Sign in to use this feature.

Years

Between: -

Subjects

remove_circle_outline
remove_circle_outline
remove_circle_outline
remove_circle_outline
remove_circle_outline
remove_circle_outline
remove_circle_outline
remove_circle_outline
remove_circle_outline

Journals

Article Types

Countries / Regions

remove_circle_outline
remove_circle_outline
remove_circle_outline
remove_circle_outline

Search Results (519)

Search Parameters:
Keywords = bridge cables

Order results
Result details
Results per page
Select all
Export citation of selected articles as:
23 pages, 13974 KB  
Article
Investigation and Prediction of Temperature Deformation in the Girder and Ballastless Track of a High-Speed Railway Composite Cable-Stayed Bridge
by Da Wu, Jiayuan Cheng, Hui Wan, Ziping Zeng, Chenguang Li, Miao Su and Peicheng Li
Buildings 2026, 16(8), 1513; https://doi.org/10.3390/buildings16081513 - 13 Apr 2026
Viewed by 137
Abstract
In this work, the deformation behavior of a long-span steel–concrete composite girder cable-stayed bridge under temperature loads and its subsequent impact on ballastless track systems were investigated. An integrated finite element model (FEM) of the bridge–track system was developed by taking the Taiziping [...] Read more.
In this work, the deformation behavior of a long-span steel–concrete composite girder cable-stayed bridge under temperature loads and its subsequent impact on ballastless track systems were investigated. An integrated finite element model (FEM) of the bridge–track system was developed by taking the Taiziping Wujiang River Bridge (with a main span of 300 m) in Chongqing, China, as a case study. The model incorporates composite girders, pylons, stay cables, rails, and double-block slab tracks. Then, the integrated FEM systematically analyzed structural responses to various temperature loading scenario, namely uniform temperature change, differential temperatures among key components (girder, deck, pylons, and cables), and deck–girder temperature difference. The results show that the girder’s maximum vertical displacement linearly correlates with the temperature variations of the composite girder, upper pylon, and cables, with corresponding temperature sensitivity coefficients of 2.3 mm/°C, 2.78 mm/°C, and −5.8 mm/°C. While the ballastless track coordinates well with the composite girder in vertical deformation, the maximum longitudinal relative displacement occurs between rail and track at the ends of the bridge. Moreover, field monitoring data were used to establish a high-precision relationship between ambient temperature and structural temperatures of key components, enabling successful prediction of girder’s vertical deformation. The findings provide a theoretical basis for the control of thermal deformation during the operation and maintenance of similar long-span composite girder cable-stayed bridges. Full article
(This article belongs to the Section Building Structures)
24 pages, 4799 KB  
Article
Research on the Reverse Order Demolition Scheme of Concrete Suspension Bridges Based on System Transformation Force Analysis
by Haoyun Yuan, Jianping Xian, Jianyong Ma, Dean Wen and Bingchen Yang
Buildings 2026, 16(7), 1404; https://doi.org/10.3390/buildings16071404 - 2 Apr 2026
Viewed by 263
Abstract
With the continuous development of the social economy and the increasing service life of bridges, in-service bridges generally face multiple challenges such as safety decline, durability deterioration, and insufficient traffic capacity. Demolition and reconstruction have become an important way for some old bridges [...] Read more.
With the continuous development of the social economy and the increasing service life of bridges, in-service bridges generally face multiple challenges such as safety decline, durability deterioration, and insufficient traffic capacity. Demolition and reconstruction have become an important way for some old bridges to achieve functional renewal and ensure traffic safety. This paper takes the first concrete self-anchored suspension bridge in China that has undergone demolition—the Zicai Bridge in Qinzhou—as the specific engineering basis. In response to the safety requirements and smooth progress of its demolition construction, after a comprehensive comparison and optimization of multiple demolition schemes, the core technical solution of reverse sequence removal of the hangers was finally determined. To fully verify the technical applicability, structural safety, and feasibility of this demolition scheme, this study adopts a core research method combining theoretical calculation and numerical simulation, and systematically and deeply analyzes the entire process of bridge system transformation, the evolution law of structural force, and the mechanical responses of key parts during the hanger removal process. The study found that the maximum stress of the hangers in the system during the hanger removal process was much lower than the material breaking stress. The tilt of the bridge tower and the deformation of the main cables were all within the controllable range. Only the local tensile stress at the lower edge of the main beam had a cracking risk exceeding the material’s tensile limit. Based on this, specific construction optimization suggestions and control measures were proposed. This research not only solved the core technical problems of this type of special bridge demolition, but its research ideas and quantitative analysis results can also provide important theoretical references and technical support for the subsequent demolition construction of similar cable-bearing system bridges, and has positive significance for promoting the scientific and standardized development of complex bridge demolition construction. Full article
(This article belongs to the Section Building Structures)
Show Figures

