Sign in to use this feature.

Years

Between: -

Subjects

remove_circle_outline
remove_circle_outline
remove_circle_outline
remove_circle_outline
remove_circle_outline
remove_circle_outline
remove_circle_outline
remove_circle_outline
remove_circle_outline

Journals

remove_circle_outline
remove_circle_outline
remove_circle_outline
remove_circle_outline
remove_circle_outline
remove_circle_outline
remove_circle_outline
remove_circle_outline
remove_circle_outline
remove_circle_outline
remove_circle_outline

Article Types

Countries / Regions

remove_circle_outline
remove_circle_outline
remove_circle_outline
remove_circle_outline
remove_circle_outline
remove_circle_outline

Search Results (798)

Search Parameters:
Keywords = building physics simulation

Order results
Result details
Results per page
Select all
Export citation of selected articles as:
26 pages, 90392 KB  
Article
Urban Buildings Energy Consumption Estimation Leveraging High-Performance Computing: A Case Study of Bologna
by Aldo Canfora, Eleonora Bergamaschi, Riccardo Mioli, Federico Battini, Mirko Degli Esposti, Giorgio Pedrazzi and Chiara Dellacasa
Urban Sci. 2026, 10(1), 4; https://doi.org/10.3390/urbansci10010004 (registering DOI) - 20 Dec 2025
Abstract
Urban building energy modeling (UBEM) is crucial for assessing energy consumption patterns at the city-scale and for supporting data driven planning and decarbonization strategies. However, its practical deployment is often hindered by the need to balance detailed physics-based simulations with acceptable computation times [...] Read more.
Urban building energy modeling (UBEM) is crucial for assessing energy consumption patterns at the city-scale and for supporting data driven planning and decarbonization strategies. However, its practical deployment is often hindered by the need to balance detailed physics-based simulations with acceptable computation times when thousands of buildings are involved. This work presents a large-scale real world UBEM case study and proposes a workflow that combines EnergyPlus simulations, high-performance computing (HPC), and open urban datasets to model the energy consumption of the building stock in the Municipality of Bologna, Italy. Geometric data such as building footprints and heights were acquired from the Bologna Open Data portal and complemented by aerial light detection and ranging (LiDAR) measurements to refine elevations and roof geometries. Non-geometrical building characteristics, including wall materials, insulation levels, and window properties, were derived from local building regulations and the European TABULA project, enabling the assignment of archetypes in contexts where granular information about building materials is not available. The pipeline’s modular design allows us to analyze different combinations of retrofitting scenarios, making it possible to identify the groups of buildings that would benefit the most. A key feature of the workflow is the use of Leonardo, the supercomputer hosted and managed by Cineca, which made it possible to simulate the energy consumption of approximately 25,000 buildings in less than 30 min. In contrast to approaches that mainly reduce computation time by simplifying the physical model or aggregating representative buildings, the HPC-based workflow allows the entire building stock to be individually simulated (within the intrinsic simplifications of UBEM) without introducing further compromises in model detail. Overall, this case study demonstrates that the combination of open data and HPC-accelerated UBEM can deliver city-scale energy simulations that are both computationally tractable and sufficiently detailed to inform municipal decision-making and future digital twin applications. Full article
34 pages, 2000 KB  
Article
A Fast Two-Stage Analytical Framework for Real-Time Daylight Simulation in Smart Buildings
by Pavol Belany, Stefan Sedivy, Marek Roch and Roman Budjac
Electronics 2026, 15(1), 19; https://doi.org/10.3390/electronics15010019 (registering DOI) - 20 Dec 2025
Abstract
This paper presents a computationally efficient two-stage analytical framework for predicting daylight performance in buildings. It is designed to support real-time applications in smart lighting and intelligent building management systems. This approach combines a facade lighting model—driven by solar geometry and atmospheric transmittance—with [...] Read more.
This paper presents a computationally efficient two-stage analytical framework for predicting daylight performance in buildings. It is designed to support real-time applications in smart lighting and intelligent building management systems. This approach combines a facade lighting model—driven by solar geometry and atmospheric transmittance—with an interior light distribution module that represents the window as a discretized light source. This formulation provides a lightweight alternative to computationally intensive ray tracing methods. It allows rapid estimation of spatial lighting patterns with minimal input data. The framework is validated using a one-year measurement campaign with class A photometric sensors in three facade orientations. The facade module achieved an average relative error below 15%, while the interior lighting model yielded an RMSE of 83 lx (≈10% error). The integrated system demonstrated an overall average deviation of 18.6% under different sky and season conditions. Owing to its low computational complexity and physically transparent formulation, the proposed method is suitable for deployment in smart building platforms, including daylight-responsive lighting control, embedded energy management systems, and digital twins requiring fast and continuous simulation of daylight availability. Full article
(This article belongs to the Special Issue New Trends in Energy Saving, Smart Buildings and Renewable Energy)
Show Figures

