Abstract
We report the construction of comprehensive line lists for the three stable isotopologues of silicon tetrafluoride (28SiF4, 29SiF4, and 30SiF4) using a new effective Hamiltonian and dipole moment model built from accurate ab initio potential energy and dipole moment surfaces developed in this work. The vibrational energy levels were grouped into a series of polyads up to Pmax = 19, while the ro-vibrational energy levels were computed up to Jmax = 99. Each line list covers the spectral range 0–2500 cm−1 and contains almost 500 million transitions at T = 296 K, with each being generated from 685 vibrational states and sub-states. Most of the cold and hot band transitions computed in this work were not available in the literature beforehand. The absorption cross-sections computed from the produced line lists were successfully validated by direct comparison with the experimental data measured by Pacific Northwest National Laboratory at room temperature. Most of the ro-vibrational band structures observed in the experimental spectra can now be elucidated using the line lists proposed in this work.
1. Introduction
Chemically, silicon tetrafluoride (SiF4) is a gas with high thermal stability compared to other silicon tetrahalides. The strong chemical bonds in SiF4 can be explained by its orbital energies: the 2p valence orbitals of each F atom closely match the energy of the 3s and 3p valence orbitals of the silicon atom. As a result, the Si–F bond length in SiF4 is unusually short compared to that in SiHF3, SiH2F2, and SiH3F (see, e.g., Wang et al. [1] for further details).
Environmentally, SiF4 is a pollutant gas that is widely produced in microelectronics as a byproduct of the etching of Si-based materials (Hada et al. [2]). Since fluorine is monoisotopic, 28SiF4 holds potential for producing isotopically pure (28Si) semiconductors (Ernst et al. [3]).
The abundance of SiF4 is related to that of hydrogen fluoride (HF). The highly toxic HF can be produced by hydrolysis of SiF4, which is a complex multistage chemical process (Ignatov et al. [4], Sennikov et al. [5]). HF synthesis is also possible via a mixture of SiF4 and H2 under low-pressure microwave plasma conditions (Liu et al. [6]). SiF4 has been detected in volcanic plumes of different volcanoes, in particular Mt. Etna, Vulcano (by Francis et al. [7]), Popocatépetl (by Love et al. [8], Stremme et al. [9], Taquet et al. [10,11]), and Satsuma-Iwojima (by Mori et al. [12]). It is assumed that SiF4 arises from the interaction between magmatic HF and siliceous rocks (SiO2).
From a spectroscopic point of view, SiF4 is a heavy, rigid molecule with only small amplitude motions whose vibrations exhibit a harmonic character up to high vibrational quantum numbers. This enables fast convergence of the Taylor series expansions, making the use of empirically based effective models relevant (see, e.g., the empirical studies on overtone and combination bands by Patterson and Pine [13] and McDowell et al. [14] and the theoretical study by Wang et al. [15] on the high-order canonical Van Vleck perturbation theory).
Due to its tetrahedral (Td) symmetry, SiF4 has no permanent dipole moment, which makes its pure rotational transitions extremely weak and challenging to measure (see, e.g., the recent paper by Simon et al. [16] on CF4). Early spectroscopic studies first focused on the infrared active fundamental bands ν3(F2) and ν4(F2) of the main 28SiF4 isotopologue. High-resolution Doppler-limited analyses of ν3(F2) and ν4(F2) were conducted by Patterson et al. [17] and McDowell et al. [14], respectively, using tunable diode lasers. Takami and Kuze [18] measured rotational transitions within the excited (0010) vibrational state using an infrared-microwave double resonance technique, which allowed the determination of rotational and centrifugal distortion parameters for the ground vibrational state. Later, Jörissen et al. [19] significantly extended the set of empirically determined effective Hamiltonian parameters by combining new infrared data for the ν3(F2) band with rotational transitions, including those of the ground vibrational state (see also reference [20]).
Unlike early works, the recent high-resolution studies by Boudon et al. [21,22] and Merkulova et al. [23] were focused on all three isotopologues simultaneously: 28SiF4, 29SiF4, and 30SiF4. Given the relatively high abundances of 29SiF4 and 30SiF4 (4.7% and 3.1%, respectively), some of their absorption features are clearly distinguishable in the spectrum of natural SiF4 (hereafter, “natural” means that all the three isotopologues are presented), particularly in the region of the strongest ν3(F2) band. Boudon et al. [21] used FTIR measurements based on the synchrotron radiation to assign the ν3(F2) and ν4(F2) bands of all three isotopologues. Moreover, the line positions of the 2ν4(F2) band of 28SiF4 were assigned for the first time. The line positions of the combination bands ν2 + ν3(F1, F2), ν1 + ν4(F2), and ν2 + ν4(F1, F2) were also assigned and fitted for 28SiF4, while ν1 + ν3(F2) was analyzed for all three isotopologues in reference [23].
Despite recent progress, the available room temperature line lists for such heavy molecules are far from complete. Indeed, at T = 296 K, SiF4 exhibits a very dense and congested spectrum due to having a tremendous number of hot transitions. As a result, most of the recent studies have been essentially focused on lower temperatures (e.g., at T = 160 K in reference [21]). As demonstrated in this work, nearly half a billion transitions were needed to converge the sum of intensities at T = 296 K in the spectral region of 0–2500 cm−1, using a new effective model which is able to predict more than 2000 bands and sub-bands. Needless to say, such a vast amount of data is difficult to extract from experimental spectra. Therefore, this work extends the current knowledge on the SiF4 spectra and supplements the results presented in the recently made empirical database TFSiCaSDa (Richard et al. [24]).
In this study, we present global line lists for 28SiF4, 29SiF4, and 30SiF4 computed from extensive quantum-chemical and advanced nuclear-motion calculations. First, ab initio potential energy and dipole moment surfaces (hereafter, PES and DMS) have been constructed and presented in Section 2 and Section 3. Then, the Watson–Eckart nuclear-motion Hamiltonian—was employed to compute variational eigenpairs up to J = 15 before a numerical block-diagonalization procedure was applied to build a full effective polyad model (Section 4). The ro-vibrational energy levels enabled computation of the partition function required for the Boltzmann distribution (Section 5). We also investigated how optimal cut-off values for the rotational angular momentum (J) and line intensities can be chosen (Section 6). Finally, simulated absorption cross-sections of natural SiF4 were validated against experimental data from the Pacific Northwest National Laboratory (hereafter, PNNL) [25] (Section 7).
