Sign in to use this feature.

Years

Between: -

Subjects

remove_circle_outline
remove_circle_outline
remove_circle_outline
remove_circle_outline
remove_circle_outline
remove_circle_outline
remove_circle_outline
remove_circle_outline
remove_circle_outline

Journals

remove_circle_outline
remove_circle_outline
remove_circle_outline

Article Types

Countries / Regions

remove_circle_outline
remove_circle_outline
remove_circle_outline

Search Results (245)

Search Parameters:
Keywords = back gate

Order results
Result details
Results per page
Select all
Export citation of selected articles as:
15 pages, 1200 KB  
Article
Longitudinal Evaluation of Dysarthria Progression in Patients with Parkinson’s Disease
by Wilmar Alesander Vásquez-Barrientos, Daniel Escobar-Grisales, Cristian David Ríos-Urrego and Juan Rafael Orozco-Arroyave
Diagnostics 2026, 16(5), 683; https://doi.org/10.3390/diagnostics16050683 - 26 Feb 2026
Viewed by 118
Abstract
Background/Objectives: Automatic evaluation of Parkinson’s disease (PD) progression is an emerging topic that deserves special attention from the research community. Unobtrusive, low-cost technology is essential for monitoring PD patients in remote areas. This paper proposes the use of phonological posteriors to create models [...] Read more.
Background/Objectives: Automatic evaluation of Parkinson’s disease (PD) progression is an emerging topic that deserves special attention from the research community. Unobtrusive, low-cost technology is essential for monitoring PD patients in remote areas. This paper proposes the use of phonological posteriors to create models that allow the progression of dysarthria level progression to be modelled based on speech recordings. Methods: Eighteen Gated Recurrent Units (GRUs) are used to estimate an equal number of phonological classes assigned to each phoneme pronounced in a given recording. Classification models of PD vs. healthy control (HC) subjects are trained with recordings of the PC-GITA corpus. This information is used in a separate corpus, with longitudinal recordings, to evaluate whether the progression of the dysarthria level, according to the modified Frenchay Dysarthria Assessment (mFDA), is related to abnormal production of specific phonemes. Results: Strident, dental, pause, back, and continuant phonological classes are the ones that better explain dysarthria level progression within time-frames of at least two years, therefore allowing possible monitoring of disease progression. Conclusions: Speech is a low-cost biosignal that can be used to automatically assess PD progression. In particular, this study shows that such an assessment makes it possible to evaluate dysarthria level progression and to find which phonological classes are contributing the most to such a progression. We believe that the findings reported in this paper provide objective evidence about possible abnormalities in broader speech-related processes like respiration, therefore contributing a better understanding of the relationship between speech production patterns and other speech-related processes affected when suffering from PD. Full article
Show Figures

Figure 1

16 pages, 2262 KB  
Article
Neural Network-Based Granular Activity Recognition from Accelerometers: Assessing Generalizability Across Diverse Mobility Profiles
by Metin Bicer, James Pope, Lynn Rochester, Silvia Del Din and Lisa Alcock
Sensors 2026, 26(4), 1320; https://doi.org/10.3390/s26041320 - 18 Feb 2026
Viewed by 204
Abstract
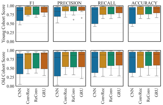
Human activity recognition (HAR) lies at the core of digital healthcare applications that monitor different types of physical activity. Traditional HAR methods often struggle to adapt to variable-length, real-world activity data and to generalise across cohorts (e.g., from young to old cohorts). Thus, [...] Read more.
Human activity recognition (HAR) lies at the core of digital healthcare applications that monitor different types of physical activity. Traditional HAR methods often struggle to adapt to variable-length, real-world activity data and to generalise across cohorts (e.g., from young to old cohorts). Thus, the aim of this study was to investigate HAR using wearable sensor data, with a particular focus on cross-cohort evaluation. Each dataset included two accelerometers (right thigh and lower back) sampling at 50 Hz, capturing a range of daily-life activities that were annotated using video recordings from chest-mounted cameras synchronised with the accelerometers. Neural networks were trained on young cohorts’ data and tested on old cohorts’ data. The effects of network architecture, sampling frequency and sensor location on classification performance were investigated. Network performance was evaluated using accuracy, recall, precision, F1-score and confusion matrices. The gated recurrent unit architecture achieved the best performance when trained solely on young cohorts’ data, with weighted F1-score of 0.95 ± 0.05 and 0.93 ± 0.05 for young and old cohorts, respectively, resulting in a highly generalizable method. Classification performance across multiple sampling frequencies was comparable. The thigh-mounted sensor consistently achieved higher performance than the lower back sensor across activities except lying. Furthermore, combining datasets significantly improved performance on the old cohort (weighted F1-score: 0.97 ± 0.02) due to increased variability in the training data. This study highlights the importance of network architecture and dataset composition in HAR and demonstrates the potential of neural networks for robust, real-world activity recognition across age-defined cohorts, specifically between young and old cohorts. Full article
(This article belongs to the Special Issue Advancing Human Gait Monitoring with Wearable Sensors)
Show Figures

