Sign in to use this feature.

Years

Between: -

Subjects

remove_circle_outline
remove_circle_outline
remove_circle_outline
remove_circle_outline
remove_circle_outline
remove_circle_outline
remove_circle_outline
remove_circle_outline
remove_circle_outline

Journals

remove_circle_outline
remove_circle_outline
remove_circle_outline
remove_circle_outline
remove_circle_outline
remove_circle_outline
remove_circle_outline
remove_circle_outline
remove_circle_outline
remove_circle_outline
remove_circle_outline
remove_circle_outline
remove_circle_outline
remove_circle_outline

Article Types

Countries / Regions

remove_circle_outline
remove_circle_outline
remove_circle_outline
remove_circle_outline
remove_circle_outline

Search Results (839)

Search Parameters:
Keywords = art market

Order results
Result details
Results per page
Select all
Export citation of selected articles as:
21 pages, 3014 KB  
Article
A Peritextual Study of the Decadent Cover Art Choices for Arthur Schnitzler’s The Road into the Open
by Méghan Elizabeth Hodges
Humanities 2026, 15(1), 16; https://doi.org/10.3390/h15010016 - 15 Jan 2026
Viewed by 145
Abstract
In George Eliot’s The Mill on the Floss (1860), we are cautioned not to judge a book by its cover. Yet, the marketing team at every publisher knows that we, the audience, inevitably do just that. In the case of Arthur Schnitzler’s The [...] Read more.
In George Eliot’s The Mill on the Floss (1860), we are cautioned not to judge a book by its cover. Yet, the marketing team at every publisher knows that we, the audience, inevitably do just that. In the case of Arthur Schnitzler’s The Road Into the Open (1908), various editions have featured paintings or drawings by contemporary Austrian artists, including Max Kurzweil, Gustav Klimt, and Egon Schiele, as the cover art. Schnitzler’s novel initially emerges in Pre-World-War-I Austria, a society grappling with political instability, fears about moral decline, and a preoccupation with neuroses. The anxious society that produced Schnitzler, Kurzweil, Klimt, and Schiele has been considered a representation par excellence of fin-de-siècle decadence. Following Gerard Genette’s Paratexts, I inquire as to the effect(s) of cover art and the competing visions of the novel they represent. This study responds to the following questions. How have publishers used or misused decadent imagery in (re)productions of Schnitzler’s novel? What meaning can be made from the use of the works by Kurzweil, Klimt, and Schiele as cover art? What contribution does each work make to our understanding of the Austria in Schnitzler’s novel? How does the reception of the author complement or compete with the reception of each painter? Full article
(This article belongs to the Special Issue The Use and Misuse of Fin-De-Siècle Decadence and Its Imagination)
Show Figures

Figure 1

13 pages, 664 KB  
Review
A Review of Textile Hydrogel Integration in Firefighting Personal Protective Clothing
by Sydney Tindall, Meredith McQuerry and Josephine Bolaji
Polymers 2026, 18(2), 204; https://doi.org/10.3390/polym18020204 - 12 Jan 2026
Viewed by 251
Abstract
Traditional firefighting protective clothing materials, such as meta- and para-aramid fibers, provide significant thermal protection but often fail to adequately manage heat stress and moisture, especially due to the incorporation of semi-permeable membranes within the three-layer garment structure known as turnout gear. Integrating [...] Read more.
Traditional firefighting protective clothing materials, such as meta- and para-aramid fibers, provide significant thermal protection but often fail to adequately manage heat stress and moisture, especially due to the incorporation of semi-permeable membranes within the three-layer garment structure known as turnout gear. Integrating hydrogels into textiles for firefighting personal protective clothing (PPC) could enhance thermoregulation and moisture management, providing firefighters with improved comfort and safety. Hydrogels are three-dimensional, hydrophilic polymer networks capable of holding substantial amounts of water. Their high water content and excellent thermal properties make them ideal for cooling applications. Therefore, this review focuses on the potential of hydrogel-infused textiles to improve firefighters’ PPC by enhancing thermal comfort and moisture management. Specifically, hydrogel structures and engineered properties for enhanced performance are presented, including smart hydrogels and hydration customization mechanisms. Hydrogel integration into firefighting PPC for moisture management and improved thermoregulation is explored, including current and future market projections and state-of-the-art clinical trial findings. Overall, the future of hydrogel-integrated textiles for firefighting PPC is bright, with numerous advancements and trends poised to enhance the safety, comfort, and performance of protective gear. Full article
(This article belongs to the Special Issue Technical Textile Science and Technology)
Show Figures

