Due to scheduled maintenance work on our servers, there may be short service disruptions on this website between 11:00 and 12:00 CEST on March 28th.
Sign in to use this feature.

Years

Between: -

Subjects

remove_circle_outline
remove_circle_outline
remove_circle_outline
remove_circle_outline
remove_circle_outline
remove_circle_outline
remove_circle_outline
remove_circle_outline
remove_circle_outline

Journals

Article Types

Countries / Regions

remove_circle_outline
remove_circle_outline
remove_circle_outline
remove_circle_outline

Search Results (192)

Search Parameters:
Keywords = bio-recognition element

Order results
Result details
Results per page
Select all
Export citation of selected articles as:
33 pages, 3657 KB  
Review
Electrochemical Biosensing Platforms for Rapid and Early Diagnosis of Crop Fungal and Viral Diseases
by Yuhong Zheng, Li Fu, Jiale Yang, Shansong Gao, Haobo Sun and Fan Zhang
Sensors 2026, 26(6), 2004; https://doi.org/10.3390/s26062004 - 23 Mar 2026
Viewed by 207
Abstract
Crop fungal and viral diseases cause annual economic losses exceeding USD 150 billion globally, demanding rapid, sensitive, and field-deployable diagnostic technologies. This review critically evaluates recent advances in electrochemical biosensing platforms for early crop pathogen detection, focusing on immunosensors, genosensors, aptasensors, and VOC-based [...] Read more.
Crop fungal and viral diseases cause annual economic losses exceeding USD 150 billion globally, demanding rapid, sensitive, and field-deployable diagnostic technologies. This review critically evaluates recent advances in electrochemical biosensing platforms for early crop pathogen detection, focusing on immunosensors, genosensors, aptasensors, and VOC-based systems. Reported analytical performances demonstrate ultralow detection capabilities, including 0.3 fg mL−1 for viral coat proteins, 15 DNA copies for bacterial pathogens, 0.5 fg µL−1 RNA detection for viroids, and nanomolar-level VOC sensing (35–62 nM), with response times ranging from 2 to 60 min. Comparative analysis reveals that genosensors and aptasensors generally achieve the lowest LODs due to nucleic acid amplification or high-affinity recognition, while immunosensors provide robust protein-level specificity validated against ELISA. Volatile organic compound (VOC) sensors enable non-invasive, pre-symptomatic monitoring but face specificity challenges. Despite strong laboratory performance, practical adoption is limited by matrix-derived electrochemical interference, environmental instability of biorecognition elements, workflow complexity, and insufficient standardization across studies. Emerging innovations, including magnetic bead enrichment, nanoporous and graphene-based electrodes, microfluidic integration, AI-assisted impedance interpretation, and biodegradable substrates, are progressively addressing these bottlenecks. This review emphasizes that successful field translation requires holistic workflow engineering, matrix-matched validation, and harmonized performance metrics rather than incremental sensitivity improvements alone. By integrating analytical chemistry, nanomaterials engineering, and agricultural decision-support frameworks, electrochemical biosensing platforms hold significant potential to enable decentralized, rapid, and sustainable crop disease management. Full article
(This article belongs to the Special Issue Electrochemical Biosensing Devices and Their Applications)
Show Figures

