Sign in to use this feature.

Years

Between: -

Subjects

remove_circle_outline
remove_circle_outline
remove_circle_outline
remove_circle_outline
remove_circle_outline
remove_circle_outline
remove_circle_outline
remove_circle_outline

Journals

Article Types

Countries / Regions

Search Results (22)

Search Parameters:
Keywords = artificial controlled pollination

Order results
Result details
Results per page
Select all
Export citation of selected articles as:
24 pages, 1390 KB  
Article
Effects of Pollen Storage on Physiological Quality and Reproductive Performance in Date Palm (Phoenix dactylifera L.): A Systematic Review and Meta-Analysis
by Ricardo Salomón-Torres, Mohammed Aziz Elhoumaizi, Glenn C. Wright, Abdelouahhab Alboukhari Zaid, Yohandri Ruisanchez-Ortega, Fidel Núñez-Ramírez and Laura Samaniego-Sandoval
Horticulturae 2026, 12(4), 475; https://doi.org/10.3390/horticulturae12040475 - 13 Apr 2026
Viewed by 210
Abstract
Date palm (Phoenix dactylifera L.) production relies on the availability of viable and physiologically active pollen during female flowering, making pollen storage an important strategy to overcome flowering asynchrony and ensure effective artificial pollination. In this study, we systematically reviewed and quantitatively [...] Read more.
Date palm (Phoenix dactylifera L.) production relies on the availability of viable and physiologically active pollen during female flowering, making pollen storage an important strategy to overcome flowering asynchrony and ensure effective artificial pollination. In this study, we systematically reviewed and quantitatively synthesized the effects of pollen storage conditions on pollen physiological quality and reproductive performance in date palm. Following PRISMA guidelines, 22 experimental studies were identified in the qualitative synthesis, and comparable quantitative datasets were used for meta-analysis. Acetocarmine staining, the most commonly used method for assessing pollen stainability across studies, was selected as the standardized indicator of pollen stainability. Multilevel random-effects meta-regression models were applied to evaluate temporal deterioration patterns over storage periods of up to 24 months, while standardized forest plot meta-analyses were used to estimate pooled effects after 12 months of storage. The results revealed a strong temperature-dependent decline in pollen physiological quality. Acetocarmine stainability declined by −6.41, −3.10, −2.62, and −2.24% month−1 under ambient, refrigerated, mild freezing, and moderate freezing conditions, respectively, whereas germination declined by −6.77, −1.86, −3.14, −1.09, and −1.05% month−1 under ambient (23–25 °C), refrigerated (4–5 °C), mild freezing (−5 °C), moderate freezing (−20 °C), and deep freezing (−80 °C) conditions, respectively. After 12 months of storage, stainability, germination, and fruit set were significantly reduced relative to fresh pollen. In contrast, pollen storage had no significant effect on final fruit weight, suggesting that pollen deterioration primarily affects fertilization success rather than subsequent fruit development. The available evidence suggests that low-temperature storage represents the most effective strategy for preserving date palm pollen functionality. Refrigerated storage around 4 °C appears to provide a reliable and accessible option for short- to medium-term pollen preservation, whereas freezing conditions may be advantageous for longer storage periods when moisture control and thawing procedures are properly managed. Full article
(This article belongs to the Section Propagation and Seeds)
19 pages, 2252 KB  
Article
Biodiversity Performance of Living Wall Systems in Urban Environments: A UK Case Study of Plant Selection and Substrate Effects on Multi-Taxa Communities
by Paul Henry Lunt, James Buckley, Suzanne Mitchell, Gabriel Thomas, Elek Churella and Thomas Richard Murphy
Urban Sci. 2025, 9(12), 519; https://doi.org/10.3390/urbansci9120519 - 6 Dec 2025
Viewed by 888
Abstract
Urban densification threatens biodiversity, yet conventional greenspace expansion is constrained by limited land availability. Living wall systems (LWS) offer potential biodiversity enhancement through vertical green infrastructure, though their ecological value remains underexplored. This study evaluated the biodiversity performance of three LWS in Plymouth, [...] Read more.
Urban densification threatens biodiversity, yet conventional greenspace expansion is constrained by limited land availability. Living wall systems (LWS) offer potential biodiversity enhancement through vertical green infrastructure, though their ecological value remains underexplored. This study evaluated the biodiversity performance of three LWS in Plymouth, UK, using multi-taxa surveys to assess invertebrate communities, bird assemblages, and bat activity. A scoping review of 2638 publications revealed limited research on LWS biodiversity, with only 27% of biodiversity-focused papers referencing specific species. Field surveys employed standardised protocols including flower-visiting pollinator observations, spider assessments, soil invertebrate extraction using Tullgren funnels, acoustic bird monitoring, and bat emergence surveys across soil-based and hydroponic systems. Results demonstrated that soil-based LWS supported significantly higher invertebrate diversity than hydroponic systems, with 481 soil invertebrates recorded across 19 families. Plant species composition strongly influenced biodiversity outcomes, with Hedera helix, Erigeron karvinskianus, and Lonicera japonica attracting the most pollinator species (5 each). Bird abundance was significantly higher at LWS sites compared to control areas, with confirmed breeding by three species. However, current UK Biodiversity Net Gain frameworks undervalue LWS contributions due to their classification as artificial habitats. These findings indicate that appropriately designed soil-based LWS can deliver meaningful urban biodiversity benefits when integrated with strategic plant selection and species-based valuation approaches. Full article
Show Figures