Graphical abstract

37 pages, 927 KB  
Review
Circular Economy Pathways for Critical Raw Materials: European Union Policy Instruments, Secondary Supply, and Sustainable Development Outcomes
by Sergiusz Pimenow, Olena Pimenowa and Włodzimierz Rembisz
Sustainability 2026, 18(2), 562; https://doi.org/10.3390/su18020562 - 6 Jan 2026
Viewed by 340
Abstract
Achieving sustainable development in the low-carbon transition requires securing critical raw materials (CRMs) while reducing environmental burdens and strengthening industrial resilience (SDGs 7, 9, 12, 13). This review synthesizes 2016–2025 evidence on how the European Union’s policy package—the Critical Raw Materials Act (CRMA), [...] Read more.
Achieving sustainable development in the low-carbon transition requires securing critical raw materials (CRMs) while reducing environmental burdens and strengthening industrial resilience (SDGs 7, 9, 12, 13). This review synthesizes 2016–2025 evidence on how the European Union’s policy package—the Critical Raw Materials Act (CRMA), the Batteries Regulation, the Ecodesign for Sustainable Products Regulation (ESPR) with Digital Product Passports (DPPs), and the recast Waste Shipments Regulation (WSR)—shapes markets for secondary supply in battery-relevant metals such as lithium, cobalt, nickel, copper, aluminum, and rare earths. We apply a structured scoping review protocol to map the state of the art across policy instruments (EPR, ecodesign/DPP, recycled content mandates, recovery targets, shipment controls) and value chain stages (collection, preprocessing, refining, manufacturing). The analysis highlights benefits, including clearer investment signals, improved traceability, and emerging opportunities for industrial symbiosis, but also identifies drawbacks such as heterogeneous standards, compliance costs, and trade frictions. Evidence gaps remain, especially in causal ex post assessments, price pass-through, and interoperability of MRV/DPP systems. The paper contributes by (i) providing an integrative framework linking policy instruments, value chain stages, and investment signals for secondary CRM supply, and (ii) outlining a research agenda for rigorous ex post evaluation, improved MRV/DPP data architectures, and better alignment between EU trade rules, circularity, and a just energy transition. Full article
Show Figures

Figure 1

29 pages, 1839 KB  
Article
Efficient Selection of Investment Portfolios in Real-World Markets: A Multi-Objective Optimization Approach
by Antonio J. Hidalgo-Marín, Antonio J. Nebro and José García-Nieto
Algorithms 2026, 19(1), 20; https://doi.org/10.3390/a19010020 - 24 Dec 2025
Viewed by 364
Abstract
As financial markets become increasingly complex, optimizing investment portfolios under multiple conflicting objectives has become a central challenge for decision-makers. This paper presents a comprehensive benchmarking framework for multi-objective portfolio optimization based on metaheuristics, designed to operate on real-world financial data. This framework [...] Read more.
As financial markets become increasingly complex, optimizing investment portfolios under multiple conflicting objectives has become a central challenge for decision-makers. This paper presents a comprehensive benchmarking framework for multi-objective portfolio optimization based on metaheuristics, designed to operate on real-world financial data. This framework integrates preprocessing, and optimization using four state-of-the-art algorithms: NSGA-II, MOEA/D, SMS-EMOA, and SMPSO. Using historical data from over 11,000 assets listed on U.S. exchanges, including ARCA, NYSE, NASDAQ, OTC, AMEX, and BATS, we define a suite of benchmark scenarios with increasing dimensionality and constraint complexity. Our results highlight algorithmic strengths and limitations, reveal significant trade-offs between return and risk, and demonstrate the effectiveness of multi-objective metaheuristics in constructing diversified, high-performance investment portfolios. Each portfolio is encoded as a real-valued vector combining asset selection and allocation, enabling fine-grained diversification control. All datasets and source code are publicly available to ensure reproducibility. Full article
Show Figures