Figure 1

53 pages, 3063 KB  
Review
Beyond Self-Assembly: Bioorthogonal ‘Click’ Chemistry Strategies for Robust Electrochemical Interfaces in Wearable Biosensors
by Roy Merkezoğlu, Özgür Yılmaz and Ahmet Akif Kızılkurtlu
Biosensors 2026, 16(3), 181; https://doi.org/10.3390/bios16030181 - 23 Mar 2026
Viewed by 250
Abstract
Electrochemical biosensors integrated into wearable devices have revolutionized the technology in terms of health monitoring and diagnostic systems. However, when it comes to moving the devices from the laboratory to real-world environments, a critical problem emerges with the interface. The problem, in essence, [...] Read more.
Electrochemical biosensors integrated into wearable devices have revolutionized the technology in terms of health monitoring and diagnostic systems. However, when it comes to moving the devices from the laboratory to real-world environments, a critical problem emerges with the interface. The problem, in essence, is that biorecognition elements tend to lose their activity, delaminate, and drift when exposed to various environmental stresses. The traditional methods for the immobilization of the biorecognition elements result in receptors with random orientations, hydrolytically unstable bonds, and batch-to-batch variability, regardless of the method, including physisorption or non-selective covalent attachment, like using EDC/NHS. This review is organized around a comparative question: which limitations of classical immobilization strategies (physisorption, self-assembled monolayers used as passive anchoring platforms, and EDC/NHS coupling) can be resolved by click chemistry, which can be resolved by mechanistic features? Accordingly, CuAAC, SPAAC, IEDDA, and thiol-ene/yne photoclick reactions are discussed, not as an isolated catalog of ligations, but as complementary solutions to specific interfacial failure modes, including random bioreceptor orientation, hydrolytically vulnerable attachment, poor batch reproducibility, catalyst sensitivity, and the difficulty of functionalizing soft polymeric or textile substrates. In this framework, click chemistry is treated as a deterministic interface-engineering strategy that enables defined covalent fixation, programmable probe density, and improved mechanical and electrochemical robustness under wearable operating conditions. Full article
(This article belongs to the Section Biosensor and Bioelectronic Devices)
Show Figures

Graphical abstract

58 pages, 1400 KB  
Review
Biosensors of Wine Fermentation for Monitoring Chemical and Biochemical Interactions, Process Indicators and Migration of Compounds and Metabolites, Between Wine and Fermentation Vessels—A Critical Review
by Vasileios D. Prokopiou, Aikaterini Karampatea, Zoi S. Metaxa and Alexandros V. Tsoupras
Biosensors 2026, 16(3), 153; https://doi.org/10.3390/bios16030153 - 10 Mar 2026
Viewed by 547
Abstract
Wine alcoholic fermentation occurs in a dynamic biochemical environment where interactions between the vessel and the product can cause inorganic and organic species to migrate into the fermenting must or wine. At low pH and with rising ethanol levels, fermentation tanks made of [...] Read more.
Wine alcoholic fermentation occurs in a dynamic biochemical environment where interactions between the vessel and the product can cause inorganic and organic species to migrate into the fermenting must or wine. At low pH and with rising ethanol levels, fermentation tanks made of stainless steel, concrete or cementitious materials, ceramics, or polymers exhibit material-specific behaviors that may promote the release of toxic trace elements or alter technologically important ions. These changes can affect yeast physiology, fermentation kinetics, and matrix stability, directly impacting wine safety and quality. They may also influence the evolution of key fermentation metabolites and phenolic constituents, thereby affecting process performance, color development, oxidative stability, and other quality-related attributes. This review synthesizes current evidence on migration mechanisms and examines how vessel composition shapes the chemical and microbiological profile of fermentation. It also critically evaluates biosensor technologies—covering both biorecognition elements and signal-transduction strategies—and assesses the transition from laboratory prototypes to in situ or at-line implementations capable of detecting both migration-related events and process-relevant compositional changes with operational value for HACCP-based control. Electrochemical, optical, bienzymatic, and nanozyme-enabled platforms are discussed in terms of selectivity, matrix compatibility, and long-term functional stability under polyphenol and protein interference, CO2 variability, fouling and biofouling, and calibration drift. Particular attention is given to analytes associated with vessel-derived migrants and to biosensor targets related to fermentation metabolites and phenolic indicators, which support dynamic process monitoring and quality-focused decision making. Considering regulatory compliance requirements across the EU, US, and Asia, we propose a practical pathway for integrating biosensors into HACCP monitoring by treating vessel–product interactions as critical control points, while laboratory reference methods remain essential for verification and compliance documentation. Full article
(This article belongs to the Special Issue Advanced Biosensors for Food and Agriculture Safety)
Show Figures