Graphical abstract

10 pages, 863 KB  
Article
FlowerPatch: New Method to Measure Nectar Volume in Artificial Flowers
by Edwin Lara-Perez, Jose Agosto Rivera, Tugrul Giray, Remi Megret Laboye and Edwin Flórez Gómez
Insects 2025, 16(7), 714; https://doi.org/10.3390/insects16070714 - 11 Jul 2025
Viewed by 1027
Abstract
This article proposes a new Flower Patch Nectar Sensor to address the problem of detecting and measuring nectar in artificial flowers used in experiments on pollinator behavior. Traditional methods have focused mainly on recording the visits of pollinators to the flowers, without addressing [...] Read more.
This article proposes a new Flower Patch Nectar Sensor to address the problem of detecting and measuring nectar in artificial flowers used in experiments on pollinator behavior. Traditional methods have focused mainly on recording the visits of pollinators to the flowers, without addressing the dynamic variations in nectar in terms of volume and concentration. The proposed approach provides more detailed information about the nectar consumption by bees and allows for the determination of the optimal time to refill the flowers. This study introduces an innovative method that uses electrodes and an oscillator circuit to measure the volume of nectar present in the flower. The system correlates the concentration of nectar with a frequency signal that can be processed by a microcontroller. It was evaluated using initial volumes ranging from 1 μL to 4 μL, demonstrating its ability to accurately detect variations in nectar, even up to the point where the frequency approaches zero. The results confirm that this method allows us to identify how the reward offered to pollinators (represented by nectar) varies over time, in terms of concentration, under both controlled and natural conditions. Additionally, graphs are presented that show the relationship between an initial volume of 4 μL and variations in the frequency signal over a period of 25 min, highlighting the influence of these factors on nectar dynamics. This work not only introduces an innovative approach for the dynamic monitoring of nectar in artificial flowers but also lays the groundwork for future studies on the physical and chemical modeling of nectar in response to environmental conditions. Full article
(This article belongs to the Special Issue Current Advances in Pollinator Insects)
Show Figures

Figure 1

16 pages, 1330 KB  
Article
Bee Hotels as a Tool for Post-Fire Recovery of Cavity-Nesting Native Bees
by Kit Stasia Prendergast and Rachele S. Wilson
Insects 2025, 16(7), 659; https://doi.org/10.3390/insects16070659 - 25 Jun 2025
Cited by 4 | Viewed by 6491
Abstract
Wildfires are increasing in extent and severity under anthropogenic climate change, with potential adverse impacts on native pollinators like wild bees. In 2019/2020, wildfires burned swathes of the Australian bushland. Whilst herbaceous angiosperms may flower in the post-fire environment, providing sustenance to native [...] Read more.
Wildfires are increasing in extent and severity under anthropogenic climate change, with potential adverse impacts on native pollinators like wild bees. In 2019/2020, wildfires burned swathes of the Australian bushland. Whilst herbaceous angiosperms may flower in the post-fire environment, providing sustenance to native bees, pre-made holes created by wood-boring beetles that obligate cavity-nesting “renter” bees may take a longer time to recover. This may prevent native bees from colonising new areas or reduce the populations that have survived. To date, trap-nests, also known as bee hotels, have never been used as a tool to assist in providing nesting resources in post-fire environments. The project “Bee hotels to boost bees after bushfires” supported the recovery of native bee populations by installing artificial nesting substrates (bee hotels) in areas of high biodiversity value that were impacted by the 2019/2020 bushfires. This was achieved through monitoring of 1000 bee hotels (500 bamboo and 500 wooden) and visual surveys at five burnt sites and three control sites (nearby burnt sites without bee hotels) by a native bee ecologist from September–March 2021/2022. The bee hotel uptake was low initially, but by March, all hotels were occupied. Over 800 nests were created by bees in the bee hotels installed for this project and significantly more bees were observed in sites with bee hotels compared to control sites. Across sites, there was a significant negative association between honeybee density and nest occupancy, suggesting honeybees may be exerting competitive pressure on native bees in post-fire habitats. In conclusion, bee hotels, if designed correctly, can aid in boosting cavity-nesting bee populations following fires. Full article
(This article belongs to the Special Issue Bee Conservation: Behavior, Health and Pollination Ecology)
Show Figures

