Sign in to use this feature.

Years

Between: -

Subjects

remove_circle_outline
remove_circle_outline
remove_circle_outline
remove_circle_outline
remove_circle_outline
remove_circle_outline
remove_circle_outline
remove_circle_outline

Journals

Article Types

Countries / Regions

Search Results (17)

Search Parameters:
Keywords = apparent surplus

Order results
Result details
Results per page
Select all
Export citation of selected articles as:
16 pages, 3532 KB  
Article
Effects of Different Nitrogen Fertilizer Rates on Spring Maize Yield and Soil Nitrogen Balance Under Straw Returning Conditions of Cold Regions
by Jinghong Ji, Shuangquan Liu, Xiaoyu Hao, Yu Zheng, Yue Zhao, Yuqi Xia, Zhanqiang Xing and Wei Guo
Plants 2025, 14(19), 3087; https://doi.org/10.3390/plants14193087 - 7 Oct 2025
Cited by 2 | Viewed by 785
Abstract
Under the condition of straw returning to the field, appropriate nitrogen fertilizer application is one of the key factors used to improve crop yield and ensure environmental safety. Therefore, an experiment with different rates of nitrogen fertilization was conducted with a randomized block [...] Read more.
Under the condition of straw returning to the field, appropriate nitrogen fertilizer application is one of the key factors used to improve crop yield and ensure environmental safety. Therefore, an experiment with different rates of nitrogen fertilization was conducted with a randomized block design in Harbin, China. The straw was deeply plowed back into the field after harvest in the autumn. The nitrogen application rates were 0, 75, 150, 180, 225, and 300 kg·ha−1. The purpose of this study is to clarify the appropriate amount of nitrogen fertilizer under the condition of straw returning to the field and to provide technical support for high-yield and high-efficiency maize in cold regions. The results indicated that the yield of maize first increased and then stabilized as the amount of nitrogen fertilizer increased, while the economic benefits first increased and then decreased. When the nitrogen application rate exceeds 225 kg·ha−1 or is lower than 150 kg·ha−1, the economic benefits significantly decrease. When high-nitrogen fertilizer rates of 225 kg·ha−1 and 300 kg·ha−1 were applied, the residual nitrate nitrogen in the soil was increased by 2.1 times and 2.3 times, respectively, compared to before sowing. With the increase in the nitrogen application rate, the nitrogen fertilizer utilization efficiency and agronomic efficiency decreased, and the apparent nitrogen loss and nitrogen surplus significantly increased. Comprehensively considering the maize yield, benefits, and environmental risk factors the suitable nitrogen application rate was in a range of 170.2 kg·ha−1 to 178.2 kg·ha−1 in the first year and 150.0 kg·ha−1 to 171.3 kg·ha−1 in the second year. This work provides a theoretical basis and technical support for the rational application of nitrogen fertilizer and high-yield and high-efficiency spring maize under the condition of straw returning to the field. Full article
Show Figures

Figure 1

18 pages, 6443 KB  
Article
Transcriptional Pathways Predisposing to Cancer Oxidative Stress Sensitivity and Resistance Are Shared Between Hydrogen Peroxide and Cold Gas Plasma but Not Hypochlorous Acid
by Debora Singer and Sander Bekeschus
Cancers 2025, 17(2), 319; https://doi.org/10.3390/cancers17020319 - 20 Jan 2025
Cited by 2 | Viewed by 1648
Abstract
Oxidative stress is universal to all cell types, including cancer. It is elicited by a surplus of reactive oxygen species (ROS) or a reduced cellular ability to defend against those. At low levels (oxidative eustress), this induces altered cellular signaling, while at higher [...] Read more.
Oxidative stress is universal to all cell types, including cancer. It is elicited by a surplus of reactive oxygen species (ROS) or a reduced cellular ability to defend against those. At low levels (oxidative eustress), this induces altered cellular signaling, while at higher levels (oxidative distress), cellular toxicity and non-specific redox signaling become apparent. While oxidation-induced cell death is a hallmark of many cancer therapies, including ROS-producing radiotherapy, some chemotherapies and targeted therapies, photodynamic therapy, and recently emerging physical modalities such as medical gas plasma (a multi-ROS generating technology), less is known about the transcriptional profiles predisposing cancer cells to oxidative demise. In particular, which genes are associated with resistance or sensitivity to ROS overload and subsequent toxicity has not been systematically investigated. Moreover, it is unclear if there are differences between oxidant types, such as hydrogen peroxide and hypochlorous acid. To this end, we here employed 35 cell lines of various origins (e.g., adenocarcinoma, melanoma, leukemia, squamous cell carcinoma, and neuroblastoma). We first performed in-house transcriptomic analysis to assess baseline transcriptional profiles. Second, all cell lines were exposed to four different ROS concentrations of either hydrogen peroxide, hypochlorous, or gas plasma exposure. Third, correlation analysis was performed to identify genes associated with (i) oxidative stress sensitivity, (ii) oxidative stress resistance, and (iii) similarities and/or differences between the different oxidative stress inducers. Intriguingly, distinct gene sets were found for all treatments, and there was a striking difference between hydrogen peroxide and hypochlorous acid, suggesting different modes of action of both oxidants. Full article
Show Figures