Figure 1

16 pages, 22866 KB  
Article
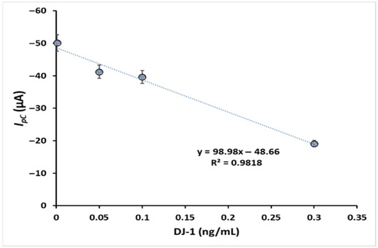
Sensitive Detection of DJ-1 in Artificial Cerebrospinal Fluid Using a Portable GPTMS-Coordinated Gold Nanoparticle-Based Biosensor
by Münteha Nur Sonuç Karaboğa
Biosensors 2026, 16(3), 146; https://doi.org/10.3390/bios16030146 - 3 Mar 2026
Viewed by 332
Abstract
A highly selective and sensitive compact immunosensing strategy was developed for the determination of DJ-1, a potential biomarker of Parkinson’s disease, one of the leading neurodegenerative disorders, using a portable potentiostat. Initially, screen-printed carbon electrodes (SPCEs) were modified with gold nanoparticles (AuNPs), followed [...] Read more.
A highly selective and sensitive compact immunosensing strategy was developed for the determination of DJ-1, a potential biomarker of Parkinson’s disease, one of the leading neurodegenerative disorders, using a portable potentiostat. Initially, screen-printed carbon electrodes (SPCEs) were modified with gold nanoparticles (AuNPs), followed by functionalization with 4-mercapto-1-butanol (MOH). Subsequently, the AuNPs-doped and hydroxyl-functionalized electrodes were treated with 3-glycidoxypropyltrimethoxysilane (GPTMS) to facilitate immobilization of anti-DJ-1 antibodies. Immobilization steps were monitored using electrochemical impedance spectroscopy (EIS) and cyclic voltammetry (CV) performed on a bench potentiostat, while the entire analytical performance of the developed biosensor system and its response in artificial cerebrospinal fluid (aCSF) were evaluated by monitoring cathodic current changes with a portable electrochemical reader. The resulting biorecognition element enabled the detection of DJ-1 within the concentration range of 0.001 to 0.3 ng/mL, based on cathodic current changes, achieving a limit of detection as low as 0.00059 ng/mL. Surface morphology and elemental composition alterations were characterized by scanning electron microscopy (SEM), Fourier transform infrared spectroscopy (FTIR), and energy-dispersive X-ray spectroscopy (EDX). A notable advantage of this GPTMS@AuNPs-based biosensor system is its prolonged storage stability and its capability to accurately quantify DJ-1 in artificial cerebrospinal fluid samples, with recovery rates ranging from 98.66% to 123.3%. Full article
(This article belongs to the Section Biosensor and Bioelectronic Devices)
Show Figures

Figure 1

25 pages, 1980 KB  
Review
Nanomaterials-Based Electrochemical Aptasensors for Rapid Detection of Pathogens and By-Products
by Zhang Lei and Norjihada Izzah Ismail
Molecules 2026, 31(4), 664; https://doi.org/10.3390/molecules31040664 - 14 Feb 2026
Viewed by 494
Abstract
The rapid and accurate detection of pathogenic bacteria and viruses is essential for controlling infectious disease outbreaks and ensuring food safety. Conventional detection methods such as microbial culture, immunoassays, and polymerase chain reaction (PCR), although effective, often suffer from drawbacks including time-consuming procedures, [...] Read more.
The rapid and accurate detection of pathogenic bacteria and viruses is essential for controlling infectious disease outbreaks and ensuring food safety. Conventional detection methods such as microbial culture, immunoassays, and polymerase chain reaction (PCR), although effective, often suffer from drawbacks including time-consuming procedures, complex operations, and limited multiplexing capabilities. In recent years, electrochemical aptasensors have emerged as a promising alternative for rapid detection of pathogenic bacteria, viruses, and by-products (toxins) due to their high sensitivity, excellent specificity, low cost, and potential for miniaturization. Aptamers can be applied as biorecognition elements of the biosensor, remarkably offering advantages such as high binding affinity, thermal stability, and ease of chemical synthesis. Meanwhile, nanomaterials which provide large surface area, superior conductivity, and modifiable surfaces are widely employed in signal amplification and sensor platform construction. This review discusses the cutting-edge innovations in electrochemical aptasensors in recent years that utilize various types of nanomaterials to accurately identify and quantify diverse types of pathogens and toxins. This review focuses on nanomaterials such as metal nanostructures, carbon nanomaterials, metal, metal oxides, and carbon nanocomposites that can synergistically enhance detection sensitivity, specificity, and operational stability. This review also highlights the promising practical application of the proposed electrochemical aptasensors in clinical diagnostics, environmental monitoring, and food safety. Full article
(This article belongs to the Special Issue Functional Nanomaterials for Biosensors and Biomedicine Application)
Show Figures

