Biodiversity Performance of Living Wall Systems in Urban Environments: A UK Case Study of Plant Selection and Substrate Effects on Multi-Taxa Communities
Abstract
1. Introduction
1.1. Objectives
- To identify knowledge gaps in current LWS biodiversity research.
- To evaluate the role of plant species choice in supporting aboveground and soil-dwelling invertebrates on LWS.
- To assess the contribution of soil-based growth media to invertebrate diversity and ecological function.
- To evaluate the biodiversity value of LWS.
1.2. Scoping Review of Living Walls Biodiversity Benefits Literature
1.3. Floristic Composition and Growth Form of Temperate Living Wall Vegetation
2. Study Sites and Living Wall Systems
2.1. Survey Methods for Multi-Taxa Living Wall Biodiversity Assessments
2.2. Invertebrate Surveys
2.3. Assessment of Above-Ground Flower-Visiting Bees, Hoverflies and Predatory Spiders
2.4. Below-Ground Soil Meso- and Macrofaunal Invertebrate Sampling Methods
2.5. Avian Acoustic Monitoring Methods
2.6. Bat Emergence Surveys
2.7. Statistical Analysis of Biodiversity Indicators
3. Results
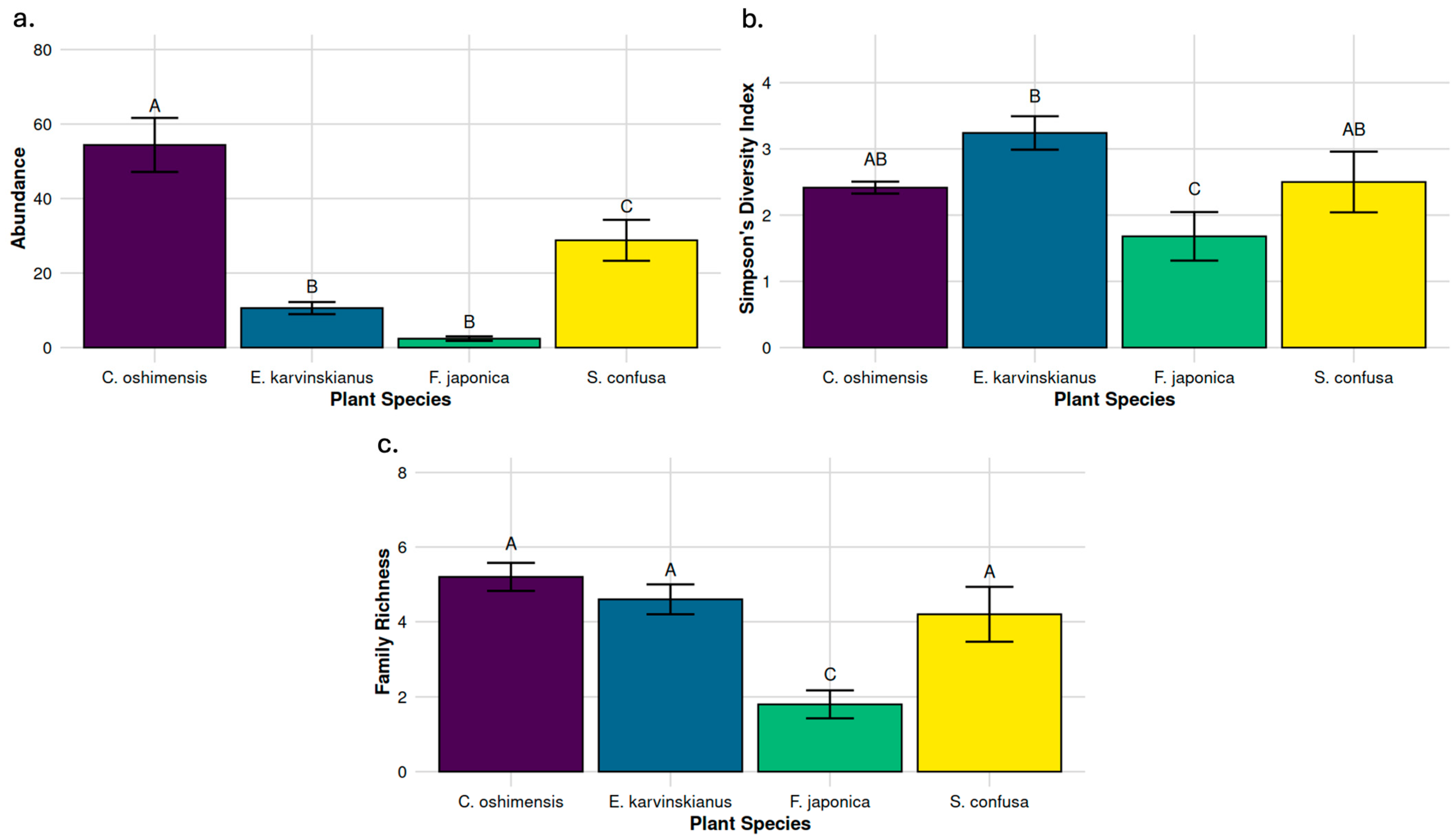
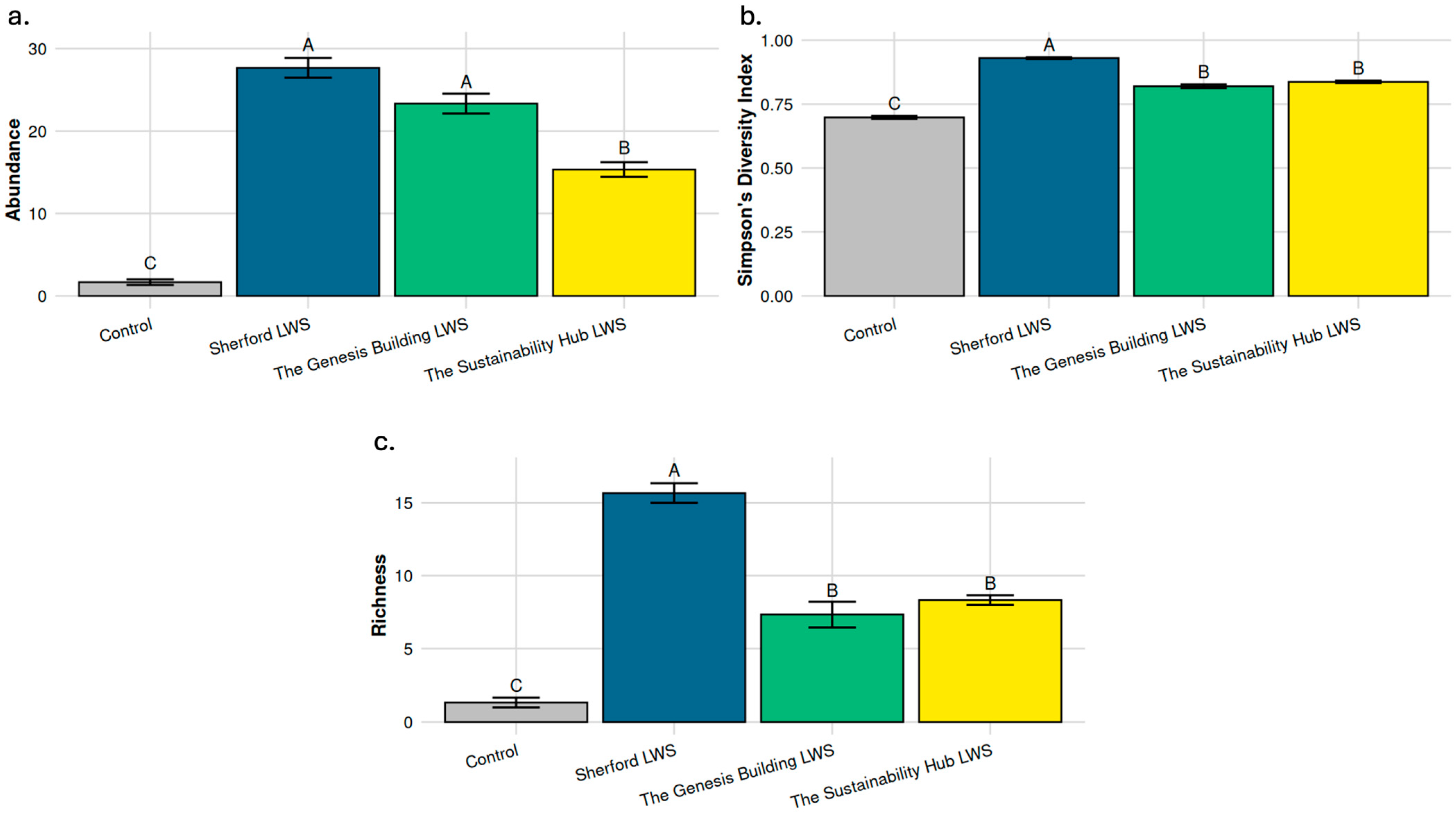
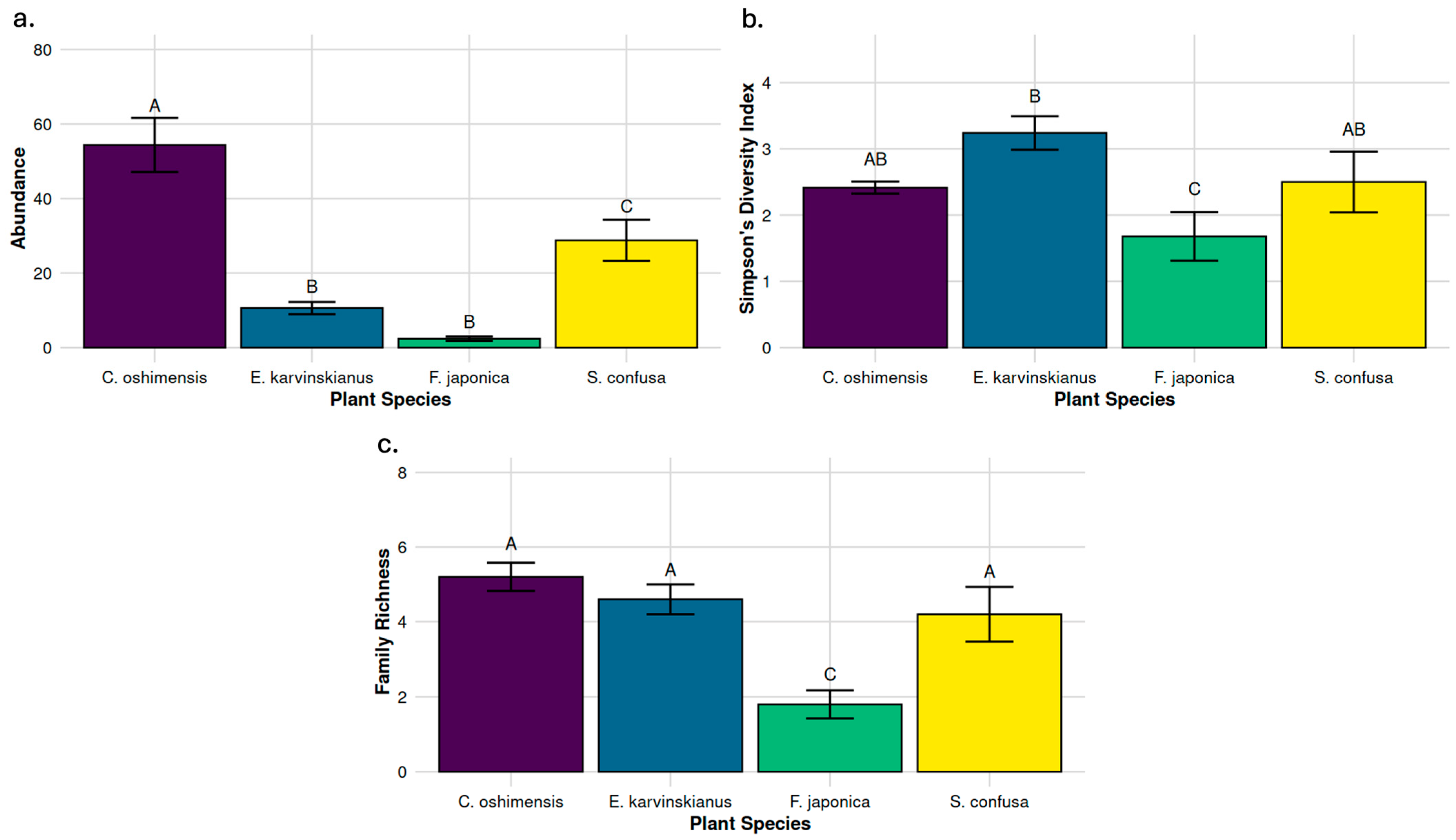
