A Novel Model Chain for Analysing the Performance of Vehicle Integrated Photovoltaic (VIPV) Systems
Abstract
1. Introduction
- Optical Model analyzes how sunlight interacts with the vehicle’s surface, considering factors such as shading and the effects of the vehicle’s body curvature.
- Thermal Model examines the temperature variations in PV modules due to environmental conditions and heat dissipation, as temperature significantly impacts PV efficiency.
- Electrical Model simulates the electrical behavior of the PV system, including energy generation and power output.
2. Methodology
2.1. Optical Model
VIPVLIB
2.2. Thermal Model
2.3. Electrical Model
2.4. Vehicle Model
3. Case Study
Vehicle Motion
- Full Capacity: In this scenario, the minibus operates with a constant number of passengers, assuming full capacity of 22 passengers for the entire trip duration.
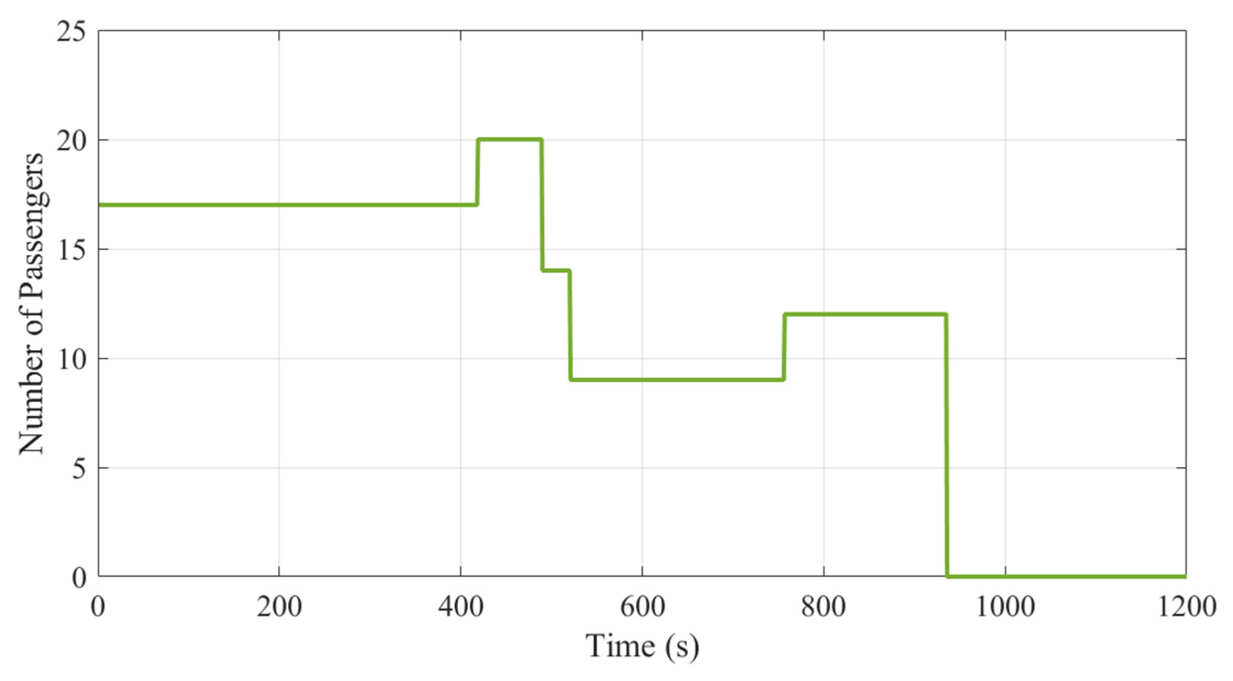
- Variable Passenger Count: The number of passengers changes dynamically at each stop, reflecting real-world boarding and alighting patterns (as illustrated in Figure 7).