Figure 1

27 pages, 3550 KB  
Article
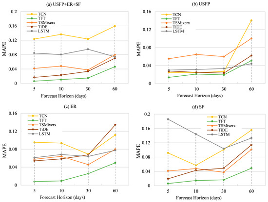
A Comparative Study of Neural Network Models for China’s Soybean Futures Price Forecasting
by Xin Dai, Li Chen, Ying Hou, Xiaohan Ning, Wenqiang Zhao, Yunpeng Cui, Juan Liu and Mo Wang
Agriculture 2025, 15(24), 2586; https://doi.org/10.3390/agriculture15242586 - 15 Dec 2025
Viewed by 537
Abstract
Accurate prediction of soybean futures prices is crucial for agricultural risk management and market decision-making. This study systematically evaluated nine state-of-the-art deep learning models—iTransformer, TFT, TCN, TimesNet, PatchTST, TiDE, TSMixer, SOFTS, and Time-LLM—for forecasting the DCE No. 2 soybean futures price, while also [...] Read more.
Accurate prediction of soybean futures prices is crucial for agricultural risk management and market decision-making. This study systematically evaluated nine state-of-the-art deep learning models—iTransformer, TFT, TCN, TimesNet, PatchTST, TiDE, TSMixer, SOFTS, and Time-LLM—for forecasting the DCE No. 2 soybean futures price, while also examining the impact of incorporating external market variables (USFP, ER, SF). The results demonstrate that in univariate forecasting, iTransformer achieved the lowest MAPE over short (5–10 days) and long (60 days) horizons, while TCN demonstrated the most stable performance at the medium-term horizon (30 days); TimesNet attained the best RMSE, making it more suitable for handling extreme volatility and controlling tail errors. Under multivariate settings (with the introduction of USFP, ER, and SF as exogenous variables), TFT demonstrates the best overall performance, significantly outperforming the LSTM baseline model across nearly all forecast horizons. The gains from exogenous variables depend on both the forecast horizon and the choice of covariates. These findings provide empirical guidance for participants in futures markets regarding model selection and covariate configuration, supporting more precise risk management and market decision-making. Full article
(This article belongs to the Section Agricultural Economics, Policies and Rural Management)
Show Figures

Figure 1

25 pages, 415 KB  
Review
What Is the Right Price for Non-Fungible Tokens (NFTs)? A Systematic Review of the Current Literature
by Marta Flamini and Maurizio Naldi
FinTech 2025, 4(4), 73; https://doi.org/10.3390/fintech4040073 - 11 Dec 2025
Viewed by 533
Abstract
Non-Fungible Tokens (NFTs) have transformed digital ownership, offering unique representations of assets such as art, collectibles, and virtual property. However, pricing NFTs remains a complex and underexplored issue. This study addresses two core questions: what determines NFT prices? And how are prices set [...] Read more.
Non-Fungible Tokens (NFTs) have transformed digital ownership, offering unique representations of assets such as art, collectibles, and virtual property. However, pricing NFTs remains a complex and underexplored issue. This study addresses two core questions: what determines NFT prices? And how are prices set in NFT markets? We conduct a comprehensive literature review and market analysis to identify both endogenous and exogenous price determinants. Trait rarity emerges as the most influential intrinsic factor, while cryptocurrency value stands out as a major external influence, albeit with ambiguous effects. Other factors include visual aesthetics, scarcity, utility in games, social media engagement, and broader market sentiment. As to pricing mechanisms, aside from fixed pricing (which is accepted in all marketplaces), NFT marketplaces primarily utilise auctions for art pieces and collectibles— especially English and Dutch formats—which are effective at capturing the buyer’s willingness-to-pay. Full article
Show Figures