Figure 1

28 pages, 8550 KB  
Article
Experimental Study on Spanwise Aerodynamic Control Measures for Vortex-Induced Vibrations of a Narrow Π-Shaped Girder of a Large Span Railway Cable-Stayed Bridge
by Jianjun Liu, Zhengchun Xia, Bing Li, Ming Liu and Zhiwen Liu
Appl. Sci. 2026, 16(7), 3422; https://doi.org/10.3390/app16073422 - 1 Apr 2026
Viewed by 175
Abstract
Large-span bridges with bluff body girders are susceptible to vortex-induced vibration (VIV) due to their low frequency, light mass, and relatively low damping ratio, affecting fatigue life and serviceability. While research progress has been made on VIV mechanisms and control measures, systematic investigations [...] Read more.
Large-span bridges with bluff body girders are susceptible to vortex-induced vibration (VIV) due to their low frequency, light mass, and relatively low damping ratio, affecting fatigue life and serviceability. While research progress has been made on VIV mechanisms and control measures, systematic investigations on the application of vortex generators (VGs) to narrow Π-shaped railway girders remain scarce, and the potential synergistic effect of combining VGs with conventional aerodynamic measures has not been explored. To address this gap, wind tunnel tests were conducted on a 1:50 scale sectional model of a narrow Π-shaped steel girder for a railway cable-stayed bridge. The experimental program systematically investigated the VIV response of the original girder and evaluated the suppression effectiveness of conventional aerodynamic measures (vertical stabilizers, deflectors, modified fairings) and spanwise control using VGs. Parametric optimization of VG height (0.1 H–0.2 H, where H is the girder height), spacing (2/3 L0 and L0, where L0 = 12.5 m is the standard segment length), and installation position (upper fairing, lower fairing, girder bottom) was performed. Results show that under wind angles of attack from −5° to +5° and a damping ratio of 0.36%, the original girder exhibits pronounced vertical VIV with a maximum RMS amplitude of 0.025 m, approximately 3.15 times the code limit. Conventional measures alone fail to adequately suppress VIV. However, the optimal combination of VGs (height 0.2 H, spacing L0, installed on the lower fairing) with a 0.5 m wide, 15° inclined deflector effectively suppresses VIV under wind AOAs of 0°, ±3°, and –5°, achieving suppression below the measurable threshold. This study contributes the first comprehensive parametric investigation of VGs for narrow Π-shaped railway girders, reveals a synergistic effect when combining VGs with deflectors, and incorporates practical engineering constraints (such as aesthetic requirements) into the optimization process. Full article
(This article belongs to the Special Issue Structural Wind Engineering: Latest Advances and Applications)
Show Figures