Graphical abstract

19 pages, 5581 KB  
Article
Genetic Analysis and Fine Mapping of Spontaneously Mutated Male Sterility Gene in Chinese Cabbage (Brassica rapa L. ssp. pekinensis)
by Qian Xu, Xiaochun Wei, Yanyan Zhao, Jianqi Feng, Peiyun Wang, Cong Ding, Wenjing Zhang, Henan Su, Weiwei Chen, Fang Wei, Yuxiang Yuan and Xiaowei Zhang
Plants 2025, 14(5), 779; https://doi.org/10.3390/plants14050779 - 3 Mar 2025
Cited by 1 | Viewed by 1572
Abstract
Chinese cabbage (Brassica rapa L. ssp. pekinensis), an important traditional vegetable indigenous to China, is a typical cross-pollinated Brassica crop exhibiting pronounced heterosis. However, its small flower organs make artificial pollination for hybrid seed production highly challenging. The use of male-sterile [...] Read more.
Chinese cabbage (Brassica rapa L. ssp. pekinensis), an important traditional vegetable indigenous to China, is a typical cross-pollinated Brassica crop exhibiting pronounced heterosis. However, its small flower organs make artificial pollination for hybrid seed production highly challenging. The use of male-sterile lines has emerged as a crucial approach in hybrid seed production. Therefore, understanding the genetic and molecular mechanisms underlying male sterility in Chinese cabbage holds profound theoretical and economic importance and is pivotal for advancing Chinese cabbage crossbreeding. Here, cytological comparative analysis of anthers from sterile line 366-2S and fertile line 366-2F revealed abnormalities in 366-2S during the late tetrad stage, including delayed tapetum degradation and the aggregation of tetrad microspores without separation, which prevented pollen production and caused male sterility. Construction of the F2 segregating population, with 366-2S as the female parent and genetically diverse fertile material Y636-9 as the male parent, indicated that male sterility in 366-2S is controlled by a single recessive gene. Using bulked segregant analysis sequencing and kompetitive allele-specific polymerase chain reaction (KASP) technology, the sterile gene was mapped to 65 kb between the PA11 and PA13 markers, with 11 genes in the candidate region. Functional annotation, expression, and sequence variation analyses identified BraA09g012710.3C, encoding acyl-CoA synthetase 5, as a candidate gene for 366-2S male sterility. Quantitative real-time polymerase chain reaction analysis revealed minimal expression of BraA09g012710.3C in 366-2S but high expression in the flower buds of 366-2F. Further analysis of candidate gene DNA sequences identified a large deletion encompassing BraA09g012710.3C, BraA09g012720.3C, BraA09g012730.3C, and BraA09g012740.3C in sterile line 366-2S (A09: 7452347–7479709). Cloning and verification of the other three deleted genes in the F2 population via agarose gel electrophoresis confirmed their presence in F2 sterile individuals, indicating that their deletion was not associated with male sterility, underscoring BraA09g012710.3C as the key gene driving male sterility in 366-2S. Full article
(This article belongs to the Special Issue Reproductive and Developmental Mechanisms of Vegetable Crops)
Show Figures

Figure 1

18 pages, 2998 KB  
Article
Effect of Simulated Autogamy and Allogamy on the Success of Cephalanthera longifolia and Cephalanthera rubra (Orchidaceae) Fruit Set
by Laurynas Taura and Zigmantas Gudžinskas
Diversity 2025, 17(1), 73; https://doi.org/10.3390/d17010073 - 20 Jan 2025
Cited by 1 | Viewed by 1924
Abstract
Detailed knowledge of reproductive traits and success is essential for the effective conservation of rare and endangered species. It has been reported that Cephalanthera longifolia and C. rubra (Orchidaceae) were abundantly fruiting in some regions several decades ago, but recent studies have shown [...] Read more.
Detailed knowledge of reproductive traits and success is essential for the effective conservation of rare and endangered species. It has been reported that Cephalanthera longifolia and C. rubra (Orchidaceae) were abundantly fruiting in some regions several decades ago, but recent studies have shown a low natural fruit set rate for both species. The aim of this study was to experimentally test the fruit set of C. longifolia and C. rubra after simulated self-pollination and cross-pollination, and to investigate the mating system of both species. Simulated self-pollination and cross-pollination experiments were conducted on two populations of C. longifolia and one population of C. rubra in Lithuania in 2022. The results of the experiment showed that the fruit set rate of C. longifolia after simulated cross-pollination was 68.9%, and after simulated self-pollination, it was 70.4%, while in the control group (free pollination), the fruit set rate was 5.1%. The fruit set rate of C. rubra was 88.2% after simulated cross-pollination, 96.5% after simulated self-pollination and 17.8% in the control group (free pollination). No significant differences in fruit set rate were found between simulated cross-pollination and self-pollination, but significant differences were found compared to the control group (free pollination) in both study species. We conclude that both study species are self-compatible, can set fruit after self-pollination, and that natural low fruit set is not related to limited energy resources of the individual, but is caused by the inefficient pollination of flowers due to a lack of pollinators during the flowering period. The artificial pollination of flowers can be used to increase fruit set in rare species of the Orchidaceae family and improve their natural recruitment by seed. Full article
(This article belongs to the Section Biodiversity Conservation)
Show Figures