2. Analytical Model of the PES and DMS
The analytical model of the PES () and DMS () was expressed as a Taylor series expansion in terms of irreducible tensor operators (ITOs) :
where represents expansion coefficients to be fitted, while each ITO of degree p in the symmetry coordinates is expressed as follows:
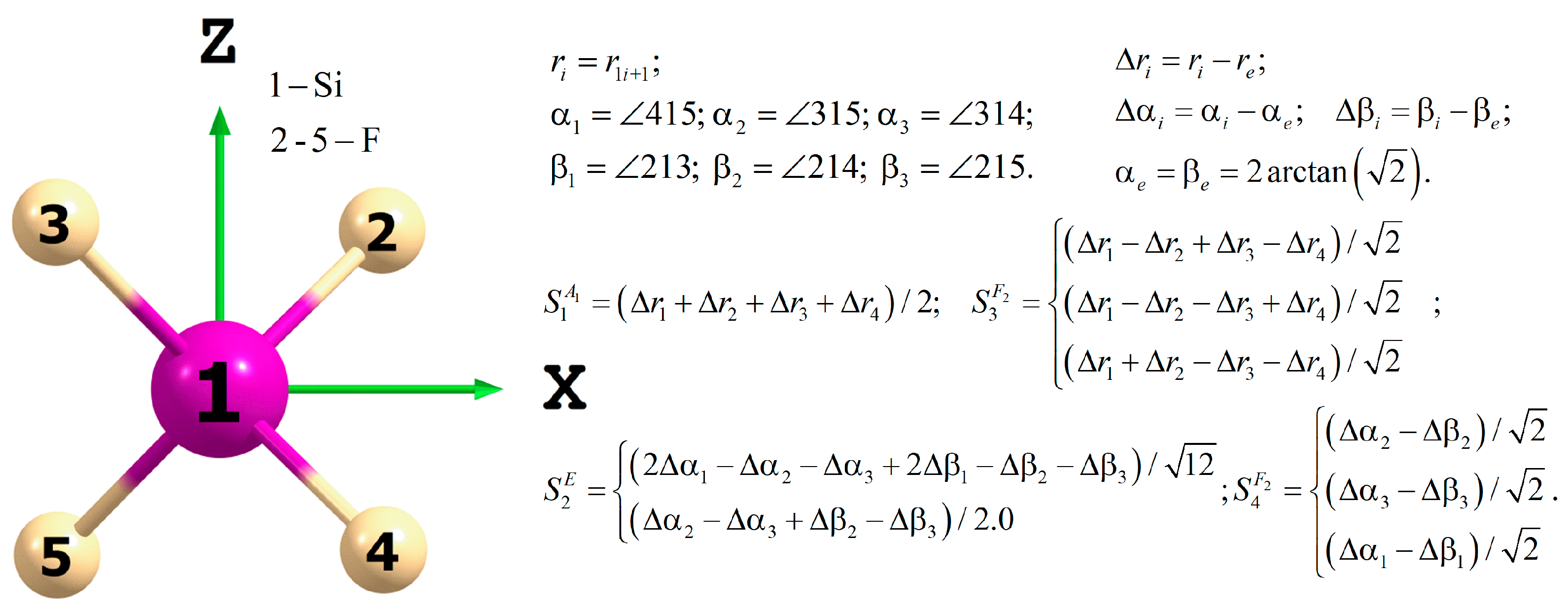
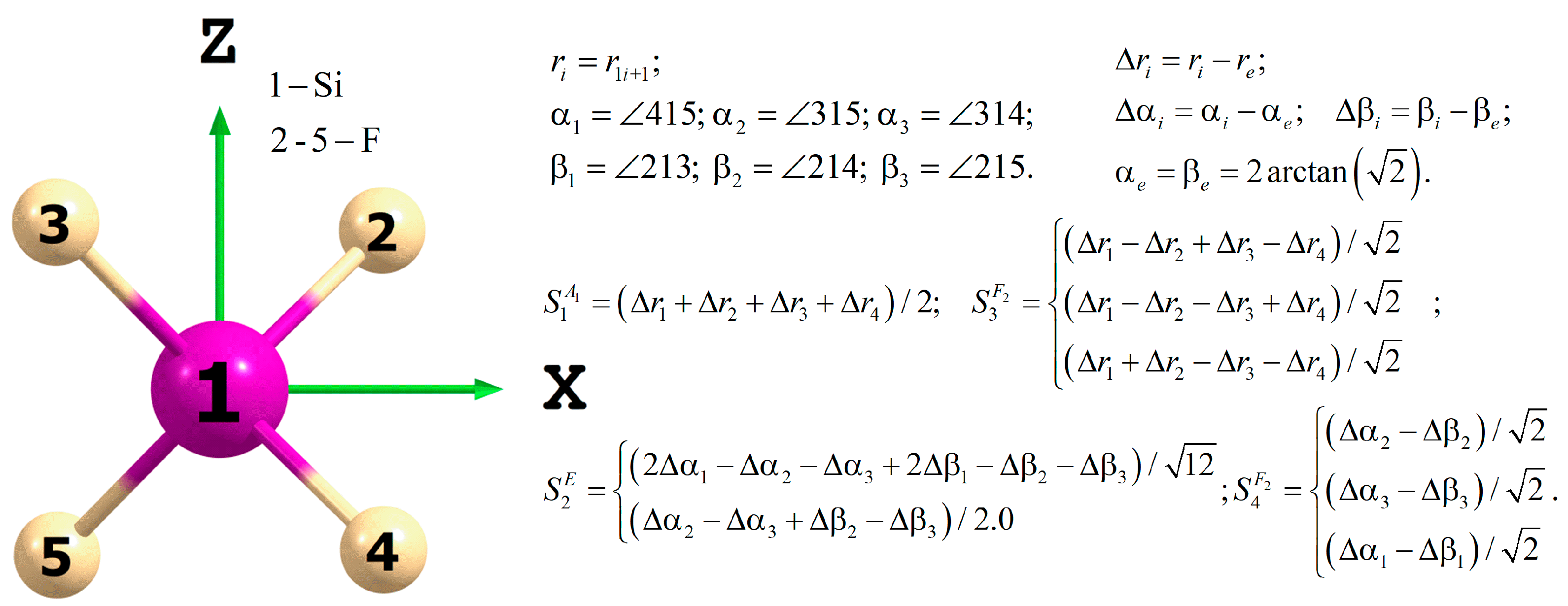
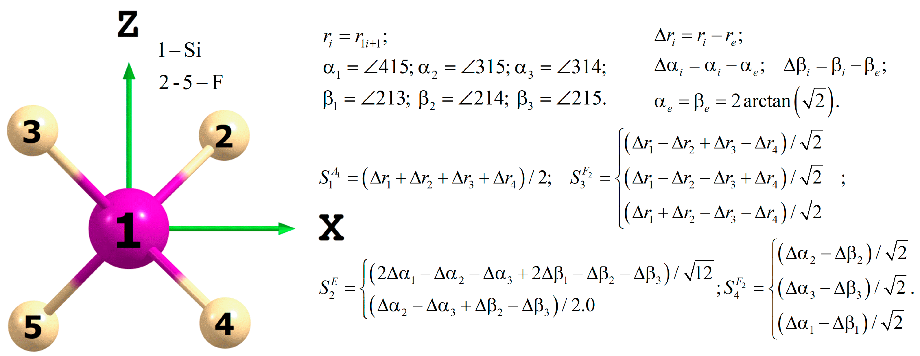
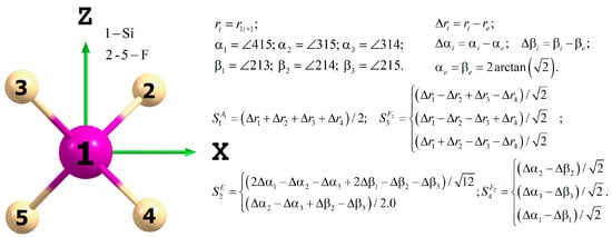
Here, the expansion coefficients are computed from the Td Clebsch–Gordan coupling coefficients. Each term in Equation (1) is of order p and transforms as the totally irreducible representation of the Td point group for the PES and as for the DMS. Since SiF4 is a spherical top molecule, only one component of the DMS is necessary. In this work, we considered the x component (). The definition of the one—(), two—(), and three—( and ) dimensional symmetry coordinates as a function of the internal ones is given in Figure 1.
Figure 1.
Definition of the internal and symmetry coordinates for SiF4.
The use of symmetry coordinates combined with ITOs allows us to significantly reduce the number of unknown expansion coefficients , as each ITO in Equation (2) is a polynomial function in S. As a result, a compact set of linearly independent parameters are obtained from the fit to the ab initio grid, even for non-Abelian point groups such as Td. Previously, the ITO formalism was successfully employed to construct the PESs of different polyatomic molecules, including those with Td symmetry such as CF4 [26].
The grid of reference nuclear configurations was made by varying the symmetry coordinates according to the nonzero symmetry components of ITOs. As illustrated in Figure 1, the deviation of the symmetry coordinates from zero results in corresponding deviations of the internal coordinates from their equilibrium values. However, to ensure an unambiguous correspondence between the internal coordinates used in this work and those employed in ab initio packages such as MOLPRO, all ab initio calculations were performed using the 3N Cartesian coordinates (here, N = 5). The Cartesian coordinates were obtained by solving a system of 3N equations:
In Equation (3), is the column vector consisting of the nine symmetry coordinates (see Figure 1), while represents their deviations from zero, which are unique for each point of our grid. The vectors denote the Cartesian displacements of the i-th atom from the reference Cartesian position contained in the vector . The last six equations in Equation (3) correspond to the first and second Eckart constraint conditions for rigid molecules (see, e.g., Papoušek and Aliev [27]). The reference Cartesian vector is defined such that the atoms are positioned at the corners of the cube, which has side lengths of . The relation between the symmetry and Cartesian coordinates in Equation (3) was established by using the standard formulas:
Finally, to fit the ab initio points, it is more convenient to use Morse-cosine functions
instead of the , , and displacements involved in the symmetry coordinates (see Figure 1). The use of Equation (5) improves the asymptotic behavior of the model beyond the reference nuclear configurations.
3. Ab Initio Calculations
3.1. PES
The ab initio electronic structure calculation for SiF4 is computationally demanding because it requires computing the correlation energy for 50 electrons. To our knowledge, no full-dimensional ab initio PES for SiF4 has been developed so far. On the other hand, SiF4 is ideally suited to applying a single-reference approach, as the vertical excitation energies to the nearest triplet and single excited electronic states are extremely high compared to the IR spectral range of 98,700 and 100,250 cm−1, respectively, as estimated in this work at the CAS(24, 16)/MRCISD(Q)/AVQZ level of the theory.
To achieve an accuracy of ~1 cm−1 when predicting the vibrational band origins from the ab initio PES, the orbital basis set size must approach the complete basis set (CBS) limit. Furthermore, corrections due to high-order electronic correlations, scalar relativistic effects, and diagonal Born–Oppenheimer corrections (DBOCs) must also be included. In this study, we have developed two ab initio PESs for SiF4 (hereafter referred to as PES_I and PES_II), based on the simplified explicitly correlated [RHF-CCSD(T)-F12x{x = a, b}] methods by Knizia et al. [28] and implemented in MOLPRO (by Werner et al. [29,30]).
