Targeting HDAC2-Mediated Immune Regulation to Overcome Therapeutic Resistance in Mutant Colorectal Cancer
Abstract
Simple Summary
Abstract
1. Introduction
2. Materials and Methods
2.1. Systematic Analysis of HDAC2-, CIITA-, and BM2-Dependent Immune Infiltrates across CRC Samples
2.2. HDAC2 and CIITA Correlation by DepMap/CCLE
2.3. Investigation of CRC Immune-Related Genes
2.4. Gene Ontology Enrichment
2.5. Tissue Microarray Construction
2.6. Immunohistochemistry Analysis
2.7. Statistical Analysis
2.7.1. Immune Infiltrate Analysis
2.7.2. Genomic Profile Analysis
2.7.3. Gene Ontology Enrichment Analysis
2.7.4. Tissue Microarray Analysis
3. Results
3.1. Indirect Effect of HDAC2 on Tumor Microenvironment
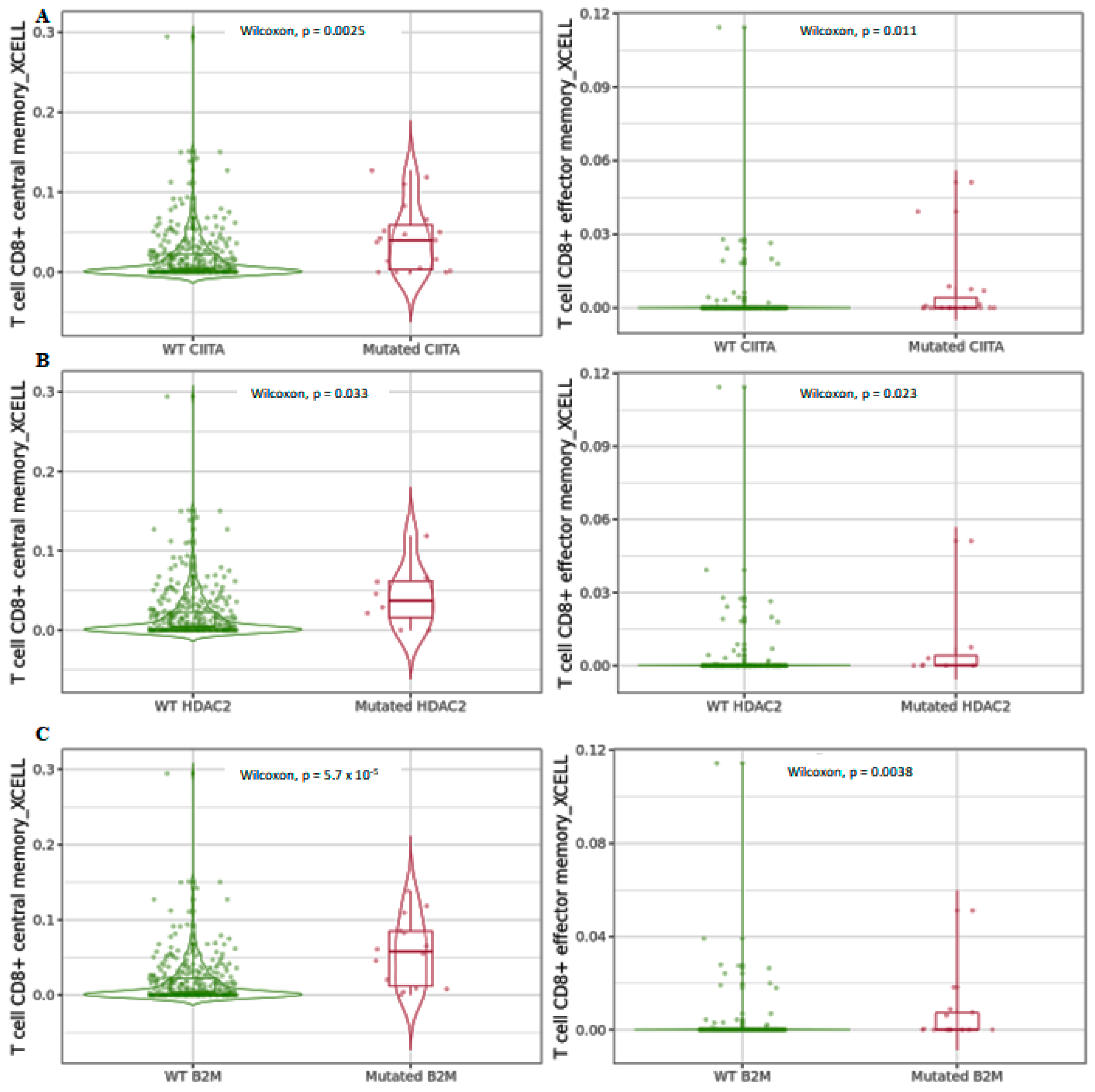
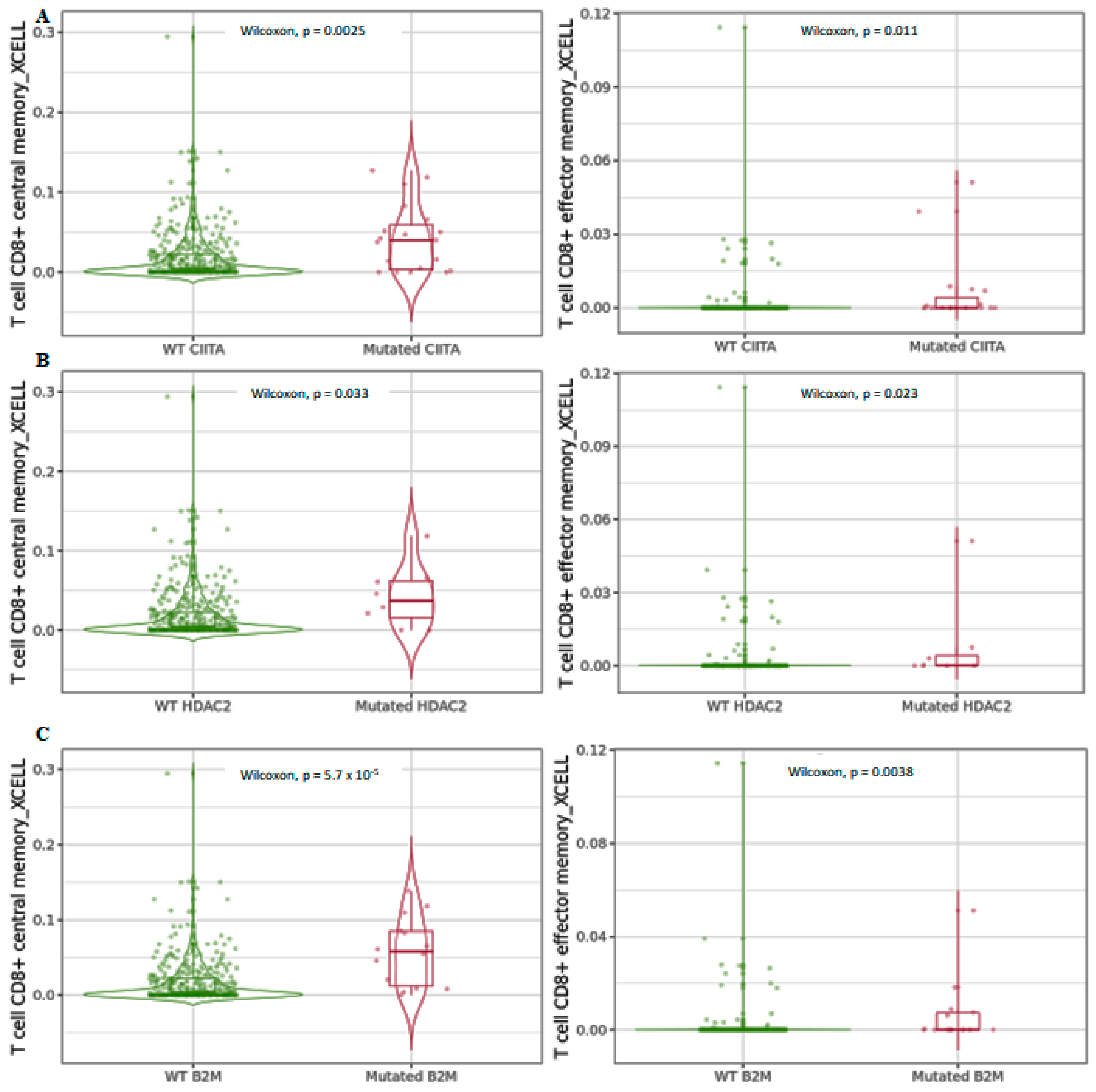
3.2. Mutated HDAC2 Is Crucial for Immune Infiltration Levels in CRC
3.3. Evaluation of Distinct Patient Subgroups Associated with HDAC2, CIITA, and BM2 Deregulation in CRC
3.4. Expression Levels of HDAC2 in Tissue Microarray of CRC Patients
3.5. HDAC2 Is a Potential Player in CRC Immune Regulation
4. Discussion
5. Conclusions
Supplementary Materials
Author Contributions
Funding
Institutional Review Board Statement
Informed Consent Statement
Data Availability Statement
Conflicts of Interest
References
- Yamagishi, H.; Kuroda, H.; Imai, Y.; Hiraishi, H. Molecular Pathogenesis of Sporadic Colorectal Cancers. Chin. J. Cancer 2016, 35, 4. [Google Scholar] [CrossRef]
- Althumairi, A.A.; Gearhart, S.L. Local Excision for Early Rectal Cancer: Transanal Endoscopic Microsurgery and Beyond. J. Gastrointest. Oncol. 2015, 6, 296. [Google Scholar] [CrossRef] [PubMed]
- Meng, G.; Yang, S.; Chen, F. Survival for Patients with Metastatic Colon Cancer Underwent Cytoreductive Colectomy in the Era of Rapid Development of Anticancer Drugs: A Real-World Analysis Based on Updated Population Dataset of 2004–2018. Front. Pharmacol. 2022, 13, 4462. [Google Scholar] [CrossRef] [PubMed]
- Nikolouzakis, T.K.; Vassilopoulou, L.; Fragkiadaki, P.; Sapsakos, T.M.; Papadakis, G.Z.; Spandidos, D.A.; Tsatsakis, A.M.; Tsiaoussis, J. Improving Diagnosis, Prognosis and Prediction by Using Biomarkers in CRC Patients (Review). Oncol. Rep. 2018, 39, 2455–2472. [Google Scholar] [CrossRef]
- Hardingham, J.E.; Grover, P.; Winter, M.; Hewett, P.J.; Price, T.J.; Thierry, B. Detection and Clinical Significance of Circulating Tumor Cells in Colorectal Cancer—20 Years of Progress. Mol. Med. 2015, 21, S25. [Google Scholar] [CrossRef] [PubMed]
- Galoș, D.; Gorzo, A.; Balacescu, O.; Sur, D. Clinical Applications of Liquid Biopsy in Colorectal Cancer Screening: Current Challenges and Future Perspectives. Cells 2022, 11, 3493. [Google Scholar] [CrossRef] [PubMed]