Graphical abstract

37 pages, 1857 KB  
Review
Advances in Electrochemical Aptasensors for Targeted Detection in Biomedicine, Food Safety, and Environmental Monitoring
by Wenting Shang, Peipei Zhou, Mengxue Liu, Guangxia Lv, Mengqi Sun, Yanxia Li and Xiangying Meng
Chemosensors 2026, 14(2), 46; https://doi.org/10.3390/chemosensors14020046 - 8 Feb 2026
Viewed by 823
Abstract
Electrochemical biosensors have emerged as indispensable detection tools with rapid advancements in recent years, offering high sensitivity, specificity, and cost-effectiveness for quantifying diverse analytes, including amino acids, proteins, pathogens, cells, antigens, and organic/inorganic compounds, thereby advancing analytical detection technologies across multiple fields. Aptamers, [...] Read more.
Electrochemical biosensors have emerged as indispensable detection tools with rapid advancements in recent years, offering high sensitivity, specificity, and cost-effectiveness for quantifying diverse analytes, including amino acids, proteins, pathogens, cells, antigens, and organic/inorganic compounds, thereby advancing analytical detection technologies across multiple fields. Aptamers, synthetic in vitro-evolved ligands with exceptional binding affinity and stability, serve as superior biorecognition elements for electrochemical sensing interfaces. Compared with other bioreceptors such as antibodies, they are generally easier and faster to produce, more uniform between batches, and easier to modify chemically; they also maintain greater stability than protein antibodies or enzymes across varying pH, temperature, and ionic conditions, enabling targeted recognition and measurable signal transduction. This review systematically summarizes recent advances in electrochemical aptasensors across three core domains: biomedical diagnostics (covering tumor markers, infectious disease pathogens, cardiovascular and metabolic biomarkers), food safety monitoring (targeting antibiotics, mycotoxins, foodborne pathogens, and pesticide residues), and environmental hazard detection (including heavy metals, toxic compounds, and biotoxins). Key technological innovations such as nanomaterial modification, signal amplification strategies, and novel sensor architectures are highlighted. Additionally, it critically discusses prominent challenges, including complex matrix interference, limited aptamer repertoires, poor reproducibility, and lack of standardization, along with future prospects. This work aims to provide a comprehensive reference for the rational design, optimization, and clinical/field application of next-generation electrochemical aptasensing technologies. Full article
Show Figures

Graphical abstract

69 pages, 3232 KB  
Review
Nanostructure-Enhanced Optical Sensing Platforms for Pesticide Analysis in Food and Water Samples: A Review
by Aurelia Magdalena Pisoschi, Loredana Stanca, Florin Iordache, Iuliana Ionascu, Iuliana Gajaila, Ovidiu Ionut Geicu, Liviu Bilteanu and Andreea Iren Serban
Chemosensors 2026, 14(2), 43; https://doi.org/10.3390/chemosensors14020043 - 4 Feb 2026
Viewed by 669
Abstract
Pesticides are applied to promote performances in the agricultural field, sustaining crop productivity by counteracting the damages induced by pests and weeds. Under conditions of uncontrolled application, their negative influences exerted on soil, water and biodiversity mean contamination of food and impact on [...] Read more.
Pesticides are applied to promote performances in the agricultural field, sustaining crop productivity by counteracting the damages induced by pests and weeds. Under conditions of uncontrolled application, their negative influences exerted on soil, water and biodiversity mean contamination of food and impact on human health. The reactive oxygen species generation induced by pesticides impair the antioxidant protective ability. For humans, pesticides can have cytotoxic, carcinogenic, and mutagenic potential. They can be classified relying on the chemical structure or on the targeted organism. Optical sensors are based on UV-Vis absorption, fluorescence, chemiluminescence, surface plasmon resonance or Raman scattering. Based on their coloring features, nanomaterials are used in optical sensing platforms. They impart high specific surface area, small sizes, facility of surface modification by biorecognition elements (enzyme, antibody, aptamer, molecularly-imprinted polymer) and promote sensitivity and selectivity in biosensing platforms. The present paper highlights the performances of the optical sensing platforms in pesticide assay. Relevant novel applications are discussed critically, following the attempts to improve analytical features of chemical and biochemical sensors. Critical comparison of the techniques is performed in the last section. Advances in nanofabrication like the inclusion of novel nanomaterials and optimizing data interpretation by integration of algorithms can further enhance performances. Full article
Show Figures