Figure 1

26 pages, 5449 KB  
Article
In Situ Model Test and Numerical Simulation Study of Suspension Bridge Tunnel-Type Anchorage Adjacent to Bifurcated Tunnels
by Yiqian Zhang, Yangyong Chen, Qiang Li, Chenyang Zhang and Xiaoguang Jin
Buildings 2026, 16(7), 1386; https://doi.org/10.3390/buildings16071386 - 1 Apr 2026
Viewed by 256
Abstract
The construction of suspension bridges in mountainous expressways often involves tunnel-type anchorages in close proximity to shallow-buried bifurcated tunnels, particularly in soft rock strata with dense overlying structures. This proximity poses significant challenges to construction safety and stability. This study aims to investigate [...] Read more.
The construction of suspension bridges in mountainous expressways often involves tunnel-type anchorages in close proximity to shallow-buried bifurcated tunnels, particularly in soft rock strata with dense overlying structures. This proximity poses significant challenges to construction safety and stability. This study aims to investigate the influence of tunnel-type anchorage construction on the ground surface, surrounding rock, and adjacent bifurcated tunnels under such complex conditions. It was hypothesized that the anchorage load transfer and deformation mechanisms would significantly affect the adjacent tunnel, with potential cumulative effects due to the twin-anchor configuration. To address this, a combined approach of in situ scaled model testing (1:10 scale) and three-dimensional numerical simulation was employed. The model test incorporated monitoring of deformation and stress at key locations (anchor plug, rock mass, and anchor–rock interface) under incremental cable loads. Quantitative results from the model test indicate that at the design load (1P, equivalent to 2016.84 kN per anchor), deformations were minimal (e.g., maximum anchor displacement 0.35 mm). The anchor–rock interface exhibited limited slip (max 0.06 mm at 1P), and contact stresses were highest in the rear part of the anchor plug, indicating a non-uniform load transfer. Under overload conditions, the system reached yield at 7P and peak strength at 10.5P, with measured ground surface cracks up to 5 mm. Numerical simulations, calibrated against the experimental data, revealed that under increasing load (up to 10P), the plastic zones around the two anchors progressively expanded and eventually coalesced, leading to a characteristic “inverted trapezoid” failure pattern propagating to the surface, accompanied by shear failure along the 14° bedding plane. The combined results quantify the progressive interaction between the twin anchorages and the surrounding rock, highlighting the critical role of the anchor–rock interface and the cumulative effect of twin anchors on ground deformation and potential failure mechanisms. This research provides a scientific basis for the design and construction of tunnel-type anchorages in similar challenging geological and spatial settings. Full article
Show Figures

Figure 1

16 pages, 6432 KB  
Article
Experimental Investigations on Cold-Cast Anchor Stay Cables Under Vehicle Impact
by Nan Yang, Yaoyu Zhu, Lei Dai, Xiaochen Wei, Yan Mao, Tianyu Du and Hai Fang
Buildings 2026, 16(7), 1366; https://doi.org/10.3390/buildings16071366 - 30 Mar 2026
Viewed by 287
Abstract
Direct vehicle impacts on stay cables are less understood than vehicle–pier collisions, especially for anchorage damage and post-impact load transfer. This study investigates the dynamic responses of stay cables under vehicular impact through a combination of scaled physical tests. This test simulates real-world [...] Read more.
Direct vehicle impacts on stay cables are less understood than vehicle–pier collisions, especially for anchorage damage and post-impact load transfer. This study investigates the dynamic responses of stay cables under vehicular impact through a combination of scaled physical tests. This test simulates real-world vehicle collision scenarios using an impact trolley. Two 1:5 inclined specimens (each a 19-wire galvanised steel bundle) were tested using a 1582 kg impact trolley travelling at 4.0 m/s in lateral and frontal conditions. Both tests showed a rapid rise in force to a dominant peak, followed by rebound oscillations and a long-tail decay, with no wire rupture. The lateral impact force peaked at around 241 kN at a displacement of approximately 230 mm. It then declined sharply while the deflection increased to around 268 mm, indicating that large deflections were governed by inertia. In contrast, the frontal impact force reached a maximum of almost 258 kN at a displacement of around 221 mm. However, it maintained higher post-peak forces, reaching approximately 106 kN at around 253 mm. This resulted in enhanced energy transfer. Maximum external work increased from about 20.7 kJ to about 25.2 kJ, and residual energy rose from about 25 percent to about 69 percent. Post-test inspection identified minor debonding near the anchorage exit as a vulnerability. Full article
(This article belongs to the Section Building Structures)
Show Figures

