Sign in to use this feature.

Years

Between: -

Subjects

remove_circle_outline
remove_circle_outline
remove_circle_outline
remove_circle_outline
remove_circle_outline
remove_circle_outline
remove_circle_outline
remove_circle_outline
remove_circle_outline

Journals

remove_circle_outline
remove_circle_outline
remove_circle_outline
remove_circle_outline
remove_circle_outline
remove_circle_outline
remove_circle_outline
remove_circle_outline
remove_circle_outline
remove_circle_outline
remove_circle_outline
remove_circle_outline
remove_circle_outline
remove_circle_outline

Article Types

Countries / Regions

remove_circle_outline
remove_circle_outline
remove_circle_outline
remove_circle_outline

Search Results (2,059)

Search Parameters:
Keywords = bench tests

Order results
Result details
Results per page
Select all
Export citation of selected articles as:
38 pages, 21372 KB  
Article
Machine Learning-Based Dynamic Modeling of Ball Joint Friction for Real-Time Applications
by Kai Pfitzer, Lucas Rath, Sebastian Kolmeder, Burkhard Corves and Günther Prokop
Lubricants 2025, 13(10), 436; https://doi.org/10.3390/lubricants13100436 - 1 Oct 2025
Abstract
Ball joints are components of the vehicle axle, and their friction characteristics must be considered when evaluating vibration behavior and ride comfort in driving simulator-based simulations. To model the three-dimensional friction behavior of ball joints, real-time capability and intuitive parameterization using data from [...] Read more.
Ball joints are components of the vehicle axle, and their friction characteristics must be considered when evaluating vibration behavior and ride comfort in driving simulator-based simulations. To model the three-dimensional friction behavior of ball joints, real-time capability and intuitive parameterization using data from standardized component test benches are essential. These requirements favor phenomenological modeling approaches. This paper applies a spherical, three-dimensional friction model based on the LuGre model, compares it with alternative approaches, and introduces a universal parameter estimation framework using machine learning. Furthermore, the kinematic operating ranges of ball joints are derived from vehicle measurements, and component-level measurements are conducted accordingly. The collected measurement data are used to estimate model parameters through gradient-based optimization for all considered models. The results of the model fitting are presented, and the model characteristics are discussed in the context of their suitability for online simulation in a driving simulator environment. We demonstrate that the proposed parameter estimation framework is capable of learning all the applied models. Moreover, the three-dimensional LuGre-based approach proves to be well suited for capturing the dynamic friction behavior of ball joints in real-time applications. Full article
(This article belongs to the Special Issue New Horizons in Machine Learning Applications for Tribology)
34 pages, 3009 KB  
Article
Merging Visible Light Communications and Smart Lighting: A Prototype with Integrated Dimming for Energy-Efficient Indoor Environments and Beyond
by Cătălin Beguni, Eduard Zadobrischi and Alin-Mihai Căilean
Sensors 2025, 25(19), 6046; https://doi.org/10.3390/s25196046 - 1 Oct 2025
Abstract
This article proposes an improved Visible Light Communication (VLC) solution that, besides the indoor lighting and data transfer, offers an energy-efficient alternative for modern workspaces. Unlike Light-Fidelity (LiFi), designed for high-speed data communication, VLC primarily targets applications where fast data rates are not [...] Read more.
