Sign in to use this feature.

Years

Between: -

Subjects

remove_circle_outline
remove_circle_outline
remove_circle_outline
remove_circle_outline
remove_circle_outline
remove_circle_outline
remove_circle_outline
remove_circle_outline
remove_circle_outline

Journals

remove_circle_outline
remove_circle_outline
remove_circle_outline
remove_circle_outline
remove_circle_outline
remove_circle_outline
remove_circle_outline
remove_circle_outline
remove_circle_outline
remove_circle_outline
remove_circle_outline

Article Types

Countries / Regions

remove_circle_outline
remove_circle_outline
remove_circle_outline
remove_circle_outline
remove_circle_outline
remove_circle_outline

Search Results (520)

Search Parameters:
Keywords = available silicon

Order results
Result details
Results per page
Select all
Export citation of selected articles as:
11 pages, 1231 KB  
Article
Application Effects of Clinker-Tea-Waste Compost on Rice Growth and Nutrient Uptake in a Low-Fertility Paddy Field
by Wataru Shiraishi, Nobuki Morita, Yo Toma and Hideto Ueno
Nitrogen 2025, 6(4), 114; https://doi.org/10.3390/nitrogen6040114 - 12 Dec 2025
Viewed by 130
Abstract
Sustainable recycling of organic residues and industrial byproducts is crucial for soil fertility and environmental sustainability. This study evaluated the effects of clinker-tea-waste compost (CTC) on rice growth, nutrient uptake, and soil chemical properties in a low-fertility paddy field over two years. In [...] Read more.
Sustainable recycling of organic residues and industrial byproducts is crucial for soil fertility and environmental sustainability. This study evaluated the effects of clinker-tea-waste compost (CTC) on rice growth, nutrient uptake, and soil chemical properties in a low-fertility paddy field over two years. In 2017, CTC was applied at 12, 18, and 22 Mg ha−1, while chemical fertilizer (CF) served as control. In 2018, all treatments received equal CF to assess residual effects. The results showed a limited immediate nitrogen supply in 2017, with no significant differences in rice growth, yield, or soil ammonium nitrogen (AN) among treatments. However, significant residual nitrogen effects emerged in 2018, with higher soil AN concentrations, nitrogen uptake indices, and rice yields in plots with higher CTC rates than in 2017. Si availability from clinker ash was evident immediately after application in 2017, correlating positively with rice stover Si content and CTC application rate. However, its residual effect disappeared in 2018 when CTC was discontinued. These findings demonstrate the complementary nutrient supply of CTC, with delayed nitrogen availability from tea residues and short-lived silicon release from clinker ash. This study highlights the potential of CTC for enhancing soil fertility and crop productivity in rice cultivation systems. Full article
(This article belongs to the Special Issue Nitrogen Management in Plant Cultivation)
Show Figures

