Sign in to use this feature.

Years

Between: -

Subjects

remove_circle_outline
remove_circle_outline
remove_circle_outline
remove_circle_outline
remove_circle_outline
remove_circle_outline
remove_circle_outline
remove_circle_outline
remove_circle_outline

Journals

remove_circle_outline
remove_circle_outline
remove_circle_outline
remove_circle_outline
remove_circle_outline
remove_circle_outline
remove_circle_outline
remove_circle_outline
remove_circle_outline
remove_circle_outline
remove_circle_outline
remove_circle_outline

Article Types

Countries / Regions

remove_circle_outline
remove_circle_outline
remove_circle_outline
remove_circle_outline

Search Results (611)

Search Parameters:
Keywords = aqueous solubility enhancement

Order results
Result details
Results per page
Select all
Export citation of selected articles as:
28 pages, 4112 KB  
Article
Development and Pharmacokinetic Evaluation of Newly Formulated Letrozole Non-Aqueous Nanoemulgel Transdermal Systems for Hormone-Dependent Breast Cancer Therapy
by Husam M. Younes, AlSayed A. Sallam, Loai Ahmad Saifan, Aya M. Ghanem, Enam A. Khalil, Ehab A. Abu-Basha and Ahmad Y. Abuhelwa
Pharmaceutics 2025, 17(11), 1444; https://doi.org/10.3390/pharmaceutics17111444 - 8 Nov 2025
Viewed by 201
Abstract
Background/Objectives: Breast cancer remains the most prevalent malignancy among women worldwide, with letrozole (LZ) serving as a critical aromatase inhibitor for hormone receptor–positive cases. However, long-term oral administration of LZ is often associated with systemic adverse effects and poor patient compliance. To overcome [...] Read more.
Background/Objectives: Breast cancer remains the most prevalent malignancy among women worldwide, with letrozole (LZ) serving as a critical aromatase inhibitor for hormone receptor–positive cases. However, long-term oral administration of LZ is often associated with systemic adverse effects and poor patient compliance. To overcome these limitations, new non-aqueous nanoemulgels (NEMGs) were developed for transdermal delivery of LZ. Methods: The NEMGs were formulated using glyceryl monooleate (GMO), Sepineo P600®, Transcutol, propylene glycol, and penetration enhancers propylene glycol laurate (PGL), propylene glycol monocaprylate (PGMC), and Captex®. Physicochemical characterization, solubility, stability, and in vitro permeation studies were conducted using Strat-M® membranes, while in vivo pharmacokinetics were evaluated in rat models. Results: The optimized GMO/PGMC-based NEMG demonstrated significantly enhanced drug flux, higher permeability coefficients, and shorter lag times compared with other NEMGs and suspension emulgels. In vivo, transdermal application of the GMO/PGMC-based NEMG over an area of 2.55 cm2 produced dual plasma absorption peaks, with 57% of the LZ dose absorbed relative to oral administration over 12 days. Shelf-life and accelerated stability assessments confirmed excellent physicochemical stability with negligible crystallization. Conclusions: The developed LZ NEMG formulations offer a stable, effective, and patient-friendly transdermal drug delivery platform for breast cancer therapy. This system demonstrates potential to improve patient compliance and reduce systemic toxicity compared to conventional oral administration. Full article
Show Figures

