Sign in to use this feature.

Years

Between: -

Subjects

remove_circle_outline
remove_circle_outline
remove_circle_outline
remove_circle_outline
remove_circle_outline
remove_circle_outline
remove_circle_outline
remove_circle_outline
remove_circle_outline

Journals

remove_circle_outline
remove_circle_outline
remove_circle_outline
remove_circle_outline
remove_circle_outline

Article Types

Countries / Regions

remove_circle_outline
remove_circle_outline
remove_circle_outline
remove_circle_outline

Search Results (705)

Search Parameters:
Keywords = broadband model

Order results
Result details
Results per page
Select all
Export citation of selected articles as:
29 pages, 7719 KB  
Article
Analysis of the Dual-Functional Broadband Properties of an Asymmetric Piezoelectric Metamaterial Beam for Simultaneous Vibration Reduction and Energy Harvesting
by Xingguo Wang, Qiuju Xie, Lan Wang, Haisheng Shu and Hongyan Wang
Materials 2025, 18(21), 5003; https://doi.org/10.3390/ma18215003 - 1 Nov 2025
Viewed by 38
Abstract
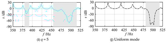
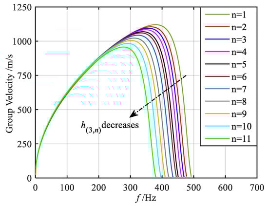
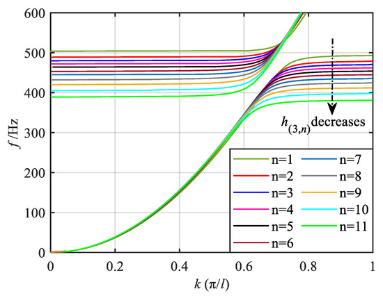
This paper investigates the dual-functional broadband properties of an asymmetric piezoelectric metamaterial beam for simultaneous vibration reduction and energy harvesting. Firstly, a grading method is proposed, and an asymmetric piezoelectric metamaterial beam structure model with the gradient mode is established. The effects of [...] Read more.
This paper investigates the dual-functional broadband properties of an asymmetric piezoelectric metamaterial beam for simultaneous vibration reduction and energy harvesting. Firstly, a grading method is proposed, and an asymmetric piezoelectric metamaterial beam structure model with the gradient mode is established. The effects of various gradient modes on the grading parameters of each segment are examined. Subsequently, the band structure and group velocity of each segment are examined to elucidate the propagation and energy harvesting mechanisms for the bending-dominated wave. Furthermore, the evaluation criteria for dual-functional properties in the gradient mode are introduced, revealing the broadening law of the dual-functional band under various gradient modes. Finally, the theoretical results are analyzed and compared with the finite element method (FEM). The results show that in gradient mode, the bending-dominated wave in the asymmetric piezoelectric metamaterial beam generates the spatial frequency division and enhances wave field energy. Compared with the uniform mode, the gradient modes can simultaneously achieve dual-functional effects in both the low-frequency and broadband ranges, significantly improving performance. Parameters such as gradient modes and grading variation ranges significantly impact the dual-functional performance. By reasonably selecting the grading parameters, enhanced dual-functional performance can be achieved. Full article
(This article belongs to the Section Energy Materials)
Show Figures

