Nonlinear Seismic Response of Long-Span Bridges Constructed by the Balanced Cantilever Method Under Earthquake Excitations
Abstract
1. Introduction
2. Bridge Description
3. Numerical Model and Seismic Analysis
3.1. Scope and Limitations of the Numerical Model
Modeling for Viscous Dampers
3.2. Ground Motion Selection
3.2.1. Seismogenic Source Identification
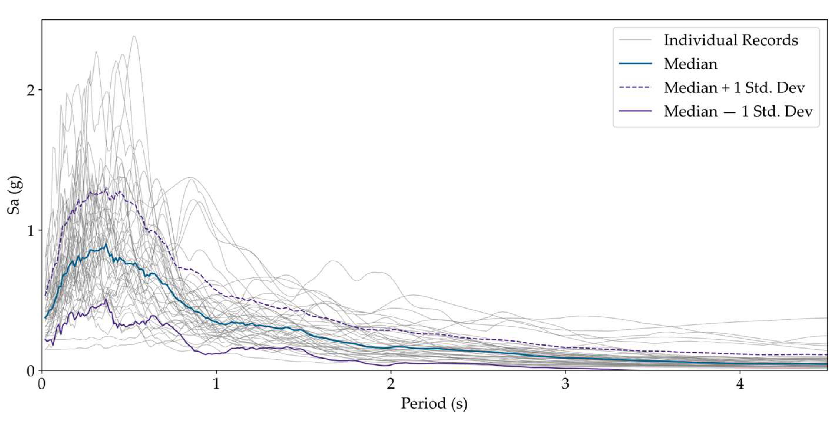
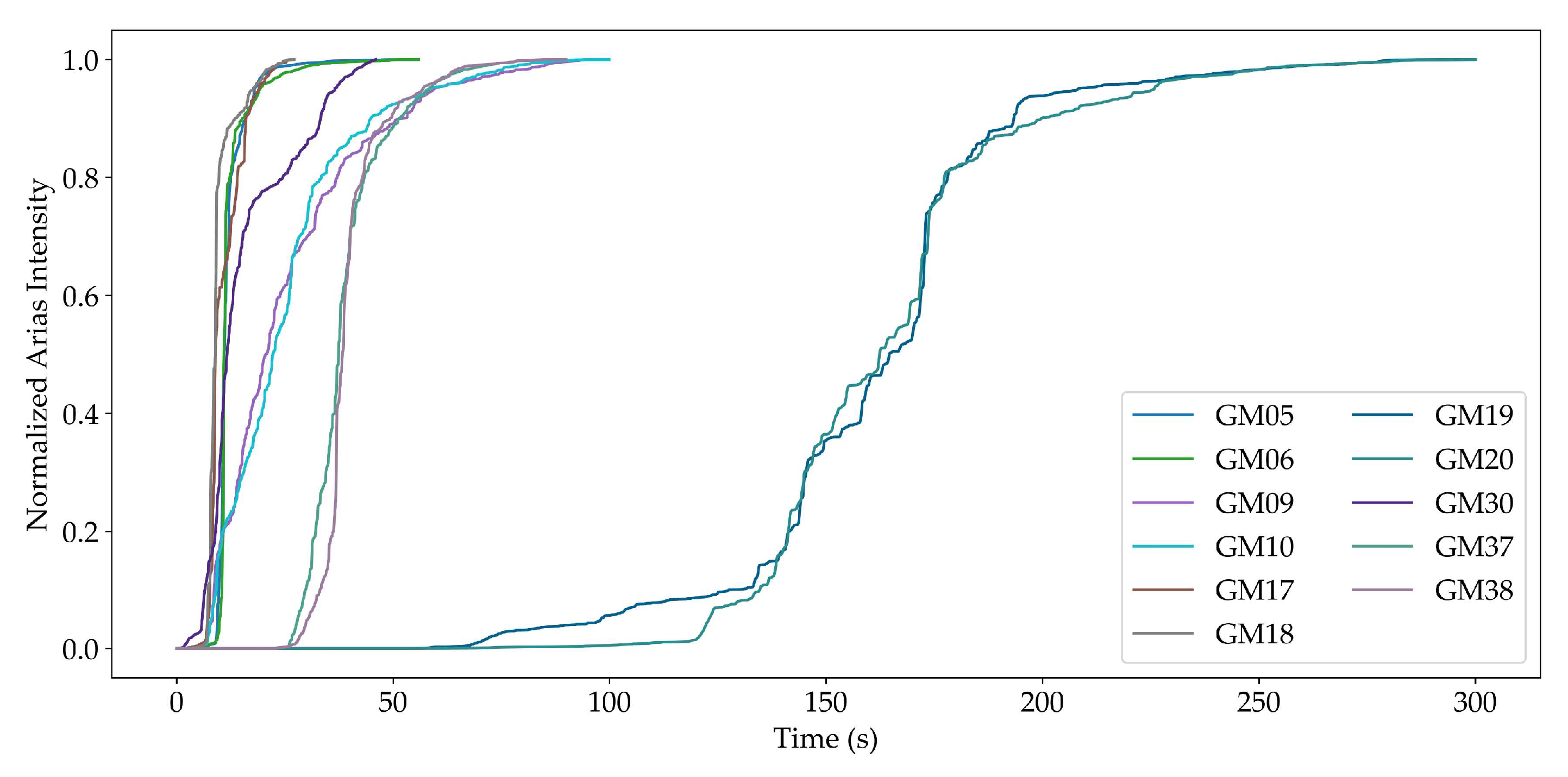
3.2.2. Record Selection and Scaling Procedure
3.3. Nonlinear Response History Analysis
4. Results and Discussion
4.1. Baseline Structural Verification (Strength I Limit State)
4.2. Hysteretic Behavior of the Fluid Viscous Dampers
4.3. Overall Efficiency of the FVD System
4.4. Frequency-Domain Characterization and Dominant Bandwidth
4.5. Time-Domain Mitigation of Dynamic Response
5. Conclusions
- (1)
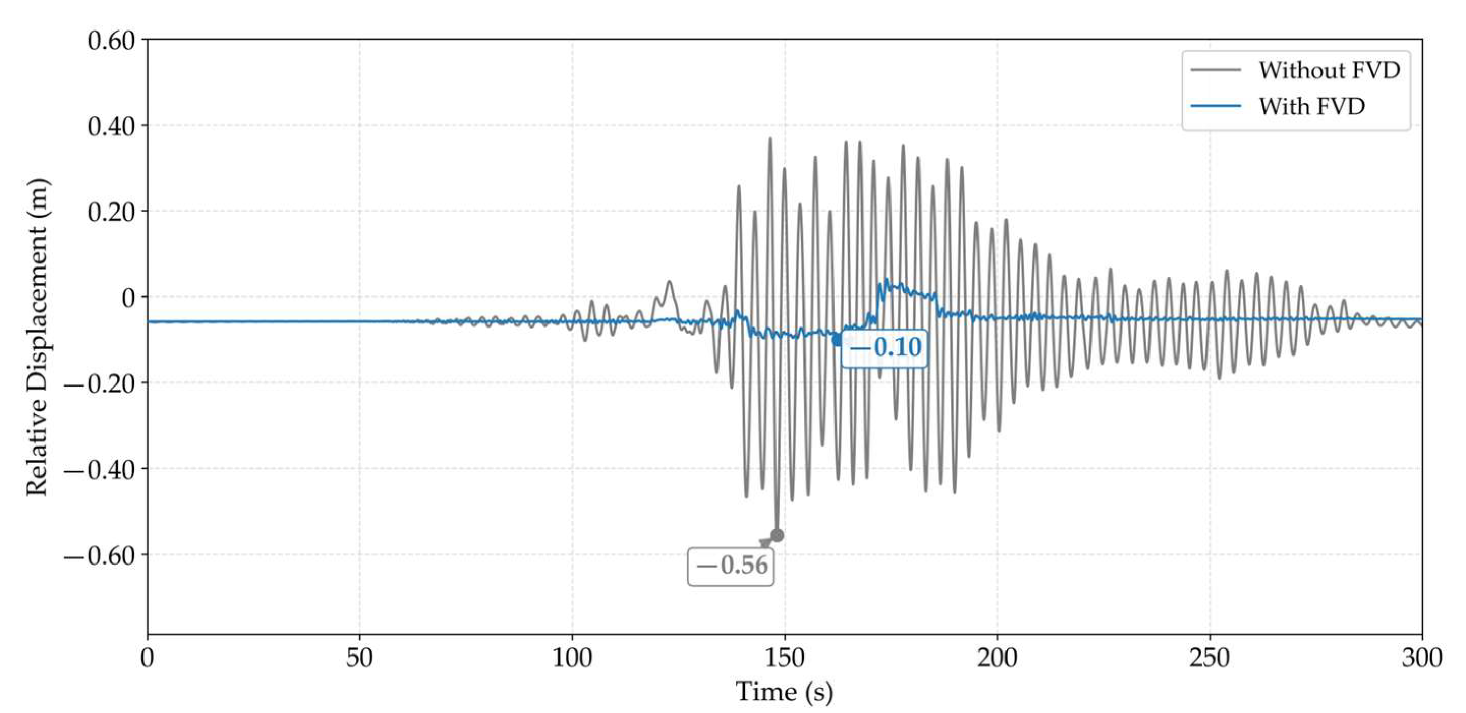