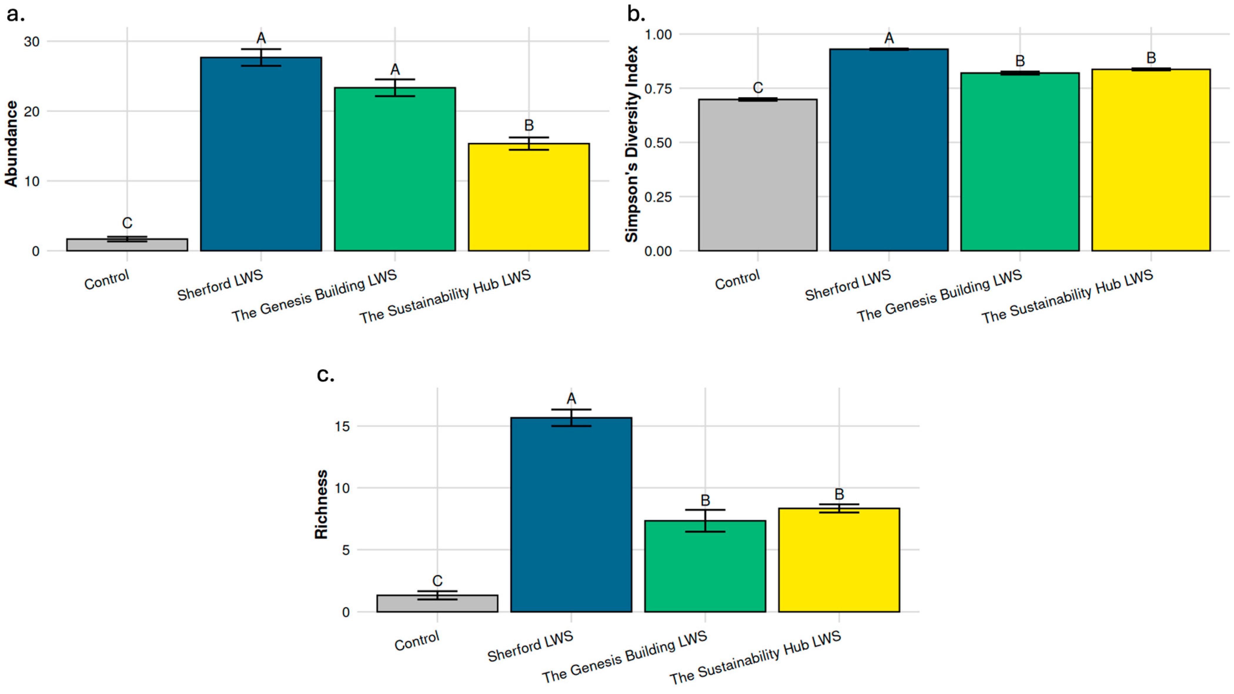
3.1. Above-Ground Plant-Invertebrate Associations on Living Walls
3.2. Soil Invertebrates Associated with Living Wall Plants
3.3. Avian Acoustic Survey and Bat Survey Results
4. Discussion
4.1. Optimising Living Wall Systems (LWS) for Biodiversity: The Role of Plant Species Selection
4.2. Soil-Based Growth Media and Its Contribution to Biodiversity in Living Wall Systems
4.3. Possible Approaches for Biodiversity Valuation of LWS
5. Conclusions
- Embed LWS into statutory planning policy with enforceable biodiversity standards and clear design guidelines [74].