This article proposes an improved Visible Light Communication (VLC) solution that, besides the indoor lighting and data transfer, offers an energy-efficient alternative for modern workspaces. Unlike Light-Fidelity (LiFi), designed for high-speed data communication, VLC primarily targets applications where fast data rates are not essential. The developed prototype ensures reliable communication under variable lighting conditions, addressing low-speed requirements such as test bench monitoring, occupancy detection, remote commands, logging or access control. Although the tested data rate was limited to 100 kb/s with a Bit Error Rate (BER) below 10−7, the key innovation is the light dimming dynamic adaptation. Therefore, the system self-adjusts the LED duty cycle between 10% and 90%, based on natural or artificial ambient light, to maintain a minimum illuminance of 300 lx at the workspace level. Additionally, this work includes a scalability analysis through simulations conducted in an office scenario with up to six users. The results show that the system can adjust the lighting level and maintain the connectivity according to users’ presence, significantly reducing energy consumption without compromising visual comfort or communication performance. With this light intensity regulation algorithm, the proposed solution demonstrates real potential for implementation in smart indoor environments focused on sustainability and connectivity. Full article
19 pages, 2148 KB  
Article
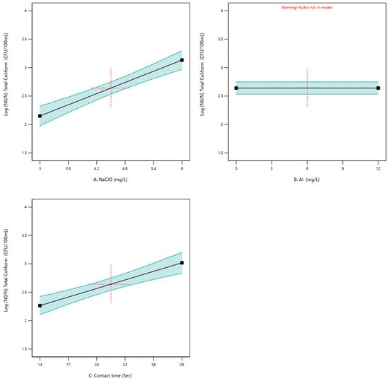
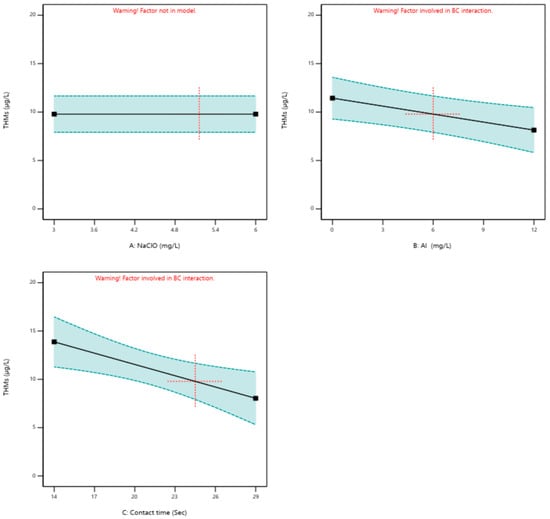
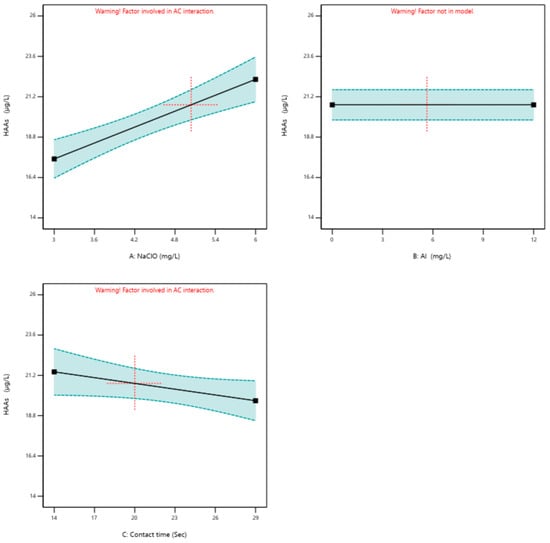
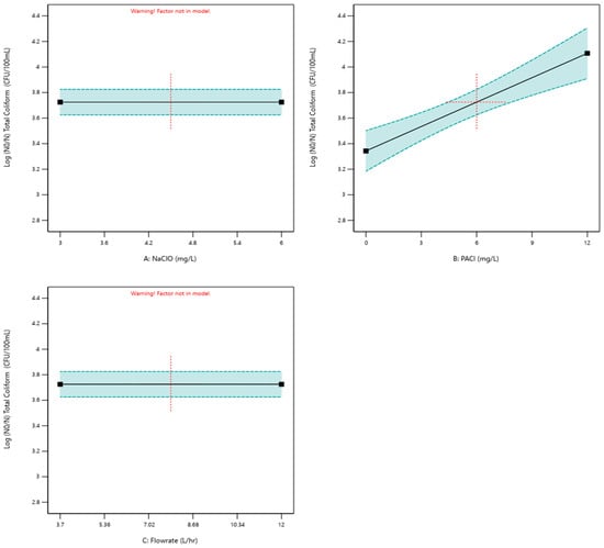
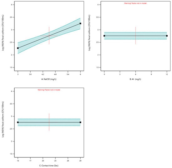
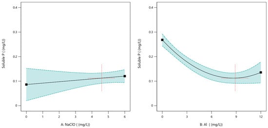
Integrated Coagulation–Disinfection Using Aluminium Polychloride and Sodium Hypochlorite for Secondary Wastewater Treatment: Operational Advantages and DBP Mitigation
by Naghmeh Fallah, Katherine Bell, Ted Mao, Ronald Hofmann, Gabriela Ellen Barreto Bossoni, Domenico Santoro and Giuseppe Mele
Water 2025, 17(19), 2867; https://doi.org/10.3390/w17192867 - 1 Oct 2025
Abstract
This study examines the potential for improved and more sustainable wastewater treatment by integrating coagulation and disinfection using polyaluminum chloride (PACl) and sodium hypochlorite (NaClO) for secondary effluent. The impacts of this integrated approach on phosphorus removal, microbial inactivation, and disinfection by-product (DBP) [...] Read more.
This study examines the potential for improved and more sustainable wastewater treatment by integrating coagulation and disinfection using polyaluminum chloride (PACl) and sodium hypochlorite (NaClO) for secondary effluent. The impacts of this integrated approach on phosphorus removal, microbial inactivation, and disinfection by-product (DBP) formation were evaluated through bench- and pilot-scale experiments under both sequential and simultaneous dosing. The results show that simultaneous dosing of PACl and NaClO achieved high phosphorus removal (>90% at 6–9 mg/L PACl), while microbial inactivation targets were met with moderate chlorine doses (3–6 mg/L). Pilot-scale tests further revealed that PACl enhanced microbial inactivation under high-intensity mixing. Importantly, the integrated process reduced DBP formation substantially, with trihalomethanes (THMs) and haloacetic acids (HAAs) lowered by up to ~50% compared to sequential treatment. By minimizing the need for separate treatment units, shortening hydraulic retention time, and lowering overall chemical consumption, this integrated coagulation–disinfection strategy provides a compact, cost-effective, and sustainable alternative to conventional wastewater treatment. Full article
Show Figures