Figure 1

18 pages, 608 KB  
Article
TDI-SF: Trustworthy Dynamic Inference via Uncertainty-Gated Retrieval and Similarity-Gated Strict Fallback
by Yiyi Xu, Siyuan Li, Zhouxiang Yu, Jiahao Hu and Pengfei Liu
Appl. Sci. 2026, 16(4), 2023; https://doi.org/10.3390/app16042023 - 18 Feb 2026
Viewed by 104
Abstract
Retrieval-time augmentation can correct hard test samples but may also introduce harmful interference when retrieved neighbors are unreliable. We propose TDI-SF (trustworthy dynamic inference via similarity-gated strict fallback), a safety-oriented dynamic inference strategy that intervenes only when needed and falls back to a [...] Read more.
Retrieval-time augmentation can correct hard test samples but may also introduce harmful interference when retrieved neighbors are unreliable. We propose TDI-SF (trustworthy dynamic inference via similarity-gated strict fallback), a safety-oriented dynamic inference strategy that intervenes only when needed and falls back to a frozen baseline when retrieval quality is insufficient. Uncertainty-gated selective retrieval triggers on a hard subset, defined by high entropy or low margin predictions (q=0.3), and similarity-gated fusion weights neighbor evidence by maximum similarity with a strict fallback threshold (alpha-mode=maxsim, min_maxsim). We evaluate on ImageNet-100 (ResNet-50) and CICIDS2017 (MLP) and report overall accuracy, hard-subset accuracy, calibration, negative flips, and risk–coverage behavior alongside efficiency. Comprehensive evaluation under both clean and degraded retrieval conditions demonstrates the value of each component. On ImageNet-100, TDI-SF improves hard-subset accuracy by 0.92% and overall accuracy by 0.30%, applying retrieval to only 32.6% of samples with 1.38 ms overhead per triggered sample. On CICIDS2017, the same mechanism yields +1.30% hard-subset gains with only 0.43 ms/hard overhead. These results show a simple, auditable recipe for safer retrieval-augmented inference across heterogeneous domains. Full article
(This article belongs to the Special Issue Latest Research on Computer Vision and Its Application)
Show Figures