Figure 1

22 pages, 6308 KB  
Article
Host-Induced Gene Silencing of the Aspergillus flavus O-Methyl Transferase Gene Enhanced Maize Aflatoxin Resistance
by Olanike Omolehin, Yenjit Raruang, Dongfang Hu, Zhu-Qiang Han, Surassawadee Promyou, Robert L. Brown, Qijian Wei, Kanniah Rajasekaran, Jeffrey W. Cary, Kan Wang, Dan Jeffers and Zhi-Yuan Chen
Toxins 2025, 17(1), 8; https://doi.org/10.3390/toxins17010008 - 27 Dec 2024
Cited by 4 | Viewed by 2609
Abstract
Maize is one of the major crops that are susceptible to Aspergillus flavus infection and subsequent aflatoxin contamination, which poses a serious health threat to humans and domestic animals. Here, an RNA interference (RNAi) approach called Host-Induced Gene Silencing (HIGS) was employed to [...] Read more.
Maize is one of the major crops that are susceptible to Aspergillus flavus infection and subsequent aflatoxin contamination, which poses a serious health threat to humans and domestic animals. Here, an RNA interference (RNAi) approach called Host-Induced Gene Silencing (HIGS) was employed to suppress the O-methyl transferase gene (omtA, also called aflP), a key gene involved in aflatoxin biosynthesis. An RNAi vector carrying part of the omtA gene was introduced into the B104 maize line. Among the six transformation events that were positive for containing the omtA transgene, OmtA-6 and OmtA-10 were self-pollinated from T1 to T4, and OmtA-7 and OmtA-12 to the T6 generation. These four lines showed at least an 81.3% reduction in aflatoxin accumulation at the T3 generation under laboratory conditions. When screened under field conditions with artificial inoculation, OmtA-7 at T5 and T6 generations and OmtA-10 at T4 generation showed a reduction in aflatoxin contamination between 60% and 91% (p < 0.02 to p < 0.002). In order to develop commercial maize lines with enhanced aflatoxin resistance, the omtA transgene in OmtA-7 was introduced into three elite inbred lines through crossing, and the resulting crosses also exhibited significantly lower aflatoxin accumulation compared to crosses with non-transgenic controls (p < 0.04). In addition, high levels of omtA-specific small RNAs were only detected in the transgenic kernel and leaf tissues. These results demonstrate that suppression of omtA through HIGS can enhance maize resistance to aflatoxin contamination, and this resistance can be transferred to elite backgrounds, providing a viable and practical approach to reduce aflatoxin contamination in maize. Full article
(This article belongs to the Section Mycotoxins)
Show Figures