Figure 1

22 pages, 10042 KB  
Article
Effects of Irrigation Amount and Nitrogen Rate on Cotton Yield, Nitrogen Use Efficiency, and Soil Nitrogen Balance under Drip Irrigation
by Huan Liao, Kai Liu, Haibo Hao, Yanrong Yong, Weibao Zhang and Zhenan Hou
Agronomy 2024, 14(8), 1671; https://doi.org/10.3390/agronomy14081671 - 30 Jul 2024
Cited by 5 | Viewed by 2463
Abstract
Water and nitrogen (N) are major constraints for cotton growth and yield formation in arid regions. Irrigation and N application have been widely investigated to improve crop yield and water and N use efficiency (NUE). However, further optimization of water and N management [...] Read more.
Water and nitrogen (N) are major constraints for cotton growth and yield formation in arid regions. Irrigation and N application have been widely investigated to improve crop yield and water and N use efficiency (NUE). However, further optimization of water and N management is needed because the effects of N application on soil N balance and N loss under different irrigation levels remain unclear. In this study, a field experiment was conducted in 2020 and 2021 to investigate the effects of different irrigation amounts (full irrigation (100% ETc), moderate irrigation (80% ETc), low irrigation (60% ETc)) and N application rates (control (without N application, N0), low N (150 kg ha−1, N150), medium N (225 kg ha−1 and 300 kg ha−1, N225 and N300), and high N (375 kg ha−1, N375)) on cotton yield, NUE, and soil N balance. The 2-year results showed that under the 60% ETc treatment, cotton dry matter accumulation, N uptake, and yield were significantly enhanced by increasing N application. Under the 80% and 100% ETc treatments, these parameters peaked with the N300 treatment; the N375 treatment showed no significant difference or decrease compared to the N300 treatment. The 80% ETc N300 treatment had the highest cotton yield and NUE, which increased by 17.49–106.57% and 12.28–88.78% compared with other treatments, respectively. Residual soil N accumulation (RSNmin), apparent N loss (ANL), and apparent N surplus (ANS) increased as the N application rate increased under the 60% and 100% ETc treatments. While under the 80% ETc treatment, the ANS did not significantly differ between the N225 and N300 treatments, ANL significantly decreased by 43.51–88.56% when the N application rate increased from 150 to 225 and 300 kg ha−1. The ANL of the 80% ETc N300 treatment was the lowest, but ANS did not significantly increase. The regression analysis and spatial analysis results showed that under irrigation of 336–348 mm and N application of 254–327 kg ha−1, cotton yield, NUE, and WPI reached more than 80% of the maximum value, with less apparent N loss, thus maintaining the soil N balance in drip-irrigated cotton fields. This study helps to improve the utilization of water and N resources in cotton production. Future research on optimizing water and N management needs to more fully consider environmental pollution to achieve sustainable development of agricultural ecosystems. Full article
(This article belongs to the Section Water Use and Irrigation)
Show Figures