Figure 1

28 pages, 10791 KB  
Article
CVD Monolayer MoS2 Memtransistors for Chaotic Time-Series Prediction via Reservoir Computing
by Vladislav Kurtash, Lina Jaurigue and Jörg Pezoldt
Crystals 2026, 16(2), 116; https://doi.org/10.3390/cryst16020116 - 5 Feb 2026
Viewed by 208
Abstract
Monolayer MoS2 memtransistors offer gate-tunable hysteresis for neuromorphic reservoir computing, yet the role of operating window and fading-memory dynamics in CVD devices remains underexplored. We grow CVD monolayer MoS2, fabricate back-gated memtransistors, and use a single device as a time-multiplexed [...] Read more.
Monolayer MoS2 memtransistors offer gate-tunable hysteresis for neuromorphic reservoir computing, yet the role of operating window and fading-memory dynamics in CVD devices remains underexplored. We grow CVD monolayer MoS2, fabricate back-gated memtransistors, and use a single device as a time-multiplexed reservoir node for one-step Lorenz-63 prediction. Mobility, ON/OFF, hysteresis, and drift are quantified to identify stable, tunable bias regimes. We used a transistor with field-effect mobility on the order of 10 cm2 V1 s1, an ON/OFF ratio above 105, and a moderate hysteresis window quantified by H2.1 μA·V at VDS = 50 mV and H17 μA·V at VDS = 500 mV over VGS[10,30] V. Performance is bias/memory-limited rather than FET-metric-limited. Sweeping gate-window and reservoir hyperparameters shows an optimum at intermediate hysteresis with moderate drift. Performance improves when the input clock matches the fading-memory time, achieving normalized root mean square error (NRMSE) = 0.09 for one-step Lorenz-63 x-prediction. Device-level statistics (discussed in the main text) show that, despite substantial scattering in electrical parameters, the resulting device-to-device NRMSE variation remains very small under fixed operating conditions. Classical FET metrics are not limiting here; NRMSE improvement instead requires engineering the hysteresis spectrum and gate stack. The demonstration of Lorenz-63 prediction using CVD-grown monolayer MoS2 memtransistors highlights their potential as a wafer-scalable platform for compact chaotic time-series predictions. Full article
(This article belongs to the Section Inorganic Crystalline Materials)
Show Figures

Figure 1

22 pages, 9179 KB  
Article
GA-HRNet: High-Precision Building Extraction for Individualization of Oblique Photogrammetry 3D Models
by Jiacui Zou, Yongchuan Zhang, Feng Li, Ruibing Wang, Jiajun Wu and Yang Qiao
Appl. Sci. 2026, 16(3), 1486; https://doi.org/10.3390/app16031486 - 2 Feb 2026
Viewed by 203
Abstract
Building individualization is a critical preprocessing step for refined applications of oblique photogrammetry 3D models, yet existing semantic segmentation methods encounter accuracy bottlenecks when applied to ultra-high-resolution orthophotos. To overcome this challenge, this study constructs an automated technical framework following a workflow from [...] Read more.
Building individualization is a critical preprocessing step for refined applications of oblique photogrammetry 3D models, yet existing semantic segmentation methods encounter accuracy bottlenecks when applied to ultra-high-resolution orthophotos. To overcome this challenge, this study constructs an automated technical framework following a workflow from orthophoto generation to high-precision semantic segmentation, and finally to dynamic 3D rendering. The framework comprises three stages: (1) converting the 3D model into a 2D orthophoto to ensure that the extracted building contours can be precisely registered with the original 3D model in space; (2) utilizing the proposed Gated-ASPP High-Resolution Network (GA-HRNet) to extract building contours, enhancing segmentation accuracy by synergizing HRNet’s spatial detail preservation capability with ASPP’s multi-scale context awareness; (3) mapping the extracted 2D vector contours back to the 3D model and achieving interactive building individualization via dynamic rendering technology. Evaluated on a custom-built Hong Kong urban building dataset, GA-HRNet achieved an Intersection over Union (IoU) of 91.25%, an F1-Score of 95.41%, a Precision of 93.31%, and a Recall of 97.70%. Its performance surpassed that of various comparative models, including FCN, U-Net, MBR-HRNet, and others, with an IoU lead of 1.46 to 5.62 percentage points. This method enables precise building extraction and dynamic highlighting within 3D scenes, providing an efficient and reliable technical path for the refined application of large-scale urban oblique photogrammetry models. Full article
(This article belongs to the Section Computing and Artificial Intelligence)
Show Figures

