How Do Cryo-Milling and Lyophilization Affect the Properties of Solid Dispersions with Etodolac?
Abstract
1. Introduction
2. Materials and Methods
2.1. Materials
2.2. Analytical Method
2.3. Production of SDs Containing ETD by Cryo-Milling and Lyophilization Method
2.4. Drug Content Assay
2.5. Morphological Assessment
2.6. Thermal Analysis
2.7. Fourier Transform Infrared Spectroscopy
2.8. Moisture Content and Hygroscopicity Tests
2.9. Solubility Studies and Dissolution Testing
2.10. Statistical Analysis
3. Results and Discussion
3.1. Preparation of SDs with ETD, Drug Content
3.2. Thermal Evaluation
3.3. Morphological Assessment
3.4. FTIR Study
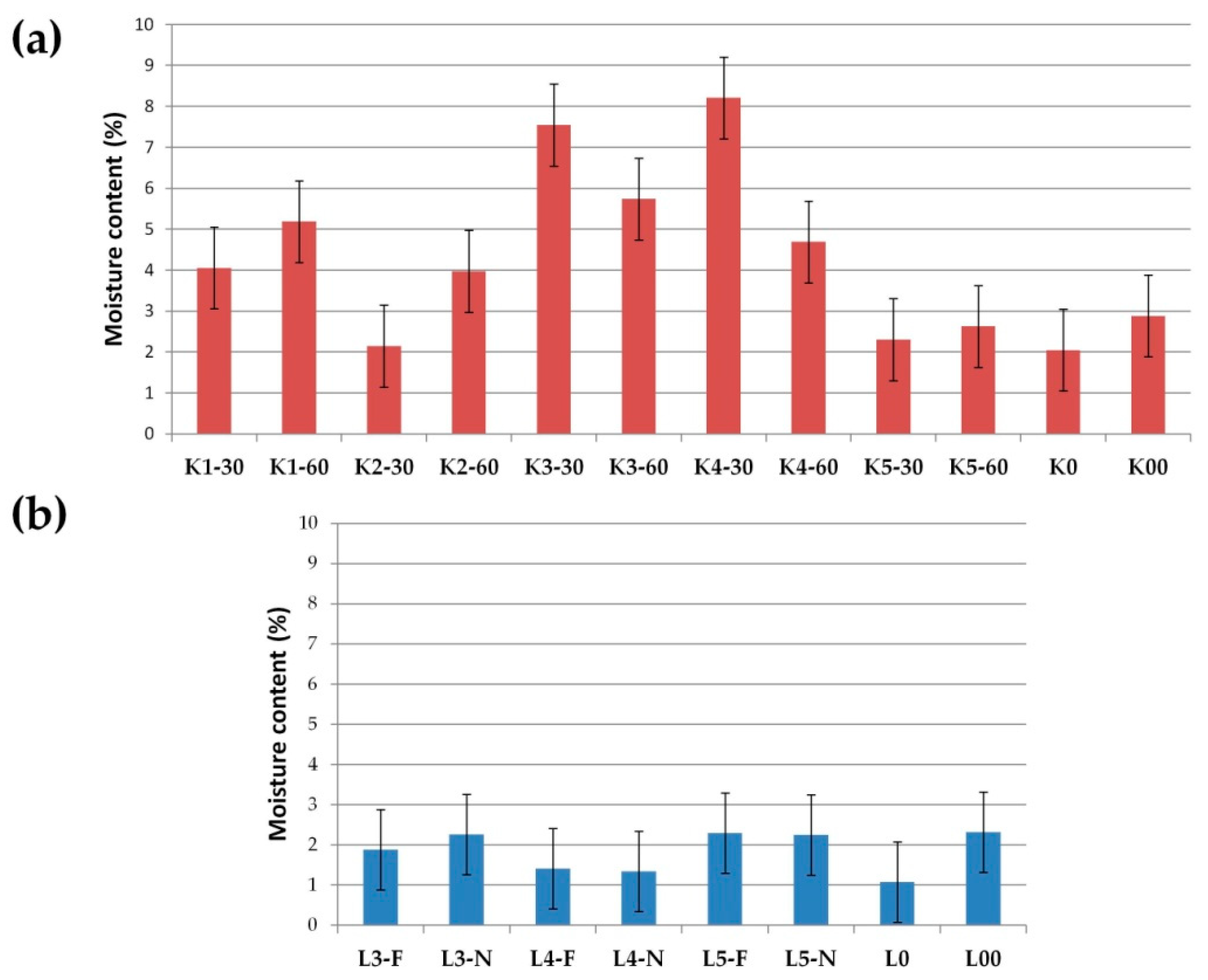
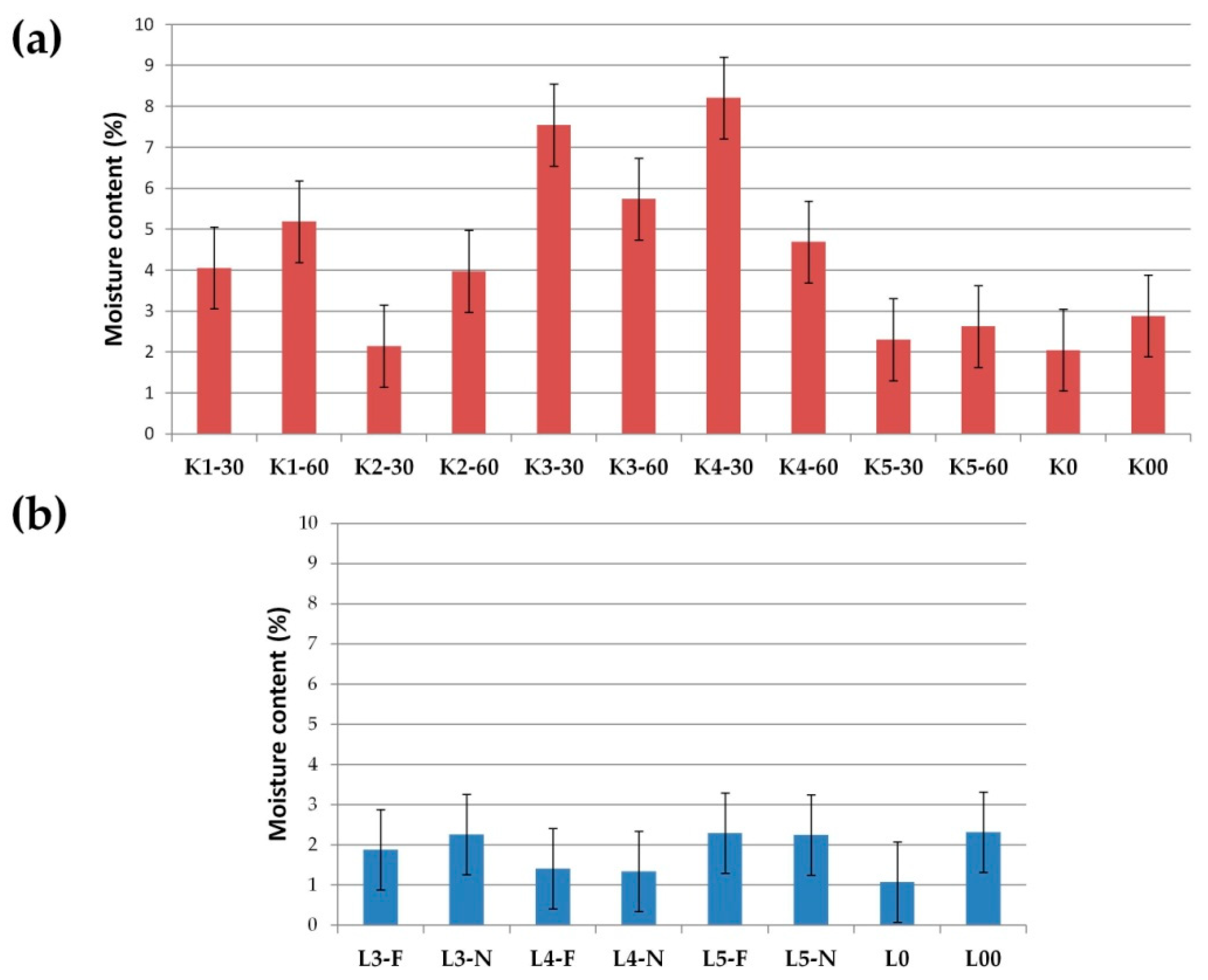
3.5. Moisture Content and Hygroscopicity Tests
3.6. Solubility and Dissolution Rate
4. Conclusions
Supplementary Materials
Author Contributions
Funding
Institutional Review Board Statement
Informed Consent Statement
Data Availability Statement
Acknowledgments
Conflicts of Interest
References
- Tekade, A.R.; Yadav, J.N. A Review on Solid Dispersion and Carriers Used Therein for Solubility Enhancement of Poorly Water Soluble Drugs. Adv. Pharm. Bull. 2020, 10, 359–369. [Google Scholar] [CrossRef] [PubMed]
- Di, L.; Fish, P.V.; Mano, T. Bridging Solubility between Drug Discovery and Development. Drug Discov. Today 2012, 17, 486–495. [Google Scholar] [CrossRef]
- Jatwani, S.; Rana, A.C.; Singh, G.; Aggarwal, G. An Overview on Solubility Enhancement Techniques for Poorly Soluble Drugs and Solid Dispersion as an Eminent Strategic Approach. Int. J. Pharm. Sci. Res. 2012, 3, 942. [Google Scholar] [CrossRef]