4. Results and Discussion
4.1. Analysis of VIPV System Performance
4.1.1. Optical Model
4.1.2. Thermal Model
4.1.3. Electrical Model
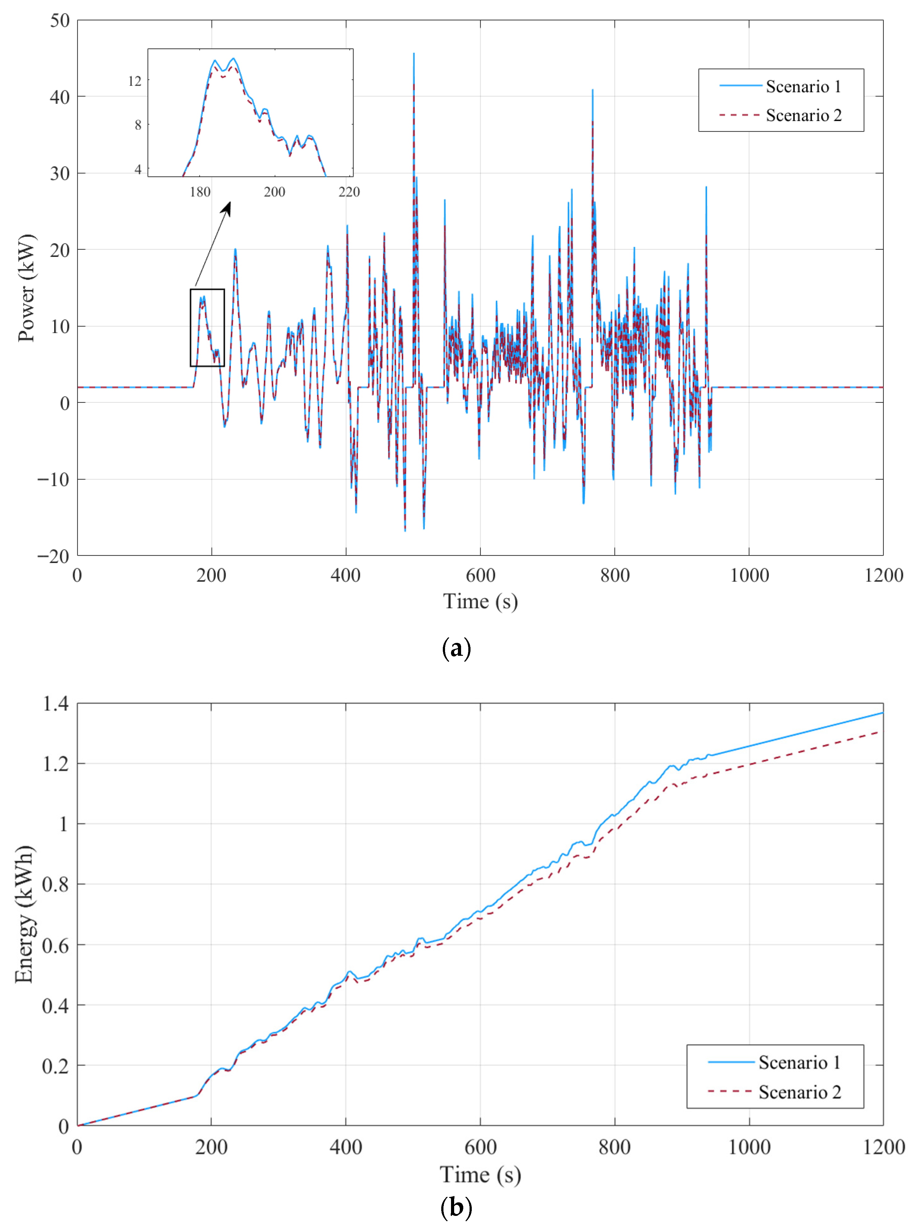
4.2. Analysis of Different Operating Scenarios on Energy Consumption
4.3. Analysis of CO2 Emissions by Vehicle Type
5. Conclusions
Author Contributions
Funding
Data Availability Statement
Conflicts of Interest
Glossary
| Effective PV area () | Nominal Operating Cell Temperature (°C) | ||
| Available geometric surface area of the vehicle () | Power output of the PV system (W) | ||
| Frontal area () | Total power consumption (W) | ||
| Air mass | PV module temperature (°C) | ||
| CO2 conversion factor of the fuel () | Air temperature (°C) | ||
| Air drag coefficient | Reference temperature (°C) | ||
| Rolling resistance coefficient | Constant heat transfer component () | ||
| Curvature factor | Convective heat transfer component () | ||
| Diffuse horizontal irradiance () | Vehicle speed () | ||
| Direct normal irradiance () | Fuel consumption to energy content ratio () | ||
| Day of year | Energy generation () | ||
| Extraterrestrial normal irradiance () | Wind speed () | ||
| Total energy consumption () | |||
| Grid emission intensity () | |||
| Circumsolar component | |||
| Horizon brightness factor | Greek Symbols | ||
| Aerodynamic drag force () | PV coverage ratio | ||
| Inertial force () | solar elevation angle (°) | ||
| Rolling resistance force () | Surface tilt angle (°) | ||
| Gravitational force () | Power converter efficiency | ||
| Total force () | PV module efficiency | ||
| Incident solar irradiance () | Shading efficiency | ||
| Direct (beam) irradiance () | Solar zenith angle (°) | ||
| Diffuse irradiance () | Surface azimuth angle (°) | ||
| Reflected irradiance () | Solar azimuth angle (°) | ||
| Height of the vehicle roof () | sky’s brightness | ||
| Temperature coefficient (%/°C) | sky’s clearness | ||
| Total mass | Air density () | ||
References
- Yamaguchi, M.; Masuda, T.; Nakado, T.; Yamada, K.; Okumura, K.; Satou, A.; Ota, Y.; Araki, K.; Nishioka, K.; Kojima, N.; et al. Analysis for Expansion of Driving Distance and CO2 Emission Reduction of Photovoltaic-Powered Vehicles. IEEE J. Photovolt. 2023, 13, 343–348. [Google Scholar] [CrossRef]
- Ala, G.; Di Filippo, G.; Viola, F.; Giglia, G.; Imburgia, A.; Romano, P.; Castiglia, V.; Pellitteri, F.; Schettino, G.; Miceli, R. Different Scenarios of Electric Mobility: Current Situation and Possible Future Developments of Fuel Cell Vehicles in Italy. Sustainability 2020, 12, 564. [Google Scholar] [CrossRef]