Figure 1

18 pages, 6182 KB  
Article
Nonlinear Seismic Response of Long-Span Bridges Constructed by the Balanced Cantilever Method Under Earthquake Excitations
by Silvia C. Vega, Carlos M. Gisbert and Alvaro Viviescas
Appl. Sci. 2026, 16(7), 3312; https://doi.org/10.3390/app16073312 - 29 Mar 2026
Viewed by 449
Abstract
Long-span bridges are critical components of transportation infrastructure because they promote efficient connectivity between agricultural production centers, tourist destinations, and major urban areas. To construct these structures, the balanced cantilever method is widely used; however, the lack of rigid longitudinal connections between the [...] Read more.
Long-span bridges are critical components of transportation infrastructure because they promote efficient connectivity between agricultural production centers, tourist destinations, and major urban areas. To construct these structures, the balanced cantilever method is widely used; however, the lack of rigid longitudinal connections between the pylons and the deck often allows for large displacement demands during seismic activities. Fluid viscous dampers (FVDs) are employed to mitigate these effects. This study investigates the impact of using FVDs at the abutments of the Hisgaura cable-stayed bridge located on the Curos-Malaga corridor in the department of Santander, Colombia. A nonlinear response history analysis was conducted using seismic records from crustal sources, scaled to the local seismic hazard, and performed in SAP2000©. The results indicate that the presence of FVDs does not adversely affect the axial forces in the stay cables under the Extreme Event Limit State I. Furthermore, demand reductions were observed at the pylon closest to the abutment (Pylon 4). Under critical seismic records, reductions of up to 81.95% in relative deck-pylon displacement, 62.17% in bending moment, and 58.46% in base shear were achieved. These findings demonstrate an improved global structural behavior under severe seismic loading conditions. Full article
(This article belongs to the Section Civil Engineering)
Show Figures

Figure 1

21 pages, 5131 KB  
Article
Quantifying and Mitigating Carbon Emissions in Long-Span Steel Bridge Construction: Lessons from the Anhsin Bridge in the Ankeng MRT System
by Tai-Yi Liu, Jui-Jiun Lin, Shih-Ping Ho, Nelson N. S. Chou and Chia-Cheng Lee
Constr. Mater. 2026, 6(2), 20; https://doi.org/10.3390/constrmater6020020 - 27 Mar 2026
Viewed by 274
Abstract
Construction materials are the primary source of embodied carbon in long-span bridge projects, particularly for steel-intensive structures. This study presents an empirical construction-stage carbon footprint assessment of the Anhsin Bridge, an asymmetric cable-stayed steel truss bridge in Taiwan. Using the emission factor method [...] Read more.
Construction materials are the primary source of embodied carbon in long-span bridge projects, particularly for steel-intensive structures. This study presents an empirical construction-stage carbon footprint assessment of the Anhsin Bridge, an asymmetric cable-stayed steel truss bridge in Taiwan. Using the emission factor method in accordance with ISO 14067 and Taiwan Environmental Protection Administration guidelines, a cradle-to-gate (A1–A5 equivalent) system boundary was applied, covering material production, transportation, and on-site construction activities. Total construction-stage emissions were estimated at 55,349 tCO2e, dominated by structural steel (51.8%), followed by reinforcing steel, concrete, and cement. Material-related emissions accounted for over 90% of the total, highlighting the critical role of material selection in embodied carbon reduction. Three practical mitigation strategies were evaluated using verified project data, as follows: 40% cement substitution with supplementary cementitious materials, optimized steel erection methods, and enhanced reuse of formwork and temporary works. The combined scenario achieved a 7.3% reduction in construction-stage emissions without compromising constructability. The findings demonstrate the effectiveness of material-oriented, constructability-aware strategies for reducing embodied carbon in steel-intensive bridge construction. Full article
Show Figures