Figure 1

24 pages, 832 KB  
Review
A Review of Balancing Price Forecasting in the Context of Renewable-Rich Power Systems, Highlighting Profit-Aware and Spike-Resilient Approaches
by Ali Dinler
Energies 2025, 18(24), 6460; https://doi.org/10.3390/en18246460 - 10 Dec 2025
Viewed by 483
Abstract
Balancing (real-time) market price forecasting is a vital enabler for renewable integration, storage arbitrage, and risk-aware trading, yet the literature remains fragmented and underdeveloped. This review addresses these shortcomings by systematically categorizing and evaluating studies across prediction horizons, modeling paradigms, and data-engineering practices. [...] Read more.
Balancing (real-time) market price forecasting is a vital enabler for renewable integration, storage arbitrage, and risk-aware trading, yet the literature remains fragmented and underdeveloped. This review addresses these shortcomings by systematically categorizing and evaluating studies across prediction horizons, modeling paradigms, and data-engineering practices. We show that enriching forecasts with auxiliary features, such as day-ahead prices, net imbalance volumes, renewable forecast errors, and meteorological inputs, substantially reduces error relative to price-only baselines. Probabilistic frameworks, while invaluable for providing risk envelopes in bidding strategies, are still underexploited. Typical reported accuracy spans mean absolute percentage errors of approximately 3–10% for very short-term (1–6 h ahead) horizons, 10–20% for mid-term horizons (12–24 h ahead), and around 25% for longer horizons (24–36 h ahead), with spikes and rapid ramps driving most residual error. From this synthesis, we identify the following four critical research gaps: (1) inadequate modeling of price spikes and ramps, (2) limited innovation in pre- and post-processing techniques, (3) sparse adoption of profit-driven (revenue-aware) evaluation, and (4) weak segmentation of distinct temporal regimes. By mapping prevailing methodologies, benchmarking performance, and highlighting emerging paradigms, such as feedback-driven, risk-aware, feature-enriched pipelines, this review delineates the state of the art and proposes a research agenda focused on maximizing economic value. Full article
Show Figures

Figure 1

28 pages, 3783 KB  
Review
Exploring the Links Between Clean Energies and Community Actions in Remote Areas: A Literature Review
by Alessandra Longo, Matteo Basso, Giulia Lucertini and Linda Zardo
Energies 2025, 18(23), 6350; https://doi.org/10.3390/en18236350 - 3 Dec 2025
Viewed by 451
Abstract
In the fight against growing energy poverty in Europe, remote and rural areas are most affected but play a crucial role in promoting a fair and sustainable transition. Furthermore, energy communities have been recognized as cost-efficient options and opportunities to enhance the active [...] Read more.
In the fight against growing energy poverty in Europe, remote and rural areas are most affected but play a crucial role in promoting a fair and sustainable transition. Furthermore, energy communities have been recognized as cost-efficient options and opportunities to enhance the active participation of citizens in electricity markets. Despite the wide recognition of their potential in alleviating energy poverty, evidence is still limited. This paper investigates the ‘missing links’ in producing clean energy through community-based practices in remote areas. This study presents a literature review aimed at identifying case studies at the European level to build a knowledge base on the state of the art in the context of the Green Deal. Of the 4422 publications found, we identified and analyzed 266 publications with one or more European cases. Of these, only 67 publications used keywords relevant to our research objective, which we further explored and categorized according to the primary purpose of the study, i.e., assessment, barriers and gaps, implementation, management and planning, modeling, and public opinion. Our results show that publications serve mainly to test a methodology for potential use and not to recount an experience, lacking practical application and policy integration. Nevertheless, we noticed a tendency to activate citizen engagement forms or gather perceptions to increase social acceptability. Full article
(This article belongs to the Section B2: Clean Energy)
Show Figures

Figure 1

12 pages, 706 KB  
Article
Improving Deep Learning Models by Bayesian Optimization to Predict Crude Oil Prices
by Shagun Kachwaha and Salim Lahmiri
Algorithms 2025, 18(12), 762; https://doi.org/10.3390/a18120762 - 2 Dec 2025
Cited by 1 | Viewed by 527
Abstract
We implement, optimize, and compare the performance of deep learning models in forecasting prices of crude oil markets, namely West Texas Intermediate (WTI) and Brent. We focus on deep learning models as these are state-of-the-art forecasting systems for complex and nonlinear time series. [...] Read more.
We implement, optimize, and compare the performance of deep learning models in forecasting prices of crude oil markets, namely West Texas Intermediate (WTI) and Brent. We focus on deep learning models as these are state-of-the-art forecasting systems for complex and nonlinear time series. In this regard, we implement convolutional neural networks (CNNs), long short-term memory (LSTM), and gated recurrent units (GRUs). Classical recurrent neural networks (RNNs) are chosen as the baseline artificial neural networks. We contribute to the literature by examining the effect of fine-tuning of the parameters of the predictive systems by means of Bayesian optimization (BO) on their performance. Also, to check the robustness of the optimized models, they are trained and tested on daily, weekly, and monthly data. The assessment of forecasting performance is based on three different metrics including the root mean of squared errors (RMSE), mean absolute deviation (MAD), and mean absolute percentage error (MAPE). The simulation results show that the GRU-BO and RNN-BO are respectively the best systems to predict prices of BRENT and WTI. In addition, the simulation results show that BO enhances the accuracy of the predictive models. The results obtained would help oil producers, suppliers, traders, and investors to implement the appropriate prediction system for each market to improve accuracy and generate profits for each time horizon. Full article
(This article belongs to the Section Algorithms for Multidisciplinary Applications)
Show Figures