Figure 1

23 pages, 5264 KB  
Article
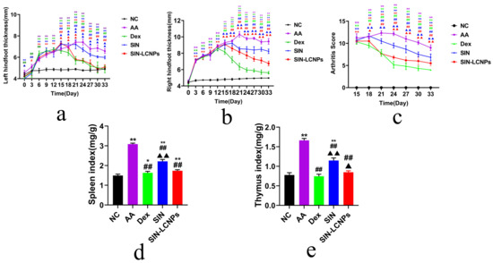
Preparation of Lipid Cubic Liquid Crystalline Nanoparticles of Sinomenine Based on Molecular Dynamics Simulations and Investigation of the Efficacy Against Rheumatoid Arthritis
by Jiaoyue Zhu, Jingying Li, Yunlu Zou, Xuehui Ding, Jixin Li, Jiahui Xu, Yinghao Xiao, Ye Qiu and Wei Xu
Int. J. Mol. Sci. 2025, 26(21), 10773; https://doi.org/10.3390/ijms262110773 - 5 Nov 2025
Viewed by 250
Abstract
Sinomenine (SIN) is a promising candidate for the treatment of rheumatoid arthritis (RA). Although it possesses the advantage of being non-addictive, its poor aqueous solubility and low oral bioavailability have limited its clinical application. To address these issues, SIN was encapsulated into lipid [...] Read more.
Sinomenine (SIN) is a promising candidate for the treatment of rheumatoid arthritis (RA). Although it possesses the advantage of being non-addictive, its poor aqueous solubility and low oral bioavailability have limited its clinical application. To address these issues, SIN was encapsulated into lipid cubic liquid crystal nanoparticles (LCNPs) and systematically characterized. Molecular dynamics (MD) simulations were first employed to screen suitable excipients for formulation development. Combined with single-factor optimization and Box–Behnken response surface design, the optimal composition and preparation process were determined. The resulting SIN-LCNPs exhibited a particle size of 149.7 ± 0.9 nm, a polydispersity index (PDI) of 0.223 ± 0.01, a zeta potential of −18.9 mV, and an encapsulation efficiency (EE%) of 92.2%. Spectroscopic analyses confirmed successful incorporation of SIN into the lipid matrix. Pharmacodynamic studies revealed that SIN-LCNPs enhanced targeted drug delivery to inflamed joints, significantly alleviating inflammation and suppressing disease progression in rats. In vivo single-pass intestinal perfusion (SPIP) experiments further demonstrated that SIN was primarily absorbed through the small intestine and that the LCNP carrier effectively improved its intestinal permeability. Collectively, this study provides a novel strategy and theoretical foundation for developing efficient formulations of poorly water-soluble drugs, highlighting the potential clinical application of SIN-LCNPs in RA therapy. Full article
(This article belongs to the Section Molecular Informatics)
Show Figures

Figure 1

9 pages, 2220 KB  
Communication
Stabilizing Zinc Anodes with Water-Soluble Polymers as an Electrolyte Additive
by Xueyan Li, Xiaojiang Chen, Senlong Zhang, Jinrong Wang, Zhuo Chen and Yuexian Song
Materials 2025, 18(21), 5040; https://doi.org/10.3390/ma18215040 - 5 Nov 2025
Viewed by 268
Abstract
Water-induced corrosion and zinc dendrite formation seriously disrupt the Zn plating/stripping process at the anode/electrolyte interface, which results in the instability of the Zn metal anode in aqueous zinc-ion batteries. To address the issues of the zinc metal anode, three water-soluble polymers with [...] Read more.
Water-induced corrosion and zinc dendrite formation seriously disrupt the Zn plating/stripping process at the anode/electrolyte interface, which results in the instability of the Zn metal anode in aqueous zinc-ion batteries. To address the issues of the zinc metal anode, three water-soluble polymers with different hydrophilic groups—polyacrylic acid (PAA), polyacrylamide (PAM), and polyethylene glycol (PEG)—were designed as electrolyte additives in ZnSO4 electrolytes. Among them, the PAA-based system exhibited an optimal electrochemical performance, achieving a stable cycling for more than 360 h at a current density of 5 mA cm−2 with an areal capacity of 2 mA h cm−2. This improvement could be attributed to its carboxyl groups, which effectively suppresses zinc dendrite growth, electrode corrosion, and side reactions, thereby enhancing the cycling performance of zinc-ion batteries. This work provides a reference for the optimization of zinc anodes in aqueous zinc-ion batteries. Full article
(This article belongs to the Topic Advanced Energy Storage in Aqueous Zinc Batteries)
Show Figures