- Integrate LWS into wider green infrastructure networks to enhance habitat connectivity and species movement.
- Adopt valuation frameworks that recognise functional and species-level contributions, such as Wallacea’s composite methodology [35].
- Prioritise native plantings, complemented by selected non-native evergreens for year-round cover and climate resilience.
- Mandate long-term monitoring and maintenance plans to ensure sustained ecological performance.
Supplementary Materials
Author Contributions
Funding
Institutional Review Board Statement
Informed Consent Statement
Data Availability Statement
Acknowledgments
Conflicts of Interest
References
- United Nations. World Urbanization Prospects 2018; Department of Economics and Social Affairs—Population Dynamics: New York, NY, USA, 2019; Available online: https://population.un.org/wup/assets/Publications/WUP2018-Report.pdf/ (accessed on 26 November 2025).
- Seto, K.C.; Güneralp, B.; Hutyra, L.R. Global Forecasts of Urban Expansion to 2030 and Direct Impacts on Biodiversity and Carbon Pools. Proc. Natl. Acad. Sci. USA 2012, 109, 16083–16088. [Google Scholar] [CrossRef]
- Li, G.; Fang, C.; Li, Y. Global Impacts of Future Urban Expansion on Terrestrial Vertebrate Diversity. Nat. Commun. 2022, 13, 1628. [Google Scholar] [CrossRef]
- Ministry of Housing, Communities and Local Government. National Planning Policy Framework—Revised. December 2024. Available online: https://assets.publishing.service.gov.uk/media/67aafe8f3b41f783cca46251/NPPF_December_2024.pdf/ (accessed on 26 November 2025).
- Tzoulas, K.; Korpela, K.; Venn, S.; Yli-Pelkonen, V.; Kazmierczak, A.; Niemelä, J.; James, P. Promoting Ecosystem and Human Health in Urban Areas Using Green Infrastructure: A Literature Review. Landsc. Urban Plan. 2007, 81, 167–178. [Google Scholar] [CrossRef]
- Ottelé, M.; Perini, K.; Fraaij, A.L.A.; Haas, E.M.; Raiteri, R. Comparative Life Cycle Analysis for Green Façades and Living Wall Systems. Energy Build. 2011, 43, 3419–3429. [Google Scholar] [CrossRef]
- Francis, R.A.; Lorimer, J. Urban Reconciliation Ecology: The Potential of Living Roofs and Walls. J. Environ. Manag. 2011, 92, 1429–1437. [Google Scholar] [CrossRef] [PubMed]
- Sommese, F. Nature-Based Solutions to Enhance Urban Resilience in the Climate Change and Post-Pandemic Era: A Taxonomy for the Built Environment. Buildings 2024, 14, 2190. [Google Scholar] [CrossRef]
- Aronson, M.F.J.; La Sorte, F.A.; Nilon, C.H.; Katti, M.; Goddard, M.A.; Lepczyk, C.A.; Warren, P.S.; Williams, N.S.G.; Cilliers, S.; Clarkson, B.; et al. A Global Analysis of the Impacts of Urbanization on Bird and Plant Diversity Reveals Key Anthropogenic Drivers. Proc. R. Soc. B Biol. Sci. 2014, 281, 20133330. [Google Scholar] [CrossRef] [PubMed]
- Ives, C.D.; Lentini, P.E.; Threlfall, C.G.; Ikin, K.; Shanahan, D.F.; Garrard, G.E.; Bekessy, S.A.; Fuller, R.A.; Mumaw, L.; Rayner, L.; et al. Cities Are Hotspots for Threatened Species. Glob. Ecol. Biogeogr. 2016, 25, 117–126. [Google Scholar] [CrossRef]
- Perini, K.; Ottelé, M.; Fraaij, A.L.A.; Haas, E.M.; Raiteri, R. Vertical Greening Systems and the Effect on Air Flow and Temperature on the Building Envelope. Build. Environ. 2013, 46, 2287–2294. [Google Scholar] [CrossRef]
- Cameron, R.W.F.; Taylor, J.E.; Emmett, M.R. What’s “Cool” in the World of Green Façades? How Plant Choice Influences the Cooling Properties of Green Walls. Build. Environ. 2014, 73, 198–207. [Google Scholar] [CrossRef]
- Fox, M.; Morewood, J.; Murphy, T.; Lunt, P.; Goodhew, S. Living Wall Systems for Improved Thermal Performance of Existing Buildings. Build. Environ. 2022, 207, 108491. [Google Scholar] [CrossRef]
- Lunt, P.H.; Fuller, K.; Fox, M.; Goodhew, S.; Murphy, T.R. Comparing the Thermal Conductivity of Three Soil Types under Differing Moisture and Density Conditions for Use in Green Infrastructure. Soil Use Manag. 2022, 39, 260–269. [Google Scholar] [CrossRef]
- Köhler, M. Green Facades—A View Back and Some Visions. Urban Ecosyst. 2008, 11, 423–436. [Google Scholar] [CrossRef]
- Rondeau, A.; Mandon, A.; Malhautier, L.; Poly, F.; Richaume, A. Biopurification of Air Containing a Low Concentration of TEX: Comparison of Removal Efficiency Using Planted and Non-Planted Biofilters. J. Chem. Technol. Biotechnol. 2012, 87, 746–750. [Google Scholar] [CrossRef]