- Schver, G.C.R.M.; Sun, D.D.; Costa, S.P.M.; Silva, K.E.R.; Oliveira, J.F.; Rolim, L.A.; De Azevedo Albuquerque, M.C.P.; De Lima Aires, A.; Lima, M.D.C.A.; Pitta, I.R.; et al. Solid Dispersions to Enhance the Delivery of a Potential Drug Candidate LPSF/FZ4 for the Treatment of Schistosomiasis. Eur. J. Pharm. Sci. 2018, 115, 270–285. [Google Scholar] [CrossRef]
- Fael, H.; Ràfols, C.; Demirel, A.L. Poly(2-Ethyl-2-Oxazoline) as an Alternative to Poly(Vinylpyrrolidone) in Solid Dispersions for Solubility and Dissolution Rate Enhancement of Drugs. J. Pharm. Sci. 2018, 107, 2428–2438. [Google Scholar] [CrossRef]
- Liu, Y.; Wang, T.; Ding, W.; Dong, C.; Wang, X.; Chen, J.; Li, Y. Dissolution and Oral Bioavailability Enhancement of Praziquantel by Solid Dispersions. Drug Deliv. Transl. Res. 2018, 8, 580–590. [Google Scholar] [CrossRef]
- Nair, A.R.; Lakshman, Y.D.; Anand, V.S.K.; Sree, K.S.N.; Bhat, K.; Dengale, S.J. Overview of Extensively Employed Polymeric Carriers in Solid Dispersion Technology. AAPS PharmSciTech 2020, 21, 309. [Google Scholar] [CrossRef]
- Vasconcelos, T.; Sarmento, B.; Costa, P. Solid Dispersions as Strategy to Improve Oral Bioavailability of Poor Water Soluble Drugs. Drug Discov. Today 2007, 12, 1068–1075. [Google Scholar] [CrossRef] [PubMed]
- Hande, N.M. Solid Dispersion: Strategies to Enhance Solubility and Dissolution Rate of Poorly Water-Soluble Drug. IJPSR 2024, 15, 340–352. [Google Scholar]
- Fouad, S.A.; Malaak, F.A.; El-Nabarawi, M.A.; Abu Zeid, K.; Ghoneim, A.M. Preparation of Solid Dispersion Systems for Enhanced Dissolution of Poorly Water Soluble Diacerein: In-Vitro Evaluation, Optimization and Physiologically Based Pharmacokinetic Modeling. PLoS ONE 2021, 16, e0245482. [Google Scholar] [CrossRef]
- Jones, R.A. Etodolac: An Overview of a Selective COX-2 Inhibitor. Inflammopharmacol 1999, 7, 269–275. [Google Scholar] [CrossRef]
- DrugBank. Available online: https://go.drugbank.com/drugs/DB00749 (accessed on 6 September 2024).