For PES_I, the RHF-CCSD(T)-F12a method was combined with the VTZ-F12 basis set. This type of approach is already used in the literature for Van der Waals complexes and other many-electron systems. The calculations were performed on a grid (Grid_I) consisting of 8440 nuclear configurations that were generated using the eighth order ITOs. The resulting ab initio energies were thus fitted using 192 expansion coefficients (see Equation (1)) with a root mean square (RMS) deviation of 0.02 cm−1.
According to Table 1, PES_I is able to predict the fundamental band origins with an average absolute error of ~4 cm−1. This turns out to be a good result given the relatively modest computational cost of the RHF-CCSD(T)-F12a/VTZ-F12 approach. Specifically, this approach is about 75 times faster per point than the “standard” RHF-CCSD(T) method combined with the aug-cc-pV5Z basis set, while it is only 7 times slower than the rough RHF-CCSD(T)/VTZ approach.
Table 1.
Fundamental band origins (in cm−1) of 28SiF4 variationally calculated (see Section 4) using the two “pure” ab initio PESs developed in this work.
In order to compute the correlation energy from all electrons of SiF4 (i.e., core–core, core–valence, and valence–valence contributions), the RHF-CCSD(T)-F12b method was combined with the CVQZ-F12 basis set. Additionally, a smaller grid (Grid_II) consisting of 178 nuclear configurations was constructed using ITOs expanded up to the fourth order. Single-point calculations took up to 2 h for the D2 and C2 symmetries and up to 8 h without any symmetry.
Based on earlier benchmark calculations (e.g., for the S2O molecule with 40 electrons [31]), it is known that the explicitly correlated RHF-CCSD(T)-F12b/CVQZ-F12 approach provides results comparable with the aug-cc-pCV5Z basis set associated with the RHF-CCSD(T) method. However, when core electrons are included, corrections from high-order Slater determinants are required; otherwise, the predicted band origins tend to be overestimated. To address this, the CCSDT(Q)/VDZ approach was utilized in the MRCC package (by Kállay et al. [32,33]) for Grid_II. These calculations took from 3 to 9 h per point, depending on the molecular symmetry.
Next, we have computed the two energy differences: [RHF-CCSD(T)-F12b/CVQZ-F12]–[RHF-CCSD(T)-F12a/VTZ-F12] and [CCSDT(Q)–CCSD(T)]/VDZ. They were summed and then fitted using expansion (1) up to the fourth order, yielding a RMS deviation of 0.03 cm−1. The fitted parameters were used to predict the summed energy difference for all points of Grid_I, bringing them to the RHF-CCSD(T)-F12b/CVQZ-F12 + CCSDT(Q)/VDZ level of the theory. The fit of the corrected energies of Grid_I yielded PES_II, with the same number of expansion coefficients and the same RMS error as PES_I.
The fundamental band origins predicted using PES_II agree with the empirical values within 1 cm−1, with a RMS error of only 0.65 cm−1. To our knowledge, this represents the most accurate ab initio description to date of the fundamentals for a “heavy” Td-type molecule. For comparison, previous ab initio calculations for CF4 [26] reproduced the ν3 band with a discrepancy of 5 cm−1, using a smaller VQZ basis set without any high-level corrections. Consequently, the present results validate the use of advanced ab initio methods for rigid, many-electron molecules such as SiF4.
We should stress the fact that no scalar relativistic and DBOC corrections were included here because their contributions to the band origins are about an order of magnitude smaller than those from the high-order electronic correlations. Including such corrections is justified only when the ab initio energies are close to the CBS limit. As shown in Table 2, PES_II systematically underestimates all the fundamental band origins due to the lack of convergence of the ab initio energies with respect to the orbital basis set size. This is typical of the RHF-CCSD(T)-F12b/CVQZ-F12 approach.
Table 2.
Ab initio derivatives (in Debye, this work) with respect to the infrared modes q3 and q4 of 28SiF4.
Our final PES was obtained by refining the quadratic force constants of PES_II as well as the equilibrium geometry using the empirical data of Boudon et al. [22]. After refinement, the fundamental band origins now agree within 10−3 cm−1 while the equilibrium geometry matches within 10−4 Ang. (see Table 1).
3.2. DMS
The ab initio values of the electric dipole moment were calculated via the finite difference method as the first derivative of the potential energy with respect to the electric field: ΔV/Δf. The field (f) was applied along the x axis with two magnitudes: 0.0005 and −0.0005 a.u.
In order to check the convergence with respect to the orbital basis set size, two approaches were tested: RHF-CCSD(T)-F12a/AVTZ and RHF-CCSD(T)-F12b/AVQZ. As illustrated in Table 2, the first derivatives of the DMS with respect to the normal mode coordinates q3(F2) and q4(F2) show good convergence, with a difference between the two approaches of 0.0003 and 0.0004 Debye for and , respectively. Accordingly, the less computationally demanding RHF-CCSD(T)-F12a/AVTZ approach was used to calculate the ab initio values of the electric dipole over the full grid of 2385 nuclear configurations. This grid covers the sixth-order ITO polynomials of symmetry F2. The final fit of the ab initio reference values achieved a RMS error of 10−5 Debye using 273 expansion parameters.
According to Table 2, the first derivatives of our ab initio DMS are in an excellent agreement with the empirical results obtained by Burtsev et al. [34] from the Raman spectrum of crystalline SiF4, originally measured by Bernstein et al. [36]. It is worth mentioning that the values of the first derivatives obtained from an empirical effective model differ from those given in Table 2. According to the recent empirical study by Boudon et al. [21], the effective first derivative extracted from the analysis of the line intensities of the ν3(F2) band was estimated as 0.5444 (38) Debye. This is about 28% larger than the present result. We suggest two main reasons to explain such a discrepancy. First, the missing hot transitions may have a significant impact on the spectrum of the gaseous SiF4, even at lower temperatures (in particular at T = 160 K, as considered in reference [21]), making the extraction of the line intensities of the cold bands hazardous without support of theoretical predictions. Second, only a limited number of effective dipole moment parameters was determined from analysis of the high-resolution spectra. Finally, most of the resonance interactions between the energy levels were omitted in the empirical models, which led to an incomplete set of diagonal and non-diagonal parameters. Here, the term “diagonal” refers to a parameter associated with creation and annihilation operators with the same powers. Undoubtedly, the spectral analysis using a global effective model with ab initio-determined parameters should provide more consistent results.
4. Effective Hamiltonian and Dipole Moment Operator
Variationally computing the energy levels and eigenfunctions of a five-atomic, heavy molecule like SiF4 remains a challenging task. In the previous study, the nuclear-motion problem was solved for CF4 [26] up to J = 80. In this work, higher J values are required to properly converge the integrated intensities. Within that context, a non-empirical effective model can be derived by applying a series of unitary transformations to the nuclear-motion Hamiltonian model, which is composed of a kinetic energy operator and the PES. As an alternative to Van Vleck, contact transformations based on perturbation theory, the novel methodology proposed in reference [37], were employed in this work. In this approach, instead of transforming the Hamiltonian, we search for a unitary transformation that brings selected variational eigenfunctions into a block-diagonal form, following a polyad scheme P. The corresponding matrix representation of the block-diagonal, effective Hamiltonian is thus obtained from the transformed eigenvectors and variational rotation-vibration energy levels. The key advantage of this approach is in the simultaneous construction of an effective dipole moment operator.
Step 1: Variational calculation. Nuclear-motion calculations were first performed using the “rigid” version of the computer code TENSOR [38], based on the Eckart–Watson [39] ro-vibrational Hamiltonian expressed in terms of normal-mode ITOs. Both the kinetic energy and potential parts were Taylor expanded at order 12 in terms of the nine coordinates (q1, q2(a,b), q3(x,y,z), q4(x,y,z)) describing the SiF4 vibrations, before the polynomial expansion was reduced at order 6, following the strategy of reference [38]. This strategy was already applied for computing accurate spectroscopic line lists of different semirigid molecules (for example, references [40,41,42]), including molecules with Td symmetry [26]. For nonrigid molecules, the “hybrid” version of the TENSOR code [43] based on the Hougen–Bunker–Johns formalism was developed and successfully applied to the quasilinear triplet CH2 [44] as well as on the nonrigid NH3, CH3, and H2O2 molecules (see reference [43] and references therein).