Graphical abstract

13 pages, 1331 KB  
Article
Struvite as P Fertilizer on Yield, Nutrient Uptake and Soil Nutrient Status in the Rice–Wheat Rotation System: A Two-Year Field Observation
by Jizheng Wang, Lihong Xue, Pengfu Hou, Tianjia Hao, Lixiang Xue, Xi Zhang, Tianyi Sun, Sergey Lobanov and Linzhang Yang
Agronomy 2023, 13(12), 2948; https://doi.org/10.3390/agronomy13122948 - 29 Nov 2023
Cited by 13 | Viewed by 4278
Abstract
Long-term large inputs of phosphorus (P) fertilizer in China have caused serious soil P accumulation, low P use efficiency (PUE) and high risk of P loss. Controlling the amount of P fertilizer applied presents an inevitable choice for improving the PUE. Struvite recycled [...] Read more.
Long-term large inputs of phosphorus (P) fertilizer in China have caused serious soil P accumulation, low P use efficiency (PUE) and high risk of P loss. Controlling the amount of P fertilizer applied presents an inevitable choice for improving the PUE. Struvite recycled from agricultural wastewater rich in N and P concentrations are capable of slow nutrient release, improving nutrient uptake and enabling the reuse of nutrients from environmental sources when applied to agricultural land. A two-year field experiment was conducted to investigate the effects of struvite combined with P reduction under a rice–wheat rotation system in eastern China. A total of five treatments were set up, including conventional fertilization (FP), a struvite substitution of 100% P fertilizer (SP), a 50% P reduction with struvite substitution (RSP), no application of N fertilizer (N0) and no application of P fertilizer (P0). Grain yield, crop N and P uptake, N and P use efficiency (NUE and PUE) and soil nutrient status were assessed. Under the same P application rate, the yield and aboveground biomass of the SP treatment were slightly higher than those of FP treatment, but the crop P uptake, PUE and soil available P content were significantly increased. The RSP treatment did not reduce yield with 50% P reduction, and significantly improved the PUE and soil available P content. Crop N uptake and NUE were also found to be increased in SP and RSP treatments with struvite substitution. The P apparent balance showed that both the SP and FP treatments had a P surplus, but the RSP treatment had a P break-even, and the soil available P content remains stable compared with the initial value. The results indicate that struvite application could improve the soil P availability and crop nutrient uptake then promote the crop yield. To increase the nutrient use efficiency of crops while ensuring crop yield and soil fertility, appropriate P reduction combined with struvite as a P fertilizer could be sustainable in the rice–wheat rotation system in the long run. Full article
Show Figures

Figure 1

15 pages, 2508 KB  
Article
A Novel Bispecific Antibody for EpCAM-Directed Inhibition of the CD73/Adenosine Immune Checkpoint in Ovarian Cancer
by Emily Maria Ploeg, Isabel Britsch, Anne Paulien van Wijngaarden, Xiurong Ke, Mark Alexander Johannes Martinus Hendriks, Douwe Freerk Samplonius and Wijnand Helfrich
Cancers 2023, 15(14), 3651; https://doi.org/10.3390/cancers15143651 - 17 Jul 2023
Cited by 4 | Viewed by 2731
Abstract
PD-1/PD-L1-inhibiting antibodies have shown disappointing efficacy in patients with refractory ovarian cancer (OC). Apparently, OC cells exploit nonoverlapping immunosuppressive mechanisms to evade the immune system. In this respect, the CD73-adenosine inhibitory immune checkpoint is of particular interest, as it rapidly converts pro-inflammatory ATP [...] Read more.
PD-1/PD-L1-inhibiting antibodies have shown disappointing efficacy in patients with refractory ovarian cancer (OC). Apparently, OC cells exploit nonoverlapping immunosuppressive mechanisms to evade the immune system. In this respect, the CD73-adenosine inhibitory immune checkpoint is of particular interest, as it rapidly converts pro-inflammatory ATP released from cancer cells to immunosuppressive adenosine (ADO). Moreover, cancer-cell-produced ADO is known to form a highly immunosuppressive extra-tumoral ‘halo’ that chronically inhibits the anticancer activity of various immune effector cells. Thus far, conventional CD73-blocking antibodies such as oleclumab show limited clinical efficacy, probably due to the fact that it indiscriminately binds to and blocks CD73 on a massive surplus of normal cells. To address this issue, we constructed a novel bispecific antibody (bsAb) CD73xEpCAM that inhibits CD73 expressed on the OC cell surface in an EpCAM-directed manner. Importantly, bsAb CD73xEpCAM showed potent capacity to inhibit the CD73 enzyme activity in an EpCAM-directed manner and restore the cytotoxic activity of ADO-suppressed anticancer T cells. Additionally, treatment with bsAb CD73xEpCAM potently inhibited the proliferative capacity of OC cells and enhanced their sensitivity to cisplatin, doxorubicin, 5FU, and ionizing radiation. BsAb CD73xEpCAM may be useful in the development of tumor-directed immunotherapeutic approaches to overcome the CD73-mediated immunosuppression in patients with refractory OC. Full article
Show Figures