- Baseline and Hysteretic Performance: The implementation of the velocity-dependent FVD system at the abutment did not alter the static load path, leaving the longitudinal cable tension and the Demand/Capacity (D/C) ratios unchanged under the extreme-event limit state I. Under dynamic conditions, the devices exhibited stable, highly rectangular force-displacement hysteresis loops consistent with a low velocity exponent (α = 0.10). The maximum kinematic demands remained safely within the physical clearance limit of ±0.5 m across all scenarios, avoiding stroke saturation at the abutment.
- (2)
- Stroke-Efficiency: The results demonstrated that the maximum damper displacement at the abutment does not linearly correlate with the maximum structural protection at the pylons. Although the FVD system generally reduced the relative displacements, its efficiency in mitigating internal forces varied widely with ground motion. For example, the highly impulsive GM18 record drove the damper to its maximum stroke (0.62 m peak-to-peak) but yielded low base protection for Pylon 4 (4.08% reduction in the bending moment). Conversely, the optimal GM20 record required minimal damper displacement (0.13 m) and achieved the highest structural relief, reducing the bending moment and base shear by 62.17% and 58.46%, respectively.
- (3)
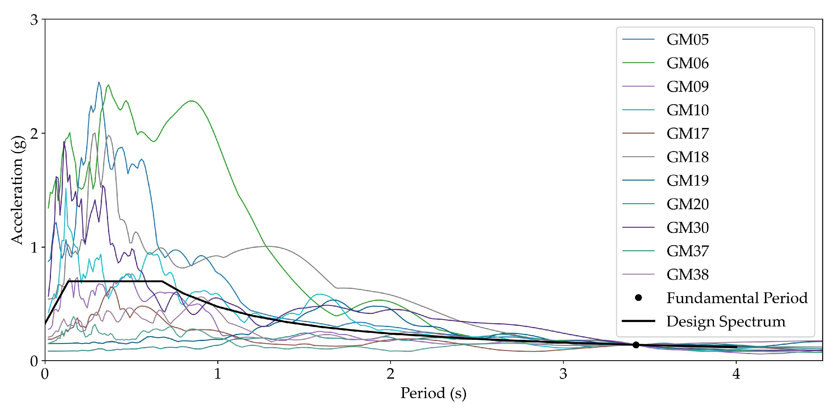
- Frequency-Domain Dependency: The core efficiency of the FVD system is fundamentally governed by the energy of the seismic record. The highest energy dissipation occurs when the effective dominant bandwidth of the earthquake aligns with the fundamental period of the bridge (T1). The abutment damper effectively controlled the longitudinal translation deck under these circumstances (e.g., GM20) by operating at optimal relative velocities. However, rigid-body or higher modes are excited by high-frequency ground motions (such as GM06) before the flexible deck can deform, which hinders the ability of the FVD to engage efficiently and may increase the base shear demands.
