Sign in to use this feature.

Years

Between: -

Subjects

remove_circle_outline
remove_circle_outline
remove_circle_outline
remove_circle_outline

Journals

Article Types

Countries / Regions

Search Results (23)

Search Parameters:
Keywords = beta-2 microglobulin (B2M)

Order results
Result details
Results per page
Select all
Export citation of selected articles as:
20 pages, 1713 KB  
Article
Stromal Cell-Derived Factor-1, P-Selectin, and Advanced Oxidation Protein Products with Mitochondrial Dysfunction Concurrently Impact Cerebral Vessels in Patients with Normoalbuminuric Diabetic Kidney Disease and Type 2 Diabetes Mellitus
by Ligia Petrica, Florica Gadalean, Adrian Vlad, Danina Mirela Muntean, Daliborca Vlad, Victor Dumitrascu, Flaviu Bob, Oana Milas, Anca Suteanu-Simulescu, Mihaela Glavan, Sorin Ursoniu, Lavinia Balint-Marcu, Maria Mogos-Stefan, Silvia Ienciu, Octavian Marius Cretu, Roxana Popescu, Cristina Gluhovschi, Lavinia Iancu and Dragos Catalin Jianu
Int. J. Mol. Sci. 2025, 26(10), 4481; https://doi.org/10.3390/ijms26104481 - 8 May 2025
Cited by 1 | Viewed by 1337
Abstract
Diabetic kidney disease (DKD) displays a high prevalence of cardiovascular and cerebrovascular disease. Both the kidney and the brain share common pathogenic mechanisms, such as inflammation, endothelial dysfunction, oxidative stress, and mitochondrial dysfunction. The aim of this study was to establish a potential [...] Read more.
Diabetic kidney disease (DKD) displays a high prevalence of cardiovascular and cerebrovascular disease. Both the kidney and the brain share common pathogenic mechanisms, such as inflammation, endothelial dysfunction, oxidative stress, and mitochondrial dysfunction. The aim of this study was to establish a potential association of cerebral vessel remodeling and its related functional impairment with biomarkers of inflammation, oxidative stress, and mitochondrial dysfunction in the early stages of DKD in type 2 diabetes mellitus (DM) patients. A cohort of 184 patients and 39 healthy controls was assessed concerning serum and urinary stromal cell-derived factor-1 (SDF-1), P-selectin, advanced oxidation protein products (AOPPs), urinary synaptopodin, podocalyxin, kidney injury molecule-1 (KIM-1), and N-acetyl-β-(D)-glucosaminidase (NAG). The quantification of the mitochondrial DNA copy number (mtDNA-CN) and nuclear DNA (nDNA) in urine and peripheral blood was conducted using quantitative reverse transcription polymerase chain reaction (qRT-PCR). Using TaqMan tests, the beta-2 microglobulin nuclear gene (B2M) and the cytochrome b (CYTB) gene, which encodes subunit 2 of NADH dehydrogenase (ND2), were evaluated. The MtDNA-CN is the ratio of mitochondrial DNA to nuclear DNA copies, ascertained through the examination of the CYTB/B2M and ND2/B2M ratios. The intima-media thickness (IMT) measurements of the common carotid arteries (CCAs), along with the pulsatility index (PI) and resistivity index (RI) of the internal carotid arteries (ICAs) and middle cerebral arteries (MCAs), were obtained through cerebral Doppler ultrasonography (US). Additionally, the breath-holding index (BHI) was also measured by cerebral Doppler US. PI-ICAs, PI-MCAs, CCAs-IMT, RI-MCAs, and RI-ICAs demonstrated direct relationships with SDF-1, P-selectin, AOPPs, urine mtDNA, podocalyxin, synaptopodin, NAG, and KIM-1 while showing indirect correlations with serum mtDNA and the eGFR. In contrast, the BHI had negative correlations with SDF-1, P-selectin, AOPPs, urine mtDNA, synaptopodin, podocalyxin, KIM-1, and NAG while showing direct associations with serum mtDNA and the eGFR. In conclusion, a causative association exists among SDF-1, P-selectin, and AOPPs, as well as mitochondrial dysfunction, in early diabetic kidney disease (DKD) and significant cerebrovascular alterations in patients with type 2 diabetes mellitus and normoalbuminuric DKD, with no neurological symptoms. Full article
(This article belongs to the Special Issue Cell Biology in Diabetes and Diabetic Complications)
Show Figures