To achieve a convergence better than 10−3 cm−1 for the vibrational levels up to 2500 cm−1, 15,708, 13,784, 29,454, 42,790, and 44,714 basis functions were used in the variational calculation for the symmetry blocks A1, A2, E, F1, and F2, respectively. Among all these basis functions, respectively, 753, 520, 1259, 1700, and 1933 functions were selected to define reduced vibrational eigenfunctions for solving the J > 0 problem. Like for CF4 or SF6, the normal-mode representation is very well suited for SiF4, allowing a fast convergence of both the Hamiltonian expansion and variational calculation. It is worth mentioning that the atomic masses were employed here to approximately account for non-adiabatic effects. In this work, the rotation-vibration eigenpairs were obtained and stored up to J = 15, before applying a series of transformations. Unlike DVR-like calculations, all quantum numbers are provided in a quite straightforward manner.
Step 2: Effective model. The variationally computed eigenvector matrices characterized by J and the total symmetry C were then block diagonalized using a transformation T(J,C), following a specific polyad scheme in order to include the most relevant resonance coupling terms. A proper characterization of all the resonance couplings is very challenging when using an empirical approach, mostly due to missing information on the so-called “dark states” that may lead to poorly defined spectroscopic parameters. This is not the case when using ab initio calculations, which account for almost all possible resonances. In this work, an effective model was defined by following the polyad scheme P = 6υ1 + 2υ2 + 8υ3 + 3υ4, up to Pmax = 19, to cover the range 0–2500 cm−1. Note that the polyad number P = 1 is missing using this definition so that our rotation-vibrational states will be labelled by J, C, n, and P, with P = 0, 2, 3, …, 19. Here, n is a ranking number sorting the energy levels in increasing order for a given (J, C, P) block. At this stage, the obtained block-diagonal Hamiltonian matrices H(J,C,P) up to J = 15 and P = 19 are nothing but matrix representations of an effective Hamiltonian with a set of parameters determined through an iterative procedure (see reference [37]).
In this work, a global effective Hamiltonian was expanded in creation-annihilation operators up to order 14 in order to include the band 7ν2. The maximum rotational degree was 6—except for the ground vibrational state where it was 8—resulting in 32,990 Hamiltonian parameters up to P = 19. For line intensity calculations, T(J,C) was used to transform the matrix of the dipole moment components of the laboratory-fixed frame. Finally, all Pm–Pn (m = 0, …, 19, n = 0, …, 12) transitions were computed using 58,594 ITOs of symmetry F2.
The polyad structure of 28SiF4 obtained in this work is depicted in Figure 2 (left panel). A total of 685 excited vibrational sub-states were computed using this scheme. The energy gap between the lowest polyad is about 124 cm−1, but it decreases gradually for higher polyads, which include many more vibrational states. For example, each of the last two polyads, namely P = 18 and P= 19, contains 136 vibrational sub-states (Figure 2, right panel). A similar polyad scheme was applied for 29SiF4 and 30SiF4.
Figure 2.
Polyad structure of the vibrational states of 28SiF4: energy scale (left panel); symmetries of the states inside each polyad (right panel).
Finally, more than 95% of the vibrational band and sub-bands produced by our effective model have never been empirically studied so far. All these states led to a tremendous number of hot transitions required for converging the opacity at T = 296 K.
5. Partition Function
To estimate the maximum value Jmax for each polyad as well as the population of a ro-vibrational state at a given temperature (T), we can compute the partition function
where [J × s] and [J × K−1] are the Planck and Boltzmann constants; is the speed of light [cm × s−1]; is the statistical weight of the energy level [cm−1]. The total statistical weight is given by g = gev grot, where gev corresponds to the electronic and vibrational degeneracies, while the rotational part grot is the product of the (2·J + 1) degeneracy in the absence of an external electromagnetic field with the nuclear spin statistical weight.
For the main isotopologue 28SiF4, the nuclear spins of the atoms are I(28Si) = 0 and I(19F) = 1/2. Thus, 28SiF4 has the same nuclear statistical weights as those of 12CH4, namely 5, 5, 2, 3, and 3 for the A1, A2, E, F1, and F2 symmetries of the Td point group. 30SiF4 has the same weights since I(30Si) = 0. The case of the 29SiF4 isotopologue is different because of I(29Si) = 1/2 leading to a state-independent weight of 2. However, the state-independent weight does not change the line intensity and will therefore be omitted.
Equation (6) was summed over 4,826,347 energy levels computed from our new effective Hamiltonian. From the direct sum (6), the partition function of 28SiF4 is 442,170. Using the product approximation , the value of the partition function differs by 0.5%, being 440,028. This approximation is used when a full set of energy levels is not available, in particular in the HITRAN database (see Gamache et al. [45]). For the two other isotopologues, the direct sum (6) gives 444,226 (29SiF4) and 446,257 (30SiF4), which are close, within 0.46% and 0.92%, to that of 28SiF4.
As shown in Figure 3, the partition function is converged for energy levels up to J = 60 for the temperature range T = 100–150 K. At room temperature (296 K), the difference between J = 98 and J = 99 is below 0.05%, so Jmax = 99 was considered in this study.
Figure 3.
Convergence of the partition sum of 28SiF4 at different temperatures.
6. Cut-Off Values and Super-Lines
Selecting appropriate cut-off values for line intensities and the angular momentum J for each polyad of SiF4 can be a tricky task due to the huge number of the transitions. At a fixed intensity cut-off, the number of transitions may change significantly, even by incrementing J.
The intensities [cm−1/(molecule·cm−2)] of the ro-vibrational transitions were computed using the following formula
where the subscripts f and i refer to the final (upper) and initial (lower) states; [cm−1] is the line position, ; other definitions are explained in Equation (6). The square of the matrix element of the molecular electric dipole moment known as the line strength (see, e.g., Bunker and Jensen [46]), , was computed using the ab initio eigenfunctions of the effective Hamiltonian as well as the components of the dipole moment.
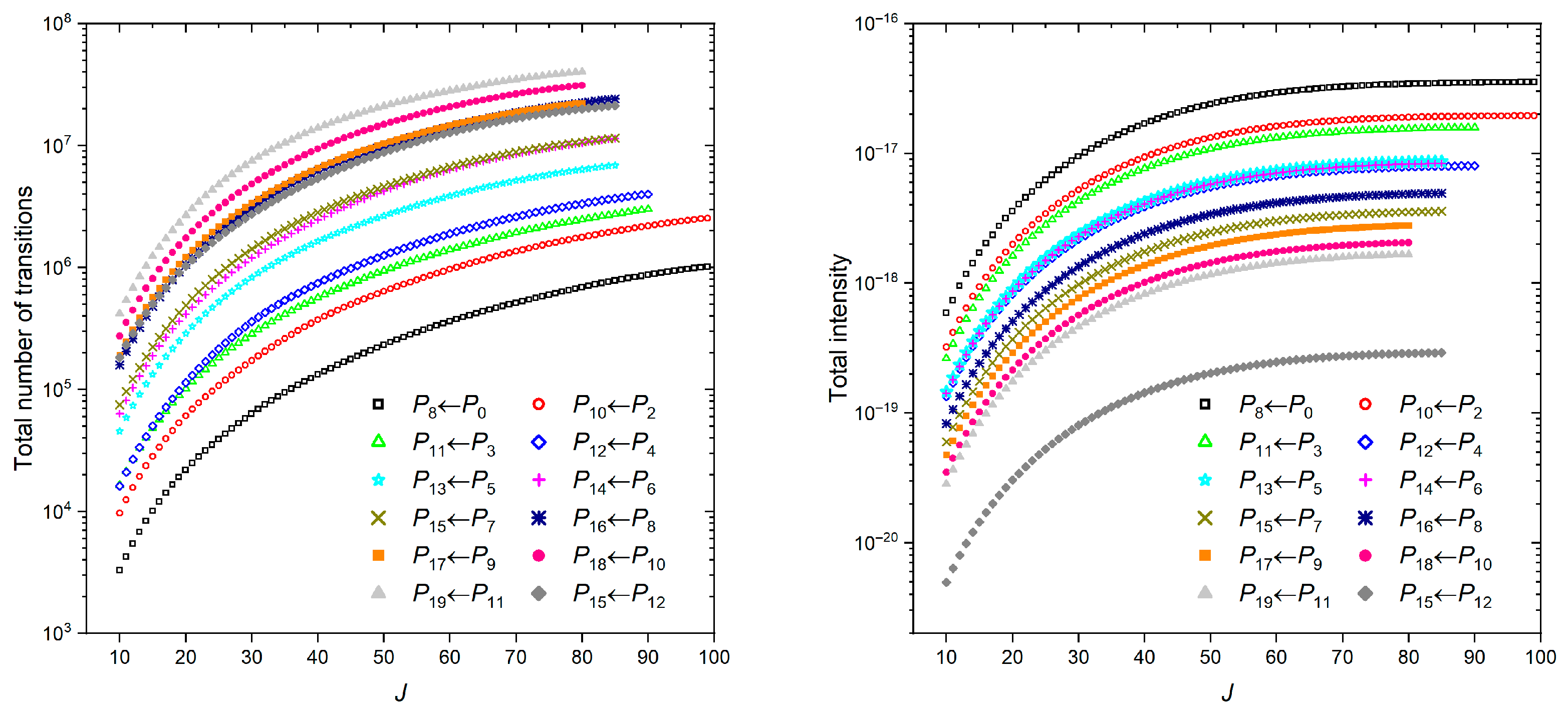
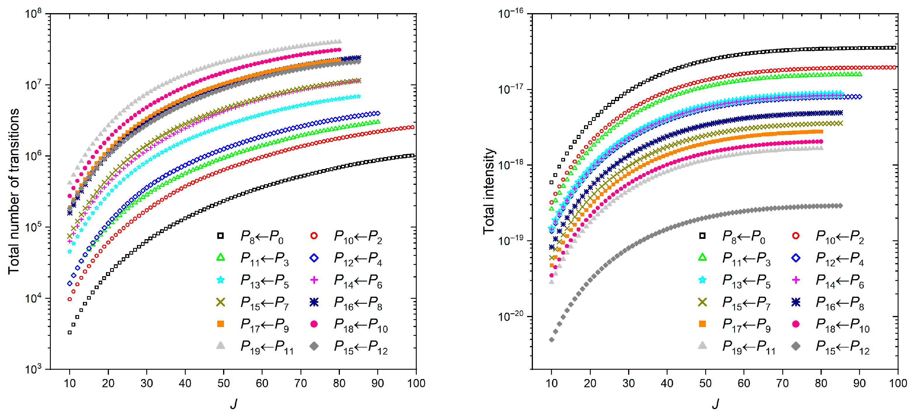
The energy levels and transitions were computed up to Jmax = 99 for the first 10 polyads, namely P = 0 and P = 2–10. Above, the Jmax value was gradually decreased, namely from Jmax = 90 (p = 11, 12) and 85 (P = 13–16) to 80 (P = 17–19). The polyad transitions with the highest numbers of lines are displayed in Figure 4 (left panel). In terms of lines, the cold bands are dominated by P8←P0, which is composed of about ≈106 lines, while the hot P19←P11 is composed of about ≈4 × 107 lines. As indicated by the polyad structure given in Figure 2, both types of interpolyad transitions are characterized by Δυ3 = ±1, which corresponds to the strongest dipole derivative with respect to the normal coordinate q3 in SiF4 (see Table 2).