Figure 1

22 pages, 2831 KB  
Article
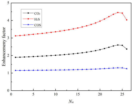
Simulation of Absorption and Flash Evaporation for Natural Gas Desulfurization
by Chaoyue Yang, Jingwen Xue, Yong Jia, Ke Liu, Chunyang Zhang and Zongshe Liu
Processes 2025, 13(11), 3504; https://doi.org/10.3390/pr13113504 - 31 Oct 2025
Viewed by 255
Abstract
A rigorous rate-based absorption model integrated with an improved thermodynamic framework was developed to simulate natural gas desulfurization using TMS–MDEA (Tetramethylene Sulfone–Methyldiethanolamine) aqueous solutions. The model was validated against 50 sets of industrial and experimental data, achieving R2 values above 0.98 and [...] Read more.
A rigorous rate-based absorption model integrated with an improved thermodynamic framework was developed to simulate natural gas desulfurization using TMS–MDEA (Tetramethylene Sulfone–Methyldiethanolamine) aqueous solutions. The model was validated against 50 sets of industrial and experimental data, achieving R2 values above 0.98 and average deviations within 5%. The model was formulated for steady-state operation of a trayed absorber integrated with flash and packed-bed regeneration and applicable over industrially relevant ranges (absorber pressure 3–6.4 MPa; gas–liquid ratio 350–720; flash pressure 0.3–0.6 MPa; packing height ≥ 3 m). The results indicate that H2S can be removed almost completely (>99.9%); CO2 and COS achieve 70–85% and 75–83% removal, respectively; and CH3SH removal exceeds 90% under typical conditions. Parametric analysis revealed that higher tray numbers, weir heights, and pressures enhance absorption efficiency, whereas hydrocarbon solubility increases with carbon number and is strongly affected by pressure and the gas–liquid ratio. In the desorption section, flash regeneration efficiently strips light hydrocarbons, with decreasing desorption efficiency from CH4 to C6H14. This study provides quantitative insights into the coupled absorption–desorption process and offers practical guidance for process design, solvent selection, and energy-efficient operation in natural gas purification. Full article
(This article belongs to the Section Separation Processes)
Show Figures

Figure 1

20 pages, 2127 KB  
Article
Amorphous Lycopene–PVP K30 Dispersions Prepared by Ball Milling: Improved Solubility and Antioxidant Activity
by Anna Kulawik, Maciej Kulawik, Natalia Rosiak, Wei Lu, Judyta Cielecka-Piontek and Przemysław Zalewski
Polymers 2025, 17(21), 2916; https://doi.org/10.3390/polym17212916 - 31 Oct 2025
Viewed by 305
Abstract
Lycopene is a carotenoid with strong antioxidant properties, but its therapeutic potential is limited by its poor aqueous solubility. Developing formulations that enhance its solubility and stability may improve its bioavailability and effectiveness. This study aimed to prepare amorphous lycopene–PVP K30 systems via [...] Read more.
Lycopene is a carotenoid with strong antioxidant properties, but its therapeutic potential is limited by its poor aqueous solubility. Developing formulations that enhance its solubility and stability may improve its bioavailability and effectiveness. This study aimed to prepare amorphous lycopene–PVP K30 systems via ball milling, a solvent-free and mild technique, and to evaluate their physicochemical properties, solubility, and antioxidant activity. Formulations containing 5%, 10%, and 15% lycopene (w/w) were obtained and characterized using X-ray powder diffraction, differential scanning calorimetry, and Fourier transform infrared spectroscopy. Density Functional Theory calculations were performed to gain molecular-level insights into lycopene–polymer interactions and hydrogen-bond formation. Solubility was determined by high-performance liquid chromatography, and antioxidant activity was evaluated using the DPPH radical scavenging assay. The amorphous dispersions exhibited enhanced solubility compared to crystalline lycopene, with the 10% system showing the highest initial solubility and antioxidant capacity, while the 5% formulation demonstrated superior stability over 24 h. Ball milling proved to be an efficient method for producing amorphous lycopene–PVP K30 dispersions with improved dissolution and bioactive performance. The results indicate that lycopene loadings between 5 and 10% offer the most favorable balance between solubility, stability, and antioxidant activity, supporting their potential use in pharmaceutical formulations. Full article
(This article belongs to the Special Issue Advanced Biodegradable Polymers for Drug Delivery: 2nd Edition)
Show Figures