- Madhavi, N.; Sudhakar, B.; Suresh Reddy, K.V.N.; Vijaya Ratna, J. Pharmacokinetic and Pharmacodynamic Studies of Etodolac Loaded Vesicular Gels on Rats by Transdermal Delivery. DARU J. Pharm. Sci. 2018, 26, 43–56. [Google Scholar] [CrossRef]
- Patel, D.K.; Kesharwani, R.; Kumar, V. Etodolac Loaded Solid Lipid Nanoparticle Based Topical Gel for Enhanced Skin Delivery. Biocatal. Agric. Biotechnol. 2020, 29, 101810. [Google Scholar] [CrossRef]
- Czajkowska-Kośnik, A.; Szymańska, E.; Winnicka, K. Nanostructured Lipid Carriers (NLC)-Based Gel Formulations as Etodolac Delivery: From Gel Preparation to Permeation Study. Molecules 2023, 28, 235. [Google Scholar] [CrossRef] [PubMed]
- Patil, P.; Shirkhedkar, A. Nanostructured Etodolac Carriers in Transdermal Gel: Optimization andCharacterization. PNT 2023, 11, 276–293. [Google Scholar] [CrossRef]
- Salah, S.; Mahmoud, A.A.; Kamel, A.O. Etodolac Transdermal Cubosomes for the Treatment of Rheumatoid Arthritis: Ex Vivo Permeation and in Vivo Pharmacokinetic Studies. Drug Deliv. 2017, 24, 846–856. [Google Scholar] [CrossRef]
- Madhavi, N.; Sudhakar, B.; Reddy, K.V.N.S.; Ratna, J.V. Design by Optimization and Comparative Evaluation of Vesicular Gels of Etodolac for Transdermal Delivery. Drug Dev. Ind. Pharm. 2019, 45, 611–628. [Google Scholar] [CrossRef]
- Karakucuk, A.; Tort, S.; Han, S.; Oktay, A.N.; Celebi, N. Etodolac Nanosuspension Based Gel for Enhanced Dermal Delivery: In Vitro and in Vivo Evaluation. J. Microencapsul. 2021, 38, 218–232. [Google Scholar] [CrossRef] [PubMed]
- Özdemir, S.; Üner, B.; Karaküçük, A.; Çelik, B.; Sümer, E.; Taş, Ç. Nanoemulsions as a Promising Carrier for Topical Delivery of Etodolac: Formulation Development and Characterization. Pharmaceutics 2023, 15, 2510. [Google Scholar] [CrossRef] [PubMed]
- Esraa, G.; Zainab, A. Etodolac Topical Spray Films, Development, Characterization and In-Vitro Evaluation. IJPR 2020, 12, 926–931. [Google Scholar] [CrossRef]
- Tas, C.; Ozkan, Y.; Okyar, A.; Savaser, A. In Vitro and Ex Vivo Permeation Studies of Etodolac from Hydrophilic Gels and Effect of Terpenes as Enhancers. Drug Deliv. 2007, 14, 453–459. [Google Scholar] [CrossRef] [PubMed]
- Shilakari Asthana, G.; Asthana, A.; Singh, D.; Sharma, P.K. Etodolac Containing Topical Niosomal Gel: Formulation Development and Evaluation. J. Drug Deliv. 2016, 2016, 9324567. [Google Scholar] [CrossRef]
- Bhujbal, S.V.; Mitra, B.; Jain, U.; Gong, Y.; Agrawal, A.; Karki, S.; Taylor, L.S.; Kumar, S.; Zhou, Q. Pharmaceutical Amorphous Solid Dispersion: A Review of Manufacturing Strategies. Acta Pharm. Sin. B 2021, 11, 2505–2536. [Google Scholar] [CrossRef] [PubMed]
- Bindhani, S.; Mohapatra, S. Recent approaches of solid dispersion: A new concept toward oral bioavailability Sabitri bindhani*, Snehamayee mohapatra. Asian J. Pharm. Clin. Res. 2018, 11, 72. [Google Scholar] [CrossRef]
- Vo, C.L.-N.; Park, C.; Lee, B.-J. Current Trends and Future Perspectives of Solid Dispersions Containing Poorly Water-Soluble Drugs. Eur. J. Pharm. Biopharm. 2013, 85, 799–813. [Google Scholar] [CrossRef]
- Shi, X.; Fan, N.; Zhang, G.; Sun, J.; He, Z.; Li, J. Quercetin Amorphous Solid Dispersions Prepared by Hot Melt Extrusion with Enhanced Solubility and Intestinal Absorption. Pharm. Dev. Technol. 2020, 25, 472–481. [Google Scholar] [CrossRef]
- Braga, R.R.; Sales, J.; Marins, R.D.C.E.E.; Ortiz, G.M.D.; Garcia, S. Development and Validation of a Method for Allantoin Determination in Liposomes and Pharmaceutical Formulations. Spectrochim. Acta Part A Mol. Biomol. Spectrosc. 2012, 91, 389–394. [Google Scholar] [CrossRef]
- Shivanki, J.; Ashwani, K.D.; Bhawna, C.; Rameshwar, D.; Kumar, G.; Sameer, S. Formulation and Evaluation of Solid Dispersions of Poorly Water-Soluble Drug-Hesperidin. Lett. Appl. NanoBioScience 2023, 12, 50. [Google Scholar] [CrossRef]