Figure 1

15 pages, 1957 KB  
Article
Optimization of the Process of Producing Porcelain Stoneware from Mineral Raw Materials and Microsilica as a Secondary Raw Material
by Assel Darkhan, Abibulla Anarbayev, Begen Yessimov, Tatyana Vakalova, Viktor Stanevich and Alina Molodykh
Ceramics 2025, 8(4), 154; https://doi.org/10.3390/ceramics8040154 - 11 Dec 2025
Viewed by 148
Abstract
The development of the ceramic industry requires the creation of new innovative products with improved properties. Given the growing demand for high-quality finishing materials and the limited availability of traditional raw materials, the search for more efficient technologies for porcelain stoneware production is [...] Read more.
The development of the ceramic industry requires the creation of new innovative products with improved properties. Given the growing demand for high-quality finishing materials and the limited availability of traditional raw materials, the search for more efficient technologies for porcelain stoneware production is a relevant challenge. The aim of this study was to develop porcelain stoneware with enhanced performance characteristics. The research presents the results of a study aimed at improving the production technology of porcelain stoneware in Kazakhstan using local raw materials and microsilica. The raw materials from the Turkestan region were examined for their suitability for porcelain stoneware production. The influence of technological parameters (firing temperature, particle size) on the properties of porcelain stoneware was studied. New ceramic compositions with various microsilica contents, a by-product of silicon production, were investigated. Different compositions with varying raw material mixtures and microsilica content were prepared and fired at temperatures of 1100, 1150, and 1200 °C. The optimization of process parameters for producing porcelain stoneware in different compositions showed the degree of yield dependence on firing temperature and time as well as the effect of microsilica content. The temperature, time, and visually determined parameters at which different yield values were achieved were highlighted in different colors. The results showed that changes in the mixture composition and sintering temperature affect the quality of ceramic tiles. The final experimental conclusions demonstrated that the production of ceramic tiles containing up to 3% microsilica at a firing temperature of 1200 °C. The addition of microsilica increases the flexural strength of porcelain stoneware to 41 MPa (exceeding the standard), reduces water absorption to 0.023%, increases frost resistance to 107 cycles, and also enhances shrinkage. These findings open new prospects for the development of the domestic ceramic industry, the expansion of the product range, and the resolution of environmental issues. Full article
Show Figures

Figure 1

30 pages, 21178 KB  
Article
Gaussian Learning-Based Pareto Evolutionary Algorithm for Parallel Machine Planning in Industrial Silicon Production
by Jinsi Zhang, Rongjuan Luo and Zuocheng Li
Mathematics 2025, 13(23), 3860; https://doi.org/10.3390/math13233860 - 2 Dec 2025
Viewed by 272
Abstract
This study focuses on a multi-objective heterogeneous parallel machine planning problem for industrial silicon smelting. Specifically, under the conflicting objectives of minimizing carbon emissions, rollover penalty costs, and load imbalance, the total production demand of industrial silicon is allocated monthly across multiple machines. [...] Read more.
This study focuses on a multi-objective heterogeneous parallel machine planning problem for industrial silicon smelting. Specifically, under the conflicting objectives of minimizing carbon emissions, rollover penalty costs, and load imbalance, the total production demand of industrial silicon is allocated monthly across multiple machines. We first establish the mathematical model of the problem accounting for real-life management requirements. To solve the model, a Gaussian learning-based Pareto evolutionary algorithm (GLPEA) is proposed. The algorithm is developed based on a nondominated sorting framework and incorporates two key innovations: (1) a generation-wise dynamic Gaussian mixture component selection strategy that adaptively fits the multimodal distribution of elite solutions, and (2) a hybrid offspring generation mechanism that integrates traditional evolutionary operators with a Gaussian sampling strategy trained on perturbed solution sets, thereby enhancing exploration capability while maintaining convergence. The effectiveness of GLPEA is validated on 40 problem instances of varying scales. Compared with NSGA-II and MOEA/D, GLPEA achieves average improvements of 5.78% and 89.23% in IGD, and 1.03% and 264.43% in HV, respectively. We make the source codes of GLPEA publicly available to facilitate future research on practical applications. Full article
Show Figures