- Ala, G.; Colak, I.; Di Filippo, G.; Miceli, R.; Romano, P.; Silva, C.; Valtchev, S.; Viola, F. Electric Mobility in Portugal: Current Situation and Forecasts for Fuel Cell Vehicles. Energies 2021, 14, 7945. [Google Scholar] [CrossRef]
- Almonacid, G.; Muñoz, F.J.; de la Casa, J.; Aguilar, J.D. Integration of PV systems on health emergency vehicles. The FIVE project. Prog. Photovolt. Res. Appl. 2004, 12, 609–621. [Google Scholar] [CrossRef]
- Kronthaler, L.; Maturi, L.; Moser, D.; Alberti, L. Vehicle-integrated Photovoltaic (ViPV) systems: Energy production, Diesel Equivalent, Payback Time; an assessment screening for trucks and busses. In Proceedings of the 2014 Ninth International Conference on Ecological Vehicles and Renewable Energies (EVER); Monte-Carlo, Monaco, 25–27 March 2014, IEEE: New York, NY, USA, 2014; pp. 1–8. [Google Scholar] [CrossRef]
- Brito, M.C.; Santos, T.; Moura, F.; Pera, D.; Rocha, J. Urban solar potential for vehicle integrated photovoltaics. Transp. Res. Part D Transp. Environ. 2021, 94, 102810. [Google Scholar] [CrossRef]
- Kanz, O.; Reinders, A.; May, J.; Ding, K. Environmental Impacts of Integrated Photovoltaic Modules in Light Utility Electric Vehicles. Energies 2020, 13, 5120. [Google Scholar] [CrossRef]
- Karoui, F.; Chambion, B.; Claudon, F.; Commault, B. Integrated Photovoltaics Potential for Passenger Cars: A Focus on the Sensitivity to Electrical Architecture Losses. Appl. Sci. 2023, 13, 8373. [Google Scholar] [CrossRef]
- Karoui, F.; Claudon, F.; Chambion, B.; Catellani, S.; Commault, B. Estimation of integrated photovoltaics potential for solar city bus in different climate conditions in Europe. J. Phys. Conf. Ser. 2023, 2454, 012007. [Google Scholar] [CrossRef]
- Yamaguchi, M.; Masuda, T.; Araki, K.; Sato, D.; Lee, K.; Kojima, N.; Takamoto, T.; Okumura, K.; Satou, A.; Yamada, K.; et al. Development of high-efficiency and low-cost solar cells for PV-powered vehicles application. Prog. Photovolt. Res. Appl. 2020, 29, 684–693. [Google Scholar] [CrossRef]
- Martins, A.C.; Chapuis, V.; Virtuani, A.; Ballif, C. Robust Glass-Free Lightweight Photovoltaic Modules with Improved Resistance to Mechanical Loads and Impact. IEEE J. Photovolt. 2019, 9, 245–251. [Google Scholar] [CrossRef]
- Kim, S.; Holz, M.; Park, S.; Yoon, Y.; Cho, E.; Yi, J. Future Options for Lightweight Photovoltaic Modules in Electrical Passenger Cars. Sustainability 2021, 13, 2532. [Google Scholar] [CrossRef]
- HSamadi, H.; Ala, G.; Brano, V.L.; Romano, P.; Viola, F. Investigation of Effective Factors on Vehicles Integrated Photovoltaic (VIPV) Performance: A Review. World Electr. Veh. J. 2023, 14, 154. [Google Scholar] [CrossRef]