- Edueng, K.; Mahlin, D.; Bergström, C.A.S. The Need for Restructuring the Disordered Science of Amorphous Drug Formulations. Pharm. Res. 2017, 34, 1754–1772. [Google Scholar] [CrossRef]
- Ojarinta, R.; Heikkinen, A.T.; Sievänen, E.; Laitinen, R. Dissolution Behavior of Co-Amorphous Amino Acid-Indomethacin Mixtures: The Ability of Amino Acids to Stabilize the Supersaturated State of Indomethacin. Eur. J. Pharm. Biopharm. 2017, 112, 85–95. [Google Scholar] [CrossRef]
- Adrjanowicz, K.; Kaminski, K.; Grzybowska, K.; Hawelek, L.; Paluch, M.; Gruszka, I.; Zakowiecki, D.; Sawicki, W.; Lepek, P.; Kamysz, W.; et al. Effect of Cryogrinding on Chemical Stability of the Sparingly Water-Soluble Drug Furosemide. Pharm. Res. 2011, 28, 3220–3236. [Google Scholar] [CrossRef]
- Kaminska, E.; Adrjanowicz, K.; Kaminski, K.; Wlodarczyk, P.; Hawelek, L.; Kolodziejczyk, K.; Tarnacka, M.; Zakowiecki, D.; Kaczmarczyk-Sedlak, I.; Pilch, J.; et al. A New Way of Stabilization of Furosemide upon Cryogenic Grinding by Using Acylated Saccharides Matrices. The Role of Hydrogen Bonds in Decomposition Mechanism. Mol. Pharm. 2013, 10, 1824–1835. [Google Scholar] [CrossRef]
- Šagud, I.; Zanolla, D.; Perissutti, B.; Passerini, N.; Škorić, I. Identification of Degradation Products of Praziquantel during the Mechanochemical Activation. J. Pharm. Biomed. Anal. 2018, 159, 291–295. [Google Scholar] [CrossRef]
- Chieng, N.; Zujovic, Z.; Bowmaker, G.; Rades, T.; Saville, D. Effect of Milling Conditions on the Solid-State Conversion of Ranitidine Hydrochloride Form 1. Int. J. Pharm. 2006, 327, 36–44. [Google Scholar] [CrossRef]
- Pas, T.; Bergonzi, A.; Michiels, E.; Rousseau, F.; Schymkowitz, J.; Koekoekx, R.; Clasen, C.; Vergauwen, B.; Van den Mooter, G. Preparation of Amorphous Solid Dispersions by Cryomilling: Chemical and Physical Concerns Related to Active Pharmaceutical Ingredients and Carriers. Mol. Pharm. 2020, 17, 1001–1013. [Google Scholar] [CrossRef]
- Almeida, H.; Teixeira, N.; Sarmento, B.; Vasconcelos, T. Freeze-Drying Cycle Optimization of an Amorphous Solid Dispersion of Resveratrol. Eur. J. Pharm. Sci. 2024, 200, 106855. [Google Scholar] [CrossRef]
- Bogdani, E.; Vessot, S.; Do, G.; Andrieu, J.; Degobert, G. Optimization of Freeze-Drying Cycle for Tert-Butanol–Based Formulations of Ibuprofen. Dry. Technol. 2013, 31, 308–313. [Google Scholar] [CrossRef]
- Andrews, G.P.; Laverty, T.P.; Jones, D.S. Mucoadhesive Polymeric Platforms for Controlled Drug Delivery. Eur. J. Pharm. Biopharm. 2009, 71, 505–518. [Google Scholar] [CrossRef] [PubMed]
- Boateng, J.S.; Auffret, A.D.; Matthews, K.H.; Humphrey, M.J.; Stevens, H.N.E.; Eccleston, G.M. Characterisation of Freeze-Dried Wafers and Solvent Evaporated Films as Potential Drug Delivery Systems to Mucosal Surfaces. Int. J. Pharm. 2010, 389, 24–31. [Google Scholar] [CrossRef] [PubMed]
- Nail, S.L.; Jiang, S.; Chongprasert, S.; Knopp, S.A. Fundamentals of Freeze-Drying. In Development and Manufacture of Protein Pharmaceuticals; Nail, S.L., Akers, M.J., Eds.; Pharmaceutical Biotechnology; Springer US: New York, NY, USA, 2002; Volume 14. [Google Scholar] [CrossRef]
- Searles, J.A.; Carpenter, J.F.; Randolph, T.W. The Ice Nucleation Temperature Determines the Primary Drying Rate of Lyophilization for Samples Frozen on a Temperature-controlled Shelf. J. Pharm. Sci. 2001, 90, 860–871. [Google Scholar] [CrossRef]
- Hallouard, F.; Mehenni, L.; Lahiani-Skiba, M.; Anouar, Y.; Skiba, M. Solid Dispersions for Oral Administration: An Overview of the Methods for Their Preparation. CPD 2016, 22, 4942–4958. [Google Scholar] [CrossRef]
- Czajkowska-Kośnik, A.; Misztalewska-Turkowicz, I.; Wilczewska, A.Z.; Basa, A.; Winnicka, K. Solid Dispersions Obtained by Ball Milling as Delivery Platform of Etodolac, a Model Poorly Soluble Drug. Materials 2024, 17, 3923. [Google Scholar] [CrossRef] [PubMed]
- Kollidon VA64. Available online: https://pharma.basf.com/products/kollidon-va-64 (accessed on 10 September 2024).