Figure 1

13 pages, 22217 KB  
Article
Crosstalk Effects in a Dual ToF-Based Tactile–Proximity Sensing Platform Integrated in a Flat PMMA Light Guide
by Andrejs Ogurcovs, Ilze Aulika, Sergio Cartiel, Jorge Garcia-Pueyo and Adolfo Muñoz
Sensors 2025, 25(23), 7319; https://doi.org/10.3390/s25237319 - 2 Dec 2025
Viewed by 279
Abstract
We investigate crosstalk effects in a dual-modality tactile–proximity sensing system based on Time-of-Flight (ToF) technology integrated within a flat poly(methyl methacrylate) (PMMA) light guide. Building on the OptoSkin framework, we employ two commercially available TMF8828 multi-zone ToF sensors, one configured for tactile detection [...] Read more.
We investigate crosstalk effects in a dual-modality tactile–proximity sensing system based on Time-of-Flight (ToF) technology integrated within a flat poly(methyl methacrylate) (PMMA) light guide. Building on the OptoSkin framework, we employ two commercially available TMF8828 multi-zone ToF sensors, one configured for tactile detection via frustrated total internal reflection (FTIR) and the other for external proximity measurements through the same transparent substrate. Controlled experiments were conducted using a 2 cm2 silicone pad for tactile interaction and an A4-sized diffuse white target for proximity detection. Additional measurements with a movable PMMA sheet were performed to quantify signal attenuation, peak broadening, and confidence degradation under transparent-substrate conditions. The results demonstrate that the TMF8828 can simultaneously resolve both contact-induced scattering and distant reflections, but that localized interference zones occur when sensor fields of view overlap within the substrate. Histogram analysis reveals the underlying multi-path contributions, providing diagnostic insight not available from black-box ToF devices. These findings highlight both the opportunities and limitations of integrating multiple ToF sensors into transparent waveguides and inform design strategies for scalable robotic skins, wearable interfaces, and multi-modal human–machine interaction systems. Full article
(This article belongs to the Section Optical Sensors)
Show Figures

Figure 1

24 pages, 3857 KB  
Article
Soil Ca2SiO4 Supplying Increases Drought Tolerance of Young Arabica Coffee Plants
by Miroslava Rakocevic and Rafael Vasconcelos Ribeiro
Plants 2025, 14(23), 3666; https://doi.org/10.3390/plants14233666 - 2 Dec 2025
Viewed by 338
Abstract
Silicon (Si) may benefit the growth and physiology of various cultivated species, especially under stress conditions. Here, we hypothesized that soil Si supplying as Ca2SiO4 would increase the drought tolerance and water use efficiency of young Coffea arabica L. (Arabica [...] Read more.
Silicon (Si) may benefit the growth and physiology of various cultivated species, especially under stress conditions. Here, we hypothesized that soil Si supplying as Ca2SiO4 would increase the drought tolerance and water use efficiency of young Coffea arabica L. (Arabica coffee) plants, by maintaining shoot water status and photosynthesis under low water availability. To test such a hypothesis, morphological and physiological (leaf water potential, leaf gas exchange, photochemical activity, chlorophyll content) traits of coffee plants were evaluated under varying soil Ca2SiO4 applications (0, 3000, 6000 kg ha−1) and water availability. The chemical composition of plant tissues was evaluated under well-watered conditions after six months of Ca2SiO4 application, with fertilized plants showing higher concentrations of Ca (leaves and roots) and B (all plant organs) as compared to plants not supplied with Ca2SiO4 (control treatment). As there were no changes in Si concentration in plant organs under Ca2SiO4 application, our data indicate that the coffee species is a Si non-accumulator, or at least the cultivar ‘Catuaí Vermelho’ evaluated herein. Additionally, the photosynthetic capacity of coffee plants increased with 6000 kg Ca2SiO4 ha−1 compared to the control under well-watered conditions, as given by increases in gross and net photosynthesis under light saturation, light saturation point, maximum RuBisCO carboxylation rate, maximum electron transport-dependent RuBP regeneration, and maximum rate of triose phosphate use. Such photosynthetic improvements underlined high leaf CO2 assimilation, transpiration, carboxylation efficiency, and chlorophyll content in plants grown under Si supplying and well-watered conditions. The negative impact of water deficit on leaf gas exchange was alleviated by Ca2SiO4 application, but the instantaneous water use efficiency was maintained as similar in both water regimes, as expected for Si non-accumulator species. Morphologically, coffee stem diameter was increased under Ca2SiO4 application, regardless of water regime. In conclusion, our data revealed that high Ca2SiO4 doses benefit coffee performance and also suggest that the use of steel slag—an industrial byproduct rich in Ca2SiO4—can be considered as a sustainable practice for residue recycling in agriculture while improving C. arabica growth and physiology under varying water availability. Full article
Show Figures