- Nojadeh, J.N.; Sharif, S.B.; Sakhinia, E. Microsatellite Instability in Colorectal Cancer. EXCLI J. 2018, 17, 159–168. [Google Scholar] [CrossRef]
- Evrard, C.; Tachon, G.; Randrian, V.; Karayan-Tapon, L.; Tougeron, D. Microsatellite Instability: Diagnosis, Heterogeneity, Discordance, and Clinical Impact in Colorectal Cancer. Cancers 2019, 11, 1567. [Google Scholar] [CrossRef]
- Poynter, J.N.; Siegmund, K.D.; Weisenberger, D.J.; Long, T.I.; Thibodeau, S.N.; Lindor, N.; Young, J.; Jenkins, M.A.; Hopper, J.L.; Baron, J.A.; et al. Molecular Characterization of MSI-H Colorectal Cancer by MLHI Promoter Methylation, Immunohistochemistry, and Mismatch Repair Germline Mutation Screening. Cancer Epidemiol. Biomark. Prev. 2008, 17, 3208–3215. [Google Scholar] [CrossRef]
- Kloor, M.; Michel, S.; Buckowitz, B.; Rüschoff, J.; Büttner, R.; Holinski-Feder, E.; Dippold, W.; Wagner, R.; Tariverdian, M.; Benner, A.; et al. Beta2-Microglobulin Mutations in Microsatellite Unstable Colorectal Tumors. Int. J. Cancer 2007, 121, 454–458. [Google Scholar] [CrossRef]
- di Bartolomeo, M.; Morano, F.; Raimondi, A.; Miceli, R.; Corallo, S.; Tamborini, E.; Perrone, F.; Antista, M.; Niger, M.; Pellegrinelli, A.; et al. Prognostic and Predictive Value of Microsatellite Instability, Inflammatory Reaction and PD-L1 in Gastric Cancer Patients Treated with Either Adjuvant 5-FU/LV or Sequential FOLFIRI Followed by Cisplatin and Docetaxel: A Translational Analysis from the ITACA-S Trial. Oncologist 2019, 25, e460–e468. [Google Scholar] [CrossRef]
- Cherri, S.; Oneda, E.; Noventa, S.; Melocchi, L.; Zaniboni, A. Microsatellite Instability and Chemosensitivity in Solid Tumours. Ther. Adv. Med. Oncol. 2022, 14, 17588359221099347. [Google Scholar] [CrossRef]
- Guinney, J.; Dienstmann, R.; Wang, X.; de Reyniès, A.; Schlicker, A.; Soneson, C.; Marisa, L.; Roepman, P.; Nyamundanda, G.; Angelino, P.; et al. The Consensus Molecular Subtypes of Colorectal Cancer. Nat. Med. 2015, 21, 1350–1356. [Google Scholar] [CrossRef]
- Herceg, Z.; Hainaut, P. Genetic and Epigenetic Alterations as Biomarkers for Cancer Detection, Diagnosis and Prognosis. Mol. Oncol. 2007, 1, 26. [Google Scholar] [CrossRef] [PubMed]
- Mariadason, J.M. Making Sense of HDAC2 Mutations in Colon Cancer. Gastroenterology 2008, 135, 1457–1459. [Google Scholar] [CrossRef] [PubMed]
- Ropero, S.; Fraga, M.F.; Ballestar, E.; Hamelin, R.; Yamamoto, H.; Boix-Chornet, M.; Caballero, R.; Alaminos, M.; Setien, F.; Paz, M.F.; et al. A Truncating Mutation of HDAC2 in Human Cancers Confers Resistance to Histone Deacetylase Inhibition. Nat. Genet. 2006, 38, 566–569. [Google Scholar] [CrossRef] [PubMed]