Figure 1

18 pages, 3501 KB  
Article
Prediction of Diesel Engine Performance and Emissions Under Variations in Backpressure, Load, and Compression Ratio Using an Artificial Neural Network
by Nhlanhla Khanyi, Freddie Inambao and Riaan Stopforth
Appl. Sci. 2025, 15(19), 10588; https://doi.org/10.3390/app151910588 - 30 Sep 2025
Abstract
Excessive exhaust backpressure (EBP) in modern diesel engines disrupts gas exchange, increases residual gas fraction (RGF), and reduces combustion efficiency. Traditional experimental approaches, including simulations and bench testing, are often time-consuming and costly, which has driven growing interest in artificial neural networks (ANNs) [...] Read more.
Excessive exhaust backpressure (EBP) in modern diesel engines disrupts gas exchange, increases residual gas fraction (RGF), and reduces combustion efficiency. Traditional experimental approaches, including simulations and bench testing, are often time-consuming and costly, which has driven growing interest in artificial neural networks (ANNs) for accurately modelling complex engine behavior. This research introduces an ANN model designed to predict the impact of EBP on the performance and emissions of a diesel engine across varying compression ratio (CR) of 12, 14, 16, and 18 and engine load (25%, 50%, 75%, and 100%) conditions. The ANN model was developed and optimised using genetic algorithms (GA) and particle swarm optimisation (PSO). It was then trained using data from an experimentally validated one-dimensional computational fluid dynamics (1D-CFD) model developed through GT-Power GT-ISE v2024, simulating engine responses under variation CR, load, and EBP conditions. The optimised ANN architecture, featuring an optimal (3-14-10) configuration, was trained using the Levenberg–Marquardt back propagation algorithm. The performance of the model was assessed using statistical criteria, including the coefficient of determination (R2), root mean square error (RMSE), and k-fold cross-validation, by comparing its predictions with both experimental and simulated data. Results indicate that the optimised ANN model outperformed the baseline ANN and other machine learning (ML) models, attaining an R2 of 0.991 and an RMSE of 0.011. It reliably predicts engine performance and emissions under varying EBP conditions while offering insights for engine control, optimisation, diagnostics, and thermodynamic mechanisms. The overall prediction error ranged from 1.911% to 2.972%, confirming the model’s robustness in capturing performance and emission outcomes. Full article
(This article belongs to the Section Mechanical Engineering)
Show Figures