- Peibst, R.; Fischer, H.; Brunner, M.; Schiessl, A.; Wöhe, S.; Wecker, R.; Haase, F.; Schulte-Huxel, H.; Blankemeyer, S.; Köntges, M.; et al. Demonstration of Feeding Vehicle-Integrated Photovoltaic-Converted Energy into the High-Voltage On-Board Network of Practical Light Commercial Vehicles for Range Extension. Sol. RRL 2022, 6, 2100516. [Google Scholar] [CrossRef]
- Ota, Y.; Masuda, T.; Araki, K.; Yamaguchi, M. Curve-Correction Factor for Characterization of the Output of a Three-Dimensional Curved Photovoltaic Module on a Car Roof. Coatings 2018, 8, 432. [Google Scholar] [CrossRef]
- Wetzel, G.; Salomon, L.; Krügener, J.; Bredemeier, D.; Peibst, R. High time resolution measurement of solar irradiance onto driving car body for vehicle integrated photovoltaics. Prog. Photovolt. Res. Appl. 2022, 30, 543–551. [Google Scholar] [CrossRef]
- Araki, K.; Ota, Y.; Nishioka, K. Testing and rating of vehicle-integrated photovoltaics: Scientific background. Sol. Energy Mater. Sol. Cells 2025, 280, 113241. [Google Scholar] [CrossRef]
- Araki, K.; Ota, Y.; Nagaoka, A.; Nishioka, K. 3D Solar Irradiance Model for Non-Uniform Shading Environments Using Shading (Aperture) Matrix Enhanced by Local Coordinate System. Energies 2023, 16, 4414. [Google Scholar] [CrossRef]
- Park, C.; Park, H.; Jeon, H.; Choi, K.; Suh, J. Evaluation and Validation of Photovoltaic Potential Based on Time and Pathway of Solar-Powered Electric Vehicle. Appl. Sci. 2023, 13, 1025. [Google Scholar] [CrossRef]
- Araki, K.; Ota, Y.; Maeda, A.; Kumano, M.; Nishioka, K. Solar Electric Vehicles as Energy Sources in Disaster Zones: Physical and Social Factors. Energies 2023, 16, 3580. [Google Scholar] [CrossRef]
- Samadi, H.; Ala, G.; Brito, M.C.; Marcon, G.; Romano, P.; Viola, F. Vehicle-Integrated Photovoltaic (VIPV) for Sustainable Airports: A Flexible Framework for Performance Assessment. Sustainability 2025, 17, 9246. [Google Scholar] [CrossRef]
- Oh, M.; Kim, S.-M.; Park, H.-D. Estimation of photovoltaic potential of solar bus in an urban area: Case study in Gwanak, Seoul, Korea. Renew Energy 2020, 160, 1335–1348. [Google Scholar] [CrossRef]
- Kim, H.; Ku, J.; Kim, S.-M.; Park, H.-D. A new GIS-based algorithm to estimate photovoltaic potential of solar train: Case study in Gyeongbu line, Korea. Renew Energy 2022, 190, 713–729. [Google Scholar] [CrossRef]
- Kutter, C.; Alanis, L.E.; Neuhaus, D.H.; Heinrich, M. Yield Potential of Vehicle Integrated Photovoltaics on Commercial Trucks and Vans. 2021. Available online: https://www.researchgate.net/publication/355126708 (accessed on 8 November 2025).