Graphical abstract

33 pages, 4695 KB  
Review
Functional Nanomaterial-Based Electrochemical Biosensors Enable Sensitive Detection of Disease-Related Small-Molecule Biomarkers for Diagnostics
by Tongtong Xun, Jie Zhang, Xiaojuan Zhang, Min Wu, Yueyan Huang, Huanmi Jiang, Xiaoqin Zhang and Baoyue Ding
Pharmaceuticals 2026, 19(2), 223; https://doi.org/10.3390/ph19020223 - 27 Jan 2026
Viewed by 331
Abstract
Biomolecules play pivotal roles in cellular signaling, metabolic regulation and the maintenance of physiological homeostasis in the human body, and their dysregulation is closely associated with the onset and progression of various human diseases. Consequently, the development of highly sensitive, selective, and stable [...] Read more.
Biomolecules play pivotal roles in cellular signaling, metabolic regulation and the maintenance of physiological homeostasis in the human body, and their dysregulation is closely associated with the onset and progression of various human diseases. Consequently, the development of highly sensitive, selective, and stable detection platforms for these molecules is of significant value for drug discovery, pharmaceutical quality control, pharmacodynamic studies, and personalized medicine. In recent years, electrochemical biosensors, particularly those integrated with functional nanomaterials and biorecognition elements, have emerged as powerful analytical platforms in pharmaceutics and biomedical analysis, owing to their high sensitivity, exquisite selectivity, rapid response, simple operation, low cost and suitability for real-time or in situ monitoring in complex biological systems. This review summarizes recent progress in the electrochemical detection of representative biomolecules, including dopamine, glucose, uric acid, hydrogen peroxide, lactate, glutathione and cholesterol. By systematically summarizing and analyzing existing sensing strategies and nanomaterial-based sensor designs, this review aims to provide new insights for the interdisciplinary integration of pharmaceutics, nanomedicine, and electrochemical biosensing, and to promote the translational application of these sensing technologies in drug analysis, quality assessment, and clinical diagnostics. Full article
(This article belongs to the Section Pharmaceutical Technology)
Show Figures

Graphical abstract

12 pages, 1960 KB  
Article
Innovative Fatty Acid-Guided Biosensor Design for Neutrophil Gelatinase, a Prognostic and Diagnostic Biomarker for Chronic Kidney Disease
by Kaustubh Jumle, Priya Paliwal, Mohamed A. M. Ali, Ravi Ranjan Kumar Niraj, Anis Ahmad Chaudhary and Manali Datta
Biosensors 2026, 16(2), 74; https://doi.org/10.3390/bios16020074 - 26 Jan 2026
Viewed by 538
Abstract
Chronic kidney disease (CKD) afflicts 850 million people worldwide, with an estimate that it is the 5th highest cause of years of life lost (YLLs). Standard confirmatory procedures for disease are blood and urine analysis with ultrasound for confirmation. Neutrophil gelatinase-associated lipocalin (NGAL) [...] Read more.
Chronic kidney disease (CKD) afflicts 850 million people worldwide, with an estimate that it is the 5th highest cause of years of life lost (YLLs). Standard confirmatory procedures for disease are blood and urine analysis with ultrasound for confirmation. Neutrophil gelatinase-associated lipocalin (NGAL) has been established as a prognostic biomarker, especially for the pre-clinical stages of CKD, thus presenting itself as a dependable predictor of the progression. With the aim of designing diagnostics, fatty acids were explored as potential biorecognition elements for the selective capture of NGAL. Three fatty acids—linoleic acid, arachidonic acid, and retinoic acid—were shortlisted as plausible candidates based on their known affinity toward lipocalin family proteins. Docking followed by molecular dynamics simulations were employed to evaluate the binding affinity and stability of each complex. Among them, linoleic acid exhibited the most favorable interaction, as evidenced by the lowest binding free energy. Subsequently, fluorescence and electrochemical techniques—square-wave voltammetry, differential pulse voltammetry, cyclic voltammetry, and electrochemical impedance spectroscopy (EIS)—were systematically compared for qualitative and quantitative checking of the accuracy of NGAL detection. Amongst the electrochemical techniques, differential pulse voltammetry DPV demonstrated superior analytical performance with an LOD of 0.05 ng/mL with a sensitivity of 23.2 µA/cm2/pg. To the best of our knowledge, this is the first report of a fatty acid-based biosensor platform for NGAL detection, presenting a novel approach for CKD diagnostics. The sensitivity obtained is comparable with available NGAL detection methods yet cost-effective and robust. Full article
Show Figures