- Nair, A.B.; Sreeharsha, N.; Al-Dhubiab, B.E.; Hiremath, J.G.; Shinu, P.; Attimarad, M.; Venugopala, K.N.; Mutahar, M. HPMC- and PLGA-Based Nanoparticles for the Mucoadhesive Delivery of Sitagliptin: Optimization and In Vivo Evaluation in Rats. Materials 2019, 12, 4239. [Google Scholar] [CrossRef]
- Li, C.L.; Martini, L.G.; Ford, J.L.; Roberts, M. The Use of Hypromellose in Oral Drug Delivery. J. Pharm. Pharmacol. 2010, 57, 533–546. [Google Scholar] [CrossRef]
- Chavan, R.B.; Rathi, S.; Jyothi, V.G.S.S.; Shastri, N.R. Cellulose Based Polymers in Development of Amorphous Solid Dispersions. Asian J. Pharm. Sci. 2019, 14, 248–264. [Google Scholar] [CrossRef] [PubMed]
- Budiman, A.; Handini, A.L.; Muslimah, M.N.; Nurani, N.V.; Laelasari, E.; Kurniawansyah, I.S.; Aulifa, D.L. Amorphous Solid Dispersion as Drug Delivery Vehicles in Cancer. Polymers 2023, 15, 3380. [Google Scholar] [CrossRef] [PubMed]
- Fan, N.; He, Z.; Ma, P.; Wang, X.; Li, C.; Sun, J.; Sun, Y.; Li, J. Impact of HPMC on Inhibiting Crystallization and Improving Permeability of Curcumin Amorphous Solid Dispersions. Carbohydr. Polym. 2018, 181, 543–550. [Google Scholar] [CrossRef]
- Ford, J. Thermal Analysis of Hydroxypropylmethylcellulose and Methylcellulose: Powders, Gels and Matrix Tablets. Int. J. Pharm. 1999, 179, 209–228. [Google Scholar] [CrossRef]
- Bachhav, D.G.; Khadabadi, S.S.; Deore, L.P. Development and Validation of HPLC Method for Estimation of Etodolac in Rat Plasma. Austin J. Anal. Pharm. Chem. 2016, 3, 1061. [Google Scholar]
- Zhang, Y.; Huo, M.; Zhou, J.; Zou, A.; Li, W.; Yao, C.; Xie, S. DDSolver: An Add-In Program for Modeling and Comparison of Drug Dissolution Profiles. AAPSJ 2010, 12, 263–271. [Google Scholar] [CrossRef]
- Valkama, E.; Haluska, O.; Lehto, V.-P.; Korhonen, O.; Pajula, K. Production and Stability of Amorphous Solid Dispersions Produced by a Freeze-Drying Method from DMSO. Int. J. Pharm. 2021, 606, 120902. [Google Scholar] [CrossRef]
- Hassouna, F.; Abo El Dahab, M.; Fulem, M.; De Lima Haiek, A.; Laachachi, A.; Kopecký, D.; Šoóš, M. Multi-Scale Analysis of Amorphous Solid Dispersions Prepared by Freeze Drying of Ibuprofen Loaded Acrylic Polymer Nanoparticles. J. Drug Deliv. Sci. Technol. 2019, 53, 101182. [Google Scholar] [CrossRef]
- Gupta, R.D.; Raghav, N. Nano Crystalline Cellulose Based Drug Delivery System for Some Non-Steroidal Anti-Inflammatory Drugs: Synthesis, Characterization and in-Vitro Simulation Studies. Int. J. Biol. Macromol. 2023, 243, 124983. [Google Scholar] [CrossRef] [PubMed]
- Chan, S.-Y.; Chung, Y.-Y.; Cheah, X.-Z.; Tan, E.Y.-L.; Quah, J. The Characterization and Dissolution Performances of Spray Dried Solid Dispersion of Ketoprofen in Hydrophilic Carriers. AJPS 2015, 10, 372–385. [Google Scholar] [CrossRef]
- Allenspach, C. Directly Compressible Hydroxypropyl Methylcellulose (HPMC) to Support Continuous Manufacturing. Ph.D.Thesis, Rutgers The State University of New Jersey, New Brunswick, NJ, USA, 2020. [Google Scholar] [CrossRef]
- Allenspach, C.; Timmins, P.; Sharif, S.; Minko, T. Characterization of a Novel Hydroxypropyl Methylcellulose (HPMC) Direct Compression Grade Excipient for Pharmaceutical Tablets. Int. J. Pharm. 2020, 583, 119343. [Google Scholar] [CrossRef] [PubMed]
- Lee, J.-H.; Jeong, H.S.; Jeong, J.-W.; Koo, T.-S.; Kim, D.-K.; Cho, Y.H.; Lee, G.W. The Development and Optimization of Hot-Melt Extruded Amorphous Solid Dispersions Containing Rivaroxaban in Combination with Polymers. Pharmaceutics 2021, 13, 344. [Google Scholar] [CrossRef] [PubMed]