Figure 1

43 pages, 7808 KB  
Article
GeoJSEval: An Automated Evaluation Framework for Large Language Models on JavaScript-Based Geospatial Computation and Visualization Code Generation
by Guanyu Chen, Haoyue Jiao, Shuyang Hou, Ziqi Liu, Lutong Xie, Shaowen Wu, Huayi Wu, Xuefeng Guan and Zhipeng Gui
ISPRS Int. J. Geo-Inf. 2025, 14(10), 382; https://doi.org/10.3390/ijgi14100382 - 28 Sep 2025
Abstract
With the widespread adoption of large language models (LLMs) in code generation tasks, geospatial code generation has emerged as a critical frontier in the integration of artificial intelligence and geoscientific analysis. This growing trend underscores the urgent need for systematic evaluation methodologies to [...] Read more.
With the widespread adoption of large language models (LLMs) in code generation tasks, geospatial code generation has emerged as a critical frontier in the integration of artificial intelligence and geoscientific analysis. This growing trend underscores the urgent need for systematic evaluation methodologies to assess the generation capabilities of LLMs in geospatial contexts. In particular, geospatial computation and visualization tasks in the JavaScript environment rely heavily on the orchestration of diverse frontend libraries and ecosystems, posing elevated demands on a model’s semantic comprehension and code synthesis capabilities. To address this challenge, we propose GeoJSEval—the first multimodal, function-level automatic evaluation framework for LLMs in JavaScript-based geospatial code generation tasks. The framework comprises three core components: a standardized test suite (GeoJSEval-Bench), a code submission engine, and an evaluation module. It includes 432 function-level tasks and 2071 structured test cases, spanning five widely used JavaScript geospatial libraries that support spatial analysis and visualization functions, as well as 25 mainstream geospatial data types. GeoJSEval enables multidimensional quantitative evaluation across metrics such as accuracy, output stability, resource consumption, execution efficiency, and error type distribution. Moreover, it integrates boundary testing mechanisms to enhance robustness and evaluation coverage. We conduct a comprehensive assessment of 20 state-of-the-art LLMs using GeoJSEval, uncovering significant performance disparities and bottlenecks in spatial semantic understanding, code reliability, and function invocation accuracy. GeoJSEval offers a foundational methodology, evaluation resource, and practical toolkit for the standardized assessment and optimization of geospatial code generation models, with strong extensibility and promising applicability in real-world scenarios. This manuscript represents the peer-reviewed version of our earlier preprint previously made available on arXiv. Full article
Show Figures

Figure 1

27 pages, 3521 KB  
Article
Intelligent Real-Time Risk Evaluation and Drilling Parameter Optimization for Enhanced Safety in Deep-Well Operations
by Zhenhuan Yi, Zhenbao Li, Ming Yi, Di Wang and Panfei Cheng
Processes 2025, 13(10), 3102; https://doi.org/10.3390/pr13103102 - 28 Sep 2025
Abstract
This paper presents an integrated downhole risk prevention and control system designed to enhance safety, efficiency and sustainability in deep-well drilling operations. The system incorporates advanced measurement processing, risk evaluation, and intelligent data transmission technologies for real-time monitoring of nine key drilling parameters, [...] Read more.
This paper presents an integrated downhole risk prevention and control system designed to enhance safety, efficiency and sustainability in deep-well drilling operations. The system incorporates advanced measurement processing, risk evaluation, and intelligent data transmission technologies for real-time monitoring of nine key drilling parameters, such as downhole drilling pressure, bending moment, and torque, etc. Bench tests and field trials demonstrated the system’s reliability in accurately capturing and transmitting data under high-pressure, high-temperature conditions. For instance, it successfully monitored bottom-hole pressure up to 61.4 MPa and temperature to 120.8 °C, allowing for early detection of abnormal events such as pressure kicks and torsional stick-slip. The system was laboratory-tested to withstand bottom-hole pressures up to 61.4 MPa and temperatures of 120.8 °C. During field trials, the tool operated safely under actual downhole conditions of approximately 59.2 MPa and 115 °C, which are within its rated limits. The system also facilitated automated controlled actions, including mud weight and pump rate control, to prevent incidents. These results underscore the system’s potential to significantly improve real-time and intelligent process control, minimize operational risks, and advancing the sustainability of drilling practices. The approach marks a step forward in intelligent drilling technologies, supporting proactive decision-making in energy extraction. Future work will extend this system to ultra-deep and high-temperature wells while integrating advanced AI-based analytics for further optimization. Full article
(This article belongs to the Section Energy Systems)
Show Figures