Figure 1

25 pages, 4090 KB  
Article
TPHFC-Net—A Triple-Path Heterogeneous Feature Collaboration Network for Enhancing Motor Imagery Classification
by Yuchen Jin, Chunxu Dou, Dingran Wang and Chao Liu
Technologies 2026, 14(2), 96; https://doi.org/10.3390/technologies14020096 - 2 Feb 2026
Viewed by 484
Abstract
Electroencephalography-based motor imagery (EEG-MI) classification is a cornerstone of Brain–Computer Interface (BCI) systems, enabling the identification of motor intentions by decoding neural patterns within EEG signals. However, conventional methods, predominantly reliant on convolutional neural networks (CNNs), are proficient at extracting local temporal features [...] Read more.
Electroencephalography-based motor imagery (EEG-MI) classification is a cornerstone of Brain–Computer Interface (BCI) systems, enabling the identification of motor intentions by decoding neural patterns within EEG signals. However, conventional methods, predominantly reliant on convolutional neural networks (CNNs), are proficient at extracting local temporal features but struggle to capture long-range dependencies and global contextual information. To address this limitation, we propose a Triple-path Heterogeneous Feature Collaboration Network (TPHFC-Net), which synergistically integrates three distinct temporal modeling pathways: a multi-scale Temporal Convolutional Network (TCN) to capture fine-grained local dynamics, a Transformer branch to model global dependencies via multi-head self-attention, and a Long Short-Term Memory (LSTM) network to track sequential state evolution. These heterogeneous features are subsequently fused adaptively by a dynamic gating mechanism. In addition, the model’s robustness and discriminative power are further augmented by a lightweight front-end denoising diffusion model for enhanced noisy feature representation and a back-end prototype attention mechanism to bolster the inter-class separability of non-stationary EEG features. Extensive experiments on the BCI Competition IV-2a and IV-2b datasets validate the superiority of the proposed model, achieving mean classification accuracies of 82.45% and 89.49%, respectively, on the subject-dependent MI task and significantly outperforming existing mainstream baselines. Full article
Show Figures

Figure 1

20 pages, 9489 KB  
Article
Design and Implementation of a High-Speed Storage System Based on SATA Interface
by Junwei Lu, Jie Bai and Sanmin Shen
Electronics 2026, 15(2), 452; https://doi.org/10.3390/electronics15020452 - 20 Jan 2026
Viewed by 1986
Abstract
In flight tests, to meet the requirements of consistent acquisition and storage of multiple targets, multiple systems, and multiple data types, various data types are processed into Pulse Code Modulation (PCM) data streams using PCM encoding for storage. Aiming at the requirement of [...] Read more.
In flight tests, to meet the requirements of consistent acquisition and storage of multiple targets, multiple systems, and multiple data types, various data types are processed into Pulse Code Modulation (PCM) data streams using PCM encoding for storage. Aiming at the requirement of real-time storage of high-bit-rate PCM data streams, a large-capacity storage system based on Serial Advanced Technology Attachment 3.0 (SATA3.0) is designed. The system uses the Kintex 7 series Field-Programmable Gate Array (FPGA) as the control core, receives PCM data streams through the Low-Voltage Differential Signaling (LVDS) low-voltage differential interface, stores the received PCM data streams into the mSATA disk via the SATA3.0 transmission bus, and transmits the stored data back to the host computer through the USB3.0 interface for analysis. Meanwhile, to solve the problem of complex data export, the storage system constructs a FAT32 file system through the MicroBlaze soft core to optimize the management and operation of the large-capacity storage system. Test results show that the storage system can perform stable high-rate storage at −40 °C~80 °C. Full article
(This article belongs to the Section Computer Science & Engineering)
Show Figures

Figure 1

30 pages, 4344 KB  
Article
HAGEN: Unveiling Obfuscated Memory Threats via Hierarchical Attention-Gated Explainable Networks
by Mahmoud E. Farfoura, Mohammad Alia and Tee Connie
Electronics 2026, 15(2), 352; https://doi.org/10.3390/electronics15020352 - 13 Jan 2026
Viewed by 386
Abstract
Memory resident malware, particularly fileless and heavily obfuscated types, continues to pose a major problem for endpoint defense tools, as these threats often slip past traditional signature-based detection techniques. Deep learning has shown promise in identifying such malicious activity, but its use in [...] Read more.
Memory resident malware, particularly fileless and heavily obfuscated types, continues to pose a major problem for endpoint defense tools, as these threats often slip past traditional signature-based detection techniques. Deep learning has shown promise in identifying such malicious activity, but its use in real Security Operations Centers (SOCs) is still limited because the internal reasoning of these neural network models is difficult to interpret or verify. In response to this challenge, we present HAGEN, a hierarchical attention architecture designed to combine strong classification performance with explanations that security analysts can understand and trust. HAGEN processes memory artifacts through a series of attention layers that highlight important behavioral cues at different scales, while a gated mechanism controls how information flows through the network. This structure enables the system to expose the basis of its decisions rather than simply output a label. To further support transparency, the final classification step is guided by representative prototypes, allowing predictions to be related back to concrete examples learned during training. When evaluated on the CIC-MalMem-2022 dataset, HAGEN achieved 99.99% accuracy in distinguishing benign programs from major malware classes such as spyware, ransomware, and trojans, all with modest computational requirements suitable for live environments. Beyond accuracy, HAGEN produces clear visual and numeric explanations—such as attention maps and prototype distances—that help investigators understand which memory patterns contributed to each decision, making it a practical tool for both detection and forensic analysis. Full article
(This article belongs to the Section Artificial Intelligence)
Show Figures