Figure 1

29 pages, 4553 KB  
Article
Integrating Machine Learning Temporal Disaggregation and Physics-Based Simulation for Lifecycle Assessment of Buildings
by Giannis Iakovides, Renos Rotas, Petros Iliadis, Stefanos Petridis, Nikos Nikolopoulos and Elias Kosmatopoulos
Energies 2026, 19(1), 21; https://doi.org/10.3390/en19010021 - 19 Dec 2025
Abstract
This study presents an integrated framework for lifecycle assessment (LCA) and lifecycle costing (LCC) of buildings and districts that combines machine learning-based temporal disaggregation, physics-based simulation, and holistic environmental evaluation. The methodology addresses a key limitation of conventional LCA practice: the reliance on [...] Read more.
This study presents an integrated framework for lifecycle assessment (LCA) and lifecycle costing (LCC) of buildings and districts that combines machine learning-based temporal disaggregation, physics-based simulation, and holistic environmental evaluation. The methodology addresses a key limitation of conventional LCA practice: the reliance on temporally aggregated energy data, which obscures daily and seasonal variability affecting environmental and economic indicators. A hierarchical disaggregation algorithm was used to reconstruct hourly electricity profiles from monthly totals and was coupled with the INTEMA building energy performance simulator and the VERIFY LCA/LCC platform. The disaggregation algorithm was validated on an office building in Cardiff, UK, supported by cross-validation across multiple UK office buildings, and achieved strong agreement with measured hourly consumption (R2 = 0.81, RMSE = 3.71 kWh). In the Cardiff case, the reconstructed hourly profiles reproduced lifecycle greenhouse gas emissions and costs within 0.5% of the reference hourly measurement approach, compared with deviations of 44.1% and 2.9% under conventional monthly aggregation. The complete hybrid framework was then applied to a district in Massagno, Switzerland, encompassing eight buildings with heterogeneous typologies, for which only aggregated energy data were available (monthly for the office building and annual for the others). Over a 20-year horizon, total emissions reached 9429 tCO2-eq and primary energy demand approached 226 GWh, equivalent to 41 kgCO2-eq·m−2·yr−1. The results illustrate the framework’s applicability to multi-building systems and its ability to support LCA and LCC in contexts with limited temporal data availability. Full article
Show Figures