Figure 1

29 pages, 6589 KB  
Article
Design and Experiment of the Follow-Up Seedling Picking and Depositing Mechanism for the Pepper Plug Seedling Transplanter
by Guangxin Li, Yang Xu, Changjie Han, Jia Liang, Yan Luo, Hanping Mao and Guangqiao Cao
Agriculture 2025, 15(19), 2026; https://doi.org/10.3390/agriculture15192026 - 27 Sep 2025
Abstract
To address the challenge of improving the accuracy and efficiency of automatic transplanting operations in pepper plug seedling transplanters, this study innovatively designed a follow-up seedling picking and depositing mechanism. The core innovation lies in the synchronization of the seedling picking claws with [...] Read more.
To address the challenge of improving the accuracy and efficiency of automatic transplanting operations in pepper plug seedling transplanters, this study innovatively designed a follow-up seedling picking and depositing mechanism. The core innovation lies in the synchronization of the seedling picking claws with the moving seedling cups, which was achieved by coordinating the motion speeds of the seedling picking and depositing mechanism with the seedling conveying mechanism. This synchronization ensured relative spatial stillness during seedling deposition, significantly enhancing seedling depositing accuracy. To meet the design requirements of this follow-up mechanism, this study presents a comprehensive design of the transplanter, including a three-dimensional model. Key mechanisms, namely the seedling picking and depositing mechanism and the seedling conveying mechanism, were thoroughly analyzed, with detailed explanations of their working principles. The transmission system was designed for reliability and stability, being towed by a tractor with the ground wheel driving the motion of the seedling conveying and distributing mechanisms. The motion mode of the seedling picking and depositing mechanism combined a crank–rocker mechanism and a crank–slider mechanism, utilizing a gear transmission rod for seedling picking and carrying actions, and rail guidance for follow-up seedling depositing. Experimental results validated the effectiveness of this design. In bench tests, the success rates of the seedling picking and depositing mechanism at operating speeds of 100 seedlings/min, 150 seedlings/min, and 200 seedlings/min were 97.4%, 98.44%, and 95.03%, respectively. In field tests, at operating speeds of 90 seedlings/min, 120 seedlings/min, and 150 seedlings/min, the planting success rates were 99.65%, 94.95%, and 89.18%, respectively. These results demonstrated that the follow-up seedling picking and depositing mechanism met the demands of automatic transplanting operations, offering an effective solution to enhance both the operating speed and quality of the transplanter. Full article
(This article belongs to the Section Agricultural Technology)
Show Figures

Figure 1

23 pages, 4006 KB  
Article
Advancing Sustainable Propulsion Solutions for Maritime Applications: Numerical and Experimental Assessments of a Methanol HT-PEMFC System
by Simona Di Micco, Filippo Scamardella, Marco Altosole, Ivan Arsie and Mariagiovanna Minutillo
Energies 2025, 18(19), 5119; https://doi.org/10.3390/en18195119 - 26 Sep 2025
Abstract
The interest in analyzing alternative fuels and new propulsion technologies for shipping decarbonization is growing rapidly. This paper aims to evaluate the performance of high-temperature polymeric exchange membrane fuel cells (HT-PEMFCs) fed by reformed methanol and their potential application as a propulsion system [...] Read more.
The interest in analyzing alternative fuels and new propulsion technologies for shipping decarbonization is growing rapidly. This paper aims to evaluate the performance of high-temperature polymeric exchange membrane fuel cells (HT-PEMFCs) fed by reformed methanol and their potential application as a propulsion system for vessels. The proposed system is intended to be installed on board a 10 m long ship, designed for commercial use in the marine area of Capri Island. Numerical and experimental analyses were performed to estimate the system’s performance, and a feasibility assessment was carried out to verify its real applicability on board the reference case study. From the numerical perspective, a CFD model of the ship hull, as well as a thermochemical model of the propulsion system, was developed. From the experimental point of view, the system behavior was tested by means of a dedicated test bench. The results of the numerical models allowed for the sizing of the propulsion system and the calculation of the fuel consumption. In particular, to satisfy the ship’s power demand, two 5 kW HT-PEMFCs were needed, with a total fuel consumption of 12.7 kg over a typical daily cruise, with a methanol consumption of 1.88 kg/h during cruising at 7 knots. The feasibility analysis highlighted that the propulsion system fits the vessel’s requirements, both in terms of volume and weight. Full article
Show Figures

Figure 1

16 pages, 1260 KB  
Article
Trichoderma harzianum Enzyme Production in Stirred Solid-State Bioreactors as a Strategy for Valorizing Water Hyacinth
by Nohemi López-Ramírez, Ernesto Favela-Torres, Tania Volke-Sepúlveda and Fernando Méndez-González
Waste 2025, 3(4), 30; https://doi.org/10.3390/waste3040030 - 25 Sep 2025
Abstract
Water hyacinth is an invasive weed that can valorize through the production of hydrolytic enzymes via solid-state culture. This study explores the application of Trichoderma harzianum in producing xylanases and endoglucanases on water hyacinth beds. Laboratory-scale packed-bed column bioreactors (PBCBs) with a capacity [...] Read more.
Water hyacinth is an invasive weed that can valorize through the production of hydrolytic enzymes via solid-state culture. This study explores the application of Trichoderma harzianum in producing xylanases and endoglucanases on water hyacinth beds. Laboratory-scale packed-bed column bioreactors (PBCBs) with a capacity of 8 grams of dry mass (gdm) were used to evaluate the effects of temperature (28–36 °C) and initial moisture content (65–80%) on microbial growth and enzyme production. High yields of biomass and enzymes were produced at 30 °C. Moreover, xylanase activity was enhanced in cultures with a moisture content of 65% (~71.24 U/gdm), and endoglucanase activity at 75–80% moisture (~20.13 U/gdm). The operational conditions identified for xylanase production were applied to 6 L bench-scale cross-flow internally stirred bioreactors, packed to 40% capacity with 450 gdm. Two stirring regimes were tested: intermittent and continuous. The results showed that continuous stirring promotes both microbial growth and xylanase activity. In fact, xylanase activity in continuous stirring conditions was comparable to that achieved in PBCBs. Consequently, continuous stirring enables a 56-fold increase in bioreactor capacity without compromising xylanase production. The approaches developed in this study can support the design of large-scale bioprocesses for the valorization of water hyacinth. Full article
Show Figures