Figure 1

27 pages, 2712 KB  
Review
Type IV High-Pressure Composite Pressure Vessels for Fire Fighting Equipment: A Comprehensive Review and Market Assessment
by Krisztián Kun, Dávid István Kis and Caizhi Zhang
Fire 2025, 8(12), 465; https://doi.org/10.3390/fire8120465 - 29 Nov 2025
Viewed by 1487
Abstract
Type IV composite overwrapped pressure vessels—characterized by a polymer liner fully wrapped in fiber-reinforced polymer—are emerging as lightweight, corrosion-proof alternatives to traditional metal cylinders in fire safety applications. This paper presents a comprehensive review of Type IV high-pressure vessels used in portable fire [...] Read more.
Type IV composite overwrapped pressure vessels—characterized by a polymer liner fully wrapped in fiber-reinforced polymer—are emerging as lightweight, corrosion-proof alternatives to traditional metal cylinders in fire safety applications. This paper presents a comprehensive review of Type IV high-pressure vessels used in portable fire extinguishers and self-contained breathing apparatus (SCBA) systems. We outline recent material innovations for both the non-metallic liners and composite shells, including multilayer liner designs (e.g., high-barrier polymers and nanocomposites) and advanced fiber/resin systems. Key manufacturing developments such as automated filament winding, resin infusion, and in-line non-destructive testing are discussed. Technical performance in fire applications is critically examined: current standards and certification requirements (EU and international), typical design pressures (e.g., 300 bar in SCBA) and safety factors, common failure modes (liner collapse, fiber rupture, etc.), inspection protocols, and a comparison with Type IV hydrogen storage cylinders. Market trends are also reviewed, highlighting the major manufacturers and the growing adoption of composite extinguishers (e.g., 20-year service-life composite units) versus conventional steel. The review draws on 7–10 peer-reviewed studies to analyze the state of the art, finding that Type IV vessels offer significant weight reduction (>30%) and corrosion resistance at the cost of more complex design and certification. In firefighting use, these cylinders demonstrably improve firefighter mobility and reduce maintenance, while meeting rigorous safety standards. Remaining challenges include further improving liner permeability barriers to prevent gas leakage or collapse, understanding long-term composite aging under cyclic loads, and optimizing fire resistance. Overall, Type IV composite pressure vessels represent a major innovation in fire suppression technology, enabling safer and more efficient extinguishing equipment. Future research and standardization efforts are recommended to fully realize their benefits in fire protection. Full article
(This article belongs to the Special Issue Fire Extinguishing Agent and Application)
Show Figures

Figure 1

35 pages, 1417 KB  
Systematic Review
Demand Forecasting in the Automotive Industry: A Systematic Literature Review
by Nehalben Ranabhatt, Sérgio Barreto, Marco Pimpão and Pedro Prates
Forecasting 2025, 7(4), 73; https://doi.org/10.3390/forecast7040073 - 28 Nov 2025
Viewed by 2015
Abstract
The automobile industry is one of the world’s largest manufacturing sectors and a key contributor to economic growth. Demand forecasting plays a critical role in supply chain management within the automotive sector. Reliable forecasts are essential for production planning, inventory control, and meeting [...] Read more.
The automobile industry is one of the world’s largest manufacturing sectors and a key contributor to economic growth. Demand forecasting plays a critical role in supply chain management within the automotive sector. Reliable forecasts are essential for production planning, inventory control, and meeting market demands efficiently. However, accurately predicting demand remains a challenge due to the influence of external factors such as socioeconomic trends and weather conditions. This study presents a systematic literature review of the forecasting methods employed within the automotive industry, encompassing both vehicle and spare parts demand. Following PRISMA guidelines, 63 publications were identified and analyzed, covering traditional statistical models such as ARIMA and SARIMA, as well as state-of-the-art artificial intelligence approaches, including artificial neural networks. The review finds that classical statistical models remain prevalent for vehicle demand forecasting, Croston’s method dominates spare parts forecasting, and AI-based techniques increasingly outperform conventional models in recent studies. Furthermore, the review compiles a broad set of external variables influencing demand and highlights the common challenges associated with demand forecasting. It concludes by outlining potential directions for future research. Full article
Show Figures