Figure 1

20 pages, 8099 KB  
Article
Multidisciplinary Constraints on the Lithospheric Architecture of the Eastern Heihe-Hegenshan Suture (NE China) from Magnetotelluric Imaging and Laboratory-Based Conductivity Experiment
by Tong Sun, Mengqi Wang, Qichun Yin, Kang Wang, Huaben Yang, Tianen Zhang, Jia Feng and He Yuan
Minerals 2025, 15(11), 1144; https://doi.org/10.3390/min15111144 - 31 Oct 2025
Viewed by 175
Abstract
The Central Asian Orogenic Belt (CAOB) represents one of the largest Phanerozoic accretionary orogenic systems globally, with its easternmost segment located in Northeast China. This study integrated broadband magnetotelluric (MT) surveys, geochemical analyses, and high-pressure, high-temperature electrical conductivity experiments to elucidate the deep [...] Read more.
The Central Asian Orogenic Belt (CAOB) represents one of the largest Phanerozoic accretionary orogenic systems globally, with its easternmost segment located in Northeast China. This study integrated broadband magnetotelluric (MT) surveys, geochemical analyses, and high-pressure, high-temperature electrical conductivity experiments to elucidate the deep structural characteristics and tectonic evolution of the Heihe-Hegenshan Suture (HHS) within the CAOB. A dense MT profile survey comprising 15 stations was deployed across the HHS, revealing distinct high-conductivity anomalies interpreted as the suture zone and associated tectonic features. Geochemical and petrophysical analyses of representative andesite and granite samples under simulated crustal conditions (573–973 K, 1.0 GPa) provided critical constraints for MT data interpretation. The integration of MT inversion results with aeromagnetic and Bouguer gravity anomaly data delineates the strike and spatial extent of the HHS, confirming its continuity and northward extension beyond previously recognized limits. Numerical modeling of geothermal gradients and electrical conductivity–depth relationships highlights the dominant role of hydrothermal fluids and alteration minerals in controlling shallow high-conductivity anomalies (<5 km), while deeper structures (>5 km) reflect temperature-controlled rock conductivity. These findings offer novel insights into the lithospheric-scale architecture and geodynamic processes governing the HHS, advancing our understanding of complex accretionary orogenesis in the CAOB. Full article
Show Figures

Figure 1

23 pages, 888 KB  
Article
Quantifying Urban Ecosystem Services for Community-Level Planning: A Machine Learning Framework for Service Quality and Residents’ Perceptions in Wuhan, China
by Fan Zhang, Yuqing Dong, Qikai Zhang, Yifang Luo and Aihua Han
Urban Sci. 2025, 9(11), 449; https://doi.org/10.3390/urbansci9110449 - 30 Oct 2025
Viewed by 219
Abstract
Urban ecosystem services (ESs) are increasingly recognized as critical determinants of residents’ quality of life and well-being. This study develops a data-driven demand–supply matching framework to integrate ES concepts into community-level planning and service performance evaluation. Based on 312 resident surveys across 10 [...] Read more.
Urban ecosystem services (ESs) are increasingly recognized as critical determinants of residents’ quality of life and well-being. This study develops a data-driven demand–supply matching framework to integrate ES concepts into community-level planning and service performance evaluation. Based on 312 resident surveys across 10 communities in Wuhan, China, we identify the key environmental attributes shaping perceived service quality. A random forest (RF) algorithm is employed to assess the relative importance of environmental features, while a multinomial logit (Mlogit) model quantifies their specific effects. The results highlight that community autonomy, neighborhood relations, environmental awareness, and infrastructure—such as broadband networks and security systems—play pivotal roles in improving service quality. Although provisioning and regulating ESs, such as safety and infrastructure, are relatively well established, cultural services that promote social cohesion and civic participation remain under-supported. These findings uncover the heterogeneity of residents’ environmental expectations and provide actionable insights for incorporating ES-oriented thinking into community planning and fiscal decision-making. By bridging ecological theory with operational urban governance, this study contributes a replicable approach for advancing more inclusive and sustainable community development. Full article
Show Figures

Figure 1

32 pages, 6947 KB  
Article
Duct Metamaterial Muffler with Composite Acoustic Porous Media: Acoustic Optimization via Periodic Arrangement, Particle Swarm Optimization and Experimental Validation
by Ziyi Liu, An Wang, Chi Cai, Xiao Wang, Qiyuan Fan, Bin Huang, Chengwen Liu and Yizhe Huang
Materials 2025, 18(21), 4873; https://doi.org/10.3390/ma18214873 - 24 Oct 2025
Viewed by 315
Abstract
This study proposes a composite acoustic porous duct metamaterial muffler composed of a perforated tortuous channel and an externally wrapped porous layer, integrating both structural resonance and material damping effects. Theoretical models for the perforated plate, tortuous channel, and porous material were established, [...] Read more.
This study proposes a composite acoustic porous duct metamaterial muffler composed of a perforated tortuous channel and an externally wrapped porous layer, integrating both structural resonance and material damping effects. Theoretical models for the perforated plate, tortuous channel, and porous material were established, and analytical formulas for the total acoustic impedance and transmission loss of the composite structure were derived. Finite element simulations verified the accuracy of the models. A systematic parametric study was then performed on the effects of porous material type, thickness, and width on acoustic performance, showing that polyester fiber achieves the best results at a thickness of 30 mm and a width of 5 mm. Further analysis of periodic distribution modes revealed that axial periodic arrangement significantly enhances the peak noise attenuation, radial periodic arrangement broadens the effective bandwidth, and multi-frequency parallel configurations further expand the operating range. Considering practical duct conditions, a single-layer multi-cell array was constructed, and its modal excitation mechanism was clarified. By employing the Particle Swarm Optimization (PSO) algorithm for multi-parameter optimization, the average transmission loss was improved from 26.493 dB to 29.686 dB, corresponding to an increase of approximately 12.05%. Finally, physical samples were fabricated via 3D printing, and four-sensor impedance tube experiments confirmed good agreement among theoretical, numerical, and experimental results. The composite structure exhibited an average experimental transmission loss of 24.599 dB, outperforming the configuration without porous material. Overall, this work highlights substantial scientific and practical advances in sound energy dissipation mechanisms, structural optimization design, and engineering applicability, providing an effective approach for broadband and high-efficiency duct noise reduction. Full article
(This article belongs to the Section Materials Physics)
Show Figures