Graphical abstract

17 pages, 249 KB  
Review
Prognostication of Follicular Lymphoma: A Review of Prognostic Scores and Factors
by Ádám Jóna, Evelin Kiss and Árpád Illés
Diagnostics 2025, 15(5), 647; https://doi.org/10.3390/diagnostics15050647 - 6 Mar 2025
Cited by 2 | Viewed by 3312
Abstract
Follicular lymphoma (FL) is an indolent, rarely curable B-cell malignancy with a heterogeneous clinical course. While generally treatable, FL is characterized by remissions and relapses, and its clinical presentation varies widely. Rituximab has revolutionized FL treatment, significantly improving overall survival over the past [...] Read more.
Follicular lymphoma (FL) is an indolent, rarely curable B-cell malignancy with a heterogeneous clinical course. While generally treatable, FL is characterized by remissions and relapses, and its clinical presentation varies widely. Rituximab has revolutionized FL treatment, significantly improving overall survival over the past two decades. Risk assessment typically relies on histological grade, tumor burden, and the Follicular Lymphoma International Prognostic Index, which incorporates factors like age, hemoglobin level, and Ann Arbor stage. However, these indices have limitations in fully capturing the clinical variability of FL. Some patients experience indolent disease for extended periods without requiring treatment, while others present with aggressive forms resistant to standard therapies. This review examines various prognostic factors in FL, including the FLIPI, FLIPI2, PRIMA-PI, and m7-FLIPI. The FLIPI, based on five risk factors, stratifies patients into low-, intermediate-, and high-risk groups. The FLIPI2 incorporates beta2-microglobulin and the longest diameter of the largest involved node, offering improved prognostication. The PRIMA-PI, designed for patients receiving rituximab-containing regimens, uses beta2-microglobulin, bone marrow involvement, and the longest diameter of the largest involved node. The m7-FLIPI integrates mutational status with FLIPI2 parameters, further refining risk stratification. The review also discusses clinical parameters like maximum standardized uptake value on PET/CT and lymphocyte/monocyte ratio as prognostic factors. A high SUVmax and low lymphocyte/monocyte ratio identify high-risk patients. While FL remains incurable, advances in immunochemotherapy and targeted therapies have improved outcomes. This review provides a comprehensive overview of prognostic tools in FL, emphasizing the importance of risk stratification for personalized treatment strategies. Full article
(This article belongs to the Section Clinical Diagnosis and Prognosis)
10 pages, 1787 KB  
Article
Beta-2-Microglobulin Maintains Overall Survival Prediction in Binet A Stage Chronic Lymphocytic Leukemia Patients with Compromised Kidney Function in Both Treatment Eras of Chemoimmunotherapy and Targeted Agents
by Jan-Paul Bohn, Valentina Stolzlechner, Georg Göbel, Wolfgang Willenbacher, Markus Pirklbauer, Normann Steiner and Dominik Wolf
Cancers 2024, 16(22), 3744; https://doi.org/10.3390/cancers16223744 - 6 Nov 2024
Cited by 2 | Viewed by 2532
Abstract
Background: Elevated beta-2-microglobulin (B2M) plasma levels commonly imply a higher CLL-IPI risk category for short overall survival (OS), but the risk model was not adjusted for compromised kidney function and not validated in Binet A stage CLL patients. Methods: CLL patients [...] Read more.
Background: Elevated beta-2-microglobulin (B2M) plasma levels commonly imply a higher CLL-IPI risk category for short overall survival (OS), but the risk model was not adjusted for compromised kidney function and not validated in Binet A stage CLL patients. Methods: CLL patients were identified from 2000 to 2022 at Innsbruck University Hospital, Austria. B2M levels, CLL-IPI risk stratification, and kidney function were assessed. Treatment modalities in case of disease progression and OS data during follow-up were evaluated. Results: A total of 259 Binet A stage CLL patients were identified; 16.9% (n = 44/259) presented with concurrent chronic kidney disease (CKD, GFR < 60 mL/min). Median OS was 170 months and was similar in CKD and non-CKD patients (p = 0.25). The CLL-IPI facilitated prognostic segregation in both CKD (p = 0.02) and non-CKD patients (p = 0.008). Although more frequently elevated in CKD patients (44.1% versus 10.6%, p < 0.001), B2M > 3.5 mg/L remained associated with inferior OS in this subgroup (p = 0.03). Contrary to the CLL-IPI, the prognostic value of B2M alone was also maintained in CLL patients diagnosed and potentially treated frontline in the era of targeted agents (2014–2022, p = 0.03). Conclusions: B2M retains its prognostic value for OS in early-stage CLL patients with concurrent CKD and still represents a promising covariate for up-coming prognostic models to identify patients at high risk for inferior OS in the era of targeted agents. Full article
Show Figures