- Ashktorab, H.; Belgrave, K.; Hosseinkhah, F.; Brim, H.; Nouraie, M.; Takkikto, M.; Smoot, D. Global Histone H4 Acetylation and HDAC2 Expression in Colon Adenoma and Carcino-Ma. Dig. Dis. Sci. 2009, 54, 2109–2117. [Google Scholar] [CrossRef] [PubMed]
- Ravillah, D.; Mohammed, A.; Qian, L.; Brewer, M.; Zhang, Y.; Biddick, L.; Steele, V.E.; Rao, C.V. Chemopreventive Effects of an HDAC2-Selective Inhibitor on Rat Colon Carcinogenesis and APCmin/+ Mouse Intestinal Tumorigenesis. J. Pharmacol. Exp. Ther. 2014, 348, 59–68. [Google Scholar] [CrossRef] [PubMed]
- Jenkins, L.J.; Luk, I.Y.; Fairlie, W.D.; Lee, E.F.; Palmieri, M.; Schoffer, K.L.; Tan, T.; Ng, I.; Vukelic, N.; Tran, S.; et al. Genotype-Tailored ERK/MAPK Pathway and HDAC Inhibition Rewires the Apoptotic Rheostat to Trigger Colorectal Cancer Cell Death. Mol. Cancer Ther. 2022, 22, 52–62. [Google Scholar] [CrossRef]
- Bamberg, L.V.; Heigwer, F.; Wandmacher, A.M.; Singh, A.; Betge, J.; Rindtorff, N.; Werner, J.; Josten, J.; Skabkina, O.V.; Hinsenkamp, I.; et al. Targeting Euchromatic Histone Lysine Methyltransferases Sensitizes Colorectal Cancer to Histone Deacetylase Inhibitors. Int. J. Cancer 2022, 151, 1586–1601. [Google Scholar] [CrossRef]
- Bálintová, L.; Matúšková, M.; Gábelová, A. The Evaluation of the Efficacy and Potential Genotoxic Hazard of Combined SAHA and 5-FU Treatment in the Chemoresistant Colorectal Cancer Cell Lines. Mutat. Res. Genet. Toxicol. Environ. Mutagen. 2022, 874–875, 503445. [Google Scholar] [CrossRef]
- Conte, M.; Dell’Aversana, C.; Benedetti, R.; Petraglia, F.; Carissimo, A.; Petrizzi, V.B.; D’Arco, A.M.; Abbondanza, C.; Nebbioso, A.; Altucci, L. HDAC2 Deregulation in Tumorigenesis Is Causally Connected to Repression of Immune Modulation and Defense Escape. Oncotarget 2015, 6, 886–901. [Google Scholar] [CrossRef] [PubMed]
- Conte, M.; Dell’Aversana, C.; Sgueglia, G.; Carissimo, A.; Altucci, L. HDAC2-Dependent MiRNA Signature in Acute Myeloid Leukemia. FEBS Lett. 2019, 593, 2574–2584. [Google Scholar] [CrossRef] [PubMed]
- Lin, H.; Wang, K.; Zou, K.; Wang, Y.; Que, G.X.; Yang, X.; Liao, M. Analysis of the B2M Expression in Colon Adenocarcinoma and Its Correlation with Patient Prognosis. Evid. Based Complement. Altern. Med. 2022, 2022, 1–13. [Google Scholar] [CrossRef] [PubMed]
- Tatangelo, F.; di Mauro, A.; Scognamiglio, G.; Aquino, G.; Lettiero, A.; Delrio, P.; Avallone, A.; Cantile, M.; Botti, G. Posterior HOX Genes and HOTAIR Expression in the Proximal and Distal Colon Cancer Pathogenesis. J. Transl. Med. 2018, 16, 350. [Google Scholar] [CrossRef]