Figure 1

28 pages, 8199 KB  
Article
Vibration Characteristics of a Beam with Elastic Time-Varying Stiffness Boundaries
by Zhiwei Guo, Yu Zhang, Meiping Sheng, Leilei Liu and Yinling Li
Appl. Sci. 2025, 15(21), 11365; https://doi.org/10.3390/app152111365 - 23 Oct 2025
Viewed by 229
Abstract
In a conventional elastic beam with steady boundary stiffness, vibrational energy tends to concentrate at specific modal frequencies, often resulting in significant resonance phenomena. To address this issue, a novel control strategy is proposed in this study, in which the stiffness of boundary [...] Read more.
In a conventional elastic beam with steady boundary stiffness, vibrational energy tends to concentrate at specific modal frequencies, often resulting in significant resonance phenomena. To address this issue, a novel control strategy is proposed in this study, in which the stiffness of boundary springs is dynamically modulated to alter the resonance characteristics of the beam. The Newmark–Beta method is employed to compute the transient response of the beam with time-varying stiffness in the time domain. A series of numerical simulations is conducted to analyze the vibration behavior of the structure under single-model frequency, multimodal frequency, narrowband, and broadband random excitations. The results indicate that time-varying stiffness effectively redistributes energy from resonance frequencies to other frequency bands, thereby suppressing resonance peaks and reducing displacement amplitudes. Furthermore, parametric analysis reveals that increasing the range of stiffness variation enhances spectral dispersion and improves vibration attenuation performance, and increasing the average stiffness level helps improve energy dispersion; however, it may lead to a slight increase in vibration response at low frequencies. Full article
(This article belongs to the Special Issue Novel Advances in Noise and Vibration Control)
Show Figures

Figure 1

10 pages, 2134 KB  
Article
Evaluation of Plasma Dynamic Parameters of a Multi-Layer MIF Target Under Exposure to External Broadband Radiation
by Victor V. Kuzenov, Sergei V. Ryzhkov and Artem G. Polyanskiy
Appl. Sci. 2025, 15(20), 11155; https://doi.org/10.3390/app152011155 - 17 Oct 2025
Viewed by 213
Abstract
This work presents a numerical investigation into broadband radiation effects (with energy flux densities q < 1014 W/cm2) on a magneto–inertial fusion (MIF) target. The calculation results demonstrate the impact of intense energy fluxes on a multi-layer cylindrical target that [...] Read more.
This work presents a numerical investigation into broadband radiation effects (with energy flux densities q < 1014 W/cm2) on a magneto–inertial fusion (MIF) target. The calculation results demonstrate the impact of intense energy fluxes on a multi-layer cylindrical target that provides more uniform and homogeneous compression. All principal dynamic parameters (plasma dynamics and radiative) of the compressed target plasma have been determined. The work performed allows us to draw the following initial conclusion: it is advisable to create compact neutron generators based on the MIF scheme on a multi-layer version of the target (made of “heavy” chemical elements). Full article
(This article belongs to the Special Issue Advances in Fusion Engineering and Design Volume II)
Show Figures