Figure 1

12 pages, 1962 KB  
Communication
Evaluating Self-Pollination Methods: Their Impact on Nut Set and Nutlet Abscission in Macadamia
by Palakdeep Kaur, Max Cowan, Joanne De Faveri, Mobashwer Alam and Bruce Topp
Plants 2024, 13(24), 3456; https://doi.org/10.3390/plants13243456 - 10 Dec 2024
Cited by 5 | Viewed by 1654
Abstract
Nut set is an important determinant of yield and plays a pivotal role in orchard profitability. The complex process of nut setting is governed by numerous factors, with pollination being a critical mechanism. Macadamia cultivars exhibit both self- and cross-pollination. Self-pollination may increase [...] Read more.
Nut set is an important determinant of yield and plays a pivotal role in orchard profitability. The complex process of nut setting is governed by numerous factors, with pollination being a critical mechanism. Macadamia cultivars exhibit both self- and cross-pollination. Self-pollination may increase nut set, so it is a trait of interest in breeding. This study investigated nut setting and nutlet abscission on four cultivars, ‘HAES 791’, ‘HAES 741’, ‘HAES 344’, and ‘A16’, using three controlled self-pollination methods: (i) autogamy (AG), entailing bagging before anthesis with no hand-pollination; (ii) geitonogamy 1 (GG1), bagging following hand-pollination using pollen from the same raceme; and (iii) geitonogamy 2 (GG2), bagging following hand-pollination using pollen from different racemes of the same cultivar. These self-pollination methods were compared against open-pollination (OP). ‘HAES 741’ and ‘HAES 791’ were partially self-fertile, while ‘HAES 344’ and ‘A16’ were self-infertile. Final nut sets per raceme for ‘HAES 741’ were 0.43 by AG, 0.65 by GG1, and 0.5 by GG2, and for ‘HAES 791’, they were 0.90 by AG, 1.25 by GG1, and 1.0 by GG2. Final nut set per raceme with OP was higher compared to self-pollination methods and ranged between 3.5–6.5. In self-fertile cultivars, nut set following the three self-pollination methods accounted for 6.5–3.7% of the nut set following OP, and nutlet abscission following self-pollination methods accounted for 20–50% of nutlet abscission following OP. No significant differences in nut set and nutlet abscission were observed among AG, GG1, and GG2. Results suggest that macadamia orchards planted with self-fertile cultivars would be less reliant on external pollinators or artificial pollination to achieve adequate yields. Full article
(This article belongs to the Special Issue Genetics and Breeding of Nut Crops and Other Fruit Crops)
Show Figures

Figure 1

16 pages, 2021 KB  
Article
Study of Pollen Traits, Production, and Artificial Pollination Methods in Zea mays L.
by Michela Landoni, Stefano Sangiorgio, Martina Ghidoli, Elena Cassani and Roberto Pilu
Agriculture 2024, 14(10), 1791; https://doi.org/10.3390/agriculture14101791 - 12 Oct 2024
Viewed by 4478
Abstract
The optimization of artificial pollination is crucial in breeding programs for allogamous plants. In maize, achieving a balance between the labor-intensive nature of controlled pollinations and the need for large-scale production of hybrid seeds, along with considerations of germinability and pollen production, determines [...] Read more.
The optimization of artificial pollination is crucial in breeding programs for allogamous plants. In maize, achieving a balance between the labor-intensive nature of controlled pollinations and the need for large-scale production of hybrid seeds, along with considerations of germinability and pollen production, determines the success of genetic improvement programs. Breeding programs in maize have resulted in a reduction in the number of tassel branches to increase light interception and plant density in production fields. However, despite this genetic improvement, the decreased pollen production per plant has raised critical concerns regarding pollination and subsequent ear filling, especially under adverse environmental conditions. The aim of this work was the analysis of factors that can contribute to increasing the efficiency of controlled pollination in maize. The data obtained showed that pollen diameter, flavonoid, and phenolic acid content do not influence the percentage of germination and therefore the efficiency of pollination. The quantity of pollen is a central factor in ensuring the efficiency of controlled pollinations, and the data obtained by comparing traditional varieties with modern hybrids of maize showed that an increase in pollen production is determined by the increase in branching of the male inflorescence. Furthermore, we propose the use of a “smart” pollination method to make this step in maize breeding programs easier and faster. Full article
(This article belongs to the Special Issue Breeding and Genetics of Maize)
Show Figures

Figure 1

16 pages, 3712 KB  
Review
Is the Artificial Pollination of Walnut Trees with Drones Able to Minimize the Presence of Xanthomonas arboricola pv. juglandis? A Review
by Ioannis Manthos, Thomas Sotiropoulos and Ioannis Vagelas
Appl. Sci. 2024, 14(7), 2732; https://doi.org/10.3390/app14072732 - 25 Mar 2024
Cited by 6 | Viewed by 3203
Abstract
Walnut (Juglans regia L.) is a monoecious species and although it exhibits self-compatibility, it presents incomplete overlap of pollen shed and female receptivity. Thus, cross-pollination is prerequisite for optimal fruit production. Cross-pollination can occur naturally by wind, insects, artificially, or by hand. [...] Read more.
Walnut (Juglans regia L.) is a monoecious species and although it exhibits self-compatibility, it presents incomplete overlap of pollen shed and female receptivity. Thus, cross-pollination is prerequisite for optimal fruit production. Cross-pollination can occur naturally by wind, insects, artificially, or by hand. Pollen has been recognized as one possible pathway for Xanthomonas arboricola pv. juglandis infection, a pathogenic bacterium responsible for walnut blight disease. Other than the well-known cultural and chemical control practices, artificial pollination technologies with the use of drones could be a successful tool for walnut blight disease management in orchards. Drones may carry pollen and release it over crops or mimic the actions of bees and other pollinators. Although this new pollination technology could be regarded as a promising tool, pollen germination and knowledge of pollen as a potential pathway for the dissemination of bacterial diseases remain crucial information for the development and production of aerial pollinator robots for walnut trees. Thus, our purpose was to describe a pollination model with fundamental components, including the identification of the “core” pollen microbiota, the use of drones for artificial pollination as a successful tool for managing walnut blight disease, specifying an appropriate flower pollination algorithm, design of an autonomous precision pollination robot, and minimizing the average errors of flower pollination algorithm parameters through machine learning and meta-heuristic algorithms. Full article
(This article belongs to the Special Issue Disruptive Trends in Automation Technology)
Show Figures