Figure 1

12 pages, 1660 KB  
Article
Long-Term Stable Biosensing Using Multiscale Biostructure-Preserving Metal Thin Films
by Kenshin Takemura, Taisei Motomura and Yuko Takagi
Biosensors 2026, 16(1), 63; https://doi.org/10.3390/bios16010063 - 16 Jan 2026
Viewed by 462
Abstract
Microparticle detection technology uses materials that can specifically recognize complex biostructures, such as antibodies and aptamers, as trapping agents. The development of antibody production technology and simplification of sensing signal output methods have facilitated commercialization of disposable biosensors, making rapid diagnosis possible. Although [...] Read more.
Microparticle detection technology uses materials that can specifically recognize complex biostructures, such as antibodies and aptamers, as trapping agents. The development of antibody production technology and simplification of sensing signal output methods have facilitated commercialization of disposable biosensors, making rapid diagnosis possible. Although this contributed to the early resolution of pandemics, traditional biosensors face issues with sensitivity, durability, and rapid response times. We aimed to fabricate microspaces using metallic materials to further enhance durability of mold fabrication technologies, such as molecular imprinting. Low-damage metal deposition was performed on target protozoa and Norovirus-like particles (NoV-LPs) to produce thin metallic films that adhere to the material. The procedure for fitting the object into the bio structured space formed on the thin metal film took less than a minute, and sensitivity was 10 fg/mL for NoV-LPs. Furthermore, because it was a metal film, no decrease in reactivity was observed even when the same substrate was stored at room temperature and reused repeatedly after fabrication. These findings underscore the potential of integrating stable metallic structures with bio-recognition elements to significantly enhance robustness and reliability of environmental monitoring. This contributes to public health strategies aimed at early detection and containment of infectious diseases. Full article
(This article belongs to the Special Issue Advanced Electrochemical Biosensors and Their Applications)
Show Figures

Figure 1

16 pages, 1582 KB  
Article
Monitoring Inhibition of Hemoglobin Peroxidase Activity After Exposure to Cigarette Smoke Using an Electrochemical Biosensor
by Alfonso Sequeda-Juárez, Flor Cortés-Ortegón, Diego Ortega-Picazo, José Antonio García-García, Ana María Espinosa-García and Celia Sánchez-Pérez
Biosensors 2025, 15(12), 767; https://doi.org/10.3390/bios15120767 - 25 Nov 2025
Viewed by 597
Abstract
This work presents a catalysis-based electrochemical biosensor to evaluate the peroxidase-like activity of methemoglobin (Hb-PLA) after exposure to cigarette smoke (CS) at different time intervals. The system consists of a microelectrode array coupled with a PDMS chamber containing a methemoglobin solution (biorecognition element). [...] Read more.
This work presents a catalysis-based electrochemical biosensor to evaluate the peroxidase-like activity of methemoglobin (Hb-PLA) after exposure to cigarette smoke (CS) at different time intervals. The system consists of a microelectrode array coupled with a PDMS chamber containing a methemoglobin solution (biorecognition element). Hydrogen peroxide (H2O2) acts as the substrate, while 3,3′,5,5′-tetramethylbenzidine (TMB) functions as the chromogenic substrate for the Hb-PLA through its oxidation reaction. A spectrophotometric technique is used as a reference method to assess the catalytic activity of methemoglobin. Positive control samples exhibited higher absorbance, indicating strong catalytic activity, whereas CS-exposed samples showed a marked reduction, which was confirmed by the negative control. Cyclic voltammetry revealed significant alterations in the oxidation and reduction peaks of the CS-exposed samples. Therefore, chronoamperometry was employed to quantify the charge transfer as the electrochemical response associated with Hb-PLA, yielding a sensitivity of 0.86 ± 0.06 (%Hb-PLA/mC) and a limit of detection (LOD) of 0.23 (mC). The results demonstrate that cigarette smoke impairs the Hb-PLA in a time-dependent manner, with longer exposure reducing the activity by up to 25%. The proposed biosensor provides a rapid, sensitive, and straightforward strategy for detecting functional alterations in solutions of methemoglobin induced by environmental pollutants such as cigarette smoke. Full article
Show Figures