- Ismail, M.R. Quiet Environment: Acoustics of Vertical Green Wall Systems of the Islamic Urban Form. Front. Archit. Res. 2013, 2, 162–171. [Google Scholar] [CrossRef]
- Tiago, P.; Leal, A.I.; Matos Silva, C. Assessing Ecological Gains: A Review of How Arthropods, Bats and Birds Benefit from Green Roofs and Walls. Environments 2024, 11, 76. [Google Scholar] [CrossRef]
- Madre, F.; Clergeau, P.; Machon, N.; Vergnes, A. Building Biodiversity: Vegetated Façades as Habitats for Spider and Beetle Assemblages. Glob. Ecol. Conserv. 2015, 3, 222–233. [Google Scholar] [CrossRef]
- Fernández-Cañero, R.; Pérez Urrestarazu, L.; Perini, K. Vertical Greening Systems: Classifications, Plant Species, Substrates. In Nature Based Strategies for Urban and Building Sustainability; Pérez, G., Perini, K., Eds.; Butterworth-Heinemann: Oxford, UK, 2018; pp. 45–54. ISBN 9780128121504. [Google Scholar]
- Salisbury, A.; Blanusa, T.; Bostock, H.; Perry, J.N. Careful Plant Choice Can Deliver More Biodiverse Vertical Greening (Green Façades). Urban For. Urban Green. 2023, 89, 128118. [Google Scholar] [CrossRef]
- Dunnett, N.; Kingsbury, N. Planting Green Roofs and Living Walls; Timber Press: Portland, OR, USA, 2008; ISBN 978-0881929119. [Google Scholar]
- Weiler, S.K.; Scholz-Barth, K. Green Roof Systems: A Guide to the Planning, Design, and Construction of landscapes Over Structure; John Wiley & Sons: Hoboken, NJ, USA, 2009; ISBN 978-0471674955. [Google Scholar]
- Tartaglia, E.S.; Aronson, M.F.J. Plant Native: Comparing Biodiversity Benefits, Ecosystem Services Provisioning, and Plant Performance of Native and Non-Native Plants in Urban Horticulture. Urban Ecosyst. 2024, 27, 2587–2611. [Google Scholar] [CrossRef]
- Andrade, M.; Fernandes, C.; Figueiredo, A. Are Urban Green Spaces’ Attributes Relevant to Explain the Occurrence of Invasive Species Within Urban Green Infrastructure? Urban Sci. 2025, 9, 260. [Google Scholar] [CrossRef]
- Russo, A.; Esperon-Rodriguez, M.; St-Denis, A.; Tjoelker, M.G. Native vs. Non-Native Plants: Public Preferences, Ecosystem Services, and Conservation Strategies for Climate-Resilient Urban Green Spaces. Land 2025, 14, 954. [Google Scholar] [CrossRef]
- Bustami, R.A.; Belusko, M.; Ward, J.; Beecham, S. A Statistically Rigorous Approach to Experimental Design of Vertical Living Walls for Green Buildings. Urban Sci. 2019, 3, 71. [Google Scholar] [CrossRef]
- Uthappa, A.R.; Shishira, D.; Chavan, S.; Kumar, M. Soil Arthropods and Their Role in Soil Health Sustenance. Available online: https://www.researchgate.net/publication/362301891_Soil_arthropods_and_their_role_in_soil_health_sustenance (accessed on 13 August 2025).
- Lewandowski, D.; Cortina-Segarra, J.; Klein, T.; Früh, B. Bioreceptivity of Living Walls: Interactions between Building Materials and Biological Colonization. Build. Environ. 2023, 241, 110719. [Google Scholar] [CrossRef]
- Manso, M.; Castro-Gomes, J. Green Wall Systems: A Review of Their Characteristics. Renew. Sustain. Energy Rev. 2015, 41, 863–871. [Google Scholar] [CrossRef]
- Pérez-Urrestarazu, L.; Fernández-Cañero, R.; Franco-Salas, A.; Egea, G. Vertical Greening Systems and Sustainable Cities. J. Urban Technol. 2016, 23, 59–79. [Google Scholar] [CrossRef]
- Environment Act 2021. UK Public General Acts c. 30. 2021. Available online: https://www.legislation.gov.uk/ukpga/2021/30/part/6/crossheading/biodiversity-gain-in-planning/enacted (accessed on 8 August 2025).
- Natural England. The Biodiversity Metric 4.0 User Guide; Natural England Joint Publication JP039; Natural England. March 2023. Available online: https://www.researchgate.net/publication/373453757_The_Biodiversity_Metric_40_User_Guide?channel=doi&linkId=64eda1adc4f9ac00607473d2&showFulltext=true (accessed on 26 November 2025).
- Defra. Understanding Biodiversity Net Gain: Guidance on What BNG Is and How It Affects Land Managers, Developers and Local Planning Authorities: GOV.UK. 2025. Available online: https://www.gov.uk/guidance/understanding-biodiversity-net-gain (accessed on 26 November 2025).