Graphical abstract

21 pages, 3127 KB  
Article
Experimental Research and Parameter Optimization on Dust Emission Reduction for Peanut Pickup Combine Harvesting
by Hongbo Xu, Peng Zhang, Fengwei Gu, Feng Wu, Hongguang Yang, Zhichao Hu, Enrong Mao and Jiangtao Wang
Agriculture 2025, 15(19), 2006; https://doi.org/10.3390/agriculture15192006 - 25 Sep 2025
Abstract
In response to the dust pollution issue during the harvesting operations of peanut pickup combines, this study involved conducting bench tests to explore the variation patterns of dust emission parameters and harvesting operation indicators under diverse working parameter conditions of the combine’s working [...] Read more.
In response to the dust pollution issue during the harvesting operations of peanut pickup combines, this study involved conducting bench tests to explore the variation patterns of dust emission parameters and harvesting operation indicators under diverse working parameter conditions of the combine’s working components. A multi-factor mathematical model was established to predict both the dust emission rate of peanut pickup combines and the quality of harvesting operations. The model was utilized to identify the optimal combination of operation parameters for achieving high-quality and low-emission performance. The optimal parameter combination was determined as follows: a pod threshing roller speed of 313 r/min, a cleaning fan speed of 2535 r/min, a vine crushing roller speed of 1970 r/min, and a lifting fan speed of 1604 r/min. Under these conditions, the theoretical dust emission rate was calculated to be 10,603 mg/s, with a pod loss rate of 4.73% and a pod impurity rate of 5.21%. Compared to previous settings, the optimized operation parameters effectively reduced the combine’s dust emissions by 9.95%. Notably, the harvesting operation quality still complies with the industry standards for peanut harvesters. These research findings offer theoretical insights and robust technical support for minimizing dust pollution during the whole-feed harvesting of peanuts, contributing to more environmentally friendly and efficient peanut harvesting practices. Full article
(This article belongs to the Section Agricultural Technology)
Show Figures

Figure 1

15 pages, 1168 KB  
Article
Laboratory Validation of a Fully Automated Point-of-Care Device for High-Order Multiplexing Real-Time PCR Detection of Respiratory Pathogens
by Libby C. W. Li, Deborah M. S. Tai, Anita Yee, Nancy B. Y. Tsui, Parker Y. L. Tsang, Sunny L. H. Chu, Chui Ting Leung, Bernice K. W. Leung, Winston Wong, Firaol Tamiru Kebede, Pete Y. M. Leung, Teresa Chung, Cyril C. Y. Yip, Jonathan H. K. Chen, Rosana W. S. Poon, Kelvin K. W. To, Kwok-Yung Yuen, Manson Fok, Johnson Y. N. Lau and Lok Ting Lau
Diagnostics 2025, 15(19), 2445; https://doi.org/10.3390/diagnostics15192445 - 25 Sep 2025
Abstract
Background/Objectives: We have previously reported the engineering of a point-of-care (POC) system that fully automates the procedures for nucleic acid extraction and multiplexed real-time RT-PCR, with a major advantage of high-level multiplexing. In this study, we applied and validated the system in [...] Read more.
Background/Objectives: We have previously reported the engineering of a point-of-care (POC) system that fully automates the procedures for nucleic acid extraction and multiplexed real-time RT-PCR, with a major advantage of high-level multiplexing. In this study, we applied and validated the system in a respiratory tract infection setting. Methods: An automatic nested real-time RT-PCR assay was developed (POCm). It was a 40-plex assay that simultaneously detected 39 epidemiologically important respiratory pathogens in 1.5 h in the POC system. The analytical and clinical performance was evaluated. Results: The analytical sensitivities of the POCm assay were comparable to those of its single-plex counterparts performed manually on a bench-top. The minimum detectable concentrations ranged from 53 copies/mL to 5.3 × 103 copies/mL for all pathogen targets except hCoV-NL63 (5.3 × 104 copies/mL). The quantitative performance was demonstrated by the linear correlations between Ct values and input concentrations for all pathogen targets, with 24 of them demonstrating coefficients of correlation (r) greater than 0.9. The POCm assay was subsequently evaluated in 283 clinical samples. A high level of agreement (98.2–100%) was achieved for pathogen detection results between POCm and standard diagnostic methods. The POCm result was also fully concordant with the result of another commercial POC multiplex platform. For positive clinical samples, pairwise Ct values measured by POCm closely correlated with those of the bench-top reference method (r = 0.70). The feasibility of mutation genotyping of the viral subtype was further demonstrated. Conclusions: This study demonstrated the practicality of POCm for routine testing in clinical laboratories. Further clinical trials are being conducted to evaluate the clinical performance of the system. Full article
(This article belongs to the Section Point-of-Care Diagnostics and Devices)
Show Figures