- Wu, Q.; Feng, D.; Huang, Z.; Chen, M.; Yang, D.; Pan, X.; Lu, C.; Quan, G.; Wu, C. Supersaturable Organic-Inorganic Hybrid Matrix Based on Well-Ordered Mesoporous Silica to Improve the Bioavailability of Water Insoluble Drugs. Drug Deliv. 2020, 27, 1292–1300. [Google Scholar] [CrossRef]
- Sakkal, M.; Arafat, M.; Yuvaraju, P.; Beiram, R.; AbuRuz, S. Preparation and Characterization of Theophylline Controlled Release Matrix System Incorporating Poloxamer 407, Stearyl Alcohol, and Hydroxypropyl Methylcellulose: A Novel Formulation and Development Study. Polymers 2024, 16, 643. [Google Scholar] [CrossRef]
- Singh, J.K.; Kaur, S.; Chandrasekaran, B.; Kaur, G.; Saini, B.; Kaur, R.; Silakari, P.; Kaur, N.; Bassi, P. A QbD-Navigated Approach to the Development and Evaluation of Etodolac–Phospholipid Complex Containing Polymeric Films for Improved Anti-Inflammatory Effect. Polymers 2024, 16, 2517. [Google Scholar] [CrossRef]
- Shah, K.P.; Gumbhir-Shah, K.; Brittain, H.G. Etodolac. In Analytical Profiles of Drug Substances and Excipients; Elsevier: Amsterdam, The Netherlands, 2002; Volume 29, pp. 105–147. [Google Scholar] [CrossRef]
- Gadade, D.D.; Pekamwar, S.S.; Lahoti, S.R.; Patni, S.D.; Sarode, M.C. Cocrystallization of Etodolac: Prediction of Cocrystallization, Synthesis, Solid State Characterization And In Vitro Drug Release. Marmara Pharm. J. 2016, 21, 78–88. [Google Scholar] [CrossRef]
- Giannachi, C.; Allen, E.; Egan, G.; Vucen, S.; Crean, A. Colyophilized Sugar–Polymer Dispersions for Enhanced Processing and Storage Stability. Mol. Pharm. 2024, 21, 3017–3026. [Google Scholar] [CrossRef] [PubMed]
- Alqurshi, A.; Chan, K.L.A.; Royall, P.G. In-Situ Freeze-Drying—Forming Amorphous Solids Directly within Capsules: An Investigation of Dissolution Enhancement for a Poorly Soluble Drug. Sci. Rep. 2017, 7, 2910. [Google Scholar] [CrossRef] [PubMed]
- Karagianni, A.; Kachrimanis, K.; Nikolakakis, I. Co-Amorphous Solid Dispersions for Solubility and Absorption Improvement of Drugs: Composition, Preparation, Characterization and Formulations for Oral Delivery. Pharmaceutics 2018, 10, 98. [Google Scholar] [CrossRef]
- Minecka, A.; Chmiel, K.; Jurkiewicz, K.; Hachuła, B.; Łunio, R.; Żakowiecki, D.; Hyla, K.; Milanowski, B.; Koperwas, K.; Kamiński, K.; et al. Studies on the Vitrified and Cryomilled Bosentan. Mol. Pharm. 2022, 19, 80–90. [Google Scholar] [CrossRef] [PubMed]
- Nowak, D.; Jakubczyk, E. The Freeze-Drying of Foods—The Characteristic of the Process Course and the Effect of Its Parameters on the Physical Properties of Food Materials. Foods 2020, 9, 1488. [Google Scholar] [CrossRef]
- Borrmann, D.; Danzer, A.; Sadowski, G. Predicting the Water Sorption in ASDs. Pharmaceutics 2022, 14, 1181. [Google Scholar] [CrossRef]
- Newman, A.; Zografi, G. An Examination of Water Vapor Sorption by Multicomponent Crystalline and Amorphous Solids and Its Effects on Their Solid-State Properties. J. Pharm. Sci. 2019, 108, 1061–1080. [Google Scholar] [CrossRef]
- Müller, L.; Rubio-Pérez, G.; Bach, A.; Muñoz-Rujas, N.; Aguilar, F.; Worlitschek, J. Consistent DSC and TGA Methodology as Basis for the Measurement and Comparison of Thermo-Physical Properties of Phase Change Materials. Materials 2020, 13, 4486. [Google Scholar] [CrossRef]
- Marques, A.C.; Costa, P.C.; Velho, S.; Amaral, M.H. Rheological and Injectability Evaluation of Sterilized Poloxamer-407-Based Hydrogels Containing Docetaxel-Loaded Lipid Nanoparticles. Gels 2024, 10, 307. [Google Scholar] [CrossRef]
- Abdelbary, A.; El-Gazayerly, O.N.; Fahmy, R.H.; Salem, L.H. Influence of Various Polymers on the Improvement of Etodolac Solubility and Dissolution Rate via. Solid Dispersion Technique. Inventi Rapid Pharm. Technol. 2013, 2, 657. [Google Scholar]