Graphical abstract

11 pages, 1570 KB  
Article
A SiPM-Based RICH Detector with Timing Capabilities for Isotope Identification
by Mario Nicola Mazziotta, Liliana Congedo, Giuseppe De Robertis, Mario Giliberti, Francesco Licciulli, Antonio Liguori, Leonarda Lorusso, Nicola Nicassio, Giuliana Panzarini and Roberta Pillera
Particles 2025, 8(4), 94; https://doi.org/10.3390/particles8040094 - 28 Nov 2025
Viewed by 289
Abstract
In this work, we present a novel compact particle identification (PID) detector concept based on Silicon Photomultipliers (SiPMs) optimized to perform combined Ring-Imaging Cherenkov (RICH) and Time-of-Flight (TOF) measurements using a common photodetector layer. The system consists of a Cherenkov radiator layer separated [...] Read more.
In this work, we present a novel compact particle identification (PID) detector concept based on Silicon Photomultipliers (SiPMs) optimized to perform combined Ring-Imaging Cherenkov (RICH) and Time-of-Flight (TOF) measurements using a common photodetector layer. The system consists of a Cherenkov radiator layer separated from a photosensitive surface equipped with SiPMs by an expansion gap. A thin glass slab, acting as a second Cherenkov radiator, is coupled to the SiPMs to perform Cherenkov-based charged particle timing measurements. We assembled a small-scale prototype instrumented with various Hamamatsu SiPM array sensors with pixel pitches ranging from 2 to 3 mm and coupled with 1 mm thick fused silica window. The RICH radiator consisted of a 2 cm thick aerogel tile with a refractive index of 1.03 at 400 nm. The prototype was successfully tested in beam test campaigns at the CERN PS T10 beam line with pions and protons. We measured a single-hit angular resolution of about 4 mrad at the Cherenkov angle saturation value and a time resolution better than 50 ps RMS for charged particles with Z = 1. The present technology makes the proposed SiPM-based PID system particularly attractive for space applications due to the limited detector volumes available. In this work, we present beam test results obtained with the detector prototype and we discuss possible configurations optimized for the identification of ions in space applications. Full article
Show Figures

Figure 1

7 pages, 3245 KB  
Article
Tapered Cladding Design for Monolithic Waveguide–Photodetector Coupling in Si-Based Integrated Photonics
by Alfredo A. Gonzalez-Fernandez, Jorge A. Vazquez-Hernandez, Felix Aguilar-Valdez and Neil Moffat
Nanomaterials 2025, 15(22), 1731; https://doi.org/10.3390/nano15221731 - 17 Nov 2025
Viewed by 462
Abstract
Silicon photonics offers a powerful route to leverage existing microelectronics infrastructure to enhance performance and enable new applications in data processing and sensing. Among the available material platforms, silicon nitride (Si3N4) provides significant advantages due to its wide optical [...] Read more.
Silicon photonics offers a powerful route to leverage existing microelectronics infrastructure to enhance performance and enable new applications in data processing and sensing. Among the available material platforms, silicon nitride (Si3N4) provides significant advantages due to its wide optical transmission window. A key challenge, however, remains the monolithic integration of passive nitride-based photonic components with active electronic devices directly on silicon wafers. In this work, we propose and demonstrate a tapered bottom-cladding design that enables efficient coupling of visible light from Si3N4/SiO2 core–cladding waveguides into planar p–n junction photodiodes fabricated on the silicon surface. Si3N4/SiO2 waveguides were fabricated using fully CMOS-compatible processes and materials. Controlled reactive ion etching (RIE) of SiO2 allowed the formation of vertically tapered claddings, and finite-difference time-domain (FDTD) simulations were carried out to analyze coupling efficiency across wavelengths from 509 nm to 740 nm. Simulations showed transmission efficiencies above 90% for taper angles below 30°, with near-total coupling at 10°. Experimental fabrication achieved angles as low as 8°. Responsivity simulations yielded values up to 311 mA W−1 for photodiodes without internal gain. These results demonstrate the feasibility of fabricating monolithic Si-based waveguide–photodetector systems using simple, CMOS-compatible methods, opening a scalable path for integrated photonic–electronic devices operating in the visible range. Full article
Show Figures