Graphical abstract

18 pages, 23959 KB  
Article
Cocrystallization of Ezetimibe with Organic Acids: Stoichiometric Optimization for Improved Solubility and Bioavailability
by Ravi Maharjan, Ha Eun Park, Ki Hyun Kim, Mansingh Chaudhary, Ki-Taek Kim, Minji Kim, Hea-Young Cho and Seong Hoon Jeong
Pharmaceutics 2025, 17(11), 1399; https://doi.org/10.3390/pharmaceutics17111399 - 29 Oct 2025
Viewed by 485
Abstract
Background/Objectives: Pharmaceutical cocrystallization offers a promising strategy to enhance drug properties while preserving molecular integrity. Ezetimibe, a BCS Class II hypolipidemic agent, faces therapeutic limitations due to poor aqueous solubility. This study aimed to systematically evaluate cocrystallization of ezetimibe with organic acid (benzoic, [...] Read more.
Background/Objectives: Pharmaceutical cocrystallization offers a promising strategy to enhance drug properties while preserving molecular integrity. Ezetimibe, a BCS Class II hypolipidemic agent, faces therapeutic limitations due to poor aqueous solubility. This study aimed to systematically evaluate cocrystallization of ezetimibe with organic acid (benzoic, tartaric, or succinic acid) at varying stoichiometric ratios (1:0.5–1:2) to optimize physicochemical properties and oral bioavailability. Methods: Cocrystals were prepared via solvent evaporation (SEV) and solvent/anti-solvent (SAS) methods. Structural characterization included Fourier-transform infrared spectroscopy (FTIR), differential scanning calorimetry (DSC), and powder/single-crystal X-ray diffraction (PXRD/SCXRD). Physicochemical performance was assessed through saturation solubility, in vitro dissolution, and in vivo pharmacokinetics in male Sprague Dawley rats (n = 4/group). Results: Benzoic acid cocrystals (1:2 ratio, SEV) showed O−H⋯N hydrogen bonding (FTIR band shifts: 2928 → 3264 cm−1) and novel crystalline phases (12.4°, 16.7°, and 24.9°). SCXRD confirmed monoclinic P21/n symmetry (a = 5.42 Å, b = 5.05 Å) for benzoic acid cocrystals. Ezetimibe/benzoic acid cocrystals (1:2) achieved 64-fold solubility enhancement and 2× faster dissolution vs. pure ezetimibe. Pharmacokinetics revealed 3× higher Cmax (18.38 ng/mL) and 4× greater AUC (40.36 h·ng/mL) for optimized cocrystals. Tartaric and succinic acid cocrystals showed moderate improvements, with melting points intermediate between parent compounds. Conclusions: Both stoichiometry and preparation method strongly determined cocrystal performance. Benzoic acid at a 1:2 ratio via SEV demonstrated superior solubility, dissolution, and bioavailability, addressing ezetimibe’s formulation challenges. These findings underscore the potential of rational cocrystal design to overcome solubility barriers in oral dosage development, particularly for hydrophobic therapeutics. Full article
Show Figures

Figure 1

19 pages, 2146 KB  
Article
Surfactant-Enriched Cross-Linked Scaffold as an Environmental and Manufacturing Feasible Approach to Boost Dissolution of Lipophilic Drugs
by Abdelrahman Y. Sherif, Doaa Hasan Alshora and Mohamed A. Ibrahim
Pharmaceutics 2025, 17(11), 1387; https://doi.org/10.3390/pharmaceutics17111387 - 26 Oct 2025
Viewed by 532
Abstract
Background/Objectives: The inherent low aqueous solubility of lipophilic drugs, belonging to Class II based on Biopharmaceutical classification system, negatively impacts their oral bioavailability. However, the manufacturing of pharmaceutical dosage forms for these drugs faces challenges related to environmental impact and production complexity. [...] Read more.
Background/Objectives: The inherent low aqueous solubility of lipophilic drugs, belonging to Class II based on Biopharmaceutical classification system, negatively impacts their oral bioavailability. However, the manufacturing of pharmaceutical dosage forms for these drugs faces challenges related to environmental impact and production complexity. Herein, the surfactant-enriched cross-linked scaffold addresses the limitations of conventional approaches, such as the use of organic solvents, energy-intensive processing, and the demand for sophisticated equipment. Methods: Scaffold former (Pluronic F68) and scaffold trigger agent (propylene glycol) were used to prepare cross-linked scaffold loaded with candesartan cilexetil as a model for lipophilic drugs. Moreover, surfactants were selected based on the measured solubility to enhance formulation loading capacity. Design-Expert was used to study the impact of Tween 80, propylene glycol, and Pluronic F68 concentrations on the measured responses. In addition, in vitro dissolution study was implemented to investigate the drug release profile. The current approach was assessed against the limitations of conventional approach in terms of environmental and manufacturing feasibility. Results: The optimized formulation (59.27% Tween 80, 30% propylene glycol, 10.73% Pluronic F68) demonstrated a superior drug loading capacity (19.3 mg/g) and exhibited a solid-to-liquid phase transition at 35.5 °C. Moreover, it exhibited a rapid duration of solid-to-liquid transition within about 3 min. In vitro dissolution study revealed a remarkable enhancement in dissolution with 92.87% dissolution efficiency compared to 1.78% for the raw drug. Conclusions: Surfactant-enriched cross-linked scaffold reduced environmental impact by eliminating organic solvents usage and reducing energy consumption. Moreover, it offers significant manufacturing advantages through simplified production processing. Full article
(This article belongs to the Section Physical Pharmacy and Formulation)
Show Figures