Figure 1

21 pages, 4613 KB  
Article
Linear and Nonlinear Performance Evaluation of Composite Space Truss Decks in Cable-Stayed Bridges: Suez Canal Bridge Case Study
by Hesham Fawzy Shaaban, Ayman El-Zohairy and Mohamed Atabi
Infrastructures 2026, 11(4), 112; https://doi.org/10.3390/infrastructures11040112 - 25 Mar 2026
Viewed by 383
Abstract
This study investigates the structural performance of a novel composite space truss deck system as an alternative to the conventional steel box girder in cable-stayed bridges. Using the Suez Canal Bridge as a benchmark, comprehensive linear and nonlinear finite element analyses were performed [...] Read more.
This study investigates the structural performance of a novel composite space truss deck system as an alternative to the conventional steel box girder in cable-stayed bridges. Using the Suez Canal Bridge as a benchmark, comprehensive linear and nonlinear finite element analyses were performed to evaluate the global behavior of both deck configurations under dead, live, wind, and temperature loads. The proposed system consists of a three-dimensional square-on-square truss acting compositely with a 25 cm reinforced concrete slab, designed to optimize stiffness and material efficiency. The results revealed that the composite space truss deck achieved a 5–7% reduction in mid-span deflection under live loading and a 6% increase in torsional rigidity compared with the steel box girder, while maintaining comparable self-weight (490 kg/m2 versus 480 kg/m2). The influence of geometric nonlinearity was moderate, 6.56% for the space truss and 1.64% for the box girder, whereas temperature variations of ±30 °C induced up to a 25.3% change in mid-span deflection, highlighting the space truss’s higher thermal sensitivity. Parametric analyses demonstrated that increasing the truss depth from 2.5 m to 4.0 m enhanced global stiffness by 15%, and using lightweight concrete reduced mid-span deflection by 30%. Overall, the composite space truss system offers superior stiffness-to-weight efficiency, substantial steel savings (two-thirds less), and competitive construction economy, establishing it as a promising solution for medium- and long-span cable-stayed bridges. Full article
(This article belongs to the Special Issue Sustainable Bridge Engineering)
Show Figures

Figure 1

19 pages, 2252 KB  
Article
Research on Cable Force Optimization for the Construction of Reinforced Concrete Arch Bridges Based on Improved Whale Optimization Algorithm and Support Vector Machine
by Hongping Ye, Jianjun Liu, Jian Yang, Jinbo Zhu, Jijin Zhang, Zhimei Jiang and Zhongya Zhang
Buildings 2026, 16(6), 1254; https://doi.org/10.3390/buildings16061254 - 22 Mar 2026
Viewed by 238
Abstract
To address the issue of cable force optimization during the cantilever casting stage of reinforced concrete arch bridge construction, this study proposes a cable force optimization method based on an Improved Whale Optimization Algorithm (IWOA) combined with a Support Vector Machine (SVM) model. [...] Read more.
To address the issue of cable force optimization during the cantilever casting stage of reinforced concrete arch bridge construction, this study proposes a cable force optimization method based on an Improved Whale Optimization Algorithm (IWOA) combined with a Support Vector Machine (SVM) model. First, the standard Whale Optimization Algorithm is enhanced through Tent chaotic mapping, a nonlinear iterative control parameter, adaptive weight factors, and adaptive threshold strategies. The improved algorithm is then used to optimize key parameters (C, g) in the SVM model, constructing a parameter-optimized cable force combination-structure response prediction model for the arch bridge. Next, with the average tensile stress of the arch ring’s top and bottom slabs during construction and the bending strain energy after bridge completion as target variables, a multi-objective optimization mathematical model for cable forces during the construction stage of reinforced concrete arch bridges based on IWOA-SVM was established. Finally, the feasibility of the method was validated using the Shatuo Bridge project as a case study. The results indicate that compared to the finite element optimization method, the IWOA-SVM cable force optimization method significantly improved computational efficiency while ensuring optimization effectiveness. After optimization, the peak tensile stress and vertical displacement of each arch segment were significantly reduced, leading to improved internal force distribution and alignment, thereby enhancing the overall structural safety and reliability of reinforced concrete arch bridges. Full article
Show Figures