Figure 1

30 pages, 4543 KB  
Article
Dynamic Risk Assessment of the Coal Slurry Preparation System Based on LSTM-RNN Model
by Ziheng Zhang, Rijia Ding, Wenxin Zhang, Liping Wu and Ming Liu
Sustainability 2026, 18(2), 684; https://doi.org/10.3390/su18020684 - 9 Jan 2026
Viewed by 219
Abstract
As the core technology of clean and efficient utilization of coal, coal gasification technology plays an important role in reducing environmental pollution, improving coal utilization, and achieving sustainable energy development. In order to ensure the safe, stable, and long-term operation of coal gasification [...] Read more.
As the core technology of clean and efficient utilization of coal, coal gasification technology plays an important role in reducing environmental pollution, improving coal utilization, and achieving sustainable energy development. In order to ensure the safe, stable, and long-term operation of coal gasification plant, aiming to address the strong subjectivity of dynamic Bayesian network (DBN) prior data in dynamic risk assessment, this study takes the coal slurry preparation system—the main piece of equipment in the initial stage of the coal gasification process—as the research object and uses a long short-term memory (LSTM) model combined with a back propagation (BP) neural network model to optimize DBN prior data. To further validate the superiority of the model, a gated recurrent unit (GRU) model was introduced for comparative verification. The mean absolute error (MAE), root mean square error (RMSE), and coefficient of determination are used to evaluate the generalization ability of the LSTM model. The results show that the LSTM model’s predictions are more accurate and stable. Bidirectional inference is performed on the DBN of the optimized coal slurry preparation system to achieve dynamic reliability analysis. Thanks to the forward reasoning of DBN in the coal slurry preparation system, quantitative analysis of the system’s reliability effects is conducted to clearly demonstrate the trend of system reliability over time, providing data support for stable operation and subsequent upgrades. By conducting reverse reasoning, key events and weak links before and after system optimization can be identified, and targeted improvement measures can be proposed accordingly. Full article
(This article belongs to the Special Issue Process Safety and Control Strategies for Urban Clean Energy Systems)
Show Figures

Figure 1

34 pages, 6460 KB  
Article
Explainable Gait Multi-Anchor Space-Aware Temporal Convolutional Networks for Gait Recognition in Neurological, Orthopedic, and Healthy Cohorts
by Abdullah Alharthi
Mathematics 2026, 14(2), 230; https://doi.org/10.3390/math14020230 - 8 Jan 2026
Viewed by 406
Abstract
Gait recognition using wearable sensor data is crucial for healthcare, rehabilitation, and monitoring neurological and musculoskeletal disorders. This study proposes a deep learning framework for gait classification using inertial measurements from four body-mounted IMU sensors (head, lower back, and both feet). The data [...] Read more.
Gait recognition using wearable sensor data is crucial for healthcare, rehabilitation, and monitoring neurological and musculoskeletal disorders. This study proposes a deep learning framework for gait classification using inertial measurements from four body-mounted IMU sensors (head, lower back, and both feet). The data were collected from a publicly available, clinically annotated dataset comprising 1356 gait trials from 260 individuals with diverse pathologies. The framework, G-MASA-TCN (Gait Multi-Anchor, Space-Aware Temporal Convolutional Network), integrates multi-scale temporal fusion, graph-informed spatial modeling, and residual dilated convolutions to extract discriminative gait signatures. To ensure both high performance and interpretability, Integrated Gradients is incorporated as an explainable AI (XAI) method, providing sensor-level and temporal attributes that reveal the features driving model decisions. The framework is evaluated via repeated cross-validation experiments, reporting detailed metrics with cross-run statistical analysis (mean ± standard deviation) to assess robustness. Results show that G-MASA-TCN achieves 98% classification accuracy for neurological, orthopedic, and healthy cohorts, demonstrating superior stability and resilience compared to baseline architectures, including Gated Recurrent Unit (GRU), Transformer neural networks, and standard TCNs, and 98.4% accuracy in identifying individual subjects based on gait. Furthermore, the model offers clinically meaningful insights into which sensors and gait phases contribute most to its predictions. This work presents an accurate, interpretable, and reliable tool for gait pathology recognition, with potential for translation to real-world clinical settings. Full article
(This article belongs to the Special Issue Deep Neural Network: Theory, Algorithms and Applications)
Show Figures