Figure 1

30 pages, 3727 KB  
Article
A Novel Model Chain for Analysing the Performance of Vehicle Integrated Photovoltaic (VIPV) Systems
by Hamid Samadi, Guido Ala, Miguel Centeno Brito, Marzia Traverso, Silvia Licciardi, Pietro Romano and Fabio Viola
World Electr. Veh. J. 2025, 16(11), 619; https://doi.org/10.3390/wevj16110619 - 13 Nov 2025
Viewed by 434
Abstract
This study proposes a novel framework for analyzing Vehicle-Integrated Photovoltaic (VIPV) systems, integrating optical, thermal, and electrical models. The model modifies existing fixed PV methodologies for VIPV applications to assess received irradiance, PV module temperature, and energy production, and is available as an [...] Read more.
This study proposes a novel framework for analyzing Vehicle-Integrated Photovoltaic (VIPV) systems, integrating optical, thermal, and electrical models. The model modifies existing fixed PV methodologies for VIPV applications to assess received irradiance, PV module temperature, and energy production, and is available as an open-source MATLAB tool (VIPVLIB) enabling simulations via a smartphone. A key innovation is the integration of meteorological data and real-time driving, dynamically updating vehicle position and orientation every second. Different time resolutions were explored to balance accuracy and computational efficiency for optical model, while the thermal model, enhanced by vehicle speed, wind effects, and thermal inertia, improved temperature and power predictions. Validation on a minibus operating within the University of Palermo campus confirmed the applicability of the proposed framework. The roof received 45–47% of total annual irradiation, and the total yearly energy yield reached about 4.3 MWh/Year for crystalline-silicon, 3.7 MWh/Year for CdTe, and 3.1 MWh/Year for CIGS, with the roof alone producing up to 2.1 MWh/Year (c-Si). Under hourly operation, the generated solar energy was sufficient to fully meet daily demand from April to August, while during continuous operation it supplied up to 60% of total consumption. The corresponding CO2-emission reduction ranged from about 3.5 ton/Year for internal-combustion vehicles to around 2 ton/Year for electric ones. The framework provides a structured, data-driven approach for VIPV analysis, capable of simulating dynamic optical, thermal, and electrical behaviors under actual driving conditions. Its modular architecture ensures both immediate applicability and long-term adaptability, serving as a solid foundation for advanced VIPV design, fleet-scale optimization, and sustainability-oriented policy assessment. Full article
(This article belongs to the Section Energy Supply and Sustainability)
Show Figures

Figure 1

16 pages, 3862 KB  
Article
Flexible Sensor Foil Based on Polymer Optical Waveguide for Haptic Assessment
by Zhenyu Zhang, Abu Bakar Dawood, Georgios Violakis, Ahmad Abdalwareth, Günter Flachenecker, Panagiotis Polygerinos, Kaspar Althoefer, Martin Angelmahr and Wolfgang Schade
Sensors 2025, 25(22), 6915; https://doi.org/10.3390/s25226915 - 12 Nov 2025
Viewed by 624
Abstract
Minimally Invasive Surgery is often limited by the lack of tactile feedback. Indeed, surgeons have traditionally relied heavily on tactile feedback to estimate tissue stiffness - a critical factor in both diagnostics and treatment. With this in mind we present in this paper [...] Read more.
Minimally Invasive Surgery is often limited by the lack of tactile feedback. Indeed, surgeons have traditionally relied heavily on tactile feedback to estimate tissue stiffness - a critical factor in both diagnostics and treatment. With this in mind we present in this paper a flexible sensor foil, based on polymer optical waveguide. This sensor has been applied for real-time contact force measurement, material stiffness differentiation and surface texture reconstruction. Interrogated by a commercially available optoelectronic device, the sensor foil offers precise and reproducible feedback of contact forces up to 5 N, with a minimal detectable limit of 0.1 N. It also demonstrates distinct optical attenuation responses when indenting silicone samples of varying stiffnesses under controlled displacement. When integrated onto a 3D-printed module resembling an endoscopic camera and manipulated by a robotic arm, the sensor successfully generated spatial stiffness mapsof a phantom. Moreover, by sliding over structures with varying surface textures, the sensor foil was able to reconstruct surface profiles based on the light attenuation responses. The results demonstrate that the presented sensor foil possesses great potential for surgical applications by providing additional haptic information to surgeons. Full article
(This article belongs to the Special Issue Waveguide-Based Sensors and Applications)
Show Figures