Author Contributions
Funding
Institutional Review Board Statement
Informed Consent Statement
Data Availability Statement
Acknowledgments
Conflicts of Interest
Abbreviations
| FVD | Fluid Viscous Damper |
| FVDs | Fluid Viscous Dampers |
| GM | Ground Motion |
| MDOF | multi-degree-of-freedom |
| D/C | Demand/Capacity |
| CCP-14 | Colombian Bridge Design Code |
| AASHTO LRFD | Bridge Design Specifications |
| NL-RHA | Nonlinear Response-History Analysis |
References
- Karriqi, T.; Matos, J.C.; Dang, N.-S.; Xia, Y. Bridge Assessment under Earthquake and Flood-Induced Scour. Appl. Sci. 2024, 14, 5174. [Google Scholar] [CrossRef]
- Park, J.; Yoon, J.; Park, C.; Lee, J. Studying the Cable Loss Effect on the Seismic Behavior of Cable-Stayed Bridge. Appl. Sci. 2023, 13, 5636. [Google Scholar] [CrossRef]
- Granata, M.F.; Arici, M. Serviceability of Segmental Concrete Arch-Frame Bridges Built by Cantilevering. Bridge Struct. 2013, 9, 21–36. [Google Scholar] [CrossRef]
- Guerrero Castellanos, J.L. Revisión Bibliográfica del Monitoreo de Comportamiento Estructural a Largo Plazo de Puentes Viga Cajón en Concreto. Bachelor’s Thesis, Universidad Industrial de Santander, Bucaramanga, Colombia, 2024. [Google Scholar]
- Zhong, J.; Hu, Z.; Yuan, W.; Chen, L. System-Based Probabilistic Optimization of Fluid Viscous Dampers Equipped in Cable-Stayed Bridges. Adv. Struct. Eng. 2018, 21, 1815–1825. [Google Scholar] [CrossRef]
- Lu, L.; Li, J.; Jia, L. Control of the Dynamic Response of Cable-Stayed Bridge with Highway and Railway under Multiple Loading by a Viscous Damper. In Proceedings of the IABSE Conference, Geneva, Switzerland, 23–25 September 2015; pp. 1829–1836. [Google Scholar]
- Naranjo-Pérez, J.; Jiménez-Alonso, J.F.; Díaz, I.M.; Quaranta, G.; Sáez, A. Motion-Based Design of Passive Damping Systems to Reduce Wind-Induced Vibrations of Stay Cables under Uncertainty Conditions. Appl. Sci. 2020, 10, 1740. [Google Scholar] [CrossRef]
- Ma, Y.; Song, C.; Wang, Z.; Jiang, Z.; Sun, B.; Xiao, R. Efficient Design Optimization of Cable-Stayed Bridges: A Two-Layer Framework with Surrogate-Model-Assisted Prediction of Optimum Cable Forces. Appl. Sci. 2024, 14, 2007. [Google Scholar] [CrossRef]
- Wang, L.; Xiao, Z.; Li, M.; Fu, N. Cable Force Optimization of Cable-Stayed Bridge Based on Multiobjective Particle Swarm Optimization Algorithm with Mutation Operation and the Influence Matrix. Appl. Sci. 2023, 13, 2611. [Google Scholar] [CrossRef]
- Guo, J.; Zhong, J.; Dang, X.; Yuan, W. Seismic Responses of a Cable-Stayed Bridge with Consideration of Uniform Temperature Load. Appl. Sci. 2016, 6, 408. [Google Scholar] [CrossRef]
- Xu, Y.; Wang, R.L.; Li, J.Z. Shake Table Test of a Cable-Stayed Bridge Using Yielding Steel Dampers. In Proceedings of the International Conference on Advances in Experimental Structural Engineering; University of Illinois Urbana-Champaign: Urbana, IL, USA, 2015; Volume 2015. [Google Scholar]