- Abdelhamid, M.; Pilla, S.; Singh, R.; Haque, I.; Filipi, Z. A comprehensive optimized model for on-board solar pho-tovoltaic system for plug-in electric vehicles: Energy and economic impacts. Int. J. Energy Res. 2016, 40, 1489–1508. [Google Scholar] [CrossRef]
- Samadi, H.; Ala, G.; Imburgia, A.; Licciardi, S.; Romano, P.; Viola, F. Evaluating the Role of Vehicle-Integrated Pho-tovoltaic (VIPV) Systems in a Disaster Context. World Electr. Veh. J. 2025, 16, 190. [Google Scholar] [CrossRef]
- Samadi, H.; Hosseini, M.; Ranjbar, A.; Pahamli, Y. Thermohydraulic performance of new minichannel heat sink with grooved barriers. Int. Commun. Heat Mass Transf. 2023, 144, 106753. [Google Scholar] [CrossRef]
- Fard, M.S.; Rahimi, M.; Pahamli, Y.; Samadi, H.; Bahrampoury, R. Cooling performance of sliver solar cells in low concentration PV system with ribbed-groove mini-channel heat sink. Int. J. Therm. Sci. 2024, 200, 108955. [Google Scholar] [CrossRef]
- Hayakawa, Y.; Sato, D.; Yamada, N. Measurement of the Convective Heat Transfer Coefficient and Temperature of Vehicle-Integrated Photovoltaic Modules. Energies 2022, 15, 4818. [Google Scholar] [CrossRef]
- Yamaguchi, M.; Masuda, T.; Araki, K.; Ota, Y.; Nishioka, K.; Takamoto, T.; Thiel, C.; Tsakalidis, A.; Jaeger-Waldau, A.; Okumura, K.; et al. Analysis of temperature coefficients and their effect on efficiency of solar cell modules for pho-tovoltaics-powered vehicles. J. Phys. D Appl. Phys. 2021, 54, 504002. [Google Scholar] [CrossRef]
- Yamaguchi, M.; Ota, Y.; Masuda, T.; Thiel, C.; Tsakalidis, A.; Jaeger-Waldau, A.; Araki, K.; Nishioka, K.; Takamoto, T.; Nakado, T.; et al. Analysis for Effects of Temperature Rise of PV Modules upon Driving Distance of Vehicle Inte-grated Photovoltaic Electric Vehicles. Energy Power Eng. 2024, 16, 131–150. [Google Scholar] [CrossRef]
- Golubev, T.; Lunt, R.R. Evaluating the Electricity Production of Electric Vehicle-Integrated Photovoltaics via a Coupled Modeling Approach. In Proceedings of the 2021 IEEE 48th Photovoltaic Specialists Conference (PVSC), Fort Lauderdale, FL, USA, 20–25 June 2021; IEEE: New York, NY, USA, 2021; pp. 0155–0159. [Google Scholar] [CrossRef]
- Bharti, R.; Kuitche, J.; TamizhMani, M.G. Nominal Operating Cell Temperature (NOCT): Effects of module size, loading and solar spectrum. In Proceedings of the 2009 34th IEEE Photovoltaic Specialists Conference (PVSC), Philadelphia, PA, USA, 7–12 June 2009; IEEE: New York, NY, USA, 2009; pp. 001657–001662. [Google Scholar] [CrossRef]
- Faiman, D. Assessing the outdoor operating temperature of photovoltaic modules. Prog. Photovolt. Res. Appl. 2008, 16, 307–315. [Google Scholar] [CrossRef]
- Patel, N.; Pieters, B.E.; Bittkau, K.; Sovetkin, E.; Ding, K.; Reinders, A. Assessing the accuracy of two steady-state temperature models for onboard passenger vehicle photovoltaics applications. Prog. Photovolt. Res. Appl. 2024, 32, 790–798. [Google Scholar] [CrossRef]
- Mallon, K.R.; Assadian, F.; Fu, B. Analysis of On-Board Photovoltaics for a Battery Electric Bus and Their Impact on Battery Lifespan. Energies 2017, 10, 943. [Google Scholar] [CrossRef]
- Perez, R.; Ineichen, P.; Seals, R.; Michalsky, J.; Stewart, R. Modeling daylight availability and irradiance components from direct and global irradiance. Sol. Energy 1990, 44, 271–289. [Google Scholar] [CrossRef]
- King, D.; Kratochvil, J.; Boyson, W. Measuring solar spectral and angle-of-incidence effects on photovoltaic modules and solar irradiance sensors. In Proceedings of the Conference Record of the Twenty Sixth IEEE Photovoltaic Specialists Conference-1997, Anaheim, CA, USA, 29 September–3 October 1997; IEEE: New York, NY, USA; pp. 1113–1116. [Google Scholar] [CrossRef]
- European Commission. Photovoltaic Geographical Information System. Available online: https://re.jrc.ec.europa.eu/pvg_tools/en/ (accessed on 11 April 2024).