Figure 4.
Number of the Pm←Pn transitions as a function of J (left panel). Convergence of the total intensity at T = 296 K for different Pm←Pn transitions (right panel).
The total intensity of the transitions follows a Boltzmann distribution (Figure 4, right panel), meaning that the contribution of the hot transitions depends on the energy of the lower polyad. For that reason, the P10←P2 and P11←P3 hot transitions rank second and third, just after P8←P0. Interestingly, the combined absorption for these two hot transitions is comparable to that of the cold one, with intensities of 3.533 × 10−17 and 3.526 × 10−17 cm−1/(molecule·cm−2) (hereafter, cm/molecule), respectively.
Figure 4 also illustrates a typical difficulty when constructing line lists of “heavy” molecules: a large number of hot transitions (e.g., P18←P10 or P19←P11) composed mainly of weak lines is involved. Actually, such transitions form a quasi-continuum absorption background, which is not resolved because of the high density of lines but cannot be ignored for proper opacity calculations, at room temperature in particular.
Following the strategy that was previously established, in particular for CF4 [26] and SF6 [41], in order to make fast spectra simulations, we have defined so-called “strong” and “weak” lines. In this approach, it was suggested to model the quasi-continuum formed by the contributions of huge amounts of very weak lines using so-called “super-lines”, which represent integrated intensity contributions on a pre-defined grid of small wavenumber and temperature intervals. The initial line list for 28SiF4—computed using a cut-off of 10−30 cm/molecule for rotational transitions and of 10−28 cm/molecule otherwise—contained nearly half a billion transitions (448,594,361) over the range of 0–2500 cm−1. This list was subsequently reduced to 18,477,082 “strong” lines by applying a cutoff of 10−25 cm/molecule. The list composed by only “strong” lines covers the range 0–2100 cm−1, while the remaining transitions were converted to super-lines using a 10−3 cm−1 step size. The line list for 29SiF4 and 30SiF4 contains similar numbers for the transitions, as the isotopic abundance was fixed to 100% for all species.
7. Validation
7.1. General Comments
The experimental PNNL spectrum of SiF4 contains various impurities resulting from its hydrolysis. Among these, SiF3OSiF3 (hereafter, Si2F6O) is the most thermodynamically favorable product [4]. The presence of Si2F6O was noted in both early and recent experimental studies (see, e.g., references [14,22,23]). As will be demonstrated in this section, the contribution of Si2F6O in the PNNL cross-sections (measured at 298 K) is comparable in magnitude to some combination, overtone, and hot bands of SiF4.
The absorption cross-sections of the natural SiF4 were simulated using the line lists of all three isotopologues. To this end, the line intensities were scaled by the following natural abundances: 0.92223, 0.04685, and 0.03092 for 28SiF4, 29SiF4, and 30SiF4, respectively. A Lorentzian line profile with a constant half-width at half-maximum (HWHM) of 0.05 cm−1 was applied. The spectral step was set to 0.06 cm−1 and the simulation was conducted at a temperature of 296 K.
Table 3 gives the integrated intensities of the bands contributing significantly to the absorption, as displayed in Figure 5. As a comparison, the simulation based on the empirical TFSiCaSDa line list is also provided. According to reference [24], the TFSiCaSDa line list includes the transitions for the two fundamental bands, ν4(F2) and ν3(F2), as well as for several hot bands associated with Δυ3 = ±1. The line intensities for these hot bands were calculated using empirical dipole moment parameters derived from ν3(F2) and obtained in reference [21] from their analysis of individual line strengths. For the ν4(F2) band, the vibrational transition moment was estimated from the measured integrated intensity in reference [22].
Table 3.
Integrated intensities of the strongest bands of 28SiF4 displayed in Figure 5.

Figure 5.
Absorption cross-sections of the natural silicon tetrafluoride (28SiF4, 29SiF4, and 30SiF4 isotopologues are included) simulated using line lists from this work in comparison with the observed data after 700 cm−1 (PNNL [25]). The strongest absorption features between 10 and 2120 cm−1 are displayed in Panels (A–L). The vibrational assignment of the dominant bands is given (their integrated intensities are presented in Table 3). The absorption due to Si2F6O is also displayed.
The line lists developed in this work were based on a global ab initio approach accounting for almost all resonance interactions in a given polyad P (Figure 2). Moreover, a complete set of effective dipole moment parameters describing both cold and hot band transitions was derived from our ab initio DMS.
7.2. Region: 0–300 cm−1
Due to SiF4 being a spherical top molecule, its rotational spectrum is mainly induced by centrifugal distortion. As shown in Table 3 and Figure 5A, the rotational transitions within the excited (0010) state are the strongest (~6 × 10−24 cm/molecule), which is consistent with the high-resolution measurements by Takami and Kuze [18]. The rotational transitions within the ground vibrational states are much weaker [20].
The hot ν4(F2)–ν2(E) band located at 124 cm−1 also falls in this region (see Figure 5B). This hot band was clearly observed in the FTIR spectrum recorded at low temperature (160 K) by Boudon et al. [22], which led to a detailed analysis of its line positions. However, to our knowledge, the line intensities have not been empirically studied yet. As shown in Table 3, the integrated intensity of ν4(F2)–ν2(E) is about two orders of magnitude greater than that of the rotational bands.
The fundamental ν2(E) band located at 264 cm−1 (see Figure 5C) is not infrared active, unlike in the Raman spectrum of SiF4 (see, e.g., Clark and Rippon [47]). There is no first derivative of the electric DMS with respect to the normal mode coordinate q2(E). Consequently, the transition moment is governed by higher-order, rotational-dependent terms in the expansion of the effective dipole moment. Nevertheless, the absorption in this spectral region is stronger. The integrated intensity of ν2(E) is of the order of 10−21 cm/molecule, similar to that of the two hot bands: 2ν2(E)–ν2(E) and 2ν2(A1)–ν2(E) (see Table 3).
7.3. Region of ν4(F2)
The sum of intensities of the hot bands associated with Δυ4 = ±1 is larger than that of the fundamental ν4(F2) band located at 388 cm−1. As a result, the position of the total absorption peak is slightly shifted to the right from the origin of the ν4(F2) band. This is clearly seen when it is compared to the simulation based on the TFSiCaSDa line list where such hot bands are missing (see Figure 5D). The integrated intensity of ν4(F2) is 6% smaller in TFSiCaSDa compared to this work (see Table 3). The effective value of 0.3706 Debye for the first derivative of the DMS with respect to q4(F2) obtained in reference [22] without analysis of the individual line strength (i.e., under the zero-order approximation) is, on the contrary, 19% larger than the ab initio-based derivative obtained in this work (Table 2). This discrepancy may be explained by the zero-order approximation considered in reference [22].