- Janikovits, J.; Müller, M.; Krzykalla, J.; Körner, S.; Echterdiek, F.; Lahrmann, B.; Grabe, N.; Schneider, M.; Benner, A.; Doeberitz, M.V.K.; et al. High Numbers of PDCD1 (PD-1)-Positive T Cells and B2M Mutations in Microsatellite-Unstable Colorectal Cancer. Oncoimmunology 2018, 7, e1390640. [Google Scholar] [CrossRef] [PubMed]
- Nguyen, H.T.; Duong, H.Q. The Molecular Characteristics of Colorectal Cancer: Implications for Diagnosis and Therapy. Oncol. Lett. 2018, 16, 9. [Google Scholar] [CrossRef]
- Testa, U.; Pelosi, E.; Castelli, G. Colorectal Cancer: Genetic Abnormalities, Tumor Progression, Tumor Heterogeneity, Clonal Evolution and Tumor-Initiating Cells. Med. Sci. 2018, 6, 31. [Google Scholar] [CrossRef] [PubMed]
- Bardhan, K.; Liu, K. Epigenetics and Colorectal Cancer Pathogenesis. Cancers 2013, 5, 676–713. [Google Scholar] [CrossRef]
- Amodio, V.; Mauri, G.; Reilly, N.M.; Sartore-bianchi, A.; Siena, S.; Bardelli, A.; Germano, G. Mechanisms of Immune Escape and Resistance to Checkpoint Inhibitor Therapies in Mismatch Repair Deficient Metastatic Colorectal Cancers. Cancers 2021, 13, 2638. [Google Scholar] [CrossRef]
- Gang, W.; Wang, J.J.; Guan, R.; Yan, S.; Shi, F.; Zhang, J.Y.; Li, Z.M.; Gao, J.; Fu, X.L. Strategy to Targeting the Immune Resistance and Novel Therapy in Colorectal Cancer. Cancer Med. 2018, 7, 1578. [Google Scholar] [CrossRef] [PubMed]
- Liu, Y.T.; Sun, Z.J. Turning Cold Tumors into Hot Tumors by Improving T-Cell Infiltration. Theranostics 2021, 11, 5265–5286. [Google Scholar] [CrossRef]
- Duan, Q.; Zhang, H.; Zheng, J.; Zhang, L. Turning Cold into Hot: Firing up the Tumor Microenvironment. Trends Cancer 2020, 6, 605–618. [Google Scholar] [CrossRef]











| Co-Occurrence Genes | p-Value | Log Odds Ratio | Tendency |
|---|---|---|---|
| HDAC2 and B2M | <0.001 | 2.277 | Co-occurrence |
| B2M and CIITA | <0.001 | 2.038 | Co-occurrence |
| HDAC2 and CIITA | 0.112 | 1.046 | Co-occurrence |
| GO Cellular Component Complete | Homo Sapiens—REFLIST (20589) | Upload_1 (7435) | Expected | Over/Under | Fold Enrichment | Raw p-Value | FDR |
|---|---|---|---|---|---|---|---|
| intracellular membrane-bounded organelle (GO:0043231) | 12,154 | 4634 | 4388.99 | + | 1.06 | 6.69 × 10−7 | 1.95 × 10−4 |
| intracellular organelle (GO:0043229) | 13,254 | 5025 | 4786.22 | + | 1.05 | 6.14 × 10−7 | 2.09 × 10−4 |
| membrane-bounded organelle (GO:0043227) | 13,230 | 5003 | 4777.55 | + | 1.05 | 2.46 × 10−6 | 6.28 × 10−4 |
| organelle (GO:0043226) | 14,064 | 5314 | 5078.72 | + | 1.05 | 3.71 × 10−7 | 1.52 × 10−4 |
| intracellular anatomical structure (GO:0005622) | 14,945 | 5640 | 5396.87 | + | 1.05 | 3.77 × 10−8 | 1.92 × 10−5 |
| cytoplasm (GO:0005737) | 12,097 | 4565 | 4368.41 | + | 1.05 | 6.82 × 10−5 | 1.55 × 10−2 |
| plasma membrane signaling receptor complex (GO:0098802) | 330 | 76 | 119.17 | − | 0.64 | 2.27 × 10−5 | 4.64 × 10−2 |