- Samadi, H.; Ala, G.; Brano, V.L.; Romano, P.; Viola, F.; Miceli, R. Potential and Methods of Integrating Solar Cells into Vehicles. In Proceedings of the 2023 International Conference on Clean Electrical Power (ICCEP), Sicily, Italy, 27–29 June 2023; IEEE: New York, NY, USA, 2023; pp. 715–720. [Google Scholar] [CrossRef]
- Duffie, J.A.; Beckman, W.A. Solar Engineering of Thermal Processes; Wiley: New York, NY, USA, 2013. [Google Scholar] [CrossRef]
- Rakovec, J.; Zakšek, K. On the proper analytical expression for the sky-view factor and the diffuse irradiation of a slope for an isotropic sky. Renew Energy 2012, 37, 440–444. [Google Scholar] [CrossRef]
- Ota, Y.; Araki, K.; Nagaoka, A.; Nishioka, K. Facilitating vehicle-integrated photovoltaics by considering the radius of curvature of the roof surface for solar cell coverage. Clean. Eng. Technol. 2022, 7, 100446. [Google Scholar] [CrossRef]
- Kasten, F.; Young, A.T. Revised optical air mass tables and approximation formula. Appl. Opt. 1989, 28, 4735–4738. [Google Scholar] [CrossRef]
- Anderson, K.S.; Hansen, C.W.; Holmgren, W.F.; Jensen, A.R.; Mikofski, M.A.; Driesse, A. Pvlib python: 2023 project update. J. Open Source Softw. 2023, 8, 5994. [Google Scholar] [CrossRef]
- Thiel, C.; Amillo, A.G.; Tansini, A.; Tsakalidis, A.; Fontaras, G.; Dunlop, E.; Taylor, N.; Jäger-Waldau, A.; Araki, K.; Nishioka, K.; et al. Impact of climatic conditions on prospects for integrated photovoltaics in electric vehicles. Renew. Sustain. Energy Rev. 2022, 158, 112109. [Google Scholar] [CrossRef]
- Kumar, N.M.; Ghosh, A.; Chopra, S.S. Power Resilience Enhancement of a Residential Electricity User Using Photovoltaics and a Battery Energy Storage System under Uncertainty Conditions. Energies 2020, 13, 4193. [Google Scholar] [CrossRef]
- Campagna, N.; Castiglia, V.; Gennaro, F.; Messina, A.A.; Miceli, R. Fuel Cell-Based Inductive Power Transfer System for Supercapacitor Constant Current Charging. Energies 2024, 17, 3575. [Google Scholar] [CrossRef]
- Karsan, B.M. Electric Minibus with Zero Emissions, Karsan e-JEST. Available online: https://www.karsan.com/en/e-jest-highlights#e-jest-specs (accessed on 16 September 2024).
- Fraunhofer Institute for Solar Energy Systems. Photovoltaics Report. 2024. Available online: https://www.ise.fraunhofer.de/content/dam/ise/de/documents/publications/studies/Photovoltaics-Report.pdf (accessed on 18 November 2024).