Figure 1

17 pages, 3146 KB  
Article
Study on Aging Performance of BFRP Cables in Long-Span Sea-Crossing Cable-Stayed Bridges Under the Coupling Effect of Light, Heat, Water, Salt, and Prestress
by Yaqiang Yang, Wenbin Cheng, Jianhua Yang, Lianshang Shi, Jianzhe Shi, Sijie He, Hejiajun Zhou and Chaoming Shen
Buildings 2026, 16(6), 1211; https://doi.org/10.3390/buildings16061211 - 19 Mar 2026
Viewed by 194
Abstract
The anti-aging performance of stay cables in complex marine environments is directly related to the long-term service safety of sea-crossing cable-stayed bridge structures, and it has been recognized as one of the key issues for the priority evaluation of the structural performance of [...] Read more.
The anti-aging performance of stay cables in complex marine environments is directly related to the long-term service safety of sea-crossing cable-stayed bridge structures, and it has been recognized as one of the key issues for the priority evaluation of the structural performance of sea-crossing cable-stayed bridges with Basalt Fiber Reinforced Polymer (BFRP) cables. In this paper, the coupled aging effects of ultraviolet radiation, salt spray, temperature and humidity, and prestress on BFRP cables were taken into consideration. Accelerated aging tests involving the coupling of light, heat, water, salt, and prestress were carried out to simulate the actual marine service environment. The anti-aging performance of BFRP cables was investigated by combining the analysis of macro mechanical properties with the characterization of micro structural morphology. The results of the study were as follows: (1) With the increase in aging duration, the tensile strength and ultimate fracture strain of BFRP cables decreased gradually. The degradation rates of tensile strength and ultimate fracture strain of BFRP cables exhibited a decreasing trend, characterized by an initial rapid phase followed by a gradual slowdown under the coupled aging effects of light, heat, water, salt, and prestress. (2) Compared with the significant decrease in tensile strength, the elastic modulus of BFRP cables showed an insignificant decrease. The elastic modulus of BFRP cables was observed to exhibit a trend of initial decrease, subsequent increase, and another decrease, with an overall reduction. (3) Temperature and prestress were verified to exert a considerable influence on the anti-aging performance of BFRP cables. The influence of temperature on the degradation of aging performance of BFRP cables was found to be greater than that of prestress. (4) The degradation in the anti-aging performance of BFRP cables under coupled aging effects was confirmed to originate from the initiation and propagation of microcracks in the resin matrix, which were caused by the combined actions of prestress, photochemistry, and hydrolysis. Meanwhile, the damage to the fiber–resin interface was accelerated by chloride ions in seawater under high-temperature conditions, which ultimately led to a reduction in the anti-aging performance of BFRP cables. Full article
Show Figures

Figure 1

23 pages, 5091 KB  
Article
Multiclass Anomaly Detection in Bridge Health Monitoring Data via Attention Enhancement and Class Imbalance Mitigation
by Wenda Ma, Qizhi Tang, Lei Huang and Shihao Zhang
Buildings 2026, 16(6), 1181; https://doi.org/10.3390/buildings16061181 - 17 Mar 2026
Viewed by 342
Abstract
Bridge structural health monitoring (BSHM) systems are essential for assessing the operational performance and safety of long-span bridges. However, monitoring data are often affected by factors such as sensor malfunctions, environmental disturbances, or power interruptions, leading to various anomalous data. Moreover, the multiclass [...] Read more.
Bridge structural health monitoring (BSHM) systems are essential for assessing the operational performance and safety of long-span bridges. However, monitoring data are often affected by factors such as sensor malfunctions, environmental disturbances, or power interruptions, leading to various anomalous data. Moreover, the multiclass imbalance of the data presents a major challenge to traditional anomaly detection methods. To address this issue, a novel multiclass anomaly detection method based on an improved deep convolutional neural network is proposed. Specifically, a ResNet50 architecture integrated with the convolutional block attention module (CBAM) is developed to enhance the extraction of discriminative features. Additionally, the Focal Loss function is introduced to emphasize the loss weight of minority samples, reducing the influence of majority classes, thereby effectively overcoming the class imbalance issue in multiclass anomaly detection. The proposed method is trained and validated using measured acceleration data collected from a large-scale cable-stayed bridge. The experimental results indicate that the model achieves an overall accuracy of 98.28%, while effectively improving the classification performance of minority categories. The method further reproduces the spatiotemporal distribution of anomalies in full-month monitoring data, confirming its robustness and engineering applicability for large-scale automated anomaly diagnosis in BSHM systems. Full article
Show Figures