Figure 1

19 pages, 1418 KB  
Article
MicroRNA Profiling as a Predictive Indicator for Time to First Treatment in Chronic Lymphocytic Leukemia: Insights from the O-CLL1 Prospective Study
by Ennio Nano, Francesco Reggiani, Adriana Agnese Amaro, Paola Monti, Monica Colombo, Nadia Bertola, Fabiana Ferrero, Franco Fais, Antonella Bruzzese, Enrica Antonia Martino, Ernesto Vigna, Noemi Puccio, Mariaelena Pistoni, Federica Torricelli, Graziella D’Arrigo, Gianluigi Greco, Giovanni Tripepi, Carlo Adornetto, Massimo Gentile, Manlio Ferrarini, Massimo Negrini, Fortunato Morabito, Antonino Neri and Giovanna Cutronaadd Show full author list remove Hide full author list
Non-Coding RNA 2024, 10(5), 46; https://doi.org/10.3390/ncrna10050046 - 23 Aug 2024
Cited by 1 | Viewed by 3274
Abstract
A “watch and wait” strategy, delaying treatment until active disease manifests, is adopted for most CLL cases; however, prognostic models incorporating biomarkers have shown to be useful to predict treatment requirement. In our prospective O-CLL1 study including 224 patients, we investigated the predictive [...] Read more.
A “watch and wait” strategy, delaying treatment until active disease manifests, is adopted for most CLL cases; however, prognostic models incorporating biomarkers have shown to be useful to predict treatment requirement. In our prospective O-CLL1 study including 224 patients, we investigated the predictive role of 513 microRNAs (miRNAs) on time to first treatment (TTFT). In the context of this study, six well-established variables (i.e., Rai stage, beta-2-microglobulin levels, IGVH mutational status, del11q, del17p, and NOTCH1 mutations) maintained significant associations with TTFT in a basic multivariable model, collectively yielding a Harrell’s C-index of 75% and explaining 45.4% of the variance in the prediction of TTFT. Concerning miRNAs, 73 out of 513 were significantly associated with TTFT in a univariable model; of these, 16 retained an independent relationship with the outcome in a multivariable analysis. For 8 of these (i.e., miR-582-3p, miR-33a-3p, miR-516a-5p, miR-99a-5p, and miR-296-3p, miR-502-5p, miR-625-5p, and miR-29c-3p), a lower expression correlated with a shorter TTFT, whereas in the remaining eight (i.e., miR-150-5p, miR-148a-3p, miR-28-5p, miR-144-5p, miR-671-5p, miR-1-3p, miR-193a-3p, and miR-124-3p), the higher expression was associated with shorter TTFT. Integrating these miRNAs into the basic model significantly enhanced predictive accuracy, raising the Harrell’s C-index to 81.1% and the explained variation in TTFT to 63.3%. Moreover, the inclusion of the miRNA scores enhanced the integrated discrimination improvement (IDI) and the net reclassification index (NRI), underscoring the potential of miRNAs to refine CLL prognostic models and providing insights for clinical decision-making. In silico analyses on the differently expressed miRNAs revealed their potential regulatory functions of several pathways, including those involved in the therapeutic responses. To add a biological context to the clinical evidence, an miRNA–mRNA correlation analysis revealed at least one significant negative correlation between 15 of the identified miRNAs and a set of 50 artificial intelligence (AI)-selected genes, previously identified by us as relevant for TTFT prediction in the same cohort of CLL patients. In conclusion, the identification of specific miRNAs as predictors of TTFT holds promise for enhancing risk stratification in CLL to predict therapeutic needs. However, further validation studies and in-depth functional analyses are required to confirm the robustness of these observations and to facilitate their translation into meaningful clinical utility. Full article
Show Figures

Figure 1

21 pages, 4114 KB  
Article
Mitochondrial DNA and Inflammation Are Associated with Cerebral Vessel Remodeling and Early Diabetic Kidney Disease in Patients with Type 2 Diabetes Mellitus
by Ligia Petrica, Florica Gadalean, Danina Mirela Muntean, Dragos Catalin Jianu, Daliborca Vlad, Victor Dumitrascu, Flaviu Bob, Oana Milas, Anca Suteanu-Simulescu, Mihaela Glavan, Sorin Ursoniu, Lavinia Balint, Maria Mogos-Stefan, Silvia Ienciu, Octavian Marius Cretu, Roxana Popescu, Cristina Gluhovschi, Lavinia Iancu and Adrian Vlad
Biomolecules 2024, 14(4), 499; https://doi.org/10.3390/biom14040499 - 19 Apr 2024
Cited by 6 | Viewed by 2864
Abstract
Cerebrovascular disease accounts for major neurologic disabilities in patients with type 2 diabetes mellitus (DM). A potential association of mitochondrial DNA (mtDNA) and inflammation with cerebral vessel remodeling in patients with type 2 DM was evaluated. A cohort of 150 patients [...] Read more.
Cerebrovascular disease accounts for major neurologic disabilities in patients with type 2 diabetes mellitus (DM). A potential association of mitochondrial DNA (mtDNA) and inflammation with cerebral vessel remodeling in patients with type 2 DM was evaluated. A cohort of 150 patients and 30 healthy controls were assessed concerning urinary albumin/creatinine ratio (UACR), synaptopodin, podocalyxin, kidney injury molecule-1 (KIM-1), N-acetyl-β-(D)-glucosaminidase (NAG), interleukins IL-17A, IL-18, IL-10, tumor necrosis factor-alpha (TNFα), intercellular adhesion molecule-1 (ICAM-1). MtDNA-CN and nuclear DNA (nDNA) were quantified in peripheral blood and urine by qRT-PCR. Cytochrome b (CYTB) gene, subunit 2 of NADH dehydrogenase (ND2), and beta 2 microglobulin nuclear gene (B2M) were assessed by TaqMan assays. mtDNA-CN was defined as the ratio of the number of mtDNA/nDNA copies, through analysis of the CYTB/B2M and ND2/B2M ratio; cerebral Doppler ultrasound: intima-media thickness (IMT)—the common carotid arteries (CCAs), the pulsatility index (PI) and resistivity index (RI)- the internal carotid arteries (ICAs) and middle cerebral arteries (MCAs), the breath-holding index (BHI). The results showed direct correlations of CCAs-IMT, PI-ICAs, PI-MCAs, RI-ICAs, RI-MCAs with urinary mtDNA, IL-17A, IL-18, TNFα, ICAM-1, UACR, synaptopodin, podocalyxin, KIM-1, NAG, and indirect correlations with serum mtDNA, IL-10. BHI correlated directly with serum IL-10, and serum mtDNA, and negatively with serum IL-17A, serum ICAM-1, and NAG. In neurologically asymptomatic patients with type 2 DM cerebrovascular remodeling and impaired cerebrovascular reactivity may be associated with mtDNA variations and inflammation from the early stages of diabetic kidney disease. Full article
Show Figures