Graphical abstract

20 pages, 4446 KB  
Article
Spray-Dried Inclusion Complex of Apixaban with β-Cyclodextrin Derivatives: Characterization, Solubility, and Molecular Interaction Analysis
by Da Young Song, Jeong Gyun Lee and Kyeong Soo Kim
Polymers 2025, 17(21), 2850; https://doi.org/10.3390/polym17212850 - 26 Oct 2025
Viewed by 461
Abstract
Apixaban (APX) is a direct oral anticoagulant with low aqueous solubility and limited bioavailability. This study aimed to improve APX solubility by forming spray-dried inclusion complexes (ICs) with β-cyclodextrin (β-CD) derivatives. ICs were prepared using hydroxypropyl-β-CD (HP-β-CD), sulfobutylether-β-CD (SBE-β-CD), randomly methylated-β-CD (RM-β-CD), and [...] Read more.
Apixaban (APX) is a direct oral anticoagulant with low aqueous solubility and limited bioavailability. This study aimed to improve APX solubility by forming spray-dried inclusion complexes (ICs) with β-cyclodextrin (β-CD) derivatives. ICs were prepared using hydroxypropyl-β-CD (HP-β-CD), sulfobutylether-β-CD (SBE-β-CD), randomly methylated-β-CD (RM-β-CD), and heptakis(2,6-di-O-methyl)-β-CD (DM-β-CD). Complex formation (1:1 stoichiometry) was confirmed by phase solubility studies and Job’s plots. The ICs were characterized by SEM, PXRD, DSC, and FTIR, and their saturated solubility was evaluated. Molecular docking assessed host–guest interactions. Among the tested carriers, DM-β-CD exhibited the highest stability constant (KC = 371.92 M−1) and produced amorphous ICs. DM-ICs achieved the greatest solubility enhancement at all pH conditions, with a maximum solubility of 1968.7 μg/mL at pH 1.2 and ~78.7-fold increase in water compared with pure APX. Docking results supported stable inclusion with the lowest binding free energy (−8.01 kcal/mol). These findings indicate that DM-β-CD-based ICs effectively enhance APX dissolution and show potential as solubilizing carriers for oral dosage forms. Full article
(This article belongs to the Special Issue Recent Advances in Polymer-Based Drug Delivery Systems: 2nd Edition)
Show Figures

Graphical abstract

26 pages, 7095 KB  
Article
How Do Cryo-Milling and Lyophilization Affect the Properties of Solid Dispersions with Etodolac?
by Anna Czajkowska-Kośnik, Radosław A. Wach, Eliza Wolska and Katarzyna Winnicka
Pharmaceutics 2025, 17(11), 1379; https://doi.org/10.3390/pharmaceutics17111379 - 24 Oct 2025
Viewed by 508
Abstract
Background: Solid dispersions (SDs) of etodolac (ETD), a poorly water-soluble drug model, were developed to enhance its solubility and dissolution rate by employing various preparation methods and hydrophilic or amphiphilic polymers. Methods: Polyvinylpyrrolidone-poly(vinyl acetate) copolymers (PVP/VA), hydroxypropyl methylcellulose (HPMC) and poloxamer were used [...] Read more.
Background: Solid dispersions (SDs) of etodolac (ETD), a poorly water-soluble drug model, were developed to enhance its solubility and dissolution rate by employing various preparation methods and hydrophilic or amphiphilic polymers. Methods: Polyvinylpyrrolidone-poly(vinyl acetate) copolymers (PVP/VA), hydroxypropyl methylcellulose (HPMC) and poloxamer were used as carriers, while cryo-milling and lyophilization were utilized as routine methods to SDs preparation. Obtained SDs were characterized by drug content, solubility, dissolution rate and moisture content. The physical structure of SDs was estimated via scanning electron microscopy (SEM), whereas differential scanning calorimetry (DSC) and Fourier transform infrared spectroscopy (FTIR) were employed to assess the potential drug-carrier interactions. Results: SD formulations demonstrated enhanced solubility of ETD in aqueous media, including water and buffers (pH 5.5 and 7.4). DSC analysis confirmed that PVP/VA and poloxamer ensured better ETD dissolution and protection against recrystallization. Furthermore, FTIR indicated the formation of hydrogen bonds between ETD and polymer, particularly in lyophilized dispersions. Conclusions: The optimized SD formulation for ETD contained PVP/VA and/or poloxamer as carriers and was obtained via lyophilization. This SD formulation exhibited the most favorable properties, enhanced the solubility and dissolution of ETD in aqueous media and effectively reduced its crystallinity. Full article
Show Figures