Figure 1

22 pages, 5399 KB  
Article
Bridge Deformation Prediction with BGCO-PIC-DA-LSTM Based on Prior-Informed Multi-Source Fusion and Dual-Stream Residual Attention
by Pengchen Qin and Feng Wang
Appl. Sci. 2026, 16(6), 2681; https://doi.org/10.3390/app16062681 - 11 Mar 2026
Viewed by 296
Abstract
Accurate deflection prediction is vital for structural health monitoring of large-span bridges yet remains challenging due to complex nonlinear environmental couplings. This paper proposes a hybrid deep learning framework, BGCO-PIC-DA-LSTM, for precise bridge deflection prediction. First, a Prior-Informed Correlation (PIC) strategy incorporating temperature [...] Read more.
Accurate deflection prediction is vital for structural health monitoring of large-span bridges yet remains challenging due to complex nonlinear environmental couplings. This paper proposes a hybrid deep learning framework, BGCO-PIC-DA-LSTM, for precise bridge deflection prediction. First, a Prior-Informed Correlation (PIC) strategy incorporating temperature lag terms is introduced to enhance the statistical consistency of input features. Second, a dual-stream residual Bi-LSTM network integrating adaptive temporal attention is developed to simultaneously capture long-term evolutionary trends and instantaneous dynamic fluctuations. Furthermore, a Bayesian-Gradient Cooperative Optimization (BGCO) strategy is employed to automatically configure optimal hyperparameters. Validation using in situ data from a large-span cable-stayed bridge demonstrates that the proposed method significantly outperforms baseline algorithms in prediction accuracy and robustness. Additionally, the prediction residuals exhibit characteristics approximating zero-mean Gaussian white noise, establishing a reference baseline for structural state evolution and providing a certain basis for identifying potential performance shifts. Full article
(This article belongs to the Section Civil Engineering)
Show Figures

Figure 1

19 pages, 7991 KB  
Article
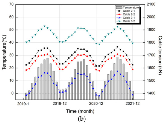
Effect of Temperature Changes on the Cable Tension of a Railway Steel Composite Bridge
by Jung-Youl Choi, Dae-Hui Ahn and Soo-Jae Lee
Appl. Sci. 2026, 16(6), 2663; https://doi.org/10.3390/app16062663 - 11 Mar 2026
Viewed by 259
Abstract
Temperature-induced expansion and contraction of the upper highway steel girder can modify the force distribution in the vertical hanger cables and thereby influence the response of the lower railway deck in highway–railway steel composite bridges. This study analyzes three years (2019–2021) of field [...] Read more.
Temperature-induced expansion and contraction of the upper highway steel girder can modify the force distribution in the vertical hanger cables and thereby influence the response of the lower railway deck in highway–railway steel composite bridges. This study analyzes three years (2019–2021) of field monitoring data to quantify the relationships among member temperature, highway expansion-joint displacement, and inner/outer cable tensions. Linear temperature-based prediction equations were developed using daily-averaged records and validated against independently estimated cable tensions from vibration-based identification (n = 24 tests; 8 cables × 3 campaigns). The prediction showed mean deviations below 5% and a maximum absolute deviation of 8.4%. A supporting ANSYS model reproduced the first-mode frequencies within 4%. The proposed framework provides practical equations for operational monitoring and maintenance planning within the monitored temperature range. Full article
(This article belongs to the Section Civil Engineering)
Show Figures