| immunoglobulin complex (GO:0019814) | 188 | 5 | 67.89 | − | 0.07 | 2.57 × 10−19 | 5.25 × 10−16 |
| immunoglobulin complex, circulating (GO:0042571) | 94 | 2 | 33.94 | − | 0.06 | 1.34 × 10−10 | 9.09 × 10−8 |
| T-cell receptor complex (GO:0042101) | 149 | 3 | 53.81 | − | 0.06 | 1.94 × 10−16 | 1.98 × 10−13 |
| GO Cellular Component Complete | Homo Sapiens—REFLIST (20589) | Upload_1 (2227) | Expected | Over/Under | Fold Enrichment | Raw p-Value | FDR |
|---|---|---|---|---|---|---|---|
| MHC class I protein complex (GO:0042612) | 9 | 8 | 0.97 | + | 8.22 | 8.81 × 10−5 | 9.47 × 10−3 |
| MHC protein complex (GO:0042611) | 26 | 22 | 2.81 | + | 7.82 | 1.18 × 10−10 | 2.41 × 10−7 |
| MHC class II protein complex (GO:0042613) | 18 | 15 | 1.95 | + | 7.70 | 1.25 × 10−7 | 5.10 × 10−5 |
| MHC class I peptide loading complex (GO:0042824) | 9 | 7 | 0.97 | + | 7.19 | 4.32 × 10−4 | 3.15 × 10−2 |
| integral component of luminal side of endoplasmic reticulum membrane (GO:0071556) | 29 | 19 | 3.14 | + | 6.06 | 4.18 × 10−8 | 2.84 × 10−5 |
| luminal side of endoplasmic reticulum membrane (GO:0098553) | 29 | 19 | 3.14 | + | 6.06 | 4.18 × 10−8 | 2.13 × 10−5 |
| Golgi cis cisterna (GO:0000137) | 32 | 17 | 3.46 | + | 4.91 | 1.92 × 10−6 | 3.56 × 10−4 |
| luminal side of membrane (GO:0098576) | 36 | 19 | 3.89 | + | 4.88 | 5.19 × 10−7 | 1.33 × 10−4 |
| nucleosome (GO:0000786) | 99 | 33 | 10.71 | + | 3.08 | 3.13 × 10−7 | 1.06 × 10−4 |
| DNA packaging complex (GO:0044815) | 146 | 40 | 15.79 | + | 2.53 | 1.43 × 10−6 | 2.93 × 10−4 |
| integral component of endoplasmic reticulum membrane (GO:0030176) | 169 | 46 | 18.28 | + | 2.52 | 3.29 × 10−7 | 9.61 × 10−5 |
| intrinsic component of endoplasmic reticulum membrane (GO:0031227) | 177 | 46 | 19.15 | + | 2.40 | 1.05 × 10−6 | 2.39 × 10−4 |
| protein–DNA complex (GO:0032993) | 192 | 47 | 20.77 | + | 2.26 | 2.86 × 10−6 | 4.88 × 10−4 |
| endocytic vesicle membrane (GO:0030666) | 195 | 42 | 21.09 | + | 1.99 | 1.49 × 10−4 | 1.33 × 10−2 |
| transport vesicle (GO:0030133) | 429 | 76 | 46.40 | + | 1.64 | 1.38 × 10−4 | 1.34 × 10−2 |
| side of membrane (GO:0098552) | 711 | 113 | 76.90 | + | 1.47 | 2.01 × 10−4 | 1.71 × 10−2 |
| cell surface (GO:0009986) | 995 | 148 | 107.62 | + | 1.38 | 3.35 × 10−4 | 2.73 × 10−2 |
| organelle subcompartment (GO:0031984) | 1501 | 209 | 162.35 | + | 1.29 | 5.08 × 10−4 | 3.58 × 10−2 |
| organelle membrane (GO:0031090) | 3688 | 466 | 398.91 | + | 1.17 | 5.79 × 10−4 | 3.94 × 10−2 |
| intracellular membrane-bounded organelle (GO:0043231) | 12,154 | 1423 | 1314.63 | + | 1.08 | 8.36 × 10−6 | 1.14 × 10−3 |
| membrane-bounded organelle (GO:0043227) | 13,230 | 1537 | 1431.02 | + | 1.07 | 7.31 × 10−6 | 1.07 × 10−3 |