Figure 1

14 pages, 1772 KB  
Article
Effect of Nitric Acid-Modified Multi-Walled Carbon Nanotube Capping on Copper and Lead Release from Sediments
by Xiang Chen, Dongdong Zhu, Xiaohui You, Yan Wang, Li Zhou and Xiaoshuai Hang
Toxics 2025, 13(11), 912; https://doi.org/10.3390/toxics13110912 - 23 Oct 2025
Viewed by 302
Abstract
Nitric acid-treated multi-walled carbon nanotubes (CNTs) have been extensively utilized for removing dissolved heavy metals from aqueous systems; however, their use as a capping material to immobilize heavy metals in sediments has rarely been investigated. Consequently, the impact of CNTs on millimeter-scale variations [...] Read more.
Nitric acid-treated multi-walled carbon nanotubes (CNTs) have been extensively utilized for removing dissolved heavy metals from aqueous systems; however, their use as a capping material to immobilize heavy metals in sediments has rarely been investigated. Consequently, the impact of CNTs on millimeter-scale variations in pore-water heavy metal concentrations along sediment profiles remains poorly understood. In this study, CNTs were applied as a capping agent, and microelectrodes combined with high-resolution diffusive equilibrium in thin-film (HR-Peeper) samplers were employed to simultaneously obtain vertical profiles of pH, soluble copper (Cu) and lead (Pb), and dissolved oxygen (DO) in sediments in order to assess the effectiveness of CNTs in controlling the mobility of Cu and Pb. The results revealed that CNTs application markedly reduced the concentrations of soluble Cu and Pb, with maximum reduction rates of 58.69% and 64.97%, respectively. Compared with the control treatment, CNTs capping decreased the maximum release fluxes of soluble Cu and Pb by 3.78 and 1.91 µg·m−2·d−1, respectively. Moreover, CNTs treatment enhanced the stable fractions of Cu and Pb within sediments, thereby improving the sediment’s capacity to retain these metals. Overall, this study demonstrates that CNTs can serve as an effective capping material to inhibit the leaching of Cu and Pb from sediments, offering a promising strategy for the in situ remediation of heavy metal-contaminated sediments. Full article
Show Figures

Figure 1

37 pages, 1181 KB  
Review
The Role of Nonconventional Technologies in the Extraction Enhancement and Technofunctionality of Alternative Proteins from Sustainable Sources
by Cleberyanne da Silva Carvalho, Gabriela Xavier Ojoli, Mariana Grecco Paco, Nathalia Almeida Bonetti, Samantha Cristina de Pinho, Jéssica Thais do Prado Silva and Tiago Carregari Polachini
Foods 2025, 14(21), 3612; https://doi.org/10.3390/foods14213612 - 23 Oct 2025
Viewed by 352
Abstract
In recent decades, the consumption of animal proteins has been rethought by consumers. Factors such as improved health and sustainability are key aspects of this scenario. Studies have sought innovative and sustainable technologies to improve protein extraction from alternative sources to increase their [...] Read more.
In recent decades, the consumption of animal proteins has been rethought by consumers. Factors such as improved health and sustainability are key aspects of this scenario. Studies have sought innovative and sustainable technologies to improve protein extraction from alternative sources to increase their competitiveness. In this sense, the aim of this work was to combine the effects of nonconventional extraction methods on the process yield and the resulting techno-functional properties extracted from alternative proteins. The literature contains significant publications regarding the use of ultrasound (US), pulsed electric fields (PEFs), microwaves (MWs) and deep eutectic solvents (DESs) for enhancing protein extraction. Re-emerged techniques such as reverse micelles and aqueous two-phase extraction have also been reported. For this reason, the present study aimed not only to present the obtained results but also to discuss how the mechanisms associated with the aforementioned technologies impact the extraction yield and modification of proteins. In general, US tends to increase protein solubility (20–30%) and emulsifying capacity (35%); MWs can increase protein yield (25%) while reducing extraction time (50–70%); DES-based extraction tends to retain more than ~40% of the native functionality, and PEFs have demonstrated up to a 20% improvement in protein recovery. Nonconventional extraction methods have varying effects on the characteristics and quality of extracted proteins, offering benefits and challenges that should be considered when choosing the most suitable technology. The specificity related to each technology can be used to make possible interesting industrial applications involving nonanimal proteins. Full article
Show Figures