- Wu, C.; He, X.; He, L.; Zhao, X.; Wang, Y.; Li, C.; Yang, Y.; Zhang, X. Improving Cable-Stayed Bridge Longitudinal Aseismic Capability via Fluid Viscous Damper Parametric Optimization and Experimental Investigation. Structures 2023, 57, 105199. [Google Scholar] [CrossRef]
- Qiu, W.L.; Jiang, M.; Zhang, X.B. Seismic Response Reduction of Cable-Stayed Bridge with Viscous Dampers. Appl. Mech. Mater. 2012, 137, 154–158. [Google Scholar] [CrossRef]
- Wu, S.P.; Xu, L.; Fang, Z.Z. Study on Optimized Shock Absorption Design of a Floating Cable-Stayed Bridge. Appl. Mech. Mater. 2013, 438–439, 874–878. [Google Scholar] [CrossRef]
- Xiao, J.; Song, L.; Guan, X.; Bai, M. Mechanical, Hydration Process, and Microstructural Properties of Eco-Friendly UHDC Incorporating Recycled Concrete Powder. Constr. Build. Mater. 2026, 507, 145063. [Google Scholar] [CrossRef]
- Gao, H.; Li, L.; Ding, Z.; Zhang, L.; Zhang, K.; Luo, Z. Seismic Study of An Isolated Cable-Stayed Bridge under Near-Fault Ground Motions. Appl. Sci. 2024, 14, 6220. [Google Scholar] [CrossRef]
- Liu, Q.; Liu, Z.; Zhao, J.; Lei, Y.; Zhu, S.; Wu, X. Seismic Optimization of Fluid Viscous Dampers in Cable-Stayed Bridges: A Case Study Using Surrogate Models and NSGA-II. Buildings 2025, 15, 1446. [Google Scholar] [CrossRef]
- Chen, Y.; Sun, H.; Feng, Z. Study on Seismic Isolation of Long Span Double Deck Steel Truss Continuous Girder Bridge. Appl. Sci. 2022, 12, 2567. [Google Scholar] [CrossRef]
- Martínez-Rodrigo, M.D.; Filiatrault, A. A Case Study on the Application of Passive Control and Seismic Isolation Techniques to Cable-Stayed Bridges: A Comparative Investigation through Non-Linear Dynamic Analyses. Eng. Struct. 2015, 99, 232–252. [Google Scholar] [CrossRef]
- Domaneschi, M.; Martinelli, L. Extending the Benchmark Cable-Stayed Bridge for Transverse Response under Seismic Loading. J. Bridge Eng. 2014, 19, 04013003. [Google Scholar] [CrossRef]
- Rådeström, S.; Ülker-Kaustell, M.; Andersson, A.; Tell, V.; Karoumi, R. Application of Fluid Viscous Dampers to Mitigate Vibrations of High-Speed Railway Bridges. Int. J. Rail Transp. 2017, 5, 47–62. [Google Scholar] [CrossRef]
- Computers and Structures, Inc. (CSI). SAP2000 Structural Analysis Software 25.0.0; Computers and Structures, Inc. (CSI): Walnut Creek, CA, USA, 2025. [Google Scholar]
- American Society of Civil Engineers. Minimum Design Loads and Associated Criteria for Buildings and Other Structures; American Society of Civil Engineers: Reston, VA, USA, 2024. [Google Scholar] [CrossRef]
- Applied Technology Council. FEMA P-695, Quantification of Building Seismic Performance Factors—Applied Technology Council Online Store; Applied Technology Council: Redwood City, CA, USA, 2009. [Google Scholar]
- Qiu, Z.; Zhu, W.; Du, J.; Feng, G. Spectral Analysis Method of Seismic Waves: Time-Frequency Response Spectrum. Int. J. Hous. Sci. Its Appl. 2024, 45, 98–106. [Google Scholar] [CrossRef]
- INVIAS. Norma Colombiana de Diseño de Puentes CCP14; INVIAS: Bogota, Colombia, 2014. [Google Scholar]