Figure 1

23 pages, 6936 KB  
Article
Innovative Calcium L-Lactate/PDMS-Based Composite Foams as Core for Sandwich Materials for the Thermopassive Regulation of Buildings
by Mario Ávila-Gutiérrez, Emanuele Previti, María Orfila, Ilenia Acquaro, Luigi Calabrese, Candida Milone and Emanuela Mastronardo
Energies 2025, 18(22), 5940; https://doi.org/10.3390/en18225940 - 12 Nov 2025
Viewed by 387
Abstract
The substantial impact of the heating and cooling of the construction sector on global warming necessitates a focus on effective thermal insulation solutions to mitigate high CO2 emissions. Thus, the development of efficient low-temperature thermochemical energy storage (TCES) materials offers a promising [...] Read more.
The substantial impact of the heating and cooling of the construction sector on global warming necessitates a focus on effective thermal insulation solutions to mitigate high CO2 emissions. Thus, the development of efficient low-temperature thermochemical energy storage (TCES) materials offers a promising approach to improve thermal regulation. This study explores the morphological, physicochemical, and thermal properties of a silicon composite (PDMS foam) filled with calcium L-lactate (CaL) (0–70 wt.%) for the core sandwich thermopassive regulation of buildings. Furthermore, CaL was incorporated into a composite form to improve the handling and processability of the final sandwich material, as CaL is available in powder form. The results demonstrated that the filler is entirely confined within the polymer matrix (FTIR and ESEM). Additionally, the CaL-PDMS composites showed fully reversible dehydration/hydration abilities over a water vapor hydration–dehydration cycle within a temperature range suitable for low-temperature TCES, with no performance loss due to salt confinement. Regarding the energy density, the 70 wt.% CaL-PDMS composites achieved a value up to 955 MJ/m3, making it an excellent candidate for low-temperature energy storage in the construction sector as compared to other similar composites. These findings contribute to the development of new thermopassive regulation techniques for building materials. Full article
Show Figures

Figure 1

21 pages, 1982 KB  
Article
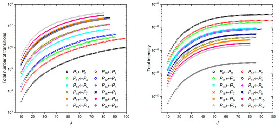
Elucidation of the Ro-Vibrational Band Structures in the Silicon Tetrafluoride Spectra from Accurate Ab Initio Calculations
by Oleg Egorov and Michaël Rey
Molecules 2025, 30(21), 4239; https://doi.org/10.3390/molecules30214239 - 30 Oct 2025
Viewed by 351
Abstract
We report the construction of comprehensive line lists for the three stable isotopologues of silicon tetrafluoride (28SiF4, 29SiF4, and 30SiF4) using a new effective Hamiltonian and dipole moment model built from accurate ab [...] Read more.
We report the construction of comprehensive line lists for the three stable isotopologues of silicon tetrafluoride (28SiF4, 29SiF4, and 30SiF4) using a new effective Hamiltonian and dipole moment model built from accurate ab initio potential energy and dipole moment surfaces developed in this work. The vibrational energy levels were grouped into a series of polyads up to Pmax = 19, while the ro-vibrational energy levels were computed up to Jmax = 99. Each line list covers the spectral range 0–2500 cm−1 and contains almost 500 million transitions at T = 296 K, with each being generated from 685 vibrational states and sub-states. Most of the cold and hot band transitions computed in this work were not available in the literature beforehand. The absorption cross-sections computed from the produced line lists were successfully validated by direct comparison with the experimental data measured by Pacific Northwest National Laboratory at room temperature. Most of the ro-vibrational band structures observed in the experimental spectra can now be elucidated using the line lists proposed in this work. Full article
(This article belongs to the Section Computational and Theoretical Chemistry)
Show Figures