Figure 1

10 pages, 2600 KB  
Case Report
Case Report: Long-Term Survival of a Patient with Cerebral Metastasized Ovarian Carcinoma Treated with a Personalized Peptide Vaccine and Anti-PD-1 Therapy
by Henning Zelba, Christina Kyzirakos, Simone Kayser, Borong Shao, Annekathrin Reinhardt, Natalia Pieper, Armin Rabsteyn, Dennis Döcker, Sorin Armeanu-Ebinger, Matthias Kloor, Dirk Hadaschik, Martin Schulze, Florian Battke, Alexander Golf and Saskia Biskup
Vaccines 2024, 12(4), 397; https://doi.org/10.3390/vaccines12040397 - 9 Apr 2024
Cited by 3 | Viewed by 2830
Abstract
Ovarian cancer is one of the most common cancers among women and the most lethal malignancy of all gynecological cancers. Surgery is promising in the early stages; however, most patients are first diagnosed in the advanced stages, where treatment options are limited. Here, [...] Read more.
Ovarian cancer is one of the most common cancers among women and the most lethal malignancy of all gynecological cancers. Surgery is promising in the early stages; however, most patients are first diagnosed in the advanced stages, where treatment options are limited. Here, we present a 49-year-old patient who was first diagnosed with stage III ovarian cancer. After the tumor progressed several times under guideline therapies with no more treatment options available at that time, the patient received a fully individualized neoantigen-derived peptide vaccine in the setting of an individual healing attempt. The tumor was analyzed for somatic mutations via whole exome sequencing and potential neoepitopes were vaccinated over a period of 50 months. During vaccination, the patient additionally received anti-PD-1 therapy to prevent further disease progression. Vaccine-induced T-cell responses were detected using intracellular cytokine staining. After eleven days of in vitro expansion, four T-cell activation markers (namely IFN-ɣ, TNF-α, IL-2, and CD154) were measured. The proliferation capacity of neoantigen-specific T-cells was determined using a CFSE proliferation assay. Immune monitoring revealed a very strong CD4+ T-cell response against one of the vaccinated peptides. The vaccine-induced T-cells simultaneously expressed CD154, TNF, IL-2, and IFN-ɣ and showed a strong proliferation capacity upon neoantigen stimulation. Next-generation sequencing, as well as immunohistochemical analysis, revealed a loss of Beta-2 microglobulin (B2M), which is essential for MHC class I presentation. The results presented here implicate that the application of neoantigen-derived peptide vaccines might be considered for those cancer stages, where promising therapeutic options are lacking. Furthermore, we provide more data that endorse the intensive investigation of B2M loss as a tumor escape mechanism in clinical trials using anti-cancer vaccines together with immune-checkpoint inhibitors. Full article
(This article belongs to the Section Vaccination Against Cancer and Chronic Diseases)
Show Figures

Figure 1

10 pages, 1611 KB  
Brief Report
B Cell Subsets and Immune Checkpoint Expression in Patients with Chronic Lymphocytic Leukemia
by Aviwe Ntsethe, Zekhethelo Alondwe Mkhwanazi, Phiwayinkosi Vusi Dludla and Bongani Brian Nkambule
Curr. Issues Mol. Biol. 2024, 46(3), 1731-1740; https://doi.org/10.3390/cimb46030112 - 23 Feb 2024
Cited by 1 | Viewed by 2468
Abstract
Chronic lymphocytic leukemia (CLL) is characterized by dysfunctional B cells. Immune checkpoint molecules such as cytotoxic T-lymphocyte-associated protein 4 (CTLA-4) and programmed death-1 (PD-1) are upregulated in patients with CLL and may correlate with prognostic markers such as beta-2 microglobulin (B2M). The aim [...] Read more.
Chronic lymphocytic leukemia (CLL) is characterized by dysfunctional B cells. Immune checkpoint molecules such as cytotoxic T-lymphocyte-associated protein 4 (CTLA-4) and programmed death-1 (PD-1) are upregulated in patients with CLL and may correlate with prognostic markers such as beta-2 microglobulin (B2M). The aim of this study was to evaluate the levels of immune checkpoints on B cell subsets and to further correlate them with B2M levels in patients with CLL. We recruited 21 patients with CLL and 12 controls. B cell subsets and the levels of immune checkpoint expression were determined using conventional multi-color flow cytometry. Basal levels of B2M in patients with CLL were measured using an enzyme-linked immunosorbent assay. Patients with CLL had increased levels of activated B cells when compared to the control group, p < 0.001. The expression of PD-1 and CTLA-4 were increased on activated B cells and memory B cells, p < 0.05. There were no associations between B2M levels and the measured immune checkpoints on B cell subsets, after adjusting for sex and age. In our cohort, the patients with CLL expressed elevated levels of PD-1 and CTLA-4 immune checkpoints on activated and memory B cell subsets. However, there was no correlation between these immune checkpoint expressions and B2M levels. Full article
(This article belongs to the Section Molecular Medicine)
Show Figures