- Wallacea Trust. Species-Level Biodiversity Assessment Methodology. Available online: https://wallaceatrust.org (accessed on 7 August 2025).
- Foo, J.; O’Dea, R.E.; Koricheva, J.; Nakagawa, S.; Lagisz, M. A Practical Guide to Question Formation, Systematic Searching and Study Screening for Literature Reviews in Ecology and Evolution. Methods Ecol. Evol. 2021, 12, 1705–1720. [Google Scholar] [CrossRef]
- Shamseer, L.; Moher, D.; Clarke, M.; Ghersi, D.; Liberati, A.; Petticrew, M.; Shekelle, P.; Stewart, L.A.; PRISMA-P Group. Preferred Reporting Items for Systematic Review and Meta-Analysis Protocols (PRISMA-P) 2015: Elaboration and Explanation. BMJ 2015, 349, g7647. [Google Scholar] [CrossRef]
- Murphy, T.R.; Hanley, M.E.; Ellis, J.S.; Lunt, P.H. Deviation between Projected and Observed Precipitation Trends Greater with Altitude. Clim. Res. 2019, 79, 77–89. [Google Scholar] [CrossRef]
- Scotscape. Living Wall Systems: Modular Green Infrastructure for Urban Environments. Available online: https://www.scotscape.co.uk/our-products/living-walls (accessed on 20 August 2025).
- Biotecture Ltd. Why Hydroponics? Available online: https://www.biotecture.uk.com/design-and-specify/why-hydroponics/ (accessed on 7 August 2025).
- Pinho, P.; Correia, O.; Lecoq, M.; Munzi, S.; Vasconcelos, S.; Gonçalves, P.; Rebelo, R.; Antunes, C.; Silva, P.; Freitas, C.; et al. Evaluating Green Infrastructure in Urban Environments Using a Multi-Taxa and Functional Diversity Approach. Environ. Res. 2016, 147, 601–610. [Google Scholar] [CrossRef]
- Arizaga, J.; Garin-Barrio, I.; Etxeberria, M.; García del Bao, A.; Laso, M. The Value of Multi-Taxon Approaches to Improve Biodiversity Assessment at Municipal Scales. Anim. Biodivers. Conserv. 2024, 47, 161–170. [Google Scholar] [CrossRef]
- Rooney, T.; Roberson, E. Deer Herbivory Reduces Web-Building Spider Abundance by Simplifying Forest Vegetation Structure. PeerJ 2016, 4, e2538. [Google Scholar] [CrossRef]
- Natural History Museum of Bern. World Spider Catalog. Available online: https://wsc.nmbe.ch/statistics/ (accessed on 7 April 2022).
- Cornell Lab of Ornithology. Merlin Bird ID App. Available online: https://merlin.allaboutbirds.org (accessed on 20 August 2025).
- R Core Team. R: A Language and Environment for Statistical Computing; R Foundation for Statistical Computing: Vienna, Austria, 2025; Available online: https://www.R-project.org/ (accessed on 20 August 2025).
- Wickham, H. ggplot2: Elegant Graphics for Data Analysis; Springer: New York, NY, USA, 2016; Available online: https://ggplot2.tidyverse.org (accessed on 26 November 2025).
- Fox, J.; Weisberg, S. An R Companion to Applied Regression; Sage Publications: Thousand Oaks, CA, USA, 2019; ISBN 9781544336473. [Google Scholar]
- Fuller, R.A.; Irvine, K.N.; Devine-Wright, P.; Warren, P.H.; Gaston, K.J. Psychological Benefits of Green Space Increase with Biodiversity. Biol. Lett. 2007, 3, 390–394. [Google Scholar] [CrossRef]
- Collins, R.; Schaafsma, M.; Hudson, M.D. The Value of Green Walls to Urban Biodiversity. Land Use Policy 2017, 64, 114–123. [Google Scholar] [CrossRef]
- Goel, M.; Jha, B.; Khan, S. Living Walls Enhancing the Urban Realm: A Review. Environ. Sci. Pollut. Res. 2022, 29, 38715–38734. [Google Scholar] [CrossRef]
- Mayrand, F.; Clergeau, P. Green Roofs and Green Walls for Biodiversity Conservation: A Contribution to Urban Connectivity? Sustainability 2018, 10, 985. [Google Scholar] [CrossRef]
- Hecht, K.; Haan, L.; Wösten, H.A.B.; Hamel, P.; Swaminathan, S.; Jain, A. Rocks and Walls: Biodiversity and Temperature Regulation of Natural Cliffs and Vertical Greenery Systems. Build. Environ. 2025, 268, 112308. [Google Scholar] [CrossRef]
- Glen, A.S.; Pech, R.P.; Byrom, A.E. Connectivity and Invasive Species Management: Towards an Integrated Landscape Approach. Biol. Invasions 2013, 15, 2127–2138. [Google Scholar] [CrossRef]
- Boscutti, F.; Lami, F.; Pellegrini, E.; Buccheri, M.; Busato, F.; Martini, F.; Sibella, R.; Sigura, M.; Marini, L. Urban Sprawl Facilitates Invasions of Exotic Plants across Multiple Spatial Scales. Biol. Invasions 2022, 24, 1497–1510. [Google Scholar] [CrossRef]