Figure 1

29 pages, 22311 KB  
Article
Comprehensive Optoelectronic Study of Copper Nitride: Dielectric Function and Bandgap Energies
by Manuel Ballester, Almudena P. Marquez, Eduardo Blanco, Jose M. Manuel, Maria I. Rodriguez-Tapiador, Susana M. Fernandez, Florian Willomitzer, Aggelos K. Katsaggelos and Emilio Marquez
Nanomaterials 2025, 15(20), 1577; https://doi.org/10.3390/nano15201577 - 16 Oct 2025
Viewed by 297
Abstract
Copper nitride (Cu3N) is gaining attention as an eco-friendly thin-film semiconductor in a myriad of applications, including storage devices, microelectronic components, photodetectors, and photovoltaic cells. This work presents a detailed optoelectronic study of Cu3N thin films grown by reactive [...] Read more.
Copper nitride (Cu3N) is gaining attention as an eco-friendly thin-film semiconductor in a myriad of applications, including storage devices, microelectronic components, photodetectors, and photovoltaic cells. This work presents a detailed optoelectronic study of Cu3N thin films grown by reactive RF-magnetron sputtering under pure N2. An overview of the state-of-the-art literature on this material and its potential applications is also provided. The studied films consist of Cu3N polycrystals with a cubic anti-ReO3 type structure exhibiting a preferential (100) orientation. Their optical properties across the UV-Vis-NIR spectral range were investigated using a combination of multi-angle spectroscopic ellipsometry, broadband transmission, and reflection measurements. Our model employs a stratified geometrical approach, primarily to capture the depth-dependent compositional variations of the Cu3N film while also accounting for surface roughness and the underlying glass substrate. The complex dielectric function of the film material is precisely determined through an advanced dispersion model that combines multiple oscillators. By integrating the Tauc–Lorentz, Gaussian, and Drude models, this approach captures the distinct electronic transitions of this polycrystal. This customized optical model allowed us to accurate extract both the indirect (1.83–1.85 eV) and direct (2.38–2.39 eV) bandgaps. Our multifaceted characterization provides one of the most extensive studies of Cu3N thin films to date, paving the way for optimized device applications and broader utilization of this promising binary semiconductor, and showing its particular potential for photovoltaic given its adequate bandgap energies for solar applications. Full article
Show Figures

Figure 1

13 pages, 2769 KB  
Article
Topology Optimization Design for Broadband Water-Based Electromagnetic Metamaterial Absorber with High Absorption Rate
by Pengfei Shi, Miao Wang, Yanpeng Zhu, Xiaodong Li, Renjing Gao, Hongge Zhao and Shutian Liu
Photonics 2025, 12(10), 984; https://doi.org/10.3390/photonics12100984 - 3 Oct 2025
Viewed by 328
Abstract
In order to establish a general design methodology for water-based electromagnetic metamaterial absorber microstructures, a topology optimization method for water-based metamaterial absorber microstructures design was proposed in this paper. According to Mie resonance and impedance matching theory, the realization mechanism and physical model [...] Read more.
In order to establish a general design methodology for water-based electromagnetic metamaterial absorber microstructures, a topology optimization method for water-based metamaterial absorber microstructures design was proposed in this paper. According to Mie resonance and impedance matching theory, the realization mechanism and physical model of the broadband water-based metamaterial absorber were constructed. The highest average in-band absorption rate was taken as the design object; the topological optimization model for water-based metamaterial absorber design was established. A metamaterial absorber microstructure with 16 discretized water columns inside the unit cell was designed as an example. The obtained structure exhibited a very high average in band absorption rate in the specific frequency band. The proposed method was a collaborative optimization approach that employed a single type of design variable, namely water column height, to simultaneously adjust surface impedance matching and specific resonant modes. It provided a feasible method for achieving the highest average absorption rate within a specific band. Full article
Show Figures