Figure 1

13 pages, 736 KB  
Article
Role of Selected Circulating Tumor Biomarkers in Patients with Skeletal Metastatic Pancreatic Neuroendocrine Neoplasms
by Violetta Rosiek, Ksenia Janas, Magdalena Witkowska and Beata Kos-Kudła
J. Clin. Med. 2023, 12(14), 4687; https://doi.org/10.3390/jcm12144687 - 14 Jul 2023
Cited by 5 | Viewed by 1822
Abstract
We investigated the diagnostic capacity of selected circulating biomarkers (CBMs) for the early detection of bone metastasis (BMets) in patients with pancreatic neuroendocrine neoplasms (PanNENs). A total of 115 patients with PanNENs and 40 controls were enrolled. We measured the serum levels of [...] Read more.
We investigated the diagnostic capacity of selected circulating biomarkers (CBMs) for the early detection of bone metastasis (BMets) in patients with pancreatic neuroendocrine neoplasms (PanNENs). A total of 115 patients with PanNENs and 40 controls were enrolled. We measured the serum levels of ferritin, cytokeratin 18 (CY18), CA19-9, CA125, AFP, CEA, and beta-2 microglobulin (B2M). A total of eight PanNEN patients developed BMets, and one hundred seven remained BMets-free. We observed a significantly higher level of CA125 and CY18 in BMets patients vs. non-BMets patients (p = 0.01 and p = 0.04, respectively). CA125, CY18, and B2M area under receiver operator characteristic (AUROC) analyses differentiated both patients groups; CA125 area under the curve (AUC) 0.77, p < 0.01; CY18 AUC data were 0.72, p = 0.03, and B2M AUC 0.67, p = 0.02. On the basis of CBM metrics in both subgroups, we reached a sensitivity/specificity for CA125 of 75/76%; for CY18 of 75/69%, for B2M of 100/50%, for CA125, and the CY18 combination of 93/90%, respectively. According to current results, CA125 and CY18 seem to have the potential capacity as fair biomarkers for BMets detection, despite the small number of cases. Further studies are warranted in the larger PanNEN patient group. Full article
(This article belongs to the Special Issue Neuroendocrine Tumors: Etiology, Diagnosis, and Therapy)
Show Figures

Figure 1

11 pages, 5442 KB  
Article
Design of Beta-2 Microglobulin Adsorbent Protein Nanoparticles
by Justin E. Miller, Roger Castells-Graells, Mark A. Arbing, Aldo Munoz, Yi-Xiao Jiang, Charlize T. Espinoza, Brian Nguyen, Paul Moroz and Todd O. Yeates
Biomolecules 2023, 13(7), 1122; https://doi.org/10.3390/biom13071122 - 14 Jul 2023
Cited by 5 | Viewed by 3772
Abstract
Beta-2 microglobulin (B2M) is an immune system protein that is found on the surface of all nucleated human cells. B2M is naturally shed from cell surfaces into the plasma, followed by renal excretion. In patients with impaired renal function, B2M will accumulate in [...] Read more.
Beta-2 microglobulin (B2M) is an immune system protein that is found on the surface of all nucleated human cells. B2M is naturally shed from cell surfaces into the plasma, followed by renal excretion. In patients with impaired renal function, B2M will accumulate in organs and tissues leading to significantly reduced life expectancy and quality of life. While current hemodialysis methods have been successful in managing electrolyte as well as small and large molecule disturbances arising in chronic renal failure, they have shown only modest success in managing plasma levels of B2M and similar sized proteins, while sparing important proteins such as albumin. We describe a systematic protein design effort aimed at adding the ability to selectively remove specific, undesired waste proteins such as B2M from the plasma of chronic renal failure patients. A novel nanoparticle built using a tetrahedral protein assembly as a scaffold that presents 12 copies of a B2M-binding nanobody is described. The designed nanoparticle binds specifically to B2M through protein–protein interactions with nanomolar binding affinity (~4.2 nM). Notably, binding to the nanoparticle increases the effective size of B2M by over 50-fold, offering a potential selective avenue for separation based on size. We present data to support the potential utility of such a nanoparticle for removing B2M from plasma by either size-based filtration or by polyvalent binding to a stationary matrix under blood flow conditions. Such applications could address current shortcomings in the management of problematic mid-sized proteins in chronic renal failure patients. Full article
(This article belongs to the Section Biomacromolecules: Proteins, Nucleic Acids and Carbohydrates)
Show Figures