- American Association of State Highway and Transportation. AASHTO LRFD Bridge Design Guide; American Association of State Highway and Transportation: Washington, DC, USA, 2020. [Google Scholar]
- Chopra, A.K. Dynamics of Structures: Theory and Applications to Earthquake Engineering, 5th ed.; Prentice-Hall International Series in Civil Engineering and Engineering Mechanics; Pearson: Hoboken, NJ, USA, 2017. [Google Scholar]
















| Parameter | Value |
|---|---|
| Total length | 653 m |
| Span arrangement | 36.50 + 36.50 + 125.0 + 330.0 + 125.0 m |
| Main span length | 330.0 m |
| Deck width | 13.70 m |
| Deck depth | 1.40 m |
| Piers 1–2 height | 24.0–46.0 m |
| Above-deck height of pylons 3–4 | 70.0 m |
| Below-deck height of pylons 3–4 | 73.0–55.0 m |
| Pylon type | Inverted Y-shaped |
| Deck-pylon connection | Semi-floating |
| Cable planes | Double |
| Number of stay cables | 128 (64 per plane) |
| Vehicular lanes | 2 |
| Number of pedestrian walkways | 2 |
| Lane width | 3.65 m |
| Pedestrian walkway width | 1.0 m |
| Lateral shoulder width | 0.50 m |
| Component Names | Elastic Modulus (GPa) | Poisson Ratio | Mass Density (kg/m3) | Linear Expansion Coefficient (10−5 1/°C) |
|---|---|---|---|---|
| Approach Deck | 31.11 1 | 0.20 | 2500 1 | 1.0 |
| Deck | 33.94 1 | 0.20 | 2500 1 | 1.0 |
| Pier 1 | 31.11 1 | 0.20 | 2500 1 | 1.0 |
| Pier 2 | 33.94 1 | 0.20 | 2500 1 | 1.0 |
| Pylon 3–4 | 31.11 1 | 0.20 | 2500 1 | 1.0 |
| Stay cables | 196.50 1 | 0.30 | 7850 1 | 1.2 |
| Parameter | Value | Units |
|---|---|---|
| Maximum Force (F) | 2500 | kN |
| Maximum Velocity (V) | 0.56 | m/s |
| Velocity Exponent (α) | 0.10 | -- |
| Damping Coefficient (C) | 2649.24 1 | kN-s/m |
| Maximum Displacement (Δ) | ±500 | mm |
| IDs | Earthquake | Recording Station | |||
|---|---|---|---|---|---|
| GM | M | Year | Name | Name | Owner |
| 01–02 | 6.7 | 1994 | Northridge | Beverly Hills-Mulhol | USC |
| 03–04 | 6.7 | 1994 | Northridge | Canyon Country-WLC | USC |
| 05–06 | 7.1 | 1999 | Duzce, Turkey | Bolu | ERD |
| 07–08 | 7.1 | 1999 | Hector Mine | Hector | SCSN |
| 09–10 | 6.5 | 1979 | Imperial Valley | Delta | UNAMUCSD |
| 11–12 | 6.5 | 1979 | Imperial Valley | El Centro Array #11 | USGS |
| 13–14 | 6.9 | 1995 | Kobe, Japan | Nishi-Akashi | CUE |
| 15–16 | 6.9 | 1995 | Kobe, Japan | Shin-Osaka | CUE |
| 17–18 | 7.5 | 1999 | Kocaeli, Turkey | Duzce | ERD |
| 19–20 | 7.5 | 1999 | Kocaeli, Turkey | Arcelik | KOERI |
| 21–22 | 7.3 | 1992 | Landers | Yermo Fire Station | CDMG |
| 23–24 | 7.3 | 1992 | Landers | Coolwater | SCE |
| 25–26 | 6.9 | 1989 | Loma Prieta | Capitola | CDMG |
| 27–28 | 6.9 | 1989 | Loma Prieta | Gilroy Array #3 | CDMG |
| 29–30 | 7.4 | 1990 | Manjil, Iran | Abbar | BHRC |
| 31–32 | 6.5 | 1987 | Superstition Hills | El Centro Imp. Co. | CDMG |
| 33–34 | 6.5 | 1987 | Superstition Hills | Poe Road (temp) | USGS |
| 35–36 | 7.0 | 1992 | Cape Mendocino | Rio Dell Overpass | CDMG |
| 37–38 | 7.6 | 1999 | Chi-Chi, Taiwan | CHY101 | CWB |