- Zerrouk, N.; Chemtob, C.; Arnaud, P.; Toscani, S.; Dugue, J. In Vitro and in Vivo Evaluation of Carbamazepine-PEG 6000 Solid Dispersions. Int. J. Pharm. 2001, 225, 49–62. [Google Scholar] [CrossRef]
- Mura, P.; Nassini, C.; Proietti, D.; Manderioli, A.; Corti, P. Influence of Vehicle Composition Variations on the in Vitro and Ex Vivo Clonazepam Diffusion from Hydrophilic Ointment Bases. Pharm. Acta Helv. 1996, 71, 147–154. [Google Scholar] [CrossRef]
- Noval, N.; Rosyifa, R.; Annisa, A. Effect of HPMC Concentration Variation as Gelling Agent on Physical Stability of Formulation Gel Ethanol Extract Bundung Plants (Actinuscirpus grossus). In Proceedings of the First National Seminar Universitas Sari Mulia, NS-UNISM 2019, Banjarmasin, South Kalimantan, Indonesia, 23 November 2019; Darsono, P.V., Santoso, B.R., Rahmayani, D., Eds.; EAI: Banjarmasin, Indonesia, 2020. [Google Scholar] [CrossRef]
- Rowe, R.C.; Sheskey, P.J.; Owen, S.C. Handbook of Pharmaeuticaal Excipients, 6th ed.; The Pharmaceutical Press: London, UK, 2009. [Google Scholar]
- Costa, P.; Sousa Lobo, J.M. Modeling and Comparison of Dissolution Profiles. Eur. J. Pharm. Sci. 2001, 13, 123–133. [Google Scholar] [CrossRef]
- Anderson, N.H.; Bauer, M.; Boussac, N.; Khan-Malek, R.; Munden, P.; Sardaro, M. An Evaluation of Fit Factors and Dissolution Efficiency for the Comparison of in Vitro Dissolution Profiles. J. Pharm. Biomed. Analysis 1998, 17, 811–822. [Google Scholar] [CrossRef]
- Taldaev, A.; Pankov, D.I.; Terekhov, R.P.; Zhevlakova, A.K.; Selivanova, I.A. Modification of the Physicochemical Properties of Active Pharmaceutical Ingredients via Lyophilization. Pharmaceutics 2023, 15, 2607. [Google Scholar] [CrossRef]
- He, X.; Pei, L.; Tong, H.H.Y.; Zheng, Y. Comparison of Spray Freeze Drying and the Solvent Evaporation Method for Preparing Solid Dispersions of Baicalein with Pluronic F68 to Improve Dissolution and Oral Bioavailability. AAPS PharmSciTech 2011, 12, 104–113. [Google Scholar] [CrossRef] [PubMed][Green Version]
- Fitriani, L.; Tirtania, S.; Umar, S.; Zaini, E. Enhancing the Solubility and Dissolution Rate of Piperine via Preparation of Piperine–Hydroxypropyl Methylcellulose 2910 Solid Dispersion System Using Freeze-Drying Method. J. Pharm. Pharmacogn. Res. 2024, 12, 175–183. [Google Scholar] [CrossRef]
- Colombo, M.; Orthmann, S.; Bellini, M.; Staufenbiel, S.; Bodmeier, R. Influence of Drug Brittleness, Nanomilling Time, and Freeze-Drying on the Crystallinity of Poorly Water-Soluble Drugs and Its Implications for Solubility Enhancement. AAPS PharmSciTech 2017, 18, 2437–2445. [Google Scholar] [CrossRef] [PubMed]
- Verma, U.; Naik, J.B.; Mokale, V.J. Preparation of Freeze-Dried Solid Dispersion Powder Using Mannitol to Enhance Solubility of Lovastatin and Development of Sustained Release Tablet Dosage Form. Am. J. Pharm. Sci. Nanotechnol. 2014, 1, 11–26. [Google Scholar] [CrossRef]
















| Type of Method | Method | Examined Feature |
|---|---|---|
| Physical examination | Differential scanning calorimetry (DSC), powder X-ray diffraction (XRD), hot stage microscopy (HSM) | Physical state of drug (crystalline or amorphous), degree of drug and carriers’ crystallinity |
| Surface evaluation | Scanning electron microscopy (SEM), HSM, polarized light optical microscopy | Shape, surface and particle size |
| Structure explanation | Fourier transform infrared spectroscopy (FTIR), solid state nuclear magnetic resonance spectroscopy (ssNMR) | Type of bonds between drug and carrier |
| Drug-carrier interactions | DSC, FTIR, NMR | Chemical and physical interactions between drug and carrier |