Figure 1

38 pages, 3363 KB  
Article
Intelligent Sustainability: Evaluating Transformers for Cryptocurrency Environmental Claims
by Parisa Bouzari, Maria Fekete-Farkas and Zsigmond Gábor Szalay
Information 2025, 16(12), 1022; https://doi.org/10.3390/info16121022 - 24 Nov 2025
Viewed by 1035
Abstract
This research investigates the efficacy of transformer architectures in classifying sustainability claims made by cryptocurrency projects, addressing a critical gap in automated environmental impact assessment of digital assets. Employing design science research (DSR) methodology, we develop and empirically evaluate a novel framework comparing [...] Read more.
This research investigates the efficacy of transformer architectures in classifying sustainability claims made by cryptocurrency projects, addressing a critical gap in automated environmental impact assessment of digital assets. Employing design science research (DSR) methodology, we develop and empirically evaluate a novel framework comparing five state-of-the-art transformer models across multiple performance dimensions. Through rigorous analysis of 300 synthetic cryptocurrency sustainability news articles, we demonstrate that RoBERTa-large-MNLI achieves optimal performance (F1: 1.00) with exceptional prediction stability (0.98)—meaning highly consistent predictions across varied inputs—and minimal entropy (0.05)—indicating strong confidence in classification decisions—albeit at higher computational costs. Our findings challenge conventional assumptions about the inverse relationship between model complexity and prediction reliability in specialized financial domains. The results advance theoretical understanding of transfer learning in sustainable finance while establishing quantitative benchmarks for automated environmental claim verification. This research contributes to both academic literature and regulatory frameworks by providing empirically validated methodologies for distinguishing between substantive and symbolic environmental initiatives in cryptocurrency markets. The findings provide valuable guidelines for cryptocurrency projects, financial institutions, and regulatory bodies seeking to implement automated sustainability assessment systems, while establishing a foundation for future research in the intersection of artificial intelligence and sustainable finance. Full article
(This article belongs to the Special Issue AI Tools for Business and Economics)
Show Figures

Figure 1

25 pages, 7336 KB  
Article
Adaptive Energy Skins: A Climate Zones-Based, Multi-Scale Analysis for High Performance Buildings
by Antonello Monsù Scolaro, Emanuele Lisci, Sara Moro and Katia Gasparini
Energies 2025, 18(22), 6042; https://doi.org/10.3390/en18226042 - 19 Nov 2025
Viewed by 656
Abstract
Adaptive facades represent the result of a complex combination of innovative technologies, components, and materials, as well as mechanical, electronic, or digital technologies from sectors outside the construction world (technology transfer), which require a constant multidisciplinary systemic approach. Unlike traditional envelopes, adaptive facades [...] Read more.
Adaptive facades represent the result of a complex combination of innovative technologies, components, and materials, as well as mechanical, electronic, or digital technologies from sectors outside the construction world (technology transfer), which require a constant multidisciplinary systemic approach. Unlike traditional envelopes, adaptive facades integrate aesthetics, functionality, and energy performance within a single system. This field of research has long been the subject of study by important institutions and research groups that have identified the macro-categories of adaptive envelopes that cover the largest share of the market and have defined the first ISO standards related to dynamic shading, chromogenic envelopes, and active ventilated facades. From the state-of-the-art analysis, adaptive facade systems exhibit short response times, measurable in seconds or minutes, while medium- to long-term adaptability remains underexplored. The objective of this study is to address this gap by considering durability and circularity. Analysis of a database of 329 building envelopes reveals a predominance of short-term strategies within the environmental domain, while long-term strategies focus on material durability and resilience through system regeneration and reuse. These strategies allow for maintaining energy performance by reducing degradation. Ongoing research integrates these strategies with reusability and circularity, extending the perspective beyond the building’s service life to support sustainable lifecycle approaches. Full article
(This article belongs to the Special Issue Advanced Technologies for Energy-Efficient Buildings)
Show Figures