Figure 1

38 pages, 20552 KB  
Article
Energy Performance and Optimization of Window Insulation System for Single-Story Heated Industrial Building Retrofits in the Severe Cold Regions of Northeast China
by Meng Chen and Lin Feng
Buildings 2025, 15(24), 4572; https://doi.org/10.3390/buildings15244572 (registering DOI) - 18 Dec 2025
Abstract
Optimizing window insulation is crucial for reducing heat loss and energy use in industrial buildings in Northeast China’s severe cold regions. Based on six typical building prototypes identified via cluster analysis of field survey data, this study used DesignBuilder (Version 6.1.0.006) to simulate [...] Read more.
Optimizing window insulation is crucial for reducing heat loss and energy use in industrial buildings in Northeast China’s severe cold regions. Based on six typical building prototypes identified via cluster analysis of field survey data, this study used DesignBuilder (Version 6.1.0.006) to simulate the influence of key parameters for insulation materials (type, thickness, emissivity) and installation methods (position, air cavity, operation). Simulations reveal that the energy-saving potential is inversely proportional to a building’s existing thermal performance, reaching a maximum of 10.3%. Regarding material selection, results indicate that reducing surface emissivity from 0.92 to 0.05 effectively substitutes for approximately 20 mm of physical insulation thickness. Transparent films prioritize daytime comfort, raising nighttime temperatures by 1.5 °C, whereas opaque panels excel at nighttime insulation with a 2.28 °C increase. Techno-economic analysis identifies low-emissivity foil combined with EPS or XPS as the most cost-effective strategy, achieving rapid payback periods of 0.6–3.2 years. Regarding installation, an external configuration with a 20 mm air cavity and vertical operation was identified as optimal, yielding 1.5–2.0% greater energy savings than an internal setup. This study provides tailored retrofitting strategies for industrial building windows in these regions. Full article
(This article belongs to the Section Building Energy, Physics, Environment, and Systems)
Show Figures

Figure 1

33 pages, 7724 KB  
Article
Energy Partitioning and Air Temperature Anomalies Above Urban Surfaces: A High-Resolution PALM-4U Study
by Daniela Cava, Luca Mortarini, Tony Christian Landi, Oxana Drofa, Giorgio Veratti, Edoardo Fiorillo, Umberto Giostra and Daiane de Vargas Brondani
Atmosphere 2025, 16(12), 1401; https://doi.org/10.3390/atmos16121401 - 12 Dec 2025
Viewed by 129
Abstract
Urban heat islands intensify heat stress and degrade air quality in densely built areas, yet the physical processes governing near-surface thermal variability remain poorly quantified. This study applies the coupled MOLOCH and PALM model system 6.0 (PALM-4U) over Bologna (Italy) during a summer [...] Read more.
Urban heat islands intensify heat stress and degrade air quality in densely built areas, yet the physical processes governing near-surface thermal variability remain poorly quantified. This study applies the coupled MOLOCH and PALM model system 6.0 (PALM-4U) over Bologna (Italy) during a summer 2023 heatwave to resolve meter-scale atmospheric dynamics within the Urban Canopy Layer and Roughness Sublayer at 2 m horizontal resolution. The coupled configuration was validated against in situ meteorological observations and Landsat-8 LST data, showing improved agreement in air temperature and wind speed compared to standalone mesoscale simulations. Results reveal pronounced diurnal and vertical variability of wind speed, turbulent kinetic energy, and friction velocity, with maxima between two/three times the median building height (hc). Distinct surface-dependent contrasts emerge: asphalt and roofs act as strong daytime heat sources (Bowen ratio βasphalt ≈ 4.8) and nocturnal heat reservoirs at pedestrian level (z ≈ 0.07 hc), while vegetation sustains daytime latent heat fluxes (βvegetation ≈ 0.6÷0.8) and cooler surface and near-surface air (Temperature anomaly of surface ΔTs ≈ −9 °C and air ΔTair ≈ −0.3 °C). Thermal anomalies decay with height, vanishing above z ≈ 2.5 hc due to turbulent mixing. These findings provide insight into fine-scale energy exchanges driving intra-urban thermal heterogeneity and support climate-resilient urban design. Full article
(This article belongs to the Section Biosphere/Hydrosphere/Land–Atmosphere Interactions)
Show Figures