Figure 1

18 pages, 9867 KB  
Article
Parthenocarpic Cactus Pears (Opuntia spp.) with Edible Sweet Peel and Long Shelf Life
by Manuel Livera-Muñoz, Alfonso Muratalla-Lúa, Roberto Flores-Almaraz, Yolanda Donají Ortiz-Hernández, Víctor Arturo González-Hernández, Fernando Castillo-González, Carlos Hernández-Ramírez, Oscar Eduardo Varela-Delgadillo, Magnolia López-Soto, Jorge Manuel Valdez-Carrasco, José Alfredo Carrillo-Salazar and Ivan Ramírez-Ramírez
Horticulturae 2024, 10(1), 39; https://doi.org/10.3390/horticulturae10010039 - 30 Dec 2023
Cited by 8 | Viewed by 4101
Abstract
The fruits of the nopal (Opuntia spp.), cactus pears, are considered functional foods due to their content of nutritive and bioactive substances. Its pulp is generated by numerous seeds that limit their consumption due to their size and hardness and detract from [...] Read more.
The fruits of the nopal (Opuntia spp.), cactus pears, are considered functional foods due to their content of nutritive and bioactive substances. Its pulp is generated by numerous seeds that limit their consumption due to their size and hardness and detract from their quality. Other undesirable fruit characteristics are its inedible peel and its short shelf life. In the case of the cactus pear cactus (Opuntia spp.), no cultivar has been reported that produces quality parthenocarpic fruits, nor have they been obtained by artificially inducing parthenocarpy. The objectives of this research were to evaluate the response of 11 genotypes to the induction of parthenocarpy, to characterize the fruits of the genotypes with the best response, and to determine their postharvest life. To induce parthenocarpy, floral buds were used in the pre-anthesis stage, from which the style-stigma, stamens, and tepals were removed, generating a cavity in which a solution of growth regulators was applied (250 mg L−1 AG3 + 75 mg L −1 BA + 15 mg L−1 of AIB). A similar number of buds was used as a control, without treatment, and in free pollination. Only two genotypes, MX CP-30 Red and MX CP-40 Yellow, produced parthenocarpic fruits since their empty integuments produced pulp, remaining small, empty, and soft. Their peel was sweet (10–14 °Brix) and edible, and they had a longer shelf life than the corresponding fruits with seeds. Full article
(This article belongs to the Section Postharvest Biology, Quality, Safety, and Technology)
Show Figures

Figure 1

14 pages, 2312 KB  
Article
Characteristics and Fitness Analysis through Interspecific Hybrid Progenies of Transgenic Brassica napus and B. rapa L. ssp.
by Soo-In Sohn, Senthil Kumar Thamilarasan, Subramani Pandian, Young-Ju Oh, Hyeon-Jung Kang and Eun-Kyoung Shin
Int. J. Mol. Sci. 2022, 23(18), 10512; https://doi.org/10.3390/ijms231810512 - 10 Sep 2022
Cited by 6 | Viewed by 2779
Abstract
Interspecific hybridization between transgenic crops and their wild relatives is a major concern for transgene dispersal in the environment. Under controlled conditions, artificial hand pollination experiments were performed in order to assess the hybridization potential and the fitness of interspecific hybrids between Brassica [...] Read more.
Interspecific hybridization between transgenic crops and their wild relatives is a major concern for transgene dispersal in the environment. Under controlled conditions, artificial hand pollination experiments were performed in order to assess the hybridization potential and the fitness of interspecific hybrids between Brassica rapa and genetically modified (GM) Brassica napus. Initially, six subspecies of B. rapa were hybridized with GM B. napus through hand pollination. In the resulting F1 hybrids, the combination of B. rapa ssp. narinosa (♀) × GM B. napus (♂) had the highest crossability index (16.9 ± 2.6). However, the F1 selfing progenies of B. rapa ssp. rapa (♀) × GM B. napus were found to be more effective in producing viable future generations with the highest crossability index (1.6 ± 0.69) compared to other subspecies. Consequently, they were used for the generation of F2 and F3 progenies. The 18 different morphological characteristics among the parental cross-combinations and F1 hybrid progenies were measured and visualized through hierarchical clustering. Different generations were found to be grouped based on their different morphological characteristics. The chromosome numbers among the interspecific hybrids ranged from 2n = 29 to 2n = 40. Furthermore, the SSR markers revealed the presence of genomic portions in the hybrids in comparison with their parental lines. There is a high possibility of transgene flow between GM B. napus and B. rapa. The study concluded that the interspecific hybrids between B. napus and B. rapa can be viable and can actively hybridize up to F3 generations and more. This suggests that the GM B. napus can disperse the transgene into B. rapa, and that it can pass through for several generations by hand pollination in a greenhouse environment. Full article
(This article belongs to the Section Molecular Plant Sciences)
Show Figures