Figure 1

22 pages, 4684 KB  
Article
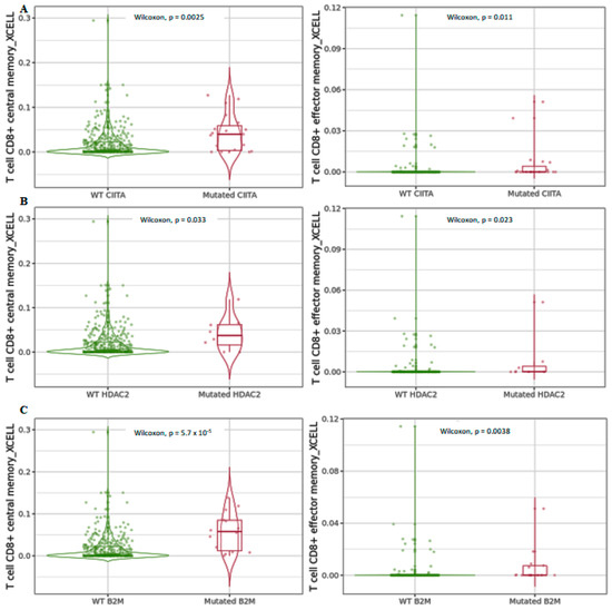
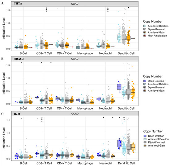
Targeting HDAC2-Mediated Immune Regulation to Overcome Therapeutic Resistance in Mutant Colorectal Cancer
by Mariarosaria Conte, Annabella Di Mauro, Lucia Capasso, Liliana Montella, Mariacarla De Simone, Angela Nebbioso and Lucia Altucci
Cancers 2023, 15(7), 1960; https://doi.org/10.3390/cancers15071960 - 24 Mar 2023
Cited by 5 | Viewed by 2393
Abstract
A large body of clinical and experimental evidence indicates that colorectal cancer is one of the most common multifactorial diseases. Although some useful prognostic biomarkers for clinical therapy have already been identified, it is still difficult to characterize a therapeutic signature that is [...] Read more.
A large body of clinical and experimental evidence indicates that colorectal cancer is one of the most common multifactorial diseases. Although some useful prognostic biomarkers for clinical therapy have already been identified, it is still difficult to characterize a therapeutic signature that is able to define the most appropriate treatment. Gene expression levels of the epigenetic regulator histone deacetylase 2 (HDAC2) are deregulated in colorectal cancer, and this deregulation is tightly associated with immune dysfunction. By interrogating bioinformatic databases, we identified patients who presented simultaneous alterations in HDAC2, class II major histocompatibility complex transactivator (CIITA), and beta-2 microglobulin (B2M) genes based on mutation levels, structural variants, and RNA expression levels. We found that B2M plays an important role in these alterations and that mutations in this gene are potentially oncogenic. The dysregulated mRNA expression levels of HDAC2 were reported in about 5% of the profiled patients, while other specific alterations were described for CIITA. By analyzing immune infiltrates, we then identified correlations among these three genes in colorectal cancer patients and differential infiltration levels of genetic variants, suggesting that HDAC2 may have an indirect immune-related role in specific subgroups of immune infiltrates. Using this approach to carry out extensive immunological signature studies could provide further clinical information that is relevant to more resistant forms of colorectal cancer. Full article
(This article belongs to the Section Cancer Therapy)
Show Figures

Figure 1

13 pages, 771 KB  
Article
Significant Tumor Regression after Neoadjuvant Chemotherapy in Gastric Cancer, but Poor Survival of the Patient? Role of MHC Class I Alterations
by Theresa Hiltner, Noémi Szörenyi, Meike Kohlruss, Alexander Hapfelmeier, Anna-Lina Herz, Julia Slotta-Huspenina, Moritz Jesinghaus, Alexander Novotny, Sebastian Lange, Katja Ott, Wilko Weichert and Gisela Keller
Cancers 2023, 15(3), 771; https://doi.org/10.3390/cancers15030771 - 26 Jan 2023
Cited by 2 | Viewed by 2589
Abstract
We aimed to determine the clinical and prognostic relevance of allelic imbalance (AI) of the major histocompatibility complex (MHC) class I genes, encompassing the human leukocyte antigen (HLA) class I and beta-2 microglobulin (B2M) genes, in the context of neoadjuvant platinum/fluoropyrimidine chemotherapy (CTx). [...] Read more.
We aimed to determine the clinical and prognostic relevance of allelic imbalance (AI) of the major histocompatibility complex (MHC) class I genes, encompassing the human leukocyte antigen (HLA) class I and beta-2 microglobulin (B2M) genes, in the context of neoadjuvant platinum/fluoropyrimidine chemotherapy (CTx). Biopsies before CTx were studied in 158 patients with adenocarcinoma of the stomach or gastroesophageal junction. The response was histopathologically evaluated. AI was detected by multiplex PCRs analysis of four or five microsatellite markers in HLA and B2M regions, respectively. AI with no marker was significantly associated with response or survival. However, subgroup analysis revealed differences. AI at marker D6S265, close to the HLA-A gene, was associated with an obvious increased risk in responding (HR, 3.62; 95% CI, 0.96–13.68, p = 0.058) but not in non-responding patients (HR, 0.92; 95% CI, 0.51–1.65, p = 0.773). Markers D6S273 and D6S2872 showed similar results. The interaction between AI at D6S265 and response to CTx was significant in a multivariable analysis (p = 0.010). No associations were observed for B2M markers. Our results underline the importance of intact neoantigen presentation specifically for responding patients and may help explain an unexpectedly poor survival of a patient despite significant tumor regression after neoadjuvant platinum/fluoropyrimidine CTx. Full article
Show Figures