Figure 1

23 pages, 2168 KB  
Review
Electrospun Nanofiber Platforms for Advanced Sensors in Livestock-Derived Food Quality and Safety Monitoring: A Review
by Karna Ramachandraiah, Elizabeth M. Martin and Alya Limayem
Sensors 2025, 25(22), 6947; https://doi.org/10.3390/s25226947 - 13 Nov 2025
Cited by 1 | Viewed by 1041
Abstract
Over the past two decades, the meat industry has faced increasing pressure to prevent foodborne outbreaks and reduce economic losses associated with delayed detection of spoilage. This demand has accelerated the development of on-site, real-time sensing tools capable of identifying early signs of [...] Read more.
Over the past two decades, the meat industry has faced increasing pressure to prevent foodborne outbreaks and reduce economic losses associated with delayed detection of spoilage. This demand has accelerated the development of on-site, real-time sensing tools capable of identifying early signs of contamination. Electrospun nanofiber (NF) platforms have emerged as particularly promising due to their large surface area, tunable porosity, and versatile chemistry, which make them ideal scaffolds for immobilizing enzymes, antibodies, or aptamers while preserving bioactivity under field conditions. These NFs have been integrated into optical, electrochemical, and resistive devices, each enhancing response time and sensitivity for key targets ranging from volatile organic compounds indicating early decay to specific bacterial markers and antibiotic residues. In practical applications, NF matrices enhance signal generation (SERS hotspots), facilitate analyte diffusion through three-dimensional networks, and stabilize delicate biorecognition elements for repeated use. This review summarizes major NF fabrication strategies, representative sensor designs for meat quality monitoring, and performance considerations relevant to industrial deployment, including reproducibility, shelf life, and regulatory compliance. The integration of such platforms with data networks and Internet of Things (IoT) nodes offers a path toward continuous, automated surveillance throughout processing and cold-chain logistics. By addressing current technical and regulatory challenges, NF-based biosensors have the potential to significantly reduce waste and safeguard public health through early detection of contamination before it escalates into costly recalls. Full article
(This article belongs to the Section Smart Agriculture)
Show Figures

Figure 1

15 pages, 3635 KB  
Article
Development and Comparative Evaluation of Two Enzyme-Based Amperometric Biosensor Designs for Alanine Aminotransferase Determination in Biological Fluids
by Daryna Mruga, Yevhen Vakhovskyi, Veronika Bakhmat, Viktoriya Pyeshkova, Sergii Dzyadevych and Oleksandr Soldatkin
Micromachines 2025, 16(10), 1168; https://doi.org/10.3390/mi16101168 - 15 Oct 2025
Viewed by 984
Abstract
Alanine aminotransferase (ALT) is a key biomarker of liver function. Compared with conventional assays for ALT detection—which are expensive, time-consuming, labor-intensive, and require experienced personnel—biosensors represent a promising alternative, but it remains unclear which biorecognitive enzymatic configuration offers the best analytical performance for [...] Read more.
Alanine aminotransferase (ALT) is a key biomarker of liver function. Compared with conventional assays for ALT detection—which are expensive, time-consuming, labor-intensive, and require experienced personnel—biosensors represent a promising alternative, but it remains unclear which biorecognitive enzymatic configuration offers the best analytical performance for ALT detection. This study presents the development and comparative evaluation of two amperometric biosensors based on oxidase biorecognition elements: pyruvate oxidase (POx) and glutamate oxidase (GlOx). Enzymes were immobilized onto platinum electrodes under optimized conditions using entrapment for POx (pH 7.4, enzyme loading 1.62 U/µL, PVA-SbQ concentration 13.2%) and covalent crosslinking for GlOx (pH 6.5, enzyme loading 2.67%, glutaraldehyde concentration 0.3%). Analytical parameters were systematically assessed, including linear range (1–500 U/L for POx vs. 5–500 U/L for GlOx), limit of detection (1 U/L for both), and sensitivity (0.75 vs. 0.49 nA/min at 100 U/L). The POx-based biosensor demonstrated higher sensitivity and lower detection limits, whereas the GlOx-based biosensor exhibited greater stability in complex solutions and reduced assay costs due to a simpler working solution. Moreover, while the POx-based system is uniquely suited for ALT determination, the GlOx-based sensor can be affected by AST activity in samples but may also be adapted for targeted AST detection. Overall, the study highlights a trade-off between sensitivity, robustness, and versatility in ALT biosensor design, providing guidance for the rational development of clinically relevant devices. Full article
Show Figures