Figure 1

22 pages, 57539 KB  
Article
From Measured In Situ Stress to Dynamic Simulation: A Calibrated 3DEC Model of a Rock Quarry
by Vivien De Lucia, Domenico Gullì, Daria Marchetti and Riccardo Salvini
Appl. Sci. 2025, 15(24), 13100; https://doi.org/10.3390/app152413100 - 12 Dec 2025
Viewed by 140
Abstract
Accurately reproducing the mechanical and dynamic behavior of fractured rock masses remains a key challenge in rock engineering, especially in marble quarry environments where discontinuity networks, excavation geometry, and topographic effects induce highly non-linear stress distributions. This study presents a multidisciplinary and physically [...] Read more.
Accurately reproducing the mechanical and dynamic behavior of fractured rock masses remains a key challenge in rock engineering, especially in marble quarry environments where discontinuity networks, excavation geometry, and topographic effects induce highly non-linear stress distributions. This study presents a multidisciplinary and physically calibrated numerical approach integrating field stress measurements, structural characterization, and dynamic modeling using the Distinct Element Method (DEM). The analysis focuses on a marble quarry located in the Apuan Alps (Italy), a tectonically complex metamorphic massif characterized by intense deformation and pervasive jointing that strongly influence rock mass behavior under both static and seismic loading. The initial stress field was calibrated using in situ measurements obtained by the CSIRO Hollow Inclusion technique, enabling reconstruction of the three-dimensional principal stress regime and its direct incorporation into a 3DEC numerical model. The calibrated model was then employed to simulate the dynamic response of the rock mass under seismic loading consistent with the Italian Building Code (NTC 2018). This coupled static–dynamic workflow provides a realistic evaluation of ground motion amplification, stress concentration, and potential failure mechanisms along pre-existing discontinuities. Results demonstrate that physically validated stress initialization yields a significantly more realistic response than models based on simplified lithostatic or empirical assumptions. The approach highlights the value of integrating geological, geotechnical, and seismological data into a unified modeling framework for a sustainable quarry stability analysis in fractured rock masses. Full article
(This article belongs to the Special Issue Advances and Techniques in Rock Fracture Mechanics)
Show Figures

Figure 1

26 pages, 1189 KB  
Systematic Review
Color in Urban Public Spaces: A Systematic Review for Evidence-Based Design
by Xiaoting Cheng, Guiling Zhao and Meng Xie
Buildings 2025, 15(24), 4474; https://doi.org/10.3390/buildings15244474 - 11 Dec 2025
Viewed by 339
Abstract
Color in urban public spaces is often approached as an aesthetic issue, yet it also governs psychological responses, legibility and safety, place identity, and environmental performance. Despite three decades of research, planners and designers still lack measurable, audit-ready guidance that links color decisions [...] Read more.
Color in urban public spaces is often approached as an aesthetic issue, yet it also governs psychological responses, legibility and safety, place identity, and environmental performance. Despite three decades of research, planners and designers still lack measurable, audit-ready guidance that links color decisions to verifiable outcomes. This paper presents a systematic review that consolidates evidence from environmental psychology, architecture and urban design, cultural studies, and building and urban physics. Studies were screened for outdoor or outward-facing settings and for explicitly reported color variables and performance indicators. The findings are organized into four domains in which color operates as a system variable: psychological and physiological effects; cultural expression and place identity; functional zoning and wayfinding; and sustainability and environmental adaptation. Across these domains, the review identifies robust patterns—such as the central role of luminance and saturation in shaping affect, attention, and visibility—while highlighting where outcomes are strongly conditioned by cultural, climatic, and material context. On this basis, the paper proposes an Objective–Strategy–Metric–Validation (OSMV) framework that connects design objectives to color strategies, quantitative metrics (e.g., color difference, contrast, and reflectance measures), and procedures for simulation or field validation. Framed in this way, color emerges not as a decorative accessory but as a measurable design variable that can be integrated into performance-based planning, regulation, and multi-objective optimization of urban public spaces. Full article
(This article belongs to the Section Architectural Design, Urban Science, and Real Estate)
Show Figures