Graphical abstract

17 pages, 2725 KB  
Article
Physics-Guided Neural Surrogate Model with Particle Swarm-Based Multi-Objective Optimization for Quasi-Coaxial TSV Interconnect Design
by Zheng Liu, Guangbao Shan, Zeyu Chen and Yintang Yang
Micromachines 2025, 16(10), 1134; https://doi.org/10.3390/mi16101134 - 30 Sep 2025
Viewed by 368
Abstract
In reconfigurable radio frequency (RF) microsystems, the interconnect structure critically affects high-frequency signal integrity, and the accuracy of electromagnetic (EM) modeling directly determines the overall system performance. Conventional neural network-based surrogate models mainly focus on minimizing numerical errors, while neglecting essential physical constraints, [...] Read more.
In reconfigurable radio frequency (RF) microsystems, the interconnect structure critically affects high-frequency signal integrity, and the accuracy of electromagnetic (EM) modeling directly determines the overall system performance. Conventional neural network-based surrogate models mainly focus on minimizing numerical errors, while neglecting essential physical constraints, such as causality and passivity, thereby limiting their applicability in both time and frequency domains. This paper proposes a physics-constrained Neuro-Transfer surrogate model with a broadband output architecture to directly predict S-parameters over the 1–50 GHz range. Causality and passivity are enforced through dedicated regularization terms during training. Furthermore, a particle swarm optimization (PSO)-based multi-objective intelligent optimization framework is developed, incorporating fixed-weight normalization and a linearly decreasing inertia weight strategy to simultaneously optimize the S11, S21, and S22 performance of a quasi-coaxial TSV composite structure. Target values are set to −25 dB, −0.54 dB, and −24 dB, respectively. The optimized structural parameters yield prediction-to-simulation deviations below 1 dB, with an average prediction error of 2.11% on the test set. Full article
Show Figures

Figure 1

13 pages, 4502 KB  
Article
Wavelength Calibration for an External Cavity Diode Laser Using a Polynomial Dual-Cosine Model
by Suman Ai, Ruifeng Kan, Cheng Du, Zhongqiang Yu, Weiqi Xing, Dingfeng Shi, Chuge Chen, Rantong Niu, Zhenyu Xu and An Huang
Photonics 2025, 12(10), 964; https://doi.org/10.3390/photonics12100964 - 29 Sep 2025
Viewed by 228
Abstract
A polynomial dual-cosine model is proposed for the wavelength calibration of an ECDL (Santec-TSL710-O-band). An analysis of the ECDL’s measured spectral data demonstrates that the polynomial dual-cosine model reduces the relative wavenumber fitting residuals by a factor of five within a scanning range [...] Read more.
A polynomial dual-cosine model is proposed for the wavelength calibration of an ECDL (Santec-TSL710-O-band). An analysis of the ECDL’s measured spectral data demonstrates that the polynomial dual-cosine model reduces the relative wavenumber fitting residuals by a factor of five within a scanning range of 30 cm−1. The experimental results of broadband temperature measurement (700~1600 K) in the tube furnace confirm that the proposed model successfully reduces the maximum temperature relative error from 6.7% to 2.3%. The wavelength calibration model effectively promotes further research on the broadband absorption spectroscopy thermometry method and its application in the temperature diagnostics of aeroengine combustors. Full article
(This article belongs to the Special Issue Advancements in Optics and Laser Measurement)
Show Figures

Figure 1

42 pages, 2586 KB  
Review
Telehealth as a Sociotechnical System: A Systems Analysis of Adoption and Efficacy Among Older Adults Post-COVID-19
by Md Golam Rabbani, Ashrafe Alam and Victor R. Prybutok
Systems 2025, 13(10), 843; https://doi.org/10.3390/systems13100843 - 25 Sep 2025
Viewed by 1223
Abstract
Framed within the lens of systems theory and sociotechnical systems thinking, this systematic review examines telehealth as a complex adaptive system and dynamic health system shaped by the interactions between interconnected technological, social, and institutional components. Recognizing telehealth as part of a complex [...] Read more.
Framed within the lens of systems theory and sociotechnical systems thinking, this systematic review examines telehealth as a complex adaptive system and dynamic health system shaped by the interactions between interconnected technological, social, and institutional components. Recognizing telehealth as part of a complex adaptive system, the review identifies how interdependent factors, such as digital literacy, connectivity, and policy, evolve and influence access to and the emergent properties of care. A systematic review was conducted following the PRISMA 2020 guidelines and PROSPERO registration (CRD420251103608), analyzing 42 peer-reviewed articles published between January 2020 and June 2025, identified through the MEDLINE, Web of Science, EBSCOhost, ACM Digital Library, PsycINFO, and Scopus databases. Key findings include sustained but reduced telehealth use after the pandemic peak, as well as a small yet statistically significant positive effect of telehealth interventions on cognitive emergent properties, defined here as measurable outcomes like memory, attention, executive function, and processing speed (SMD = 0.29; 95% CI [0.04, 0.54]) with very low heterogeneity (I2 = 0%). Significant system components such as digital illiteracy, poor internet connectivity, and complex technology interfaces disproportionately affected economically disadvantaged, minority, and rural older adults. Practical strategies rooted in systems thinking include digital literacy programs, simplified interfaces, caregiver support, improved broadband infrastructure, hybrid healthcare models, and supportive policies. Future research should focus on evidence-based, system-level interventions across diverse settings to bridge the digital divide and promote equitable access to telehealth for older adults. Full article
Show Figures