Graphical abstract

12 pages, 3201 KB  
Communication
Evaluation of Surface Roughness Reduction in TPU 95A Samples Using Ferromagnetic Liquid Machining
by Natalia Kowalska, Slawomir Blasiak, Michał Skrzyniarz, Paweł Szczygieł, Wiktor Szot and Mateusz Rudnik
Materials 2025, 18(21), 4939; https://doi.org/10.3390/ma18214939 - 29 Oct 2025
Viewed by 436
Abstract
Additive manufacturing technologies are characterised by the capability to produce components with complex geometries that are difficult to achieve using conventional methods. Despite the wide range of available materials and additive manufacturing processes, fulfilling design requirements related to surface structure parameters remains a [...] Read more.
Additive manufacturing technologies are characterised by the capability to produce components with complex geometries that are difficult to achieve using conventional methods. Despite the wide range of available materials and additive manufacturing processes, fulfilling design requirements related to surface structure parameters remains a considerable challenge. This paper presents the findings of an investigation into the influence of abrasive treatment of a ferromagnetic fluid on the surface roughness of MEX-printed samples. The samples were fabricated using TPU 95A material. The abrasive medium employed in the study comprised carbonyl iron and silicon carbide. A dedicated tool was designed for the experiments, incorporating neodymium magnets arranged in four asymmetrically distributed slots. The proposed tool represents an unconventional approach in comparison with existing practices. Tests were conducted in three measurement series—B, C, and D—while series A served as the control group. Analysis of the experimental results revealed that, for the parameters Sp (height of the highest apex) and Sz (maximum height, defined as the sum of Sp and Sv, representing the height of the highest apex and the maximum pit depth, respectively), the most significant reduction in parameter values was observed for series D. Full article
(This article belongs to the Section Manufacturing Processes and Systems)
Show Figures

Figure 1

17 pages, 23520 KB  
Article
Activation of Iron Tailings with Organic Acids: A Sustainable Approach for Soil Amelioration
by Hui-Chen Wang, Zi-Hao Zhao, Dong-Yun Han, Xiao-Hong Wang, Xue-Tao Yuan and Yan-Jun Ai
Sustainability 2025, 17(20), 9308; https://doi.org/10.3390/su17209308 - 20 Oct 2025
Cited by 1 | Viewed by 680
Abstract
The large-scale accumulation of iron tailings poses serious environmental challenges and represents a significant loss of potential resources. Due to the stable silicate mineral structure of iron tailings, essential nutrient elements remain encapsulated, resulting in low bioavailability and limited uptake by plants. This [...] Read more.
The large-scale accumulation of iron tailings poses serious environmental challenges and represents a significant loss of potential resources. Due to the stable silicate mineral structure of iron tailings, essential nutrient elements remain encapsulated, resulting in low bioavailability and limited uptake by plants. This characteristic greatly restricts their direct use in agricultural applications. To overcome this limitation, this study employed three organic acids, namely citric acid, oxalic acid, and acetic acid, to activate iron tailings. The activation efficiency was systematically evaluated, and the effects of activated iron tailings on plant growth were assessed through pot experiments. The results showed that all three organic acids significantly enhanced the release of available silicon and iron from iron tailings, with oxalic acid exhibiting the highest activation capacity, increasing available Si and Fe to 882.99 mg/kg and 395.41 mg/kg, respectively. Pot experiments further revealed that the organic acid–iron tailing composites markedly improved soil nutrient availability, with available potassium, phosphorus, alkali-hydrolyzable nitrogen, iron, and silicon increasing by 50.03%, 95.99%, 82.59%, 163.21%, and 200.01%, respectively. Consequently, plant growth was substantially enhanced, including increases in plant height (29.49%), shoot fresh weight (41.62%), and shoot dry weight (39.89%). This study provides a novel and sustainable strategy for the valorization of iron tailings as an agricultural resource and soil amendment, demonstrating considerable potential for both environmental remediation and agronomic improvement. Full article
Show Figures