Graphical abstract

16 pages, 1797 KB  
Article
Intelligent Prediction of Subway Tunnel Settlement: A Novel Approach Using a Hybrid HO-GPR Model
by Jiangming Chai, Xinlin Yang and Wenbin Deng
Buildings 2026, 16(1), 192; https://doi.org/10.3390/buildings16010192 - 1 Jan 2026
Viewed by 291
Abstract
Precise prediction of structural settlement in subway tunnels is crucial for ensuring safety during both construction and operational phases; however, the non-linear characteristics of monitoring data pose a significant challenge to achieving this goal. To address this issue, this study proposes a hybrid [...] Read more.
Precise prediction of structural settlement in subway tunnels is crucial for ensuring safety during both construction and operational phases; however, the non-linear characteristics of monitoring data pose a significant challenge to achieving this goal. To address this issue, this study proposes a hybrid predictive model, termed HO-GPR. This model integrates the Hippopotamus Optimization (HO) algorithm—a novel bio-inspired meta-heuristic—with Gaussian Process Regression (GPR), a non-parametric probabilistic machine learning method. Specifically, HO is utilized to globally optimize the hyperparameters of GPR to enhance its adaptability to complex deformation patterns. The model was validated using 52 months of field settlement monitoring data collected from the Urumqi Metro Line 1 tunnel. Through a series of comparative and generalization experiments, the accuracy and adaptability of the model were systematically evaluated. The results demonstrate that the HO-GPR model is superior to five benchmark models—namely Gated Recurrent Unit (GRU), Support Vector Regression (SVR), HO-optimized Back Propagation Neural Network (HO-BP), standard GPR, and ARIMA—in terms of accuracy and stability. It achieved a Coefficient of Determination (R2) of 0.979, while the Root Mean Square Error (RMSE), Mean Absolute Error (MAE), and Mean Absolute Percentage Error (MAPE) were as low as 0.318 mm, 0.240 mm, and 1.83%, respectively, proving its capability for effective prediction with non-linear data. The findings of this research can provide valuable technical support for the structural safety management of subway tunnels. Full article
(This article belongs to the Section Construction Management, and Computers & Digitization)
Show Figures