Figure 1

23 pages, 9426 KB  
Article
Research on Methods of Security Evaluation of Cable-Stayed Bridges Based on Entropy Information of Influence Line of Displacement
by Dewei Zhang, Bo Wang, Yunchen Li and Zhenyao Gao
Buildings 2026, 16(5), 987; https://doi.org/10.3390/buildings16050987 - 3 Mar 2026
Viewed by 262
Abstract
During the process of damage identification and safety-state evaluation of cable-stayed bridges, the cable tension should also be incorporated into common monitoring, which usually includes displacement and strain. However, the testing process of cable tension is complicated, and the disassembly, installation and maintenance [...] Read more.
During the process of damage identification and safety-state evaluation of cable-stayed bridges, the cable tension should also be incorporated into common monitoring, which usually includes displacement and strain. However, the testing process of cable tension is complicated, and the disassembly, installation and maintenance of the cable tension meter are higher priced and difficult. To improve the efficiency of damage evaluation regarding cable-stayed bridges, information-entropy theory is introduced and the curvature entropy index of the difference in the influence line of displacement is proposed. To obtain effective data parameters for damage evaluation, first, the dynamic disturbance in the displacement time-history response is removed through variational modal decomposition, and the multi-axle effect of vehicles is regularized, so as to identify the measured influence line of displacement of cable-stayed bridges. Second, the peak value of the curvature entropy index of the difference in the influence line of displacement under varied damage degrees of stay cables is extracted to construct the inverse fitting formula of damage degree. The entropy value of the measured influence line of displacement is then substituted into a PSO-BP neural network, so as to obtain the damage degree of the corresponding position of the measured data regarding the influence line of displacement of bridges. Finally, the health status of stay cables is evaluated using the information-entropy parameters of the influence line of displacement. The theoretical model and actual data are used for testing, and the research results show that: (1) the location and degree of cable damage can be effectively located and quantified by using the curvature entropy index of the difference in the influence line of displacement, and (2) the cable health index of the cable-stayed bridge tested by actual data is 96.73%, consistent with the conclusion of on-site technical evaluation. Full article
(This article belongs to the Section Building Structures)
Show Figures

Figure 1

25 pages, 6451 KB  
Article
Joint Action of Wind and Temperature for a Long-Span Cable-Stayed Bridge in Plateau Canyon Regions Using SHM Data and Copula-Based Probabilistic Modeling
by Jiang Liu, Zefan Liu, Zhiyuan Ma, Yagang Tong, Chendi Wang, Licheng Zhu and Yongjian Liu
Buildings 2026, 16(5), 916; https://doi.org/10.3390/buildings16050916 - 25 Feb 2026
Viewed by 296
Abstract
Current bridge design codes specify combination coefficients for wind–temperature joint actions, yet few studies have addressed these for bridges in plateau canyon regions. This study investigates the joint actions and combination coefficients for Haihuang Bridge, which is in a plateau canyon region surrounded [...] Read more.
Current bridge design codes specify combination coefficients for wind–temperature joint actions, yet few studies have addressed these for bridges in plateau canyon regions. This study investigates the joint actions and combination coefficients for Haihuang Bridge, which is in a plateau canyon region surrounded by mountains. Using long-term structural health monitoring data, trivariate normal copulas and Con-KRP were applied to estimate joint probabilities of wind speed and air temperature in different directions. The combination coefficients range from 0.68 to 0.92 for temperature actions and 0.56 to 0.75 for wind actions, obtained based on the principle that bivariate Con-KRP equals univariate Con-KRP. Significant differences in the joint actions are found in different directions. Furthermore, the combination coefficients in the plateau canyon region are much larger than those in the subtropical coastal plain region, indicating a need for further study on the regional difference. Full article
(This article belongs to the Special Issue Advances in Steel-Concrete Composite Structure—2nd Edition)
Show Figures

Figure 1

Back to TopTop