| intracellular organelle (GO:0043229) | 13,254 | 1534 | 1433.61 | + | 1.07 | 2.11 × 10−5 | 2.54 × 10−3 |
| organelle (GO:0043226) | 14,064 | 1622 | 1521.23 | + | 1.07 | 1.05 × 10−5 | 1.34 × 10−3 |
| intracellular anatomical structure (GO:0005622) | 14,945 | 1716 | 1616.52 | + | 1.06 | 5.31 × 10−6 | 8.35 × 10−4 |
| cellular anatomical entity (GO:0110165) | 18,802 | 2085 | 2033.71 | + | 1.03 | 1.37 × 10−4 | 1.40 × 10−2 |
| cellular component (GO:0005575) | 18,949 | 2096 | 2049.61 | + | 1.02 | 3.87 × 10−4 | 3.04 × 10−2 |
| Unclassified (UNCLASSIFIED) | 1640 | 131 | 177.39 | − | 0.74 | 3.87 × 10−4 | 2.93 × 10−2 |
| T cell receptor complex (GO:0042101) | 149 | 2 | 16.12 | − | 0.12 | 4.65 × 10−5 | 5.28 × 10−3 |
| immunoglobulin complex (GO:0019814) | 188 | 0 | 20.33 | − | <0.01 | 7.16 × 10−9 | 7.32 × 10−6 |
| immunoglobulin complex, circulating (GO:0042571) | 94 | 0 | 10.17 | − | <0.01 | 1.45 × 10−4 | 1.34 × 10−2 |
| GO Cellular Component Complete | Homo Sapiens—REFLIST (20589) | Upload_1 (3327) | Upload_1 (Expected) | Upload_1 (Over/Under) | Upload_1 (Fold Enrichment) | Upload_1 (Raw p-Value) | Upload_1 (FDR) |
|---|---|---|---|---|---|---|---|
| MHC protein complex (GO:0042611) | 26 | 22 | 4.20 | + | 5.24 | 9.31 × 10−8 | 4.76 × 10−5 |
| MHC class II protein complex (GO:0042613) | 18 | 15 | 2.91 | + | 5.16 | 1.18 × 10−5 | 2.01 × 10−3 |
| integral component of luminal side of endoplasmic reticulum membrane (GO:0071556) | 29 | 19 | 4.69 | + | 4.05 | 1.00 × 10−5 | 2.05 × 10−3 |
| luminal side of endoplasmic reticulum membrane (GO:0098553) | 29 | 19 | 4.69 | + | 4.05 | 1.00 × 10−5 | 1.86 × 10−3 |
| luminal side of membrane (GO:0098576) | 36 | 20 | 5.82 | + | 3.44 | 3.52 × 10−5 | 5.53 × 10−3 |
| ER to Golgi transport vesicle membrane (GO:0012507) | 62 | 25 | 10.02 | + | 2.50 | 2.71 × 10−4 | 3.25 × 10−2 |
| anchored component of membrane (GO:0031225) | 171 | 51 | 27.63 | + | 1.85 | 2.72 × 10−4 | 3.08 × 10−2 |
| extracellular region (GO:0005576) | 4396 | 806 | 710.35 | + | 1.13 | 2.22 × 10−4 | 2.84 × 10−2 |
| endomembrane system (GO:0012505) | 4749 | 867 | 767.40 | + | 1.13 | 1.79 × 10−4 | 2.43 × 10−2 |
| cytoplasm (GO:0005737) | 12,097 | 2100 | 1954.77 | + | 1.07 | 1.96 × 10−6 | 5.72 × 10−4 |
| organelle (GO:0043226) | 14,064 | 2434 | 2272.62 | + | 1.07 | 1.52 × 10−8 | 1.55 × 10−5 |
| intracellular membrane-bounded organelle (GO:0043231) | 12,154 | 2102 | 1963.98 | + | 1.07 | 5.81 × 10−6 | 1.32 × 10−3 |
| intracellular organelle (GO:0043229) | 13,254 | 2292 | 2141.73 | + | 1.07 | 3.48 × 10−7 | 1.19 × 10−4 |
| membrane-bounded organelle (GO:0043227) | 13,230 | 2272 | 2137.85 | + | 1.06 | 5.62 × 10−6 | 1.43 × 10−3 |