Figure 1

15 pages, 5244 KB  
Article
Eco-Friendly Membrane Separators Based on Furanoate Polymers for Li-Ion Batteries
by Sofia Santi, Luca Bargnesi, Giulia Fredi, Michelina Soccio, Nadia Lotti, Catia Arbizzani and Andrea Dorigato
Polymers 2025, 17(20), 2790; https://doi.org/10.3390/polym17202790 - 18 Oct 2025
Viewed by 393
Abstract
Conventional lithium-ion battery separators made from petroleum-based polymers pose environmental concerns due to their non-renewable origin and energy-intensive production. Novel bio-based alternatives, such as poly(alkylene 2,5-furanoate)s (PAFs), offer improved sustainability and favorable thermomechanical properties. This work investigated electrospun mats of poly(butylene 2,5-furandicarboxylate) (PBF) [...] Read more.
Conventional lithium-ion battery separators made from petroleum-based polymers pose environmental concerns due to their non-renewable origin and energy-intensive production. Novel bio-based alternatives, such as poly(alkylene 2,5-furanoate)s (PAFs), offer improved sustainability and favorable thermomechanical properties. This work investigated electrospun mats of poly(butylene 2,5-furandicarboxylate) (PBF) and poly(pentamethylene 2,5-furandicarboxylate) (PPeF), which, despite structural similarity, exhibit distinct behaviors. PBF mats demonstrated superior performance with fiber diameters of about 1.0 µm and porosity of 53.6% with high thermal stability (Tg = 25 °C, Tm = 170 °C, 18.8% crystallinity). The semicrystalline PBF showed higher electrolyte uptake (531–658 wt%) and had a lower MacMullin number (NM = 3–10) than commercial Celgard separators (NM = 15), indicating enhanced ionic conductivity. Electrochemical testing revealed stability up to 5 V and successful cycling performance with specific capacity of 135 mAh/g after 100 cycles and coulombic efficiency near 100%. In contrast, PPeF’s amorphous nature (Tg = 14 °C) resulted in temperature-sensitive pore closure that enhanced safety by reducing short-circuit risk, although its solubility in carbonate electrolytes limited its application to aqueous systems. These findings highlight the potential of PAF-based separators to improve both the environmental impact and performance of batteries, supporting the development of safer and more sustainable energy storage systems. Full article
(This article belongs to the Section Biobased and Biodegradable Polymers)
Show Figures

Graphical abstract

32 pages, 1046 KB  
Review
Solidification Materials and Technology for Solid Self-Emulsifying Drug Delivery Systems
by Kyungho Baek and Sung Giu Jin
Pharmaceuticals 2025, 18(10), 1550; https://doi.org/10.3390/ph18101550 - 15 Oct 2025
Cited by 1 | Viewed by 658
Abstract
The low aqueous solubility of many new drug candidates, a key challenge in oral drug development, has been effectively addressed by liquid self-emulsifying drug delivery systems (SEDDS). However, the inherent instability and manufacturing limitations of liquid formulations have prompted significant research into solid [...] Read more.
The low aqueous solubility of many new drug candidates, a key challenge in oral drug development, has been effectively addressed by liquid self-emulsifying drug delivery systems (SEDDS). However, the inherent instability and manufacturing limitations of liquid formulations have prompted significant research into solid SEDDS. This review provides a comprehensive analysis of the recent advancements in solid SEDDS, focusing on the pivotal roles of solid carriers and solidification techniques. We examine a wide range of carrier materials, including mesoporous silica, polymers, mesoporous carbon, porous carbonate salts, and clay-based materials, highlighting how their physicochemical properties can be leveraged to control drug loading, release kinetics, and in vivo performance. We also detail the various solidification methods, such as spray drying, hot melt extrusion, adsorption, and 3D printing, and their impact on the final product’s quality and scalability. Furthermore, this review explores applications of solid SEDDS, including controlled release, mucoadhesive technology, and targeted drug delivery, as well as the key commercial challenges and future perspectives. By synthesizing these diverse aspects, this paper serves as a valuable resource for designing high-performance solid SEDDS with enhanced stability, bioavailability, and functional versatility. Full article
(This article belongs to the Collection Feature Review Collection in Pharmaceutical Technology)
Show Figures