Figure 1

19 pages, 5837 KB  
Article
Transcriptomic, Hormonomic and Metabolomic Analyses Highlighted the Common Modules Related to Photosynthesis, Sugar Metabolism and Cell Division in Parthenocarpic Tomato Fruits during Early Fruit Set
by Miyako Kusano, Kanjana Worarad, Atsushi Fukushima, Ken Kamiya, Yuka Mitani, Yozo Okazaki, Yasuhiro Higashi, Ryo Nakabayashi, Makoto Kobayashi, Tetsuya Mori, Tomoko Nishizawa, Yumiko Takebayashi, Mikiko Kojima, Hitoshi Sakakibara, Kazuki Saito, Shuhei Hao, Yoshihito Shinozaki, Yoshihiro Okabe, Junji Kimbara, Tohru Ariizumi and Hiroshi Ezuraadd Show full author list remove Hide full author list
Cells 2022, 11(9), 1420; https://doi.org/10.3390/cells11091420 - 22 Apr 2022
Cited by 11 | Viewed by 4777
Abstract
Parthenocarpy, the pollination-independent fruit set, can raise the productivity of the fruit set even under adverse factors during the reproductive phase. The application of plant hormones stimulates parthenocarpy, but artificial hormones incur extra financial and labour costs to farmers and can induce the [...] Read more.
Parthenocarpy, the pollination-independent fruit set, can raise the productivity of the fruit set even under adverse factors during the reproductive phase. The application of plant hormones stimulates parthenocarpy, but artificial hormones incur extra financial and labour costs to farmers and can induce the formation of deformed fruit. This study examines the performance of parthenocarpic mutants having no transcription factors of SlIAA9 and SlTAP3 and sldella that do not have the protein-coding gene, SlDELLA, in tomato (cv. Micro-Tom). At 0 day after the flowering (DAF) stage and DAFs after pollination, the sliaa9 mutant demonstrated increased pistil development compared to the other two mutants and wild type (WT). In contrast to WT and the other mutants, the sliaa9 mutant with pollination efficiently stimulated the build-up of auxin and GAs after flowering. Alterations in both transcript and metabolite profiles existed for WT with and without pollination, while the three mutants without pollination demonstrated the comparable metabolomic status of pollinated WT. Network analysis showed key modules linked to photosynthesis, sugar metabolism and cell proliferation. Equivalent modules were noticed in the famous parthenocarpic cultivars ‘Severianin’, particularly for emasculated samples. Our discovery indicates that controlling the genes and metabolites proffers future breeding policies for tomatoes. Full article
(This article belongs to the Special Issue Metabolomics as a Tool for Functional Genomics)
Show Figures