- Kumar, N.M.; Chopra, S.S.; Malvoni, M.; Elavarasan, R.M.; Das, N. Solar Cell Technology Selection for a PV Leaf Based on Energy and Sustainability Indicators—A Case of a Multilayered Solar Photovoltaic Tree. Energies 2020, 13, 6439. [Google Scholar] [CrossRef]
- European Commission. Technical Guidelines for the Preparation of Applications for the Approval of Innovative Technologies Pursuant to Regulation (EC) No 443/2009 and Regulation (EU) No 510/2011; European Commission: Brussels, Belgium, 2015. [Google Scholar]
- Lodi, C.; Seitsonen, A.; Paffumi, E.; De Gennaro, M.; Huld, T.; Malfettani, S. Reducing CO2 emissions of conventional fuel cars by vehicle photovoltaic roofs. Transp. Res. D Transp. Environ. 2018, 59, 313–324. [Google Scholar] [CrossRef]
- Lodi, C.; Gil-Sayas, S.; Currò, D.; Serra, S.; Drossinos, Y. Full-battery effect during on-board solar charging of con-ventional vehicles. Transp. Res. D Transp. Environ. 2021, 96, 102862. [Google Scholar] [CrossRef]
- Istituto Superiore per la Protezione e la Ricerca Ambientale. Efficiency and Decarbonization Indicators in Italy and in the Biggest European Countries, Edition 2023; Istituto Superiore per la Protezione e la Ricerca Ambientale: Rome, Italy, 2023. [Google Scholar]
- Miceli, R.; Viola, F. Designing a Sustainable University Recharge Area for Electric Vehicles: Technical and Economic Analysis. Energies 2017, 10, 1604. [Google Scholar] [CrossRef]
- Peyvandi, M.; Hajinezhad, A.; Moosavian, S.F. Investigating the intensity of GHG emissions from electricity pro-duction in Iran using renewable sources. Results Eng. 2023, 17, 100819. [Google Scholar] [CrossRef]
- Global Electricity Review 2023/Country and Region Deep Dives. Available online: https://ember-energy.org/latest-insights/global-electricity-review-2023/country-and-region-deep-dives/#iran (accessed on 5 July 2025).
- Zhang, X.; Xu, K. Statistical data-based prediction of carbon dioxide emission factors of China’s power generation at carbon peak in 2030. Case Stud. Therm. Eng. 2023, 51, 103633. [Google Scholar] [CrossRef]
- A2A Will Reduce Greenhouse Gas Emissions by 46% by 2030. Available online: https://www.gruppoa2a.it/en/media/press-releases/a2a-will-reduce-greenhouse-gas-emissions-46-2030 (accessed on 25 July 2025).
- Enel Boosts Its 2030 Greenhouse Gas Emission Reduction Target to 80% from 70%, SBTi-Certified. Available online: https://corporate.enel.it/content/dam/enel-common/press/en/2020-October/Enel%20SBTI%20upgraded.pdf (accessed on 7 June 2025).