Graphical abstract

21 pages, 1315 KB  
Review
Synergies in Green Bioprocessing: A Comprehensive Review of Heterologous Protein Expression and the Transformative Potential of Natural Deep Eutectic Solvents
by José Agustín Martínez-Olivares and Victor Coca-Ruiz
Appl. Microbiol. 2025, 5(4), 113; https://doi.org/10.3390/applmicrobiol5040113 - 15 Oct 2025
Viewed by 451
Abstract
Heterologous protein expression underpins the production of therapeutics, industrial enzymes, and diagnostic reagents, yet persistent challenges remain in enhancing yields, achieving correct folding, and reducing the costs and environmental burdens of downstream processing. Natural Deep Eutectic Solvents (NADESs)—a class of biocompatible, sustainable, and [...] Read more.
Heterologous protein expression underpins the production of therapeutics, industrial enzymes, and diagnostic reagents, yet persistent challenges remain in enhancing yields, achieving correct folding, and reducing the costs and environmental burdens of downstream processing. Natural Deep Eutectic Solvents (NADESs)—a class of biocompatible, sustainable, and highly tunable solvents—have recently emerged as promising tools to overcome these limitations. This review systematically examines the intersection of recombinant protein production and NADES technology, assessing their applications across the full workflow, from host strain expression to purification and final formulation. Literature analysis highlights the potential of NADESs as media additives that mitigate cellular stress and improve soluble protein yields, as gentle solubilizing and refolding agents for inclusion bodies, as phase-forming components in aqueous two-phase systems for green purification, and as stabilizing excipients for long-term storage. Key constituents such as betaine, proline, urea, and arginine are identified as functional agents whose eutectic mixtures often deliver synergistic benefits that differ mechanistically from the action of the individual components. The integration of NADESs into recombinant protein production offers a path toward more sustainable and economically viable biomanufacturing. Critical gaps remain, including in vivo validation and techno-economic assessment. Future opportunities include high-throughput NADES screening and computational design of application-specific solvents. Full article
Show Figures

Figure 1

22 pages, 4274 KB  
Article
Enhanced Bioavailability and Stability of Curcumin in Cosmeceuticals: Exploiting Droplet Microfluidics for Nanoemulsion Development
by Nikolaos D. Bikiaris, Afroditi Kapourani, Ioannis Pantazos and Panagiotis Barmpalexis
Cosmetics 2025, 12(5), 226; https://doi.org/10.3390/cosmetics12050226 - 15 Oct 2025
Viewed by 758
Abstract
Curcumin (Cur), a natural polyphenolic compound with potent antioxidant and anti-inflammatory properties, faces significant challenges in cosmeceutical applications due to its poor aqueous solubility and low bioavailability. Nanotechnology offers a promising approach to overcome these limitations and enhance the functionality of cosmetic formulations. [...] Read more.
Curcumin (Cur), a natural polyphenolic compound with potent antioxidant and anti-inflammatory properties, faces significant challenges in cosmeceutical applications due to its poor aqueous solubility and low bioavailability. Nanotechnology offers a promising approach to overcome these limitations and enhance the functionality of cosmetic formulations. In this work, Cur-loaded nanoemulsions (NEs) were developed using a droplet microfluidics technique to enhance Cur’s stability, bioavailability, and permeability for advanced cosmeceuticals. Various oils were screened for Cur solubility, with coconut oil demonstrating the highest capacity. Optimal oil-to-water flow ratios were determined to produce monodisperse NEs with controlled droplet sizes. Characterization via dynamic light scattering (DLS) revealed stable NEs with Z-potential values exceeding −30 mV at both room temperature and +4 °C for up to 21 days, indicating strong colloidal stability. Antioxidant activity was evaluated through DPPH assays, while in vitro permeability studies of the drug-loaded NEs after incorporation into suitable hydrogels, using Strat-M® membranes mimicking human skin, demonstrated significantly enhanced penetration of the encapsulated Cur. In sum, this work highlights the potential of droplet microfluidics as a scalable and precise method for producing high-performance Cur NEs tailored for cosmeceutical applications. Full article
(This article belongs to the Section Cosmetic Formulations)
Show Figures

Figure 1

Back to TopTop