Figure 1

23 pages, 3550 KB  
Article
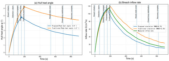
Digital Twin Framework for Predictive Simulation and Decision Support in Ship Damage Control
by Bo Wang, Yue Hou, Yongsheng Zhang, Kangbo Wang and Jianwei Huang
J. Mar. Sci. Eng. 2025, 13(12), 2348; https://doi.org/10.3390/jmse13122348 - 9 Dec 2025
Viewed by 291
Abstract
Ship damage control (DC) is pivotal to platform survivability in the face of battle damage and severe accidents. The DC context features multi-hazard coupling among flooding, fire, and smoke, as well as fast system dynamics and intensive human–machine collaboration, demanding real-time predictive simulation [...] Read more.
Ship damage control (DC) is pivotal to platform survivability in the face of battle damage and severe accidents. The DC context features multi-hazard coupling among flooding, fire, and smoke, as well as fast system dynamics and intensive human–machine collaboration, demanding real-time predictive simulation and decision support. Conventional DC simulations fall short in multiphysics fidelity, predictive speed, and integration with onboard sensing and control. A digital twin (DT) framework for predictive shipboard DC is introduced with an explicit capability envelope, observability, and latency requirements, and a cyber-physical mapping to ship systems. Building on this foundation, a three-stage/four-level maturity model charts progression from L1 monitoring, through L2 prediction and L3 human-in-the-loop, override-enabled plan generation, to L4 closed-loop decision control, specifying capability milestones and evaluation metrics. Guided by this model, a four-layer architecture and an end-to-end roadmap are formulated, spanning multi-domain modeling, multi-source sensing and fusion, surrogate-accelerated multiphysics simulation, assisted plan generation with human approval/override, and cyber-physical closed-loop control. The framework aligns interfaces, performance targets, and verification pathways, providing actionable guidance to upgrade shipboard DC toward resilient, efficient, and human-centric operation under multi-hazard coupling. Full article
(This article belongs to the Section Ocean Engineering)
Show Figures

Figure 1

22 pages, 7564 KB  
Article
Tacholess, Physics-Informed NVH Diagnosis for EV Powertrains with Smartphones: An Open Benchmark
by Ignacio Benavides, Cristina Castejón, Víctor Montenegro and Julio Guerra
World Electr. Veh. J. 2025, 16(12), 663; https://doi.org/10.3390/wevj16120663 - 9 Dec 2025
Viewed by 220
Abstract
This paper presents a physics-informed, tacholess pipeline for smartphone-grade Noise, Vibration, and Harshness (NVH) diagnosis in electric vehicle powertrains. A configurable generator synthesizes labeled signals with order components (1×/2×/3×), AM/FM modulation, sub-harmonics, impact-driven ring-down near resonance, and realistic white/pink/ambient noise at phone bandwidths. [...] Read more.
This paper presents a physics-informed, tacholess pipeline for smartphone-grade Noise, Vibration, and Harshness (NVH) diagnosis in electric vehicle powertrains. A configurable generator synthesizes labeled signals with order components (1×/2×/3×), AM/FM modulation, sub-harmonics, impact-driven ring-down near resonance, and realistic white/pink/ambient noise at phone bandwidths. A ridge-guided harmonic comb recenters orders without a tachometer and splits tonal from residual content. Interpretable features—order-invariant ratios (E2×/E1×, SB1/E1×, E0.5×/E1×) and residual descriptors (band-power, kurtosis, cepstrum/WPT)—feed light-compute models. A reproducible benchmark stresses SNR (−5…+10 dB), RPM profiles (ramp/steps/cycles), and simulated domain shift; parameter-to-feature analyses (with Sobol sensitivity and a delta-method identifiability proxy) quantify measurability under phone constraints. Across a five-fold CV, tacholess order tracking increases tonal SNR by ≥+6 dB and yields macro-F1 ≈ 0.86 with Random Forest, while ordinal severity achieves QWK ≈ 0.81 (ECE ≈ 0.06) and regression attains MAE ≈ 0.12 (R2 ≈ 0.78). All code, datasets, figures, and tables regenerate from fixed seeds with one-command builds; a data card and a sim-to-real guide are included. The result is an open, low-compute standard that couples reproducibility with physics-aligned interpretability, providing a practical baseline for EV NVH diagnostics with smartphones and a common ground for future field validation. Full article
Show Figures