Figure 1

28 pages, 3634 KB  
Article
HRformer: A Hybrid Relational Transformer for Stock Time Series Forecasting
by Haijiao Xu, Hongyang Wan, Yilin Wu, Jiankai Zheng and Liang Xie
Electronics 2025, 14(22), 4459; https://doi.org/10.3390/electronics14224459 - 15 Nov 2025
Viewed by 856
Abstract
Stock trend prediction is a complex and crucial task due to the dynamic and nonlinear nature of stock price movements. Traditional models struggle to capture the non-stationary and volatile characteristics of financial time series. To address this challenge, we propose the Hybrid Relational [...] Read more.
Stock trend prediction is a complex and crucial task due to the dynamic and nonlinear nature of stock price movements. Traditional models struggle to capture the non-stationary and volatile characteristics of financial time series. To address this challenge, we propose the Hybrid Relational Transformer (HRformer), which specifically decomposes time series into multiple components, enabling more accurate modeling of both short-term and long-term dependencies in stock data. The HRformer mainly comprises three key modules: the Multi-Component Decomposition Layer, the Component-wise Temporal Encoder (CTE), and the Inter-Stock Correlation Attention (ISCA). Our approach first employs the Multi-Component Decomposition Layer to decompose the stock sequence into trend, cyclic, and volatility components, each of which is independently modeled by the CTE to capture distinct temporal dynamics. These component representations are then adaptively integrated through the Adaptive Multi-Component Integration (AMCI) mechanism, which dynamically fuses their information. The fused output is subsequently refined by the ISCA module to incorporate inter-stock correlations, leading to more accurate and robust predictions. Extensive experiments on the NASDAQ100 and CSI300 datasets demonstrate that HRformer consistently outperforms state-of-the-art methods, e.g., achieving about 0.83% higher Accuracy and 1.78% higher F1-score than TDformer on NASDAQ100, with Sharpe Ratios of 1.5354 on NASDAQ100 and 0.5398 on CSI300, especially in volatile market conditions. Backtesting results validate its practical utility in real-world trading scenarios, showing its potential to enhance investment decisions and portfolio performance. Full article
(This article belongs to the Section Artificial Intelligence)
Show Figures

Figure 1

26 pages, 2356 KB  
Article
DFC-LSTM: A Novel LSTM Architecture Integrating Dynamic Fractal Gating and Chaotic Activation for Value-at-Risk Forecasting
by Yilong Zeng, Boyan Tang, Zhefang Zhou and Raymond S. T. Lee
Mathematics 2025, 13(22), 3587; https://doi.org/10.3390/math13223587 - 8 Nov 2025
Viewed by 885
Abstract
Accurate Value-at-Risk (VaR) forecasting is challenged by the non-stationary, fractal, and chaotic dynamics of financial markets. Standard deep learning models like LSTMs often rely on static internal mechanisms that fail to adapt to shifting market complexities. To address these limitations, we propose a [...] Read more.
Accurate Value-at-Risk (VaR) forecasting is challenged by the non-stationary, fractal, and chaotic dynamics of financial markets. Standard deep learning models like LSTMs often rely on static internal mechanisms that fail to adapt to shifting market complexities. To address these limitations, we propose a novel architecture: the Dynamic Fractal–Chaotic LSTM (DFC-LSTM). This model incorporates two synergistic innovations: a multifractal-driven dynamic forget gate that utilizes the multifractal spectrum width (Δα) to adaptively regulate memory retention, and a chaotic oscillator-based dynamic activation that replaces the standard tanh function with the peak response of a Lee Oscillator’s trajectory. We evaluate the DFC-LSTM for one-day-ahead 95% VaR forecasting on S&P 500 and AAPL stock data, comparing it against a suite of state-of-the-art benchmarks. The DFC-LSTM consistently demonstrates superior statistical calibration, passing coverage tests with significantly higher p-values—particularly on the volatile AAPL dataset, where several benchmarks fail—while maintaining competitive economic loss scores. These results validate that embedding the intrinsic dynamical principles of financial markets into neural architectures leads to more accurate and reliable risk forecasts. Full article
(This article belongs to the Section E5: Financial Mathematics)
Show Figures

Figure 1

Back to TopTop