Figure 1

20 pages, 1832 KB  
Review
Response to Immune Checkpoint Inhibitors Is Affected by Deregulations in the Antigen Presentation Machinery: A Systematic Review and Meta-Analysis
by Maria Rasmussen, Jon Ambæk Durhuus, Mef Nilbert, Ove Andersen and Christina Therkildsen
J. Clin. Med. 2023, 12(1), 329; https://doi.org/10.3390/jcm12010329 - 31 Dec 2022
Cited by 8 | Viewed by 4633
Abstract
Immune checkpoint inhibitors (ICI) targeting programmed death 1 (PD-1), its ligand (PD-L1), or cytotoxic T-lymphocyte antigen 4 (CTLA-4) have shown promising results against multiple cancers, where they reactivate exhausted T cells primed to eliminate tumor cells. ICI therapies have been particularly successful in [...] Read more.
Immune checkpoint inhibitors (ICI) targeting programmed death 1 (PD-1), its ligand (PD-L1), or cytotoxic T-lymphocyte antigen 4 (CTLA-4) have shown promising results against multiple cancers, where they reactivate exhausted T cells primed to eliminate tumor cells. ICI therapies have been particularly successful in hypermutated cancers infiltrated with lymphocytes. However, resistance may appear in tumors evading the immune system through alternative mechanisms than the PD-1/PD-L1 or CTLA-4 pathways. A systematic pan-cancer literature search was conducted to examine the association between alternative immune evasion mechanisms via the antigen presentation machinery (APM) and resistance towards ICI treatments targeting PD-1 (pembrolizumab and nivolumab), PD-L1 (durvalumab, avelumab, and atezolizumab), and CTLA-4 (ipilimumab). The APM proteins included the human leucocyte antigen (HLA) class I, its subunit beta-2 microglobulin (B2M), the transporter associated with antigen processing (TAP) 1, TAP2, and the NOD-like receptor family CARD domain containing 5 (NLRC5). In total, 18 cohort studies (including 21 original study cohorts) containing 966 eligible patients and 9 case studies including 12 patients were reviewed. Defects in the APM significantly predicted poor clinical benefit with an odds ratio (OR) of 0.39 (95% CI 0.24–0.63, p < 0.001). The effect was non-significant, when considering complete and partial responses only (OR = 0.52, 95% CI 0.18–1.47, p = 0.216). In summary, the APM contains important targets for tumorigenic alterations which may explain insensitivity towards ICI therapy. Full article
Show Figures

Graphical abstract

17 pages, 3079 KB  
Article
A Novel Tongue Squamous Cell Carcinoma Cell Line Escapes from Immune Recognition due to Genetic Alterations in HLA Class I Complex
by Xiaofeng Zheng, Yanan Sun, Yiwei Li, Jiyuan Ma, Yinan Lv, Yaying Hu, Yi Zhou and Jiali Zhang
Cells 2023, 12(1), 35; https://doi.org/10.3390/cells12010035 - 22 Dec 2022
Cited by 6 | Viewed by 3140
Abstract
Immune checkpoint inhibitors (ICI) have made progress in the field of anticancer treatment, but a certain number of PD-L1 negative OSCC patients still have limited benefits from ICI immuno-therapy because of primary immune evasion due to immunodeficiency. However, in existing human OSCC cell [...] Read more.
Immune checkpoint inhibitors (ICI) have made progress in the field of anticancer treatment, but a certain number of PD-L1 negative OSCC patients still have limited benefits from ICI immuno-therapy because of primary immune evasion due to immunodeficiency. However, in existing human OSCC cell lines, cell models that can be used to study immunodeficiency have not been reported. The objective of this study was to establish a PD-L1 negative OSCC cell line, profile whether the presence of mutated genes is associated with immune deficiency, and explore its influence on the immune recognition of CD8+ T cells in vitro. Here, we established a novel tongue SCC cell line (WU-TSC-1), which escapes from immune recognition by antigen presentation defects. This cell line was from a female patient who lacked typical causative factors. The expression of PD-L1 was negative in the WU-TSC-1 primary tumor, transplanted tumor, cultured cells and lipopolysaccharide stimulation. Whole exome sequencing (WES) revealed that WU-TSC-1 harbored missense mutations, loss of copy number and structural variations in human leukocyte antigen (HLA) class I/II genes. The tumor mutation burden (TMB) score was high at 292.28. In addition, loss of heterozygosity at beta-2-microglobulin (B2M)—a component of all HLA class I complex allotypes—was detected. Compared with the commonly used OSCC cell lines, genetic alterations in HLA class I and B2M impeded the proteins’ translation and inhibited the activation and killing effect of CD8+ T cells. In all, the WU-TSC-1 cell line is characterized by genetic variations and functional defects of the HLA class I complex, leading to escape from recognition by CD8+ T cells. Full article
Show Figures