Graphical abstract

35 pages, 2154 KB  
Article
Real-Time Digital Twins for Building Energy Optimization Through Blind Control: Functional Mock-Up Units, Docker Container-Based Simulation, and Surrogate Models
by Cristina Nuevo-Gallardo, Iker Landa del Barrio, Markel Flores Iglesias, Juan B. Echeverría Trueba and Carlos Fernández Bandera
Appl. Sci. 2025, 15(24), 12888; https://doi.org/10.3390/app152412888 - 6 Dec 2025
Viewed by 325
Abstract
The transition toward energy-efficient and smart buildings requires Digital Twins (DTs) that can couple real-time data with physics-based Building Energy Models (BEMs) for predictive and adaptive operation. Yet, despite rapid digitalisation, there remains a lack of practical guidance and real-world implementations demonstrating how [...] Read more.
The transition toward energy-efficient and smart buildings requires Digital Twins (DTs) that can couple real-time data with physics-based Building Energy Models (BEMs) for predictive and adaptive operation. Yet, despite rapid digitalisation, there remains a lack of practical guidance and real-world implementations demonstrating how calibrated BEMs can be effectively integrated into Building Management Systems (BMSs). This study addresses that gap by presenting a complete and reproducible end-to-end framework for embedding physics-based BEMs into operational DTs using two setups: (i) encapsulation as Functional Mock-up Units (FMUs) and (ii) containerisation via Docker. Both approaches were deployed and tested in a real educational building in Cáceres (Spain), equipped with a LoRaWAN-based sensing and actuation infrastructure. A systematic comparison highlights their respective trade-offs: FMUs offer faster execution but limited weather inputs and higher implementation effort, whereas Docker-based workflows provide full portability, scalability, and native interoperability with Internet of Things (IoT) and BMS architectures. To enable real-time operation, a surrogate modelling framework was embedded within the Docker architecture to replicate the optimisation logic of the calibrated BEM and generate predictive blind control schedules in milliseconds—bypassing simulation overhead and enabling continuous actuation. The combined Docker + surrogate setup achieved 10–15% heating energy savings during winter operation without any HVAC retrofit. Beyond the case study, this work provides a step-by-step, in-depth guideline for practitioners to integrate calibrated BEMs into real-time control loops using existing toolchains. The proposed approach demonstrates how hybrid physics- and data-driven DTs can transform building management into a scalable, energy-efficient, and operationally deployable reality. Full article
Show Figures

Figure 1

26 pages, 10959 KB  
Article
Application of a Combined Synthetic-Perturbation Method for Turbulent Inflow in Time-Varying Urban LES
by Ju-Wan Woo and Sang-Hyun Lee
Atmosphere 2025, 16(12), 1380; https://doi.org/10.3390/atmos16121380 - 5 Dec 2025
Viewed by 174
Abstract
This study investigates inflow turbulence strategies for large-eddy simulations (LES) of urban boundary layers under time-varying atmospheric conditions. A combined approach integrating a digital-filter-based synthetic turbulence generator (STG) with the cell perturbation method (CPM) is proposed to reduce turbulence adjustment distance and improve [...] Read more.
This study investigates inflow turbulence strategies for large-eddy simulations (LES) of urban boundary layers under time-varying atmospheric conditions. A combined approach integrating a digital-filter-based synthetic turbulence generator (STG) with the cell perturbation method (CPM) is proposed to reduce turbulence adjustment distance and improve vertical mixing. Using the PALM model, 24 h simulations were conducted over a real urban domain in Seoul, capturing diurnal transitions in stability and wind direction. Six experiments were compared: two reference runs with extended upstream fetch, and four analysis runs without fetch, applying different inflow strategies (NOT, STG, CPM, and CPM + STG). Results indicate that CPM + STG mitigates abrupt structural transitions and sustains turbulence kinetic energy (TKE) more consistently than STG alone, while requiring lower computational cost than extended-fetch configurations. Under unstable daytime conditions, CPM + STG enhanced vertical mixing and preserved local boundary-layer height closer to background values, whereas nighttime performance was dominated by building-induced shear regardless of inflow strategy. These findings suggest that the combined CPM + STG approach achieves a balance between physical realism and computational efficiency, demonstrating its potential as a robust inflow strategy for time-varying urban LES within limited domain sizes. Full article
(This article belongs to the Section Meteorology)
Show Figures