- Gaertner, M.; Larson, B.M.H.; Irlich, U.M.; Holmes, P.M.; Stafford, L.; Richardson, D.M. Managing Invasive Species in Cities: A Framework from Cape Town, South Africa. Landsc. Urban Plan. 2016, 151, 1–9. [Google Scholar] [CrossRef]
- Partridge, D.R.; Clark, J.A. Urban Green Roofs Provide Habitat for Migrating and Breeding Birds and Their Arthropod Prey. PLoS ONE 2018, 13, e0202298. [Google Scholar] [CrossRef] [PubMed]
- Benedict, M.A.; McMahon, E.T. Green Infrastructure: Linking Landscapes and Communities; Island Press: Washington, DC, USA, 2006; ISBN 9781559635585. [Google Scholar]
- Belcher, R.N.; Fornasari, L.; Menz, S.; Schroepfer, T. Birds’ Use of Vegetated and Non-Vegetated High-Density Buildings—A Case Study of Milan. J. Urban Ecol. 2018, 4, juy001. [Google Scholar] [CrossRef]
- Tonietto, R.; Fant, J.; Ascher, J.; Ellis, K.; Larkin, D. A Comparison of Bee Communities of Chicago Green Roofs, Parks and Prairies. Landsc. Urban Plan. 2011, 103, 102–108. [Google Scholar] [CrossRef]
- Braaker, S.; Ghazoul, J.; Obrist, M.K.; Moretti, M. Habitat Connectivity and Local Conditions Shape Taxonomic and Functional Diversity of Arthropods on Green Roofs. J. Anim. Ecol. 2017, 86, 521–531. [Google Scholar] [CrossRef]
- Salisbury, A.; Armitage, J.; Bostock, H.; Perry, J.; Tatchell, M.; Thompson, K. Enhancing Gardens as Habitats for Plant-Associated Invertebrates: Should We Plant Native or Exotic Species? Biodivers. Conserv. 2017, 26, 2657–2673. [Google Scholar] [CrossRef]
- Law, C.M.Y.; Wong, N.H.; Tan, C.L.; Lim, H.S.; Wong, D.K.W. Data-Driven Approach for Optimising Plant Species Selection and Planting Design on Outdoor Modular Green Walls with Aesthetic, Maintenance, and Water-Saving Goals. Sustainability 2025, 17, 3528. [Google Scholar] [CrossRef]
- Siemann, E.; Tilman, D.; Haarstad, J. Experimental Tests of the Impacts of Plant Diversity on Community Structure and Ecosystem Functioning. Ecol. Monogr. 1998, 68, 427–442. [Google Scholar] [CrossRef]
- Voigt, A.; Kabisch, N.; Wurster, D.; Haase, D.; Breuste, J. Structural Diversity: A Multi-Dimensional Approach to Assess Recreational Services in Urban Parks. Ambio 2014, 43, 480–491. [Google Scholar] [CrossRef]
- Droz, A.G.; Koyama, A.; Zhang, J.; Stephan, R.; Schindlbacher, A.; Rousk, J.; Frey, S.D. Drivers of Fungal Diversity and Community Biogeography Differ in Green Roofs vs. Ground Soils. Environ. Microbiol. 2022, 24, 5781–5797. [Google Scholar] [CrossRef]
- Wang, X.; Chi, Y.; Song, S. Important Soil Microbiota’s Effects on Plants and Soils: A Comprehensive 30-Year Systematic Literature Review. Front. Microbiol. 2024, 15, 1347745. [Google Scholar] [CrossRef]
- Bray, N.; Wickings, K. The Roles of Invertebrates in the Urban Soil Microbiome. Front. Ecol. Evol. 2019, 7, 359. [Google Scholar] [CrossRef]
- Chiquet, C.; Dover, J.W.; Mitchell, P. Birds and the Urban Environment: The Value of Green Walls. Urban Ecosyst. 2013, 16, 453–462. [Google Scholar] [CrossRef]
- Fulthorpe, R.; MacIvor, J.S.; Jia, P.; Yasui, S.-L.E. The Green Roof Microbiome: Improving Plant Survival for Urban Roof Ecosystems. Front. Ecol. Evol. 2018, 6, 5. [Google Scholar] [CrossRef]
- Viritopia. Living Walls and Biodiversity: How Vertical Gardens Support Urban Wildlife. Available online: https://www.viritopia.com/living-wall (accessed on 8 August 2025).
- Delgado-Baquerizo, M.; Reich, P.B.; Trivedi, C.; Eldridge, D.J.; Abades, S.; Alfaro, F.D.; Bastida, F.; Berhe, A.A.; Cutler, N.A.; Gallardo, A.; et al. Multiple Elements of Soil Biodiversity Drive Ecosystem Functions across Biomes. Nat. Ecol. Evol. 2020, 4, 210–220. [Google Scholar] [CrossRef] [PubMed]
- Natural England. Biodiversity Net Gain: How to Use the Biodiversity Metric. GOV.UK. Available online: https://www.gov.uk/guidance/biodiversity-net-gain (accessed on 19 August 2025).
- Rampling, E.E.; Bull, J.W.; zu Ermgassen, S.O.S.E.; Hawkins, I. Achieving Biodiversity Net Gain by Addressing Governance Gaps Underpinning Ecological Compensation Policies. Conserv. Biol. 2024, 38, e14198. [Google Scholar] [CrossRef] [PubMed]
- Wildlife and Countryside Act 1981. UK Public General Acts c. 69. 1981. Available online: https://www.legislation.gov.uk/ukpga/1981/69 (accessed on 8 August 2025).