Figure 1

23 pages, 1884 KB  
Review
Silicon Photocatalytic Water-Treatment: Synthesis, Modifications, and Machine Learning Insights
by Abay S. Serikkanov, Nurlan B. Bakranov, Tunyk K. Idrissova, Dina I. Bakranova and Danil W. Boukhvalov
Nanomaterials 2025, 15(19), 1514; https://doi.org/10.3390/nano15191514 - 3 Oct 2025
Viewed by 1028
Abstract
Photocatalytic technologies based on silicon (Si-based) nanostructures offer a promising solution for water purification, hydrogen generation, and the conversion of CO2 into useful chemical compounds. This review systematizes the diversity of modern approaches to the synthesis and modification of Si-based photocatalysts, including [...] Read more.
Photocatalytic technologies based on silicon (Si-based) nanostructures offer a promising solution for water purification, hydrogen generation, and the conversion of CO2 into useful chemical compounds. This review systematizes the diversity of modern approaches to the synthesis and modification of Si-based photocatalysts, including chemical deposition, metal-associated etching, hydrothermal methods, and atomic layer deposition. Heterostructures, plasmonic effects, and co-catalysts that enhance photocatalytic activity are considered. Particular attention is drawn to the silicon doping of semiconductors, such as TiO2 and ZnO, to enhance their optical and electronic properties. The formation of heterostructures and the evaluation of their efficiency were discussed. Despite the high biocompatibility and availability of silicon, its photocorrosion and limited stability require the development of protective coatings and morphology optimization. The application of machine learning for predicting redox potentials and optimizing photocatalyst synthesis could offer new opportunities for increasing their efficiency. The review highlights the potential of Si-based materials for sustainable technologies and provides a roadmap for further research. Full article
(This article belongs to the Section Energy and Catalysis)
Show Figures

Figure 1

11 pages, 2095 KB  
Article
Molecular Mechanisms of Silicone Network Formation: Bridging Scales from Curing Reactions to Percolation and Entanglement Analyses
by Pascal Puhlmann and Dirk Zahn
Polymers 2025, 17(19), 2619; https://doi.org/10.3390/polym17192619 - 27 Sep 2025
Viewed by 622
Abstract
The curing of silicone networks from dimethylsilanediol and methylsilanetriol chainbuilder–crosslinker precursor mixtures is investigated from combined quantum/molecular mechanics simulations. Upon screening different crosslinker content from 5 to 15%, we provide a series of atomic-resolution bulk models all featuring 98–99% curing degree, albeit at [...] Read more.
The curing of silicone networks from dimethylsilanediol and methylsilanetriol chainbuilder–crosslinker precursor mixtures is investigated from combined quantum/molecular mechanics simulations. Upon screening different crosslinker content from 5 to 15%, we provide a series of atomic-resolution bulk models all featuring 98–99% curing degree, albeit at rather different arrangement of the chains and nodes, respectively. To elucidate the nm scale alignment of the polymer networks, we bridge scales from atomic simulation cells to graph theory and demonstrate the analyses of 3-dimensional percolation of -O-Si-O- bonds, polydimethylsiloxane branching characteristics and the interpenetration of loops. Our findings are discussed in the context of the available experimental data to relate heat of formation, curing degree and elastic properties to the molecular scale structural details—thus promoting the in-depth understanding of silicone resins. Full article
(This article belongs to the Special Issue Silicon-Based Polymers: From Synthesis to Applications)
Show Figures

Figure 1

Back to TopTop