In addition, there are other types of hot bands in the right wing of ν4(F2). Among these, we can mention the strongest one, namely ν1(A1)–ν4(F2), which is located at 412 cm−1. It was considered in reference [22] in order to help in the determination of the effective parameters of the fundamental ν1(A1) band. According to our line list, the integrated intensity of the ν1(A1)–ν4(F2) hot band is about two orders of magnitude smaller than that of the fundamental ν4(F2) band, which makes it not visible in Figure 5D.
7.4. Region: 570–880 cm−1
The hot bands with Δυ3 = Δυ4 = ±1 give the main contribution to the absorption in the spectral region at 643 cm−1 (see Figure 5E). This region also includes the combination band ν2 + ν4, located at 653 cm−1, that consists of the two sub-bands, namely ν2 + ν4(F1) and ν2 + ν4(F2), analyzed in reference [23]. However, the F1 sub-band is rather weak, while the integrated intensity of the F2 sub-band is one order of magnitude smaller than that of the ν3(F2)–ν4(F2) hot band (see Table 3).
The 2ν4(E) and 2ν4(F2) bands are responsible for the prominent absorption peak at 777 cm−1. Another peak at 767 cm−1 is mainly caused by the ν3(F2)–ν2(E) hot band. The line intensities of the fundamental ν1(A1) band at 800 cm−1 were too weak to include in the list of strong lines. For this reason, the ν1(A1) transitions were directly converted to super-lines. The strongest absorption peak presented in the PNNL, at 840 cm−1, originates from the antisymmetric Si–F stretching mode of Si2F6O. From Figure 5F, we can see that the maximum of the absorption due to Si2F6O is about two times larger than that of SiF4.
7.5. Region of ν3(F2)
Figure 5G displays the most famous spectral region of SiF4, corresponding to the strongest fundamental band ν3(F2). The integrated intensity of ν3(F2) presented in TFSiCaSDa is 11% larger than the present ab initio result (see Table 3). The results for ν3(F2) in TFSiCaSDa were probably biased by missing hot bands. According to reference [21], the effective value of the first derivative of the DMS with respect to q3(F2) was 0.5444(38) Debye. It is 28% larger than the ab initio value given in Table 2. Although the effective derivative cannot be directly compared with the ab initio one for different reasons (in particular, because the data in Table 2 correspond to the pure vibrational task, i.e., the contribution from the rotational operators is not included), we assume that the line intensities of ν3(F2) are slightly overestimated in TFSiCaSDa due to numerous hot transitions, which could not be accurately removed without support of ab initio predictions.
The integrated intensities of the hot bands presented in TFSiCaSDa, namely ν3 + ν4(A1, E, F1, F2)–ν4(F2) and ν2 + ν3(F1, F2)–ν2(E), differ from those in this work by 25% on average: the maximum difference is 53% [ν3 + ν4(F2)–ν4(F2)], while the minimum difference is 6% [ν2 + ν3(F1)–ν2(E)] (see Table 3). Interestingly, the total integrated intensity of those hot bands is only 8% larger than that obtained from the present line list. Nevertheless, the simulations based on the TFSiCaSDa line list underestimate the experiment, particularly in the left and right wings of ν3(F2) (see Figure 5G), mainly due to the absence of other hot bands that are relevant at T = 296 K.
7.6. Region: 1050–1550 cm−1
The first part of this region corresponds to the ν1 + ν2(E) combination band located around 1065 cm−1. Although the integrated intensity of ν1 + ν2(E) is of the order of 10−20 cm/molecule, this band is clearly seen in the PNNL spectrum (see Figure 5H). Note that the line positions of ν1 + ν2(E) have not been empirically studied so far because of their overlapping with the right wing of the strongest ν3(F2) band. There are hot bands with Δυ1 = Δυ2 = ±1 and the hot band ν1 + ν3(F2)–2ν4(F2) at 1051 cm−1; their integrated intensities are comparable (see Table 3).
Between 1167 and 1190 cm−1, there are two cold bands, namely 3ν4(F2) and ν1 + ν4(F2) (see Figure 5I). Quite surprisingly, the 3ν4(F2) band is stronger than the 2ν4(F2) band, while ν1 + ν4(F2) is the strongest combination band of SiF4. The second absorption peak around 1295 cm−1 originates from the F1 and F2 sub-bands of the combination band ν2 + ν3. The integrated intensity of the F2 sub-band is about 2.5 times larger than that of the first one.
The empirical line positions of ν1 + ν4(F2) and ν2 + ν3(F1, F2) were previously assigned in reference [23], based on spectra recorded at low temperature. However, these two bands alone are not sufficient to completely describe the absorption features observed in the room-temperature spectrum. Indeed, as seen in Table 3, the total absorption of the cold and hot bands becomes comparable at room temperature.
The absorption coefficient simulated using our line list shows a good agreement with the experimental measurements, except for several distinct absorption features (see Figure 5I). The unexplained feature observed between ν1 + ν4(F2) and ν2 + ν3(F1, F2) and located at 1243 cm−1 is likely caused by the antisymmetric Si-O stretching mode of Si2F6O. Other unexplained features clearly observed in the wings of the SiF4 bands are most likely due to the combination or overtone bands of Si2F6O. Indeed, this hypothesis comes from the fact that many of the fundamental frequencies of Si2F6O are below 1000 cm−1.
The two peaks in the last part of this spectral region correspond to ν3 + ν4 and ν1 + ν2 + ν4, at 1419 and 1455 cm−1, respectively. These two bands are rather weak and appear to be significantly perturbed in the PNNL spectrum (see Figure 5J). The remaining unexplained absorption features may be assigned to combination or overtone bands of Si2F6O, considering its previously established contribution (see, e.g., Figure 5F). The ν3 + ν4 band consists of the four sub-bands corresponding to the A1, E, F1, and F2 symmetries, while there are the F1 and F2 sub-bands in the ν1 + ν2 + ν4 band. In both cases, the strongest transitions belong to the F2 sub-bands, as expected. Currently, no high-resolution studies have been reported for these bands.
7.7. Region: 1790–2120 cm−1
The ν1 + ν3(F2) band at 1828 cm−1 is the second strongest combination band of SiF4, just after ν1 + ν4(F2). Some absorption features due to 29SiF4 and 30SiF4 are clearly visible in the left wing of ν1 + ν3(F2), similarly to the ν3(F2) band (see Figure 5K). The υ3(F2) mode has the largest isotopic shift among other fundamentals, respectively, of −9 and −17 cm−1 for 29SiF4 and 30SiF4. These pronounced shifts facilitate the study of the line parameters of the minor isotopologues, when υ3 is involved. For instance, the empirical line positions of the ν1 + ν3(F2) band were assigned in reference [23] for all three isotopologues. Note that ν3 + 2ν4 exhibits a noticeable absorption feature at the lower edge of ν1 + ν3(F2).
The two sub-bands 2ν3(E, F2) are responsible for the last prominent absorption peak of SiF4 at 2060 cm−1 (see Figure 5L). The absorption features due to 29SiF4 and 30SiF4 are less pronounced in the left wing of this band due to overlap with the nearby hot bands. As shown in Table 3, the integrated intensities of the hot bands are comparable to that of 2ν3, unlike in the region of the ν1 + ν3(F2) band.
The simulations based on the line list developed in this work show a good agreement with the PNNL in the regions of ν1 + ν3(F2) and 2ν3(E, F2). However, some absorption features are still absent in our simulations. The first one is the small peak located inside the ν1 + ν3(F2) band at 1822.5 cm−1. The simulated absorption is below the observation around 1837 cm−1. In the case of the 2ν3(E, F2) band, the experimental absorption profile looks stronger and broader near the band origin. All these unexplained features could also be attributed to Si2F6O because the polyad structure of our line list completely covers this region (see Figure 2).
8. Conclusions
This work clearly demonstrated the advantage of using ab initio calculations for the modelling of the room-temperature absorption spectrum of the silicon tetrafluoride molecule (SiF4). Both line positions and line intensities were computed using a new effective model that included all the cold bands and most of the hot bands within the spectral range of 0–2500 cm−1, where the most prominent absorption features of SiF4 are visible. To achieve this end, first full-dimensional potential energy and dipole moment surfaces were developed using high-level electronic structure calculations and including high-order electronic correlation effects [CCSDT(Q)]. For the first time, the fundamental band origins of 28SiF4 were predicted with an accuracy better than 1 cm−1, without any empirical corrections. The first derivatives of our ab initio DMS were found to be in excellent agreement with the empirical values derived from the Raman spectrum of crystalline SiF4 at 77 K.