Figure 1

23 pages, 4868 KB  
Article
Design and Experiment of Drying Equipment for Alfalfa Bales
by Jianqiang Du, Zhiwen Sun and Zeqi Chen
Agriculture 2025, 15(19), 2000; https://doi.org/10.3390/agriculture15192000 - 24 Sep 2025
Viewed by 26
Abstract
Inefficient drying of alfalfa round bales causes significant nutrient loss (up to 50%) and quality degradation due primarily to uneven drying in existing processing methods. To address this challenge requiring dedicated equipment and optimized processes, this study developed a specialized hot-air drying test [...] Read more.
Inefficient drying of alfalfa round bales causes significant nutrient loss (up to 50%) and quality degradation due primarily to uneven drying in existing processing methods. To address this challenge requiring dedicated equipment and optimized processes, this study developed a specialized hot-air drying test bench (CGT-1). A coupled heat and mass transfer model was established, and 3D dynamic simulations of temperature, humidity, and wind speed distributions within bales were performed using COMSOL multiphysics to evaluate drying inhomogeneity. Single-factor experiments and multi-factor response surface methodology (RSM) based on Box–Behnken design were employed to investigate the effects of hot air temperature (50–65 °C), wind speed (2–5 m/s), and air duct opening diameter (400–600 mm) on moisture content, drying rate, and energy consumption. Results demonstrated that larger duct diameters (600 mm) and higher wind speeds (5 m/s) significantly enhanced field uniformity. RSM optimization identified optimal parameters: temperature at 65 °C, wind speed of 5 m/s, and duct diameter of 600 mm, achieving a drying time of 119.2 min and a drying rate of 0.62 kg/(kg·min). Validation experiments confirmed the model’s accuracy. These findings provide a solid theoretical foundation and technical support for designing and optimizing alfalfa round-bale drying equipment. Future work should explore segmented drying strategies to enhance energy efficiency. Full article
(This article belongs to the Section Agricultural Technology)
Show Figures

Figure 1

24 pages, 11251 KB  
Article
Simulation and Experimental Study on Vibration Separation of Residual Film and Soil Based on EDEM
by Xinzhong Wang, Yapeng Li and Jing Bai
Agriculture 2025, 15(18), 1987; https://doi.org/10.3390/agriculture15181987 - 21 Sep 2025
Viewed by 218
Abstract
Due to the complexity of impurity removal from the residual film, there is currently no better impurity removal equipment. To improve the screening performance of the residual film mixture, the vibrating screen was designed. In this paper, the key factors A, B [...] Read more.
Due to the complexity of impurity removal from the residual film, there is currently no better impurity removal equipment. To improve the screening performance of the residual film mixture, the vibrating screen was designed. In this paper, the key factors A, B, C, and D were identified through mechanical analysis of the mixture (where they represented the screen aperture diameter, vibration amplitude, vibration frequency, and screen mesh inclination angle, respectively). The soil screen rate (Y1) and screening loss rate (Y2) were evaluated. And the optimal ranges for these factors were determined by single-factor experiments. Based on the EDEM, the discrete element model was established to simulate the interaction between residual film and soil. And the motion characteristics of the residual film mixture were analyzed within the screen body through a combination of simulation and bench tests. The vibrating screen’s structural parameters were optimized using Box-Behnken experiments. The most suitable combination of settings was as shown below: A = 6.5 mm, B = 25 mm, C = 3.8 Hz, and D = 4°. Following the optimization of these parameters, the screening performance was optimized. Results of bench tests showed that the soil screening rate was 80.33% and the screening loss rate was 19.31%. This study was expected to offer theoretical and simulation-based methods for optimizing the parameters of residual film-soil vibrating screening devices. Full article
(This article belongs to the Section Agricultural Technology)
Show Figures