Figure 1

42 pages, 9085 KB  
Review
In2O3: An Oxide Semiconductor for Thin-Film Transistors, a Short Review
by Christophe Avis and Jin Jang
Molecules 2025, 30(24), 4762; https://doi.org/10.3390/molecules30244762 - 12 Dec 2025
Cited by 1 | Viewed by 2180
Abstract
With the discovery of amorphous oxide semiconductors, a new era of electronics opened. Indium gallium zinc oxide (IGZO) overcame the problems of amorphous and poly-silicon by reaching mobilities of ~10 cm2/Vs and demonstrating thin-film transistors (TFTs) are easy to manufacture on [...] Read more.
With the discovery of amorphous oxide semiconductors, a new era of electronics opened. Indium gallium zinc oxide (IGZO) overcame the problems of amorphous and poly-silicon by reaching mobilities of ~10 cm2/Vs and demonstrating thin-film transistors (TFTs) are easy to manufacture on transparent and flexible substrates. However, mobilities over 30 cm2/Vs have been difficult to reach and other materials have been introduced. Recently, polycrystalline In2O3 has demonstrated breakthroughs in the field. In2O3 TFTs have attracted attention because of their high mobility of over 100 cm2/Vs, which has been achieved multiple times, and because of their use in scaled devices with channel lengths down to 10 nm for high integration in back-end-of-the-line (BEOL) applications and others. The present review focuses first on the material properties with the understanding of the bandgap value, the importance of the position of the charge neutrality level (CNL), the doping effect of various atoms (Zr, Ge, Mo, Ti, Sn, or H) on the carrier concentration, the optical properties, the effective mass, and the mobility. We introduce the effects of the non-parabolicity of the conduction band and how to assess them. We also introduce ways to evaluate the CNL position (usually at ~EC + 0.4 eV). Then, we describe TFTs’ general properties and parameters, like the field effect mobility, the subthreshold swing, the measurements necessary to assess the TFT stability through positive and negative bias temperature stress, and the negative bias illumination stress (NBIS), to finally introduce In2O3 TFTs. Then, we will introduce vacuum and non-vacuum processes like spin-coating and liquid metal printing. We will introduce the various dopants and their applications, from mobility and crystal size improvements with H to NBIS improvements with lanthanides. We will also discuss the importance of device engineering, introducing how to choose the passivation layer, the source and drain, the gate insulator, the substrate, but also the possibility of advanced engineering by introducing the use of dual gate and 2 DEG devices on the mobility improvement. Finally, we will introduce the recent breakthroughs where In2O3 TFTs are integrated in neuromorphic applications and 3D integration. Full article
Show Figures

Figure 1

11 pages, 16090 KB  
Article
Impact of OFF-State Stress on Dynamic RON of On-Wafer 100 V p-GaN HEMTs, Studied by Emulating Monolithically Integrated Half-Bridge Operation
by Lorenzo Modica, Nicolò Zagni, Marcello Cioni, Giacomo Cappellini, Giovanni Giorgino, Ferdinando Iucolano, Giovanni Verzellesi and Alessandro Chini
Electronics 2025, 14(23), 4756; https://doi.org/10.3390/electronics14234756 - 3 Dec 2025
Viewed by 455
Abstract
This paper presents the electrical characterization of the on-resistance (RON) of on-wafer 100 V p-GaN power High-Electron-Mobility Transistors (HEMTs). This study assesses device degradation in the context of a monolithically integrated half-bridge circuit, considering both Low-Side (LS) and High-Side (HS) [...] Read more.
This paper presents the electrical characterization of the on-resistance (RON) of on-wafer 100 V p-GaN power High-Electron-Mobility Transistors (HEMTs). This study assesses device degradation in the context of a monolithically integrated half-bridge circuit, considering both Low-Side (LS) and High-Side (HS) configurations. Since on-wafer samples have been characterized, a custom experimental setup was developed to emulate stress conditions experienced by the devices in the half-bridge circuit. A periodic signal (T = 10 µs, TON = 2 µs) switching from the OFF to the ON state was applied for a cumulative duration of 1000 s. Different OFF-state stress conditions were applied by varying the gate-source OFF voltage (VGS,OFF) between 0 V and −10 V. The on-resistance exhibited a positive drift over time for devices in either the LS or the HS configuration, with the latter showing a more pronounced degradation. Measurements at higher temperatures (up to 90 °C) were carried out to characterize the dynamics of the physical mechanism behind the degradation effects. We identified hole emission from C-related acceptor traps in the buffer as the main mechanism for the observed degradation, which is present in both the HS and the LS configurations. The additional degradation observed in the HS case was attributed to the back-gating effect, stemming from the non-null body-to-source voltage. Furthermore, we found that a more negative VGS,OFF further increases RON degradation, likely related to the higher electric field near the gate contact, which enhances hole emission from C-related acceptor traps. Full article
(This article belongs to the Section Semiconductor Devices)
Show Figures