The comprehensive line lists of 28SiF4, 29SiF4, and 30SiF4 constructed in this work were applied to analyze the room-temperature spectrum of the natural SiF4 measured by the Pacific Northwest National Laboratory (PNNL). Our analysis demonstrates that a large number of hot transitions are essential for achieving good agreement with observation. In many spectral regions—particularly those where ν4(F2) and ν3(F2) are involved—we have shown that the total integrated intensity of the hot transitions may exceed that of the cold bands. To significantly reduce the number of lines in our initial line lists containing almost half a billion transitions, all the weak transitions were converted into super-lines. A number of distinct features were also identified in the PNNL absorption spectrum and attributed to Si2F6O.
Although conventional effective empirical models can still be used to analyze low-temperature spectra, they strongly struggle to describe spectra at 296 K due to the absence of almost all of the hot band transitions. Finally, reliable ab initio predictions are crucial to accurately extracting the line intensities corresponding to both cold and hot bands. Only support from an ab initio model can provide such an amount of information.
The line lists developed in this work can be used for the simulation of the absorption spectrum of SiF4 at room temperature. Our results provide valuable spectroscopic support for future high-resolution studies, particularly those focused on line intensity analysis.
Supplementary Materials
The following supporting information can be downloaded at: https://www.mdpi.com/article/10.3390/molecules30214239/s1, the lists of super lines (“strong” and “weak” transitions) for silicon tetrafluoride (28SiF4, 29SiF4, and 30SiF4 isotopologues; isotopic abundancies are not included). The ab initio line lists with complete ro-vibrational assignment are available upon request. The ab initio values of the nuclear potential energy and electric dipole moment of SiF4 calculated in this work. The C++ and Fortran codes for computing potential energies from the final ab initio PES (“PES_II”).
Author Contributions
Conceptualization, O.E. and M.R.; methodology, M.R.; software, O.E. and M.R.; validation, O.E. and M.R.; formal analysis, O.E. and M.R.; investigation, O.E. and M.R.; writing—original draft preparation, O.E.; writing—review and editing, O.E. and M.R.; project administration, O.E. All authors have read and agreed to the published version of the manuscript.
Funding
This work was supported by the project of the Russian Science Foundation (RSF, No. 25-72-00021, https://rscf.ru/en/project/25-72-00021/ (accessed on 20 September 2025)).
Institutional Review Board Statement
Not applicable.
Informed Consent Statement
Not applicable.
Data Availability Statement
The data that supports the findings of this study are available in the Supplementary Materials of this article.
Acknowledgments
O.E. acknowledges support from Russian Science Foundation (RSF, No. 25-72-00021). M.R. acknowledges support from the ROMEO computer center of Reims-Champagne-Ardenne.
Conflicts of Interest
The authors declare no conflicts of interest.
References
- Wang, H.; Wu, P.; Wu, Z.; Shi, L.; Cheng, L. New insight into the electronic structure of SiF4: Synergistic back-donation and the eighteen-electron rule. Phys. Chem. Chem. Phys. 2022, 24, 17679–17685. [Google Scholar] [CrossRef]
- Hada, M.; Takahashi, M.; Sakaguchi, Y.; Fujii, T.; Minami, M. Chamber in-situ estimation during etching process by SiF4 monitoring using laser absorption spectroscopy. Jpn. J. Appl. Phys. 2023, 62, SI1013. [Google Scholar] [CrossRef]
- Ernst, O.C.; Uebel, D.; Brendler, R.; Kraushaar, K.; Steudel, M.; Acker, J.; Kroke, E. Silicon-28-Tetrafluoride as an Educt of Isotope-Engineered Silicon Compounds and Bulk Materials for Quantum Systems. Molecules 2024, 29, 4222. [Google Scholar] [CrossRef]
- Ignatov, S.K.; Sennikov, P.G.; Chuprov, L.A.; Razuvaev, A.G. Thermodynamic and kinetic parameters of elementary steps in gas-phase hydrolysis of SiF4. Quantum-chemical and FTIR spectroscopic studies. Russ. Chem. Bull. 2003, 52, 837–845. [Google Scholar] [CrossRef]
- Sennikov, P.G.; Ignatov, S.K.; Schrems, O. Identification of the products of partial hydrolysis of silicon tetrafluoride by matrix isolation IR spectroscopy. Russ. J. Inorg. Chem. 2010, 55, 413–420. [Google Scholar] [CrossRef][Green Version]
- Liu, S.; Shi, L.; Liu, G.; Xiao, W.; Zhu, H. Research on the Production of Hydrogen Fluoride from Silicon Tetrafluoride Using 2.45 GHz Microwave Plasma. Processes 2025, 13, 4. [Google Scholar] [CrossRef]
- Francis, P.; Chaffin, C.; Maciejewski, A.; Oppenheimer, C. Remote determination of SiF4 in volcanic plumes: A new tool for volcano monitoring. Geophys. Res. Lett. 1996, 23, 249–252. [Google Scholar] [CrossRef]
- Love, S.P.; Goff, F.; Counce, D.; Siebe, C.; Delgado, H. Passive infrared spectroscopy of the eruption plume at Popocatépetl volcano, Mexico. Nature 1998, 396, 563–567. [Google Scholar] [CrossRef]
- Stremme, W.; Krueger, A.; Harig, R.; Grutter, M. Volcanic SO2 and SiF4 visualization using 2-D thermal emission spectroscopy–Part 1: Slant-columns and their ratios. Atmos. Meas. Tech. 2012, 5, 275–288. [Google Scholar] [CrossRef]
- Taquet, N.; Meza Hernández, I.; Stremme, W.; Bezanilla, A.; Grutter, M.; Campion, R.; Palm, M.; Boulesteix, T. Continuous measurements of SiF4 and SO2 by thermal emission spectroscopy: Insight from a 6-month survey at the Popocatépetl volcano. J. Volcanol. Geotherm. Res. 2017, 341, 255–268. [Google Scholar] [CrossRef]
- Taquet, N.; Rivera Cárdenas, C.; Stremme, W.; Boulesteix, T.; Bezanilla, A.; Grutter, M.; García, O.; Hase, F.; Blumenstock, T. Combined direct-sun ultraviolet and infrared spectroscopies at Popocatépetl volcano (Mexico). Front. Earth Sci. 2023, 11, 1062699. [Google Scholar] [CrossRef]
- Mori, T.; Sato, M.; Shimoike, Y.; Notsu, K. High SiF4/HF ratio detected in Satsuma-Iwojima volcano’s plume by remote FT-IR observation. Earth Planets Space 2002, 54, 249–256. [Google Scholar] [CrossRef]
- Patterson, C.W.; Pine, A.S. Doppler-limited spectrum and analysis of the 3ν3 manifold of SiF4. J. Mol. Spectrosc. 1982, 96, 404–421. [Google Scholar] [CrossRef]
- McDowell, R.S.; Reisfeld, M.J.; Patterson, C.W.; Krohn, B.J.; Mariena, C.; Vasquez, M.C.; Laguna, G.A. Infrared spectrum and potential constants of silicon tetrafluoride. J. Chem. Phys. 1982, 77, 4337–4343. [Google Scholar] [CrossRef]
- Wang, X.-G.; Sibert, E.L.; Martin, J.M.L. Anharmonic force field and vibrational frequencies of tetrafluoromethane (CF4) and tetrafluorosilane (SiF4). J. Chem. Phys. 2000, 112, 1353–1366. [Google Scholar] [CrossRef]
- Simon, F.; Cuisset, A.; Elmaleh, C.; Hindle, F.; Mouret, G.; Rey, M.; Richard, C.; Boudon, V. Unrivaled accuracy in measuring rotational transitions of greenhouse gases: THz CRDS of CF4. Phys. Chem. Chem. Phys. 2024, 26, 12345–12357. [Google Scholar] [CrossRef]
- Patterson, C.W.; McDowell, R.S.; Nereson, N.G.; Krohn, B.J.; Wells, J.S.; Petersen, F.R. Tunable laser diode study of the ν3 band of SiF4 near 9.7 μm. J. Mol. Spectrosc. 1982, 91, 416–423. [Google Scholar] [CrossRef]
- Takami, M.; Kuze, H. Infrared–microwave double resonance spectroscopy of the SiF4 ν3 fundamental using a tunable diode laser. J. Chem. Phys. 1983, 78, 2204–2209. [Google Scholar] [CrossRef]