Figure 1

17 pages, 4091 KB  
Article
EEG-Based Prediction of Stress Responses to Naturalistic Decision-Making Stimuli in Police Cadets
by Abdulwahab Alasfour and Nasser AlSabah
Sensors 2025, 25(18), 5925; https://doi.org/10.3390/s25185925 - 22 Sep 2025
Viewed by 699
Abstract
The ability of police officers to make correct decisions under emotional stress is critical, as errors in high-pressure situations can have severe legal and physical consequences. This study aims to evaluate the neurophysiological responses of police academy cadets during stressful decision-making scenarios and [...] Read more.
The ability of police officers to make correct decisions under emotional stress is critical, as errors in high-pressure situations can have severe legal and physical consequences. This study aims to evaluate the neurophysiological responses of police academy cadets during stressful decision-making scenarios and to predict individual stress levels from those responses. Fifty-eight police academy cadets from three cohorts watched a custom-made, naturalistic video scene and then chose the appropriate course of action. Simultaneous 32-channel electroencephalography (EEG) and electrocardiography (ECG) captured brain and heart activity. Event-related potentials (ERPs) and band-specific power features (particularly delta) were extracted, and machine-learning models were trained with nested cross-validation to predict perceived stress scores. Global and broadband EEG activity was suppressed during the video stimulus and did not return to baseline during the cooldown phase. Widespread ERPs and pronounced delta-band dynamics emerged during decision-making, correlating with both cohort rank and self-reported stress. Crucially, a combined EEG + cohort model predicted perceived stress with an out-of-fold R2 of 0.32, outperforming EEG-only (R2 = 0.23) and cohort-only (R2 = 0.17) models. To our knowledge, this is the first study to both characterize EEG dynamics during stressful naturalistic decision tasks and demonstrate their predictive utility. These findings lay the groundwork for neurofeedback-based training paradigms that help officers modulate stress responses and calibrate decision-making under pressure. Full article
(This article belongs to the Special Issue Advances in ECG/EEG Monitoring)
Show Figures

Figure 1

13 pages, 3775 KB  
Article
Broadband Absorption in Mid-Infrared via Trapezoidal Gratings Made of Anisotropic Metamaterial
by Yongze Ren, Jiale Gao, Zhuofan Jiang, Zhaoyan Yang, Jiao Liu, Yue Gou and Yeming Qing
Photonics 2025, 12(9), 932; https://doi.org/10.3390/photonics12090932 - 18 Sep 2025
Viewed by 530
Abstract
Broadband absorption of electromagnetic energy plays an important role in energy harvesting and stealth. Here, we present and demonstrate an absorber with a wide bandwidth of 2.1 μm in mid-infrared. The trapezoidal metamaterial consists of alternating silicon carbide and dielectric films. We have [...] Read more.
Broadband absorption of electromagnetic energy plays an important role in energy harvesting and stealth. Here, we present and demonstrate an absorber with a wide bandwidth of 2.1 μm in mid-infrared. The trapezoidal metamaterial consists of alternating silicon carbide and dielectric films. We have numerically demonstrated that an ultrahigh absorption energy efficiency higher than 97.7% can be calculated from 10.6 μm to 12.7 μm. The proposed absorber has high absorption efficiency at a wide-angle range. The simulation results are consistent with the theoretical calculation based on effective medium theory. The theoretical model simplifies the multilayer structure into an effectively homogeneous metamaterial with hyperbolic dispersion. In addition, the distributions of magnetic field depict that different wavelengths can be trapped at structures with various widths. The mechanism of this phenomenon is attributed to the slowlight modes. Furthermore, a dual-sized absorber is designed to achieve high efficiency and broadband absorption, which is easy to manufacture. Our study has potential applications in the areas of energy harvesting materials, thermal emitters and photovoltaic devices in the mid-infrared. Full article
(This article belongs to the Special Issue Recent Progress in Optical Metamaterials and Metasurfaces)
Show Figures