Figure 1

12 pages, 2917 KB  
Article
Eco-Friendly Fabrication of 2D a-SnOx Thin-Film Transistors Derived from Deep Eutectic Solvents
by Christophe Avis and Jin Jang
Materials 2025, 18(23), 5349; https://doi.org/10.3390/ma18235349 - 27 Nov 2025
Viewed by 653
Abstract
We have fabricated amorphous tin oxide (a-SnOx) thin-film transistors (TFTs) with Al2O3 gate insulator from deep eutectic solvents (DESs). DESs were formed using the chloride derivates of each precursor (SnCl2, or AlCl3) mixed with [...] Read more.
We have fabricated amorphous tin oxide (a-SnOx) thin-film transistors (TFTs) with Al2O3 gate insulator from deep eutectic solvents (DESs). DESs were formed using the chloride derivates of each precursor (SnCl2, or AlCl3) mixed with urea. The DESs were then used as precursors for the semiconductor and dielectric. Our target was to form extremely thin semiconductor film, and a sufficient high capacitance insulator. We characterized the physical and chemical properties of the DES-derived thin films by X-ray diffraction (XRD), atomic force microscopy (AFM), and X-ray photoelectron spectroscopy (XPS). We could evaluate that the highest content of metal–oxygen bonds was from the DES condition SnCl2–urea = 1:3. At a low 300 °C budget temperature, we could fabricate a 3.2 nm thick a-SnOx layer and 30 nm thick Al2O3, from which the TFT demonstrated a mobility of 80 ± 17 cm2/Vs, threshold voltage of −0.29 ± 0.06 V, and subthreshold swing of 88 ± 11 mV/dec. The proposed process is adequate with the back-end of the line (BEOL) process, but it is also eco-friendly because of the use of DESs. Full article
Show Figures

Figure 1

18 pages, 2222 KB  
Article
Fabrication and Characterization of Back-Gate and Front-Gate Ge-on-Insulator Transistors for Low-Power Applications
by Yuhui Ren, Jiale Su, Jiahan Ke, Hongxiao Lin, Ben Li, Zhenzhen Kong, Yiwen Zhang, Junhao Du, Renrong Liang, Jun Xu, Xiangliang Duan, Tianyu Dong, Xueyin Su, Tianchun Ye, Xuewei Zhao, Yuanhao Miao and Henry H. Radamson
Electronics 2025, 14(23), 4646; https://doi.org/10.3390/electronics14234646 - 26 Nov 2025
Viewed by 563
Abstract
Germanium (Ge) has long been regarded as a promising channel material, owing to its superior carrier mobility and highly tunable electronic band structure. The new generation of low-power electronics is approaching the formation of fully depleted (FD) transistors on Si-on-insulator (SOl) and Ge-on-insulator [...] Read more.
Germanium (Ge) has long been regarded as a promising channel material, owing to its superior carrier mobility and highly tunable electronic band structure. The new generation of low-power electronics is approaching the formation of fully depleted (FD) transistors on Si-on-insulator (SOl) and Ge-on-insulator (GOl) substrates. In this work, we present a full process of a novel FDGOI transistor formed on a strained GOI with low defect density. This scalable and industry-compatible approach enables the formation of uniform 50 nm thick Ge layers by using spinning wet etch with ultrasmooth surfaces (RMS roughness = 0.262 nm) and a low etch-pit density of ~105 cm−2. Electrical measurements reveal excellent carrier transport properties, with back-gate (BG) transistors achieving mobilities of 550–600 cm2/V·s, while front-gate (FG) devices exhibit sharp switching behavior and steep subthreshold slopes, yielding ION/IOFF ratios up to 105. Temperature-dependent measurements further demonstrate a pronounced enhancement of device performance: the ION/IOFF ratio increases to 106, the subthreshold swing (SS) decreases from 179 mV/dec at room temperature to 137 mV/dec at 120 K, and the threshold-voltage shift with temperature is as low as 1.87 mV/K across the range of 30–300 K. Such behavior highlights the potential of band-gap engineering for precise threshold-voltage control. Taken together, these results establish GOI as a CMOS-compatible material platform and provide a solid technological basis for the development of next-generation low-power transistors beyond conventional CMOS scaling. Full article
Show Figures

Figure 1

Back to TopTop