| intracellular anatomical structure (GO:0005622) | 14,945 | 2555 | 2414.98 | + | 1.06 | 2.94 × 10−7 | 1.20 × 10−4 |
| cellular component (GO:0005575) | 18,949 | 3121 | 3061.99 | + | 1.02 | 3.07 × 10−4 | 3.30 × 10−2 |
| unclassified (UNCLASSIFIED) | 1640 | 206 | 265.01 | − | 0.78 | 3.07 × 10−4 | 3.13 × 10−2 |
| immunoglobulin complex (GO:0019814) | 188 | 4 | 30.38 | − | 0.13 | 2.35 × 10−8 | 1.60 × 10−5 |
| immunoglobulin complex, circulating (GO:0042571) | 94 | 2 | 15.19 | − | 0.13 | 1.53 × 10−4 | 2.24 × 10−2 |
| T-cell receptor complex (GO:0042101) | 149 | 1 | 24.08 | − | 0.04 | 7.76 × 10−9 | 1.59 × 10−5 |
| GO Cellular Component Complete | Homo Sapiens—REFLIST (20589) | Upload_1 (1614) | Expected | Over/Under | Fold Enrichment | Raw p-Value | FDR |
|---|---|---|---|---|---|---|---|
| MHC protein complex (GO:0042611) | 26 | 21 | 2.04 | + | 10.30 | 2.17 × 10−12 | 4.44 × 10−9 |
| MHC class II protein complex (GO:0042613) | 18 | 14 | 1.41 | + | 9.92 | 1.47 × 10−8 | 6.02 × 10−6 |
| MHC class I protein complex (GO:0042612) | 9 | 7 | 0.71 | + | 9.92 | 6.74 × 10−5 | 7.25 × 10−3 |
| integral component of luminal side of endoplasmic reticulum membrane (GO:0071556) | 29 | 17 | 2.27 | + | 7.48 | 9.33 × 10−9 | 6.36 × 10−6 |
| luminal side of endoplasmic reticulum membrane (GO:0098553) | 29 | 17 | 2.27 | + | 7.48 | 9.33 × 10−9 | 4.77 × 10−6 |
| luminal side of membrane (GO:0098576) | 36 | 17 | 2.82 | + | 6.02 | 1.06 × 10−7 | 3.60 × 10−5 |
| nucleosome (GO:0000786) | 99 | 30 | 7.76 | + | 3.87 | 9.24 × 10−9 | 9.44 × 10−6 |
| ER to Golgi transport vesicle membrane (GO:0012507) | 62 | 17 | 4.86 | + | 3.50 | 4.28 × 10−5 | 5.14 × 10−3 |
| DNA packaging complex (GO:0044815) | 146 | 34 | 11.45 | + | 2.97 | 2.37 × 10−7 | 6.91 × 10−5 |
| integral component of endoplasmic reticulum membrane (GO:0030176) | 169 | 36 | 13.25 | + | 2.72 | 8.57 × 10−7 | 1.95 × 10−4 |
| intrinsic component of endoplasmic reticulum membrane (GO:0031227) | 177 | 36 | 13.88 | + | 2.59 | 1.83 × 10−6 | 3.75 × 10−4 |
| protein–DNA complex (GO:0032993) | 192 | 39 | 15.05 | + | 2.59 | 6.97 × 10−7 | 1.78 × 10−4 |
| endocytic vesicle membrane (GO:0030666) | 195 | 33 | 15.29 | + | 2.16 | 1.52 × 10−4 | 1.47 × 10−2 |
| early endosome membrane (GO:0031901) | 185 | 31 | 14.50 | + | 2.14 | 2.90 × 10−4 | 2.58 × 10−2 |
| endosome membrane (GO:0010008) | 544 | 68 | 42.64 | + | 1.59 | 4.79 × 10−4 | 3.91 × 10−2 |
| lytic vacuole (GO:0000323) | 749 | 88 | 58.72 | + | 1.50 | 5.09 × 10−4 | 4.00 × 10−2 |
| lysosome (GO:0005764) | 749 | 88 | 58.72 | + | 1.50 | 5.09 × 10−4 | 3.85 × 10−2 |
| vacuole (GO:0005773) | 845 | 97 | 66.24 | + | 1.46 | 5.10 × 10−4 | 3.72 × 10−2 |
| chromatin (GO:0000785) | 1278 | 146 | 100.18 | + | 1.46 | 1.83 × 10−5 | 2.88 × 10−3 |