| 39–40 | 7.6 | 1999 | Chi-Chi, Taiwan | TCU045 | CWB |
| 41–42 | 6.6 | 1971 | San Fernando | LA-Hollywood Stor | CDMG |
| 43–44 | 6.5 | 1976 | Friuli, Italy | Tolmezzo | CDMG |
| Record | Duration (s) | Period Range (s) |
|---|---|---|
| GM05 | 55.90 | 0.32–0.60 |
| GM06 | 55.90 | 0.71–1.10 |
| GM09 | 99.92 | 0.33–2.04 |
| GM10 | 99.92 | 0.66–2.56 |
| GM17 | 27.19 | 0.68–3.89 |
| GM18 | 27.19 | 0.38–1.94 |
| GM19 | 300.00 | 1.42–2.01 |
| GM20 | 300.00 | 50.00–75.00 |
| GM30 | 53.52 | 0.08–2.88 |
| GM37 | 90.00 | 0.73–3.75 |
| GM38 | 90.00 | 0.88–6.43 |
| Load Case | Output Time Step Size | Output Time Steps |
|---|---|---|
| GM05 | 0.01 | 5590 |
| GM06 | 0.01 | 5590 |
| GM09 | 0.01 | 9992 |
| GM10 | 0.01 | 9992 |
| GM17 | 0.005 | 5437 |
| GM18 | 0.005 | 5437 |
| GM19 | 0.05 | 6000 |
| GM20 | 0.05 | 6000 |
| GM30 | 0.02 | 2676 |
| GM37 | 0.005 | 18,000 |
| GM38 | 0.005 | 18,000 |
| Record | Damper Displacement (m) | Displacement 1 (%) | Bending Moment 2 (%) | Shear 2 (%) |
|---|---|---|---|---|
| GM05 | 0.39 | 49.83 | 11.96 | 11.07 |
| GM06 | 0.56 | 47.84 | 14.52 | −3.70 |
| GM09 | 0.22 | 82.25 | 50.32 | 25.46 |
| GM10 | 0.32 | 65.08 | 43.84 | 6.57 |
| GM17 | 0.09 | 74.77 | 52.12 | 41.08 |
| GM18 | 0.62 | 11.67 | 4.08 | 0.98 |
| GM19 | 0.43 | 49.43 | 50.02 | 38.07 |
| GM20 | 0.13 | 81.95 | 62.17 | 58.46 |
| GM30 | 0.42 | 51.29 | 14.53 | 8.90 |
| GM37 | 0.07 | 86.58 | 66.76 | 48.00 |
| GM38 | 0.18 | 64.93 | 53.74 | 33.90 |
Disclaimer/Publisher’s Note: The statements, opinions and data contained in all publications are solely those of the individual author(s) and contributor(s) and not of MDPI and/or the editor(s). MDPI and/or the editor(s) disclaim responsibility for any injury to people or property resulting from any ideas, methods, instructions or products referred to in the content. |
© 2026 by the authors. Licensee MDPI, Basel, Switzerland. This article is an open access article distributed under the terms and conditions of the Creative Commons Attribution (CC BY) license.
Share and Cite
Vega, S.C.; Gisbert, C.M.; Viviescas, A. Nonlinear Seismic Response of Long-Span Bridges Constructed by the Balanced Cantilever Method Under Earthquake Excitations. Appl. Sci. 2026, 16, 3312. https://doi.org/10.3390/app16073312
Vega SC, Gisbert CM, Viviescas A. Nonlinear Seismic Response of Long-Span Bridges Constructed by the Balanced Cantilever Method Under Earthquake Excitations. Applied Sciences. 2026; 16(7):3312. https://doi.org/10.3390/app16073312
Chicago/Turabian StyleVega, Silvia C., Carlos M. Gisbert, and Alvaro Viviescas. 2026. "Nonlinear Seismic Response of Long-Span Bridges Constructed by the Balanced Cantilever Method Under Earthquake Excitations" Applied Sciences 16, no. 7: 3312. https://doi.org/10.3390/app16073312
APA StyleVega, S. C., Gisbert, C. M., & Viviescas, A. (2026). Nonlinear Seismic Response of Long-Span Bridges Constructed by the Balanced Cantilever Method Under Earthquake Excitations. Applied Sciences, 16(7), 3312. https://doi.org/10.3390/app16073312