Graphical abstract

18 pages, 3620 KB  
Article
Rapid Creation of Interspecific Hybrid Progeny to Broaden Genetic Distance through Double Haploid (DH) Inducer in Brassica napus
by Ying Zhou, Meicui Yang, Shihui Zhao, Haoran Shi, Yun Li, Wanzhuo Gong, Jin Yang, Jisheng Wang, Qiong Zou, Lanrong Tao, Zeming Kang, Rong Tang, Shixing Guo and Shaohong Fu
Plants 2022, 11(5), 695; https://doi.org/10.3390/plants11050695 - 4 Mar 2022
Cited by 7 | Viewed by 4166
Abstract
Interspecific hybridization of rapeseed is an important way to innovate breeding resources. This research used Brassica napus and Brassica rapa for artificial synthesis interspecific hybridization of F1. The F1 self-fruiting rate was particularly low. By comparing the fertilization rate and [...] Read more.
Interspecific hybridization of rapeseed is an important way to innovate breeding resources. This research used Brassica napus and Brassica rapa for artificial synthesis interspecific hybridization of F1. The F1 self-fruiting rate was particularly low. By comparing the fertilization rate and seed setting rate of nine crosses and selfing combinations of interspecific hybrid progeny F1 and control B. napus, the results proved that the genetic stability of egg cells was greater than that of sperm cells, so the F1 could get seed by artificial pollination with other normal pollen. Based on these results, interspecific maternal inbred offspring (induced F1) from egg cells was obtained by emasculation and pollination with the pollen of DH inducer Y3380. It was found through morphological analysis, flow cytometry identification, and meiotic observation of induced F1, the plants had most normal fertile tetraploid and the meiosis was normal. The FISH results showed that the induced F1 were B. napus (2n = 4x = 38, AACC), 20 A and 19 C chromosomes. The results of SNP chip detection and genetic cluster analysis found that the genetic variation between interspecies could be preserved or broadened in the induced F1. The use of DH inducer created special breeding resources for interspecific hybridization and distant hybridization of rapeseed while shortening time, improving efficiency, and providing a new insight into innovate breeding resources. Full article
(This article belongs to the Special Issue Plant Molecular Cytogenetics)
Show Figures

Figure 1

15 pages, 1863 KB  
Article
Flower Mimics Roll Out Multicolored Carpets to Lure and Kill the House Fly
by Hamady Dieng, Tomomitsu Satho, Nor Hafisa Syafina Binti Mohd Radzi, Fatimah Abang, Nur Faeza A. Kassim, Wan Fatma Zuharah, Nur Aida Hashim, Ronald E. Morales Vargas and Noppawan P. Morales
Insects 2021, 12(12), 1097; https://doi.org/10.3390/insects12121097 - 8 Dec 2021
Cited by 2 | Viewed by 3964
Abstract
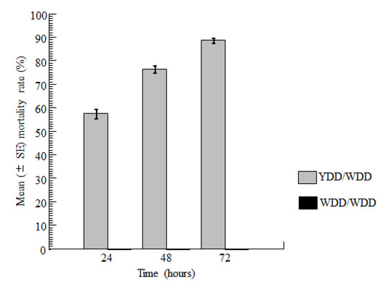
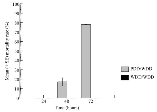
Flowers and their spatial clustering are important parameters that mediate the foraging behavior and visitation rate of pollinating insects. Visual stimuli are crucial for triggering behavioral changes in the house fly, Musca domestica, which regularly visits plants for feeding and reproduction. The [...] Read more.
Flowers and their spatial clustering are important parameters that mediate the foraging behavior and visitation rate of pollinating insects. Visual stimuli are crucial for triggering behavioral changes in the house fly, Musca domestica, which regularly visits plants for feeding and reproduction. The success of bait technology, which is the principal means of combatting flies, is adversely affected by reduced attractiveness and ineffective application techniques. Despite evidence that house flies have color vision capacity, respond to flowers, and exhibit color and pattern preference, the potential of artificial flowers as attractive factors has not been explored. The present study was performed to investigate whether artificial floral designs can lure and kill house flies. Starved wild house flies were presented with equal opportunities to acquire sugar meals, to which boric acid had been added as a toxin, from one flower arrangement (blue-dominated design, BDD; yellow-dominated design, YDD; or pink-dominated design, PDD), and a non-toxic white design (WDD). We also allowed house flies to forage within an enclosure containing two non-toxic floral designs (WDDs). The differences in mortality between the two environments with and without toxicant were examined. The survival rate of Musca domestica was extremely high when WDDs containing non-toxic sugar sources were the only feeding sites available. When given an option to forage in an environment containing a BDD and a WDD, house flies showed a high mortality rate (76%) compared to their counterparts maintained in the WDD environment (2%). When kept in an enclosure containing one YDD and a WDD, flies showed a mortality rate of 88%; however, no mortality occurred among flies confined to a compound with a WDD pair. When provided an even chance of foraging in an enclosure containing a mixed pair of floral arrangements (PDD and WDD) and another with two WDDs, flies showed a higher mortality rate (78%) in the first environment. However, the maximum survival rate (100%) was seen in the WDD environment. Exposure to YDD tended to result in a greater mortality rate than with the two other floral designs. Mortality gradually increased with time among flies exposed to tested artificial floral designs. The results presented here clearly indicated that artificial flower arrangements with a toxic sugar reward were strikingly attractive for house flies when their preferred color (white) was present. These observations offer novel possibilities for future development of flower mimic-based house fly control. Full article
(This article belongs to the Section Insect Pest and Vector Management)
Show Figures

Figure 1

Back to TopTop