Figure 1

17 pages, 1731 KB  
Article
Comparative Performance Analysis of Lightweight Cryptographic Algorithms on Resource-Constrained IoT Platforms
by Tiberius-George Sorescu, Vlad-Mihai Chiriac, Mario-Alexandru Stoica, Ciprian-Romeo Comsa, Iustin-Gabriel Soroaga and Alexandru Contac
Sensors 2025, 25(18), 5887; https://doi.org/10.3390/s25185887 - 20 Sep 2025
Viewed by 230
Abstract
The increase in Internet of Things (IoT) devices has introduced significant security challenges, primarily due to their inherent constraints in computational power, memory, and energy. This study provides a comparative performance analysis of selected modern cryptographic algorithms on a resource-constrained IoT platform, the [...] Read more.
The increase in Internet of Things (IoT) devices has introduced significant security challenges, primarily due to their inherent constraints in computational power, memory, and energy. This study provides a comparative performance analysis of selected modern cryptographic algorithms on a resource-constrained IoT platform, the Nordic Thingy:53. We evaluated a set of ciphers including the NIST lightweight standard ASCON, eSTREAM finalists Salsa20, Rabbit, Sosemanuk, HC-256, and the extended-nonce variant XChaCha20. Using a dual test-bench methodology, we measured energy consumption and performance under two distinct scenarios: a low-data-rate Bluetooth mesh network and a high-throughput bulk data transfer. The results reveal significant performance variations among the algorithms. In high-throughput tests, ciphers like XChaCha20, Salsa20, and ASCON32 demonstrated superior speed, while HC-256 proved impractically slow for large payloads. The Bluetooth mesh experiments quantified the direct relationship between network activity and power draw, underscoring the critical impact of cryptographic choice on battery life. These findings offer an empirical basis for selecting appropriate cryptographic solutions that balance security, energy efficiency, and performance requirements for real-world IoT applications. Full article
(This article belongs to the Section Internet of Things)
Show Figures

Figure 1

19 pages, 4409 KB  
Article
Numerical and Experimental Research on the Effects of Hydrogen Injection Timing on the Performance of Hydrogen/N-Butanol Dual-Fuel Engine with Hydrogen Direct Injection
by Weiwei Shang, Xintong Shi, Zezhou Guo and Xiaoxue Xing
Energies 2025, 18(18), 4987; https://doi.org/10.3390/en18184987 - 19 Sep 2025
Viewed by 183
Abstract
Hydrogen injection timing (HIT) plays a crucial role in the combustion and emission characteristics of a hydrogen/n-butanol dual-fuel engine with hydrogen direct injection. This study employed an integrated approach combining three-dimensional simulation modeling and engine test bench experiments to investigate the effects of [...] Read more.
Hydrogen injection timing (HIT) plays a crucial role in the combustion and emission characteristics of a hydrogen/n-butanol dual-fuel engine with hydrogen direct injection. This study employed an integrated approach combining three-dimensional simulation modeling and engine test bench experiments to investigate the effects of HIT on engine performance. In order to have a more intuitive understanding of the physical and chemical change processes, such as the stratification state and combustion status of hydrogen in the cylinder, and to essentially explore the internal mechanism and fundamental reasons for the improvement in performance of n-butanol engines by hydrogen addition, a numerical study was conducted to examine the effects of HIT on hydrogen stratification and combustion behavior. The simulation results demonstrated that within the investigated range, at 100 °CA BTDC hydrogen injection time, hydrogen forms an ideal hydrogen stratification state in the cylinder; that is, a locally enriched hydrogen zone near the spark plug, while there is a certain distribution of hydrogen in the cylinder. Meanwhile, the combustion state also reaches the optimal level at this hydrogen injection moment. Consequently, 100 °CA BTDC is identified as the optimal HIT for a hydrogen/n-butanol dual-fuel engine. At the same time, an experimental study was performed to capture the actual complex processes and comprehensively evaluate combustion and emission characteristics. The experimental results indicate that both dynamic performance (torque) and combustion characteristics (cylinder pressure, flame development period, etc.) achieve optimal values at the HIT of 100 °CA BTDC. Notably, under lean-burn conditions, the combustion parameters exhibit greater sensitivity to HIT. Regarding emissions, the CO and HC emissions initially decreased slightly, then gradually increased with advanced injection timing. The 100 °CA BTDC timing effectively reduced the CO emissions at λ = 0.9 and 1.0. CO emissions at λ = 1.2, and showed minimal sensitivity to the injection timing variations. Therefore, optimized HIT facilitates enhanced combustion efficiency and emission performance in hydrogen-direct-injection n-butanol engines. Full article
Show Figures

Figure 1

Back to TopTop