Figure 1

26 pages, 18827 KB  
Article
Physics-Driven Machine-Learning Retrieval and Uncertainty Quantification of Crop Leaf Area Index
by Wei Liu, Xiaohua Zhu, Suyi Yang and Zhihai Gao
Remote Sens. 2025, 17(23), 3924; https://doi.org/10.3390/rs17233924 - 4 Dec 2025
Viewed by 243
Abstract
Leaf Area Index (LAI) is a key biophysical descriptor of crop canopies and is essential for growth monitoring and yield estimation. We present a physics-driven machine-learning framework for operational LAI retrieval and end-to-end uncertainty quantification that couples the PROSAIL radiative transfer model with [...] Read more.
Leaf Area Index (LAI) is a key biophysical descriptor of crop canopies and is essential for growth monitoring and yield estimation. We present a physics-driven machine-learning framework for operational LAI retrieval and end-to-end uncertainty quantification that couples the PROSAIL radiative transfer model with a genetic-algorithm-optimised multilayer perceptron (NN–GA). PROSAIL is sampled across plausible parameter priors and spectra are convolved with Sentinel-2B spectral response functions to build a 30,000-sample training library; a GA is used to globally optimise network weights and biases. Total retrieval uncertainty is decomposed into a simulation component (PROSAIL parameter variability) and a training component (variability across repeated NN–GA trainings) and combined via the law of propagation of uncertainty. The model was developed in Minqin (modelling/testing area; entirely maize) and transferred to Zhangye (transfer/validation area; predominantly maize, with one sunflower plot). Sentinel-2B validation results were RMSE/R2 = 0.44/0.73 (Minqin) and 0.40/0.56 (Zhangye), indicating reasonable cross-site generalisation. The uncertainty split indicates physical-driven contributions of 11.42% and 11.48% and machine-learning contributions of 18.06% and 12.96%, respectively. The framework improves 10 m LAI retrieval accuracy and supplies a reproducible, per-pixel uncertainty budget to guide product use and refinement. Full article
Show Figures

Figure 1

35 pages, 4295 KB  
Article
Simulation-Driven Deep Transfer Learning Framework for Data-Efficient Prediction of Physical Experiments
by Soo-Young Lim, Han-Bok Seo and Seung-Yop Lee
Mathematics 2025, 13(23), 3884; https://doi.org/10.3390/math13233884 - 4 Dec 2025
Viewed by 219
Abstract
Transfer learning, which utilizes extensive simulation data to overcome the limitations of scarce and expensive experimental data, has emerged as a powerful approach for predictive modeling in various physical domains. This study presents a comprehensive framework to improve the predictive performance of transfer [...] Read more.
Transfer learning, which utilizes extensive simulation data to overcome the limitations of scarce and expensive experimental data, has emerged as a powerful approach for predictive modeling in various physical domains. This study presents a comprehensive framework to improve the predictive performance of transfer learning, focusing on quasi-zero stiffness (QZS) systems with limited experimental datasets. The proposed framework systematically examines the interplay among three critical factors in the target domain: data augmentation, layer-freezing configurations, and neural network architecture. Simulation-driven synthetic data are generated to capture dynamic features not represented in the sparse experimental data. The optimal transfer depth is explored by evaluating different scenarios of selective layer freezing and fine-tuning. Results show that partial transfer strategies outperform both full-transfer and non-transfer approaches, leading to more stable and accurate predictions. To investigate hierarchical transfer, both symmetric and asymmetric network architectures are designed, embedding physically meaningful representations from simulations into the deeper layers of the target model. Furthermore, an attention mechanism is integrated to emphasize material-specific characteristics. Building on these components, the proposed simulation-driven framework predicts the full force–displacement responses of QZS systems using only 12 experimental samples. Through a systematic comparison of three datasets (direct transfer, linear correction, FEM-based correction), three network architectures, and seven layer-freezing scenarios, the framework achieves a best test performance of R2 = 0.978 and MAE = 0.34 Newtons. Full article
(This article belongs to the Special Issue Advances in Neural Networks and Their Applications)
Show Figures