- Jörissen, L.; Prinz, H.; Kreiner, W.A.; Wenger, C.; Pierre, G.; Magerl, G.; Schupita, W. The ν3 fundamental of silicon tetrafluoride. Spectroscopy with laser sidebands. Can. J. Phys. 1989, 67, 532–542. [Google Scholar] [CrossRef]
- Jörissen, L.; Kreiner, W.A.; Chen, Y.-T.; Oka, T. Observation of ground state rotational transitions in silicon tetrafluoride. J. Mol. Spectrosc. 1986, 120, 233–235. [Google Scholar] [CrossRef]
- Boudon, V.; Manceron, L.; Richard, C. High-resolution spectroscopy and analysis of the ν3, ν4 and 2ν4 bands of SiF4 in natural isotopic abundance. J. Quant. Spectrosc. Radiat. Transf. 2020, 253, 107114. [Google Scholar] [CrossRef]
- Boudon, V.; Richard, C.; Manceron, L. High-Resolution spectroscopy and analysis of the fundamental modes of 28SiF4. Accurate experimental determination of the Si–F bond length. J. Mol. Spectrosc. 2022, 383, 111549. [Google Scholar] [CrossRef]
- Merkulova, M.; Boudon, V.; Manceron, L. Analysis of high-resolution spectra of SiF4 combination bands. J. Mol. Spectrosc. 2023, 391, 111738. [Google Scholar] [CrossRef]
- Richard, C.; Ben Fathallah, O.; Hardy, P.; Kamel, R.; Merkulova, M.; Rotger, M.; Ulenikov, O.N.; Boudon, V. CaSDa24: Latest updates to the Dijon calculated spectroscopic databases. J. Quant. Spectrosc. Radiat. Transf. 2024, 327, 109127. [Google Scholar] [CrossRef]
- Sharpe, S.W.; Johnson, T.J.; Sams, R.L.; Chu, P.M.; Rhoderick, G.C.; Johnson, P.A. Gas-Phase Databases for Quantitative Infrared Spectroscopy. Appl. Spectrosc. 2004, 58, 1452–1461. [Google Scholar] [CrossRef]
- Rey, M.; Chizhmakova, I.S.; Nikitin, A.V.; Tyuterev, V.G. Understanding global infrared opacity and hot bands of greenhouse molecules with low vibrational modes from first-principles calculations: The case of CF4. Phys. Chem. Chem. Phys. 2018, 20, 21008. [Google Scholar] [CrossRef] [PubMed]
- Papoušek, D.; Aliev, M.R. Molecular Vibrational-Rotational Spectra. In Theory and Applications of High Resolution Infrared, Microwave and Raman Spectroscopy of Polyatomic Molecules; Elsevier Scientific Pub. Co.: Amsterdam, The Netherlands; Oxford, UK; New York, NY, USA, 1982. [Google Scholar]
- Knizia, G.; Adler, T.B.; Werner, H.-J. Simplified CCSD(T)-F12 methods: Theory and benchmarks. J. Chem. Phys. 2009, 130, 054104. [Google Scholar] [CrossRef] [PubMed]
- Werner, H.-J.; Knowles, P.J.; Manby, F.R.; Black, J.A.; Doll, K.; Heßelmann, A.; Kats, D.; Köhn, A.; Korona, T.; Kreplin, D.A.; et al. The Molpro quantum chemistry package. J. Chem. Phys. 2020, 152, 144107. [Google Scholar] [CrossRef]
- Werner, H.-J.; Knowles, P.J.; Celani, P.; Györffy, W.; Hesselmann, A.; Kats, D.; Knizia, G.; Köhn, A.; Korona, T.; Kreplin, D.; et al. MOLPRO, Version 2019.2; A Package of Ab Initio Programs. Available online: https://www.molpro.net (accessed on 16 May 2025).
- Egorov, O.; Rey, M.; Kochanov, R.V.; Nikitin, A.V.; Tyuterev, V. High-level ab initio study of disulfur monoxide: Ground state potential energy surface and band origins for six isotopic species. Chem. Phys. Lett. 2023, 811, 140216. [Google Scholar] [CrossRef]
- Mester, D.; Nagy, P.R.; Csóka, J.; Gyevi-Nagy, L.; Szabó, P.B.; Horváth, R.A.; Petrov, K.; Hégely, B.; Ladóczki, B.; Samu, G.; et al. Overview of Developments in the MRCC Program System. J. Phys. Chem. A 2025, 129, 2086. [Google Scholar] [CrossRef]
- Kállay, M.; Nagy, P.R.; Mester, D.; Gyevi-Nagy, L.; Csóka, J.; Szabó, P.B.; Rolik, Z.; Samu, G.; Hégely, B.; Ladóczki, B.; et al. Mrcc, a Quantum Chemical Program Suite. Available online: https://www.mrcc.hu (accessed on 16 May 2025).
- Burtsev, A.P.; Bocharov, V.N.; Ignatov, S.K.; Kolomiitsova, T.D.; Sennikov, P.G.; Tokhadze, K.G.; Chuprov, L.A.; Shchepkin, D.N.; Schrems, O. Integral intensities of absorption bands of silicon tetrafluoride in the gas phase and cryogenic solutions: Experiment and calculation. Opt. Spectrosc. 2005, 98, 227–234. [Google Scholar] [CrossRef]
- Haas, C.; Hornig, D.F. Calculation of Dipole Derivatives from Infrared Reflection Spectra or Raman Spectra of Crystals. J. Chem. Phys. 1957, 26, 707. [Google Scholar] [CrossRef]
- Bernstein, E.R.; Meredith, G.R. Raman spectra of SiF4 and GeF4 crystals. J. Chem. Phys. 1977, 67, 4132–4138. [Google Scholar] [CrossRef]
- Rey, M. Novel methodology for systematically constructing global effective models from ab initio-based surfaces: A new insight into high-resolution molecular spectra analysis. J. Chem. Phys. 2022, 156, 224103. [Google Scholar] [CrossRef]
- Rey, M. Group-theoretical formulation of an Eckart-frame kinetic energy operator in curvilinear coordinates for polyatomic molecules. J. Chem. Phys. 2019, 151, 024101. [Google Scholar] [CrossRef]
- Watson, J.K.G. Simplification of the molecular vibration-rotation hamiltonian. Mol. Phys. 1968, 15, 479–490. [Google Scholar] [CrossRef]
- Egorov, O.; Nikitin, A.; Rey, M.; Rodina, A.; Tashkun, S.; Tyuterev, V. Global modeling of NF3 line positions and intensities from far to mid-infrared up to 2200 cm−1. J. Quant. Spectrosc. Radiat. Transf. 2019, 239, 106668. [Google Scholar] [CrossRef]
- Rey, M.; Chizhmakova, I.S.; Nikitin, A.V.; Tyuterev, V.G. Towards a complete elucidation of the ro-vibrational band structure in the SF6 infrared spectrum from full quantum-mechanical calculations. Phys. Chem. Chem. Phys. 2021, 23, 12115–12126. [Google Scholar] [CrossRef]
- Egorov, O.; Rey, M. First Ab Initio Line Lists for Triatomic Sulfur-Containing Molecules: S2O and S3. J. Phys. Chem. A 2024, 128, 8144–8158. [Google Scholar] [CrossRef] [PubMed]
- Rey, M.; Viglaska, D.; Egorov, O.; Nikitin, A.V. A numerical-tensorial “hybrid” nuclear motion Hamiltonian and dipole moment operator for spectra calculation of polyatomic nonrigid molecules. J. Chem. Phys. 2023, 159, 114103. [Google Scholar] [CrossRef]
- Egorov, O.; Rey, M.; Viglaska, D.; Nikitin, A.V. Rovibrational Line Lists of Triplet and Singlet Methylene. J. Phys. Chem. A 2024, 128, 6960–6971. [Google Scholar] [CrossRef] [PubMed]
- Gamache, R.R.; Vispoel, B.; Rey, M.; Nikitin, A.; Tyuterev, V.; Egorov, O.; Gordon, I.E.; Boudon, V. Total internal partition sums for the HITRAN2020 database. J. Quant. Spectrosc. Radiat. Transf. 2021, 271, 107713. [Google Scholar] [CrossRef]
- Bunker, P.R.; Jensen, P. Fundamentals of Molecular Symmetry; IOP Publishing: Bristol, UK, 2004; ISBN 0-7503-0941-5. [Google Scholar]
- Clark, R.J.H.; Rippon, D.M. The vapor-phase Raman spectra, Raman band contour analyses, Coriolis constants, and force constants of spherical-top molecules MX4 (M = Group IV element, X = F, Cl, Br, or I). J. Mol. Spectrosc. 1972, 44, 479–503. [Google Scholar] [CrossRef]
Disclaimer/Publisher’s Note: The statements, opinions and data contained in all publications are solely those of the individual author(s) and contributor(s) and not of MDPI and/or the editor(s). MDPI and/or the editor(s) disclaim responsibility for any injury to people or property resulting from any ideas, methods, instructions or products referred to in the content. |
© 2025 by the authors. Licensee MDPI, Basel, Switzerland. This article is an open access article distributed under the terms and conditions of the Creative Commons Attribution (CC BY) license (https://creativecommons.org/licenses/by/4.0/).