| Solubility, dissolution rate | Solubility studies (e.g., shake-flask method), dissolution studies | Rate and extent of drug release |
| Components | Quantitative Composition (%) | Cryo-Milled Formulation * | Lyophilized Formulation * |
|---|---|---|---|
| ETD | 100 | K0 (30) K00 (60) | L0 (F) L00 (N) |
| ETD, HPMC | 33.34 + 66.66 | K1-30 (30) K1-60 (60) | L1-F (F) L1-N (N) |
| ETD, HPMC, poloxamer | 33.33 + 33.33 + 33.33 | K2-30 (30) K2-60 (60) | L2-F (F) L2-N (N) |
| ETD, PVP/VA | 33.34 + 66.66 | K3-30 (30) K3-60 (60) | L3-F (F) L3-N (N) |
| ETD, PVP/VA, poloxamer | 33.33 + 33.33 + 33.33 | K4-30 (30) K4-60 (60) | L4-F (F) L4-N (N) |
| ETD, poloxamer | 33.34 + 66.64 | K5-30 (30) K5-60 (60) | L5-F (F) L5-N (N) |
| Formulation | Solubility (mg/mL) | ||
|---|---|---|---|
| Water | Phosphate Buffer pH 7.4 | Acetate Buffer pH 5.5 | |
| ETD | 0.06 ± 0.00 | 1.59 ± 0.01 | 0.37 ± 0.02 |
| K0 | 0.08 ± 0.01 | 1.97 ± 0.05 | 0.36 ± 0.00 |
| K00 | 0.09 ± 0.01 | 1.99 ± 0.08 | 0.37 ± 0.00 |
| K1-30 | 0.12 ± 0.02 | 2.07 ± 0.18 | 1.01 ± 0.06 |
| K1-60 | 0.11 ± 0.01 | 1.98 ± 0.09 | 0.94 ± 0.03 |
| K2-30 | 0.11 ± 0.01 | 2.16 ± 0.25 | 1.31 ± 0.03 |
| K2-60 | 0.16 ± 0.01 | 2.25 ± 0.18 | 1.37 ± 0.05 |
| K3-30 | 0.13 ± 0.01 | 2.04 ± 0.14 | 0.87 ± 0.06 |
| K3-60 | 0.13 ± 0.01 | 1.91 ± 0.15 | 1.10 ± 0.15 |
| K4-30 | 0.11 ± 0.01 | 2.13 ± 0.12 | 0.92 ± 0.11 |
| K4-60 | 0.10 ± 0.01 | 2.38 ± 0.05 | 0.89 ± 0.03 |
| K5-30 | 0.10 ± 0.01 | 2.31 ± 0.27 | 1.03 ± 0.05 |
| K5-60 | 0.13 ± 0.04 | 2.44 ± 0.16 | 1.12 ± 0.09 |
| Formulation | Solubility (mg/mL) | ||
|---|---|---|---|
| Water | Phosphate Buffer pH 7.4 | Acetate Buffer pH 5.5 | |
| ETD | 0.06 ± 0.00 | 1.59 ± 0.01 | 0.37 ± 0.02 |
| L0 | 0.08 ± 0.01 | 1.60 ± 0.02 | 0.38 ± 0.00 |
| L00 | 0.09 ± 0.00 | 1.58 ± 0.02 | 0.39 ± 0.00 |
| L3-F | 0.37 ± 0.01 | 3.08 ± 0.12 | 1.69 ± 0.16 |
| L3-N | 0.38 ± 0.01 | 2.81 ± 0.08 | 1.59 ± 0.14 |
| L4-F | 0.43 ± 0.01 | 2.95 ± 0.45 | 1.43 ± 0.09 |
| L4-N | 0.30 ± 0.01 | 2.18 ± 0.15 | 1.25 ± 0.23 |
| L5-F | 0.20 ± 0.01 | 2.10 ± 0.19 | 1.22 ± 0.10 |
| L5-N | 0.26 ± 0.02 | 2.24 ± 0.03 | 1.02 ± 0.15 |
Disclaimer/Publisher’s Note: The statements, opinions and data contained in all publications are solely those of the individual author(s) and contributor(s) and not of MDPI and/or the editor(s). MDPI and/or the editor(s) disclaim responsibility for any injury to people or property resulting from any ideas, methods, instructions or products referred to in the content. |
© 2025 by the authors. Licensee MDPI, Basel, Switzerland. This article is an open access article distributed under the terms and conditions of the Creative Commons Attribution (CC BY) license (https://creativecommons.org/licenses/by/4.0/).
Share and Cite
Czajkowska-Kośnik, A.; Wach, R.A.; Wolska, E.; Winnicka, K. How Do Cryo-Milling and Lyophilization Affect the Properties of Solid Dispersions with Etodolac? Pharmaceutics 2025, 17, 1379. https://doi.org/10.3390/pharmaceutics17111379
Czajkowska-Kośnik A, Wach RA, Wolska E, Winnicka K. How Do Cryo-Milling and Lyophilization Affect the Properties of Solid Dispersions with Etodolac? Pharmaceutics. 2025; 17(11):1379. https://doi.org/10.3390/pharmaceutics17111379
Chicago/Turabian StyleCzajkowska-Kośnik, Anna, Radosław A. Wach, Eliza Wolska, and Katarzyna Winnicka. 2025. "How Do Cryo-Milling and Lyophilization Affect the Properties of Solid Dispersions with Etodolac?" Pharmaceutics 17, no. 11: 1379. https://doi.org/10.3390/pharmaceutics17111379
APA StyleCzajkowska-Kośnik, A., Wach, R. A., Wolska, E., & Winnicka, K. (2025). How Do Cryo-Milling and Lyophilization Affect the Properties of Solid Dispersions with Etodolac? Pharmaceutics, 17(11), 1379. https://doi.org/10.3390/pharmaceutics17111379