- New Energy and Industrial Technology Development Organization. PV-Powered Vehicle Strategy Committee Interim Report; New Energy and Industrial Technology Development Organization: Kanagawa, Japan, 2018. [Google Scholar]
- Kanz, O.; Reinders, A.; May, J.; Ding, K. Environmental Impacts of Integrated Photovoltaic Modules in Light Utility Vehicles. In Photovoltaic Solar Energy; Wiley: New York, NY, USA, 2024; pp. 567–577. [Google Scholar] [CrossRef]
- Traverso, M.; Asdrubali, F.; Francia, A.; Finkbeiner, M. Towards life cycle sustainability assessment: An implemen-tation to photovoltaic modules. Int. J. Life Cycle Assess. 2012, 17, 1068–1079. [Google Scholar] [CrossRef]
- Hoth, P.; Heide, L.; Grahle, A.; Göhlich, D. Vehicle-Integrated Photovoltaics—A Case Study for Berlin. World Electr. Veh. J. 2024, 15, 113. [Google Scholar] [CrossRef]
- Clemente, M.; Van Sundert, L.; Salazar, M.; Hofman, T. A Framework to Estimate Life Cycle Emissions for Vehi-cle-Integrated Photovoltaic Systems. In Proceedings of the 2024 IEEE Vehicle Power and Propulsion Conference (VPPC), Washington, DC, USA, 7–10 October 2024; IEEE: New York, NY, USA, 2024; pp. 1–6. [Google Scholar] [CrossRef]
- IEA Photovoltaic Power Systems Programme (PVPS). Environmental Life Cycle Assessment of Electricity from PV Systems; International Energy Agency (IEA): Paris, France, 2023. [Google Scholar]
- Tous, L.; Govaert, J.; Harrison, S.; Carrière, C.; Barth, V.; Giglia, V.; Buchholz, F.; Chen, N.; Halm, A.; Faes, A.; et al. Overview of key results achieved in H2020 HighLite project helping to raise the EU PV industries’ com-petitiveness. Prog. Photovolt. Res. Appl. 2023, 31, 1409–1427. [Google Scholar] [CrossRef]
- Scarlat, N.; Prussi, M.; Padella, M. Quantification of the carbon intensity of electricity produced and used in Europe. Appl. Energy 2022, 305, 117901. [Google Scholar] [CrossRef]


















| Considered Dimensions [mm] | |
|---|---|
| Length | 5854 |
| Width | 2055 |
| Height | 2800 |
| Surfaces | PV Coverage [%] |
|---|---|
| Top | 60 |
| Back | 70 |
| Right | 40 |
| Left | 50 |
| PV Module | Efficiency [%] | ] | ] | ] |
|---|---|---|---|---|
| c-Si | 21.6 | − 0.47 | 30.02 | 6.28 |
| CIGS | 15.1 | − 0.45 | 22.19 | 4.09 |
| CdTe | 18.6 | − 0.34 | 23.37 | 5.44 |
| Parameter | Variable | Value |
|---|---|---|
| ] | 5000 | |
| Aerodynamic Drag Coefficient | 0.36 | |
| Rolling Resistance Coefficient | 0.011 | |
| ] | 1.202 |
Disclaimer/Publisher’s Note: The statements, opinions and data contained in all publications are solely those of the individual author(s) and contributor(s) and not of MDPI and/or the editor(s). MDPI and/or the editor(s) disclaim responsibility for any injury to people or property resulting from any ideas, methods, instructions or products referred to in the content. |
© 2025 by the authors. Published by MDPI on behalf of the World Electric Vehicle Association. Licensee MDPI, Basel, Switzerland. This article is an open access article distributed under the terms and conditions of the Creative Commons Attribution (CC BY) license (https://creativecommons.org/licenses/by/4.0/).
Share and Cite
Samadi, H.; Ala, G.; Brito, M.C.; Traverso, M.; Licciardi, S.; Romano, P.; Viola, F. A Novel Model Chain for Analysing the Performance of Vehicle Integrated Photovoltaic (VIPV) Systems. World Electr. Veh. J. 2025, 16, 619. https://doi.org/10.3390/wevj16110619
Samadi H, Ala G, Brito MC, Traverso M, Licciardi S, Romano P, Viola F. A Novel Model Chain for Analysing the Performance of Vehicle Integrated Photovoltaic (VIPV) Systems. World Electric Vehicle Journal. 2025; 16(11):619. https://doi.org/10.3390/wevj16110619
Chicago/Turabian StyleSamadi, Hamid, Guido Ala, Miguel Centeno Brito, Marzia Traverso, Silvia Licciardi, Pietro Romano, and Fabio Viola. 2025. "A Novel Model Chain for Analysing the Performance of Vehicle Integrated Photovoltaic (VIPV) Systems" World Electric Vehicle Journal 16, no. 11: 619. https://doi.org/10.3390/wevj16110619
APA StyleSamadi, H., Ala, G., Brito, M. C., Traverso, M., Licciardi, S., Romano, P., & Viola, F. (2025). A Novel Model Chain for Analysing the Performance of Vehicle Integrated Photovoltaic (VIPV) Systems. World Electric Vehicle Journal, 16(11), 619. https://doi.org/10.3390/wevj16110619

