongs to the Section Ocean Engineering)
Show Figures

Figure 1

30 pages, 8028 KB  
Article
CFD Implementation and Preliminary Validation of a Combined Boiling Model (CBM) for Two-Phase Closed Thermosyphons
by Jure Štrucl, Jure Marn and Matej Zadravec
Fluids 2025, 10(11), 296; https://doi.org/10.3390/fluids10110296 - 13 Nov 2025
Viewed by 588
Abstract
Predicting phase-change heat transfer in two-phase closed thermosyphons (TPCTs) represents a significant challenge owing to the complex interaction of boiling, condensation, and conjugate heat transfer (CHT) mechanisms. This study presents a numerical investigation of a TPCT using the Combined Boiling Model (CBM) within [...] Read more.
Predicting phase-change heat transfer in two-phase closed thermosyphons (TPCTs) represents a significant challenge owing to the complex interaction of boiling, condensation, and conjugate heat transfer (CHT) mechanisms. This study presents a numerical investigation of a TPCT using the Combined Boiling Model (CBM) within a conjugate heat transfer (CHT) framework. Unlike prior TPCT studies, the CBM integrates an improved RPI-based wall boiling model with sliding bubble dynamics, a laminar film condensation closure, and Lee-type bulk phase change in a single, energy-consistent formulation suited for engineering-scale meshes and time-steps. Building on these extensions, we demonstrate the approach on a vertical TPCT with full CHT and validate it against experiments and a VOF–Lee reference. Simulations for heat loads ranging from 173 to 376 W capture key flow features, including vapour generation, vapour-pocket dynamics, and thin-film condensation, while reducing temperature deviations typically below 3% in the evaporator and adiabatic sections and about 2 to 5% in the condenser. The results confirm that the CBM provides a physically consistent and computationally efficient approach for predicting evaporation–condensation phenomena in TPCTs. Full article
(This article belongs to the Section Flow of Multi-Phase Fluids and Granular Materials)
Show Figures

Figure 1

15 pages, 2271 KB  
Technical Note
Resource-Constrained 3D Volume Estimation of Lunar Regolith Particles from 2D Imagery for In Situ Dust Characterization in a Lunar Payload
by Filip Wylęgała and Tadeusz Uhl
Remote Sens. 2025, 17(20), 3450; https://doi.org/10.3390/rs17203450 - 16 Oct 2025
Viewed by 950
Abstract
Future lunar exploration will depend on a clearer understanding of regolith behavior, as underscored by adhesion issues observed during Apollo. The Lunaris Payload, a compact instrument developed in Poland, targets in situ assessment of lunar regolith adhesion to engineering materials using a resource-constrained [...] Read more.
Future lunar exploration will depend on a clearer understanding of regolith behavior, as underscored by adhesion issues observed during Apollo. The Lunaris Payload, a compact instrument developed in Poland, targets in situ assessment of lunar regolith adhesion to engineering materials using a resource-constrained optical approach. Here we introduce and validate six lightweight 2D-to-3D geometric models for estimating particle volume from planar images, benchmarked against the high-resolution micro-computed tomography (micro-CT) ground truth. The tested methods include spherical, cylindrical, fixed-aspect-ratio ellipsoid, adaptive ellipsoid, and Feret-based models and an empirically scaled voxel proxy. Using micro-CT scans of adhered simulant particles, we evaluate accuracy across >8000 particles segmented from 2D projections. Ellipsoid-based models consistently outperform the alternatives, with absolute percentage errors of 30–35%, while fixed-aspect-ratio variants offer strong accuracy–complexity trade-offs suitable for mass- and power-limited payloads. To our knowledge, this is the first comprehensive benchmarking of six 2D-to-3D volume models against micro-CT for bulk-adhered lunar regolith analogs. The results provide a validated, efficient framework for in situ dust characterization and reliable particle mass estimation, advancing Lunaris’ capability to quantify regolith adhesion and supporting broader goals in dust mitigation, ISRU, or habitat construction. Full article
Show Figures

Graphical abstract

19 pages, 419 KB  
Article
Information-Theoretic Analysis of Selected Water Force Fields: From Molecular Clusters to Bulk Properties
by Rodolfo O. Esquivel, Hazel Vázquez-Hernández and Alexander Pérez de La Luz
Entropy 2025, 27(10), 1073; https://doi.org/10.3390/e27101073 - 15 Oct 2025
Viewed by 724
Abstract
We present a comprehensive information-theoretic evaluation of three widely used rigid water models (TIP3P, SPC, and SPC/ε) through systematic analysis of water clusters ranging from single molecules to 11-molecule aggregates. Five fundamental descriptors—Shannon entropy, Fisher information, disequilibrium, LMC complexity, and Fisher–Shannon [...] Read more.
We present a comprehensive information-theoretic evaluation of three widely used rigid water models (TIP3P, SPC, and SPC/ε) through systematic analysis of water clusters ranging from single molecules to 11-molecule aggregates. Five fundamental descriptors—Shannon entropy, Fisher information, disequilibrium, LMC complexity, and Fisher–Shannon complexity—were calculated in both position and momentum spaces to quantify electronic delocalizability, localization, uniformity, and structural sophistication. Clusters containing 1, 3, 5, 7, 9, and 11 molecules (denoted 1 M, 3 M, 5 M, 7 M, 9 M, and 11 M) were selected to balance computational tractability with representative scaling behavior. Molecular dynamics simulations validated the force fields against experimental bulk properties (density, dielectric constant, self-diffusion coefficient), while statistical analysis using Shapiro–Wilk normality tests and Student’s t-tests ensured robust discrimination between models. Our results reveal distinct scaling behaviors that correlate with experimental accuracy: SPC/ε demonstrates superior electronic structure representation with optimal entropy–information balance and enhanced complexity measures, while TIP3P shows excessive localization and reduced complexity that worsen with increasing cluster size. The transferability from clusters to bulk properties is established through systematic convergence of information-theoretic measures toward bulk-like behavior. The methodology establishes information-theoretic analysis as a useful tool for comprehensive force field evaluation. Full article
Show Figures

Figure 1

Back to TopTop