Figure 1

19 pages, 1534 KB  
Review
An Analytical Review of Humidity-Regulating Materials: Performance Optimization and Applications in Hot and Humid Regions
by Dongliang Zhang, Tingyu Wang, Bo Zhou, Pengfei Zhang and Jiankun Yang
Buildings 2025, 15(23), 4376; https://doi.org/10.3390/buildings15234376 - 2 Dec 2025
Viewed by 392
Abstract
Humidity-regulating materials (HRMs) represent a promising class of passive, energy-efficient materials capable of autonomously modulating indoor environmental conditions, particularly in hot and humid regions where conventional HVAC systems account for up to 50% of building energy consumption. While prior reviews have focused on [...] Read more.
Humidity-regulating materials (HRMs) represent a promising class of passive, energy-efficient materials capable of autonomously modulating indoor environmental conditions, particularly in hot and humid regions where conventional HVAC systems account for up to 50% of building energy consumption. While prior reviews have focused on material classification and performance metrics, a systematic synthesis of performance optimization strategies and quantitative application outcomes remains lacking. This review addresses this gap by consolidating advances in HRM enhancement through material compounding, physical modification, and chemical functionalization, resulting in performance improvements such as a 70% increase in moisture absorption with 3% fiber addition, a 1.2-fold enhancement in adsorption capacity via pore optimization, and up to 50% energy savings in building applications. Furthermore, the integration of HRMs into radiant cooling systems elevates the dew point temperature difference by 181%, effectively mitigating condensation risks. Simulation tools—ranging from 1D to 3D multiphysics models—have advanced predictive accuracy for coupled heat and moisture transfer, supporting optimized material design and system integration. By systematically summarizing performance metrics, enhancement mechanisms, and real-world applications, this work provides a quantitative and structured reference for the development and deployment of next-generation HRMs in sustainable building systems. Full article
(This article belongs to the Special Issue Enhancing Building Resilience Under Climate Change)
Show Figures

Figure 1

17 pages, 3414 KB  
Article
Research on Low-Frequency Sound Absorption Based on the Combined Array of Hybrid Digital–Analog Shunt Loudspeakers
by Jiachen Liu, Yubing Xu, Chaonan Cong and Jiawei Wu
Appl. Sci. 2025, 15(23), 12774; https://doi.org/10.3390/app152312774 - 2 Dec 2025
Viewed by 240
Abstract
Low-frequency noise, the most critical noise frequency band affecting human physical and mental health, poses a significant challenge for effective control in spatially constrained building environments. The shunt loudspeaker offers a novel solution to control low-frequency noise. Unlike traditional methods, it does not [...] Read more.
Low-frequency noise, the most critical noise frequency band affecting human physical and mental health, poses a significant challenge for effective control in spatially constrained building environments. The shunt loudspeaker offers a novel solution to control low-frequency noise. Unlike traditional methods, it does not rely on large cavity depth but only requires the adjustment of parameters or structure of the shunt circuit. However, most shunt loudspeakers utilize analog shunt technology, which leads to instability and inaccuracy owing to the negative impedance converter circuit and parasitic impedance in analog electronic components. The paper proposes a tunable low-frequency sound absorber utilizing a combined array of hybrid digital–analog shunt loudspeakers. The theoretical model was established based on the electro-mechanical–acoustic analogy method and parallel impedance method. Numerical simulations and experimental studies were performed to verify the proposed model. The results demonstrate that the proposed absorber can achieve excellent low-frequency sound absorption capability by designing only a few digital filter parameters, while simultaneously enhancing the stability and accuracy of the system. This study presents a promising innovative method for low-frequency noise control at sub-wavelength scales, providing a space-efficient solution. Full article
(This article belongs to the Special Issue Novel Advances in Noise and Vibration Control)
Show Figures

Figure 1

Back to TopTop