| chromosome (GO:0005694) | 1852 | 191 | 145.18 | + | 1.32 | 2.40 × 10−4 | 2.23 × 10−2 |
| nucleus (GO:0005634) | 7682 | 680 | 602.20 | + | 1.13 | 1.35 × 10−4 | 1.38 × 10−2 |
| intracellular membrane-bounded organelle (GO:0043231) | 12,154 | 1039 | 952.77 | + | 1.09 | 2.51 × 10−5 | 3.66 × 10−3 |
| organelle (GO:0043226) | 14,064 | 1192 | 1102.50 | + | 1.08 | 2.78 × 10−6 | 5.17 × 10−4 |
| membrane-bounded organelle (GO:0043227) | 13,230 | 1119 | 1037.12 | + | 1.08 | 3.51 × 10−5 | 4.48 × 10−3 |
| intracellular organelle (GO:0043229) | 13,254 | 1119 | 1039.00 | + | 1.08 | 5.50 × 10−5 | 6.25 × 10−3 |
| intracellular anatomical structure (GO:0005622) | 14,945 | 1248 | 1171.56 | + | 1.07 | 3.14 × 10−5 | 4.27 × 10−3 |
| T cell receptor complex (GO:0042101) | 149 | 1 | 11.68 | − | 0.09 | 3.59 × 10−4 | 3.06 × 10−2 |
| immunoglobulin complex (GO:0019814) | 188 | 1 | 14.74 | − | 0.07 | 1.57 × 10−5 | 2.68 × 10−3 |
Disclaimer/Publisher’s Note: The statements, opinions and data contained in all publications are solely those of the individual author(s) and contributor(s) and not of MDPI and/or the editor(s). MDPI and/or the editor(s) disclaim responsibility for any injury to people or property resulting from any ideas, methods, instructions or products referred to in the content. |
© 2023 by the authors. Licensee MDPI, Basel, Switzerland. This article is an open access article distributed under the terms and conditions of the Creative Commons Attribution (CC BY) license (https://creativecommons.org/licenses/by/4.0/).
Share and Cite
Conte, M.; Di Mauro, A.; Capasso, L.; Montella, L.; De Simone, M.; Nebbioso, A.; Altucci, L. Targeting HDAC2-Mediated Immune Regulation to Overcome Therapeutic Resistance in Mutant Colorectal Cancer. Cancers 2023, 15, 1960. https://doi.org/10.3390/cancers15071960
Conte M, Di Mauro A, Capasso L, Montella L, De Simone M, Nebbioso A, Altucci L. Targeting HDAC2-Mediated Immune Regulation to Overcome Therapeutic Resistance in Mutant Colorectal Cancer. Cancers. 2023; 15(7):1960. https://doi.org/10.3390/cancers15071960
Chicago/Turabian StyleConte, Mariarosaria, Annabella Di Mauro, Lucia Capasso, Liliana Montella, Mariacarla De Simone, Angela Nebbioso, and Lucia Altucci. 2023. "Targeting HDAC2-Mediated Immune Regulation to Overcome Therapeutic Resistance in Mutant Colorectal Cancer" Cancers 15, no. 7: 1960. https://doi.org/10.3390/cancers15071960
APA StyleConte, M., Di Mauro, A., Capasso, L., Montella, L., De Simone, M., Nebbioso, A., & Altucci, L. (2023). Targeting HDAC2-Mediated Immune Regulation to Overcome Therapeutic Resistance in Mutant Colorectal Cancer. Cancers, 15(7), 1960. https://doi.org/10.3390/cancers15071960