Figure 1

19 pages, 3677 KB  
Article
Ameliorative Impacts of Wheat Germ Oil against Ethanol-Induced Hepatic and Renal Dysfunction in Rats: Involvement of Anti-Inflammatory, Anti-Apoptotic, and Antioxidant Signaling Pathways
by Salwa A. Elgendy, Samar H. Baloza, Lina Abdelhady Mohammed, Hend Elsayed Nasr, Noha Osama El-Shaer, Heba I. Ghamry, Saed A. Althobaiti, Mustafa Shukry, Mohamed Mohamed Soliman and Heba A. Elnoury
Life 2022, 12(10), 1671; https://doi.org/10.3390/life12101671 - 21 Oct 2022
Cited by 6 | Viewed by 3899
Abstract
Wheat germ oil (WGO) is a well-known product with anti-inflammatory and antioxidant properties. The current study aimed to investigate the impacts of WGO against ethanol-induced liver and kidney dysfunction at the serum, anti-inflammatory, antioxidants and anti-apoptotic signaling pathways. Rats received saline orally as [...] Read more.
Wheat germ oil (WGO) is a well-known product with anti-inflammatory and antioxidant properties. The current study aimed to investigate the impacts of WGO against ethanol-induced liver and kidney dysfunction at the serum, anti-inflammatory, antioxidants and anti-apoptotic signaling pathways. Rats received saline orally as a negative control or WGO in a dose of 1.5 mL/kg (1400 mg/kg body weight orally) for 15 days. The affected group received ethanol 50% v/v 10 mL/kg (5 g/kg) body weight orally once a day for consecutive 15 days to induce hepatorenal injuries in ethanolic non-treated group. The protective group received WGO daily 1 h before ethanol administration. Serum (1.5 mL) from blood was extracted and examined for the changes in biochemical assessments in serum alkaline phosphatase (ALP), alanine aminotransferase (ALT), bilirubin, serum γ-glutamyl transpeptidase (GGT), total protein, serum albumin, butyrylcholinesterase (BChE), total cholesterol (TC), total triglyceride (TG), urea, creatinine, uric acid, potassium (K+), Beta-2 microglobulin (β2M), malondialdehyde (MDA), catalase (CAT), reduced glutathione (GSH), superoxide dismutase (SOD) and aspartate aminotransferase (AST). Kidney and liver homogenate was used to measure MDA, GSH and catalase activities. Quantitative real time PCR (qRT-PCR) was used to express Nrf2 and HO-1 in liver, and NF-kB and kidney injury molecule (KIM-1) in kidneys, which are correlated with oxidative stress and inflammation. Capase-3 and Bcl2 genes were examined using immunohistochemical analysis in the kidney and liver. Ethanol administration induced significant alteration in examined liver and kidney markers (AST, ALT, GGT, ALP, total proteins, urea, creatinine and uric acid). Moreover, alcohol administration decreased antioxidant activities at serum and hepatorenal tissues (GSH, catalase and SOD), while MDA was increased as a tissue degradation marker. Inflammatory cytokines, together with genes of oxidative stress markers (Nrf2 and HO-1), were all affected. At cellular levels, apoptotic marker caspase-3 was upregulated, while antiapoptotic marker B-cell lymphoma 2 (Bcl2), was down regulated using immunohistochemical analysis. Of interest, pretreatment with WGO improved the side effects induced by ethanol on hepatic, renal biomarkers and reversed its impact on serum and tissue antioxidant parameters. Nrf2/HO-1 were upregulated, while NFk-B and KIM-1 were downregulated using real time PCR. Immune reactivities of caspase-3 and Bcl2 genes were restored in the protective group. In conclusion, WGO ameliorated ethanol-induced hepatic and renal dysfunction at the biochemical, molecular and cellular levels by regulating some mechanisms that controls oxidative stress, apoptosis, inflammation and anti-apoptotic pathways. Full article
(This article belongs to the Topic Oxidative Stress and Inflammation)
Show Figures

Figure 1

12 pages, 953 KB  
Article
Validating Reference Gene Expression Stability in Human Ovarian Follicles, Oocytes, Cumulus Cells, Ovarian Medulla, and Ovarian Cortex Tissue
by Jesús Cadenas, Susanne Elisabeth Pors, Dmitry Nikiforov, Mengxue Zheng, Cristina Subiran, Jane Alrø Bøtkjær, Linn Salto Mamsen, Stine Gry Kristensen and Claus Yding Andersen
Int. J. Mol. Sci. 2022, 23(2), 886; https://doi.org/10.3390/ijms23020886 - 14 Jan 2022
Cited by 22 | Viewed by 3521
Abstract
Human ovarian cells are phenotypically very different and are often only available in limited amounts. Despite the fact that reference gene (RG) expression stability has been validated in oocytes and other ovarian cells from several animal species, the suitability of a single universal [...] Read more.
Human ovarian cells are phenotypically very different and are often only available in limited amounts. Despite the fact that reference gene (RG) expression stability has been validated in oocytes and other ovarian cells from several animal species, the suitability of a single universal RG in the different human ovarian cells and tissues has not been determined. The present study aimed to validate the expression stability of five of the most used RGs in human oocytes, cumulus cells, preantral follicles, ovarian medulla, and ovarian cortex tissue. The selected genes were glyceraldehyde 3-phosphate dehydrogenase (GAPDH), beta-2-microglobulin (B2M), large ribosomal protein P0 (RPLP0), beta-actin (ACTB), and peptidylprolyl isomerase A (PPIA). Overall, the stability of all RGs differed among ovarian cell types and tissues. NormFinder identified ACTB as the best RG for oocytes and cumulus cells, and B2M for medulla tissue and isolated follicles. The combination of two RGs only marginally increased the stability, indicating that using a single validated RG would be sufficient when the available testing material is limited. For the ovarian cortex, depending on culture conditions, GAPDH or ACTB were found to be the most stable genes. Our results highlight the importance of assessing RGs for each cell type or tissue when performing RT-qPCR analysis. Full article
(This article belongs to the Special Issue Molecular Regulation in Female Reproduction)
Show Figures

Figure 1

Back to TopTop