Figure 1

5 pages, 795 KB  
Proceeding Paper
Development of a Nano- and Microfiber Mesh-Based Biosensor for the Rapid Quantification of Human C-Reactive Protein (CRP)
by Alexander Lloyd, Willem Perold and Pieter Fourie
Eng. Proc. 2025, 109(1), 15; https://doi.org/10.3390/engproc2025109015 - 19 Sep 2025
Viewed by 564
Abstract
Recent investigations into C-reactive protein (CRP) dynamics have shown that by evaluating the change in CRP level in a patient over time, it is possible to distinguish between bacterial and viral infections more accurately thereby guiding antimicrobial prescription practices. Consequently, a biosensor targeted [...] Read more.
Recent investigations into C-reactive protein (CRP) dynamics have shown that by evaluating the change in CRP level in a patient over time, it is possible to distinguish between bacterial and viral infections more accurately thereby guiding antimicrobial prescription practices. Consequently, a biosensor targeted towards CRP was developed using a nano- and microfiber mesh-based transducer. The produced transducers were functionalized with streptavidin, after which a biorecognition element, anti-CRP antibodies, could be bound to the sensor. Confirmation of the sensor production phases was obtained using fluorescence microscopy. The sensors were evaluated using Electrochemical Impedance Spectroscopy (EIS) and showed increasing changes in the impedance modulus corresponding to increasing concentrations of CRP in solution following a parabolic trend line. Full article
(This article belongs to the Proceedings of Micro Manufacturing Convergence Conference)
Show Figures

Figure 1

38 pages, 14618 KB  
Review
Nanostructure-Engineered Optical and Electrochemical Biosensing Toward Food Safety Assurance
by Xinxin Wu, Zhecong Yuan, Shujie Gao, Xinai Zhang, Hany S. El-Mesery, Wenjie Lu, Xiaoli Dai and Rongjin Xu
Foods 2025, 14(17), 3021; https://doi.org/10.3390/foods14173021 - 28 Aug 2025
Cited by 7 | Viewed by 2987
Abstract
Considering the necessity of food safety testing, various biosensors have been developed based on biological elements (e.g., antibodies, aptamers), chemical elements (e.g., molecularly imprinted polymers), physical elements (e.g., nanopores) as recognition substances. According to the sensing patterns of signal transduction, the biosensors could [...] Read more.
Considering the necessity of food safety testing, various biosensors have been developed based on biological elements (e.g., antibodies, aptamers), chemical elements (e.g., molecularly imprinted polymers), physical elements (e.g., nanopores) as recognition substances. According to the sensing patterns of signal transduction, the biosensors could be classified into optical and electrochemical biosensing, including fluorescence sensing, Raman sensing, colorimetric sensing, electrochemical sensing, etc. To enhance the sensing sensitivity, kinds of nanomaterials have been applied for signal amplification. With merits of high selectivity, sensitivity, and accuracy, the sensing strategies have been widely applied for food safety testing. This review highlights their signal output behavior, (e.g., fluorescence intensity shifts, Raman peak alterations, colorimetric changes, electrochemical current/voltage/impedance variations), nanostructure-mediated amplification mechanisms, and the fundamental recognition principles. Future efforts should prioritize multiplexed assay platforms, integration with microfluidics and smart devices, novel biorecognition elements, and sustainable manufacturing. Emerging synergies between biosensors and AI-driven data analytics promise intelligent monitoring systems for predictive food safety management, addressing challenges in food matrix compatibility and real-time hazard identification. Full article
(This article belongs to the Section Food Analytical Methods)
Show Figures

Figure 1

Back to TopTop