Figure 1

25 pages, 2699 KB  
Article
Can Digital Infrastructure Construction Promote Energy Conservation in Resource-Based Cities? Evidence from the “Broadband China” Strategy
by Li Chen, Hao Cheng, Fujia Li and Zihan Song
Energies 2025, 18(18), 4967; https://doi.org/10.3390/en18184967 - 18 Sep 2025
Viewed by 511
Abstract
Resource-based cities in China face severe challenges in reducing energy consumption due to their heavy industrial structures and strong dependence on fossil fuels. Using the “Broadband China” strategy as a quasi-natural experiment, this study applies a multi-period difference-in-differences (DID) model, together with mediation [...] Read more.
Resource-based cities in China face severe challenges in reducing energy consumption due to their heavy industrial structures and strong dependence on fossil fuels. Using the “Broadband China” strategy as a quasi-natural experiment, this study applies a multi-period difference-in-differences (DID) model, together with mediation and spatial econometric approaches, to identify local, indirect, and spillover effects. The results show that the strategy significantly reduces energy consumption in resource-based cities. Mechanism analysis reveals that the “Broadband China” strategy reduces energy use in resource-based cities by promoting green technology innovation and financial development. Heterogeneity analysis indicates that the energy-saving effect is more pronounced in mature and regenerating cities, non-old-industrial-based cities, and key environmental protection cities. Spatial evaluation further shows that the “Broadband China” strategy exerts a negative spatial spillover effect on energy consumption in neighboring resource-based cities. Our findings provide valuable insights for resource-based cities in China to control energy consumption and achieve sustainable development. Our findings provide practical policy implications for resource-based cities in China, supporting strategies to achieve energy conservation development and advance sustainable transformation. Full article
(This article belongs to the Special Issue Available Energy and Environmental Economics: Volume II)
Show Figures

Figure 1

20 pages, 4448 KB  
Article
AFSS Wide-Frequency Reconfigurable Design and Electromagnetic Characterization Research
by Lei Gong, Xinru Tian, Ge Zhang, Xuan Liu, Shigeng Song, Jian Song, Haoyang Liu, Liguo Wang and Zhiqiang Yang
Electronics 2025, 14(18), 3628; https://doi.org/10.3390/electronics14183628 - 12 Sep 2025
Viewed by 455
Abstract
In order to solve the dynamic adaptation problem of the working frequency band of the FSS in the complex electromagnetic environment and further expand the frequency tuning range, a reconfigurable AFSS unit model based on PIN and varactor diodes are designed, which can [...] Read more.
In order to solve the dynamic adaptation problem of the working frequency band of the FSS in the complex electromagnetic environment and further expand the frequency tuning range, a reconfigurable AFSS unit model based on PIN and varactor diodes are designed, which can achieve the insertion loss below−1 dB in the wide frequency range of 10.2–15.2 GHz, meet the working-band switching, and allow for flexibly adjusting the working frequency point. In order to verify the accuracy of the design method, a square-ring aperture and notched patch-coupling structure that can exhibit broadband transmission response in the X-Ku band is first proposed based on the equivalent circuit model topology. A numerical simulation and a processing test of the structure are carried out. The measured data are in good agreement with the simulation results. After optimizing the unit structure, different capacitance values and resistance values are added to the diodes in the numerical simulation to control the equivalent PIN diode switch and the capacitance change in the varactor diodes. According to the equivalent circuit model and the electric-field intensity distribution, the AFSS regulation mechanism of the loaded diodes is explored. In this paper, through numerical simulation optimizations and experimental verification, the design method and performance optimization strategy of frequency-tunable FSS in the working range of 2–18 GHz are systematically studied, which provides theoretical support for the design of electromagnetic functional devices in the new generation of communication, radar, and electronic warfare systems. Full article
Show Figures

Figure 1

Back to TopTop