- Lehrer, E.W.; Gallo, T.; Fidino, M.; Kilgour, R.J.; Wolff, P.J.; Magle, S.B. Urban Bat Occupancy Is Highly Influenced by Noise and the Location of Water: Considerations for Nature-Based Urban Planning. Landsc. Urban Plan. 2021, 210, 104063. [Google Scholar] [CrossRef]
- Microsoft Research. Accelerating Biodiversity Surveys with AI. Available online: https://www.microsoft.com/en-us/research/project/accelerating-biodiversity-surveys/ (accessed on 8 August 2025).
- Larcher, F.; Battisti, L.; Bianco, L.; Giordano, R.; Montacchini, E.; Serra, V.; Tedesco, S. Sustainability of Living Wall Systems Through an Ecosystem Services Lens. In Urban Horticulture; Nandwani, D., Ed.; Springer: Cham, Switzerland, 2018; pp. 31–51. ISBN 978-331-967-017-1. [Google Scholar]







| Search String | Number of Papers |
|---|---|
| “Green * Infrastructure *” AND Biodiversity * | 2638 |
| “Living * Wall *” | 500 |
| “Living * Wall *” AND Species * | 134 |
| “Living * Wall *” AND Birds | 11 |
| “Living * Wall *” AND “Native * Plant *” | 4 |
| “Living * Wall *” AND Invertebrates * | 2 |
| “Living * Wall *” AND Bats * | 2 |
| Search String | Number of Papers |
|---|---|
| “Green * Wall *” AND Soil * | 81 |
| “Green * Wall *” AND Soil * AND Biodiversity * | 12 |
| “Green * Wall *” AND Perlite * | 20 |
| “Green * Wall *” AND Hydroponic * | 16 |
| “Green * Wall *” AND Clay * | 13 |
| “Green * Wall *” AND Biochar * | 7 |
| “Green * Wall *” AND “Rockwool *” | 4 |
| “Green * Wall *” AND Peat * | 3 |
| “Green * Wall *” AND Vermiculite * | 2 |
| “Green * Wall *” AND “Clay * pellet *” | 1 |
| Sustainability Hub Green Wall | |||
| Plant Species | Flowering Times | Growth Form | Native Status |
| Geranium cantabrigiense (cranesbill) | Spring-Summer | herbaceous perennial | non-native |
| Veronica catarractae (parahebe ‘Avalanche’) | Summer | shrub | non-native |
| Erigeron karvinskianus (Mexican fleabane) | Summer | herbaceous perennial | non-native |
| Fatsia japonica (Japanese aralia) | late Autumn | shrub | non-native |
| Carex oshimensis (Japanese sedge) | Summer | herbaceous perennial | non-native |
| Sarcococca confusa (sweet box) | Winter | shrub | non-native |
| Sherford Green Wall | |||
| Plant Species | Flowering Times | Growth Form | Native Status |
| Hedera helix (Ivy) | Autumn | climber | native |
| Lonicera japonica (Japanese honeysuckle) | Summer | climber | non-native (naturalised) |
| Brassica napus subsp. Napus (rapeseed) | Spring | herbaceous annual or biennial | non-native (naturalised) |
Disclaimer/Publisher’s Note: The statements, opinions and data contained in all publications are solely those of the individual author(s) and contributor(s) and not of MDPI and/or the editor(s). MDPI and/or the editor(s) disclaim responsibility for any injury to people or property resulting from any ideas, methods, instructions or products referred to in the content. |
© 2025 by the authors. Licensee MDPI, Basel, Switzerland. This article is an open access article distributed under the terms and conditions of the Creative Commons Attribution (CC BY) license (https://creativecommons.org/licenses/by/4.0/).
Share and Cite
Lunt, P.H.; Buckley, J.; Mitchell, S.; Thomas, G.; Churella, E.; Murphy, T.R. Biodiversity Performance of Living Wall Systems in Urban Environments: A UK Case Study of Plant Selection and Substrate Effects on Multi-Taxa Communities. Urban Sci. 2025, 9, 519. https://doi.org/10.3390/urbansci9120519
Lunt PH, Buckley J, Mitchell S, Thomas G, Churella E, Murphy TR. Biodiversity Performance of Living Wall Systems in Urban Environments: A UK Case Study of Plant Selection and Substrate Effects on Multi-Taxa Communities. Urban Science. 2025; 9(12):519. https://doi.org/10.3390/urbansci9120519
Chicago/Turabian StyleLunt, Paul Henry, James Buckley, Suzanne Mitchell, Gabriel Thomas, Elek Churella, and Thomas Richard Murphy. 2025. "Biodiversity Performance of Living Wall Systems in Urban Environments: A UK Case Study of Plant Selection and Substrate Effects on Multi-Taxa Communities" Urban Science 9, no. 12: 519. https://doi.org/10.3390/urbansci9120519
APA StyleLunt, P. H., Buckley, J., Mitchell, S., Thomas, G., Churella, E., & Murphy, T. R. (2025). Biodiversity Performance of Living Wall Systems in Urban Environments: A UK Case Study of Plant Selection and Substrate Effects on Multi-Taxa Communities. Urban Science, 9(12), 519. https://doi.org/10.3390/urbansci9120519