Graphical abstract

17 pages, 2079 KB  
Article
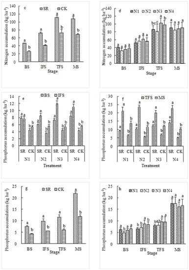
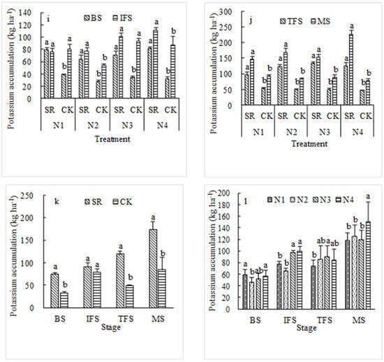
Effects of Annual Straw Incorporation Combined with Application of Nitrogen Fertilizer in Rice Season on Dry Matter and Nutrient Accumulation Characteristics of Subsequent Rapeseed
by Zhengli Song, Guiling Xu, Yuehua Feng, Jie Li, Jiali Luo, Xiaoke Wang, Yuqi Gao, Xiaoxuan You and Hongjun Ren
Agronomy 2023, 13(6), 1514; https://doi.org/10.3390/agronomy13061514 - 31 May 2023
Cited by 4 | Viewed by 1977
Abstract
In the rice–rapeseed rotation system, straw incorporation plays an important role in achieving the rational utilization of resources and maintaining crop production. However, in the study of rice–rapeseed rotation, there was no study on the effect of straw and nitrogen (N) fertilizer in [...] Read more.
In the rice–rapeseed rotation system, straw incorporation plays an important role in achieving the rational utilization of resources and maintaining crop production. However, in the study of rice–rapeseed rotation, there was no study on the effect of straw and nitrogen (N) fertilizer in the rice season on the dry matter accumulation (DMA) and nutrient accumulation of subsequent rapeseed. So, this study relied on the localization experiment of rice–rapeseed rotation and annual straw incorporation (full straw returning to the field, SR; the control is full straw removal from the field, CK) with different N fertilizer application rates (N1: 0 kg ha−1, N2: 75 kg ha−1, N3: 150 kg ha−1, and N4: 225 kg ha−1) in the rice season. Based on the fourth year of experiment implementation, the effects of annual straw incorporation combined with the N fertilizer application rate in the rice season on the leaf area index (LAI), photosynthetic potential (PP), DMA and its distribution proportion and rate, and nutrient uptake and its allocation proportion in rapeseed were discussed. At the bolting stage (BS), initial flowering stage (IFS), terminal flowering stage (TFS), and mature stage (MS), the DMA of rapeseed in SR was significantly higher than that in CK by 69.90, 64.27, 62.90, and 41.27%, respectively. The accumulation of N, phosphorus (P), and potassium (K) in SR was significantly higher than that in CK at the BS, IFS, TFS, and MS. Straw treatment had a significant impact on the apparent surplus of N, P, and K in the rice, rapeseed, and annual seasons, while the application of N fertilizer in the rice season had a significant or extremely significant impact on the apparent surplus (AS) of N in the rice, rapeseed, and annual seasons, indicating that fertilization of previous crops had a certain aftereffect. Therefore, straw incorporation is a sustainable farmland management measure. Full article
(This article belongs to the Section Soil and Plant Nutrition)
Show Figures

Figure 1

19 pages, 3664 KB  
Article
Implications of the Emergence of Autonomous Vehicles and Shared Autonomous Vehicles: A Budapest Perspective
by Mohamad Shatanawi and Ferenc Mészáros
Sustainability 2022, 14(17), 10952; https://doi.org/10.3390/su141710952 - 2 Sep 2022
Cited by 8 | Viewed by 3953
Abstract
The introduction of autonomous vehicles (AVs) and shared autonomous vehicles (SAVs) is projected to enhance network performance and accessibility. The future share distribution of AV and SAV is not yet apparent, nor is which of these two future transport modes will become dominant. [...] Read more.
The introduction of autonomous vehicles (AVs) and shared autonomous vehicles (SAVs) is projected to enhance network performance and accessibility. The future share distribution of AV and SAV is not yet apparent, nor is which of these two future transport modes will become dominant. Therefore, this research deploys a simulation-based dynamic traffic assignment using Visum software to investigate the impact of varying the share distribution of AVs and SAVs on Budapest’s network performance and consumer surplus in three projected future traffic scenarios for the years 2030 and 2050 compared to the Base scenario for 2020. The three future scenarios are presented and characterized by different penetration rates of AVs and SAVs to reflect the uncertainty in the market share of these future cars as follows: Mix-Traffic scenario for 2030, and AV-Focused and SAV-Focused scenarios for 2050. The results revealed that the emergence of AVs and SAVs would improve the overall network performance, and better performance was observed with increasing the share distribution of SAVs. Similarly, the consumer surplus increased in all future scenarios, especially with increasing the share distribution of AVs. Consequently, the advent of AVs and SAVs will improve traffic performance and increase consumer surplus, benefiting road users and authorities. Full article
(This article belongs to the Special Issue Transportation Planning and Urban Sustainability)
Show Figures

Figure 1

14 pages, 501 KB  
Review
The Race for Global Equitable Access to COVID-19 Vaccines
by Lukman Nul Hakim Md Khairi, Mathumalar Loganathan Fahrni and Antonio Ivan Lazzarino
Vaccines 2022, 10(8), 1306; https://doi.org/10.3390/vaccines10081306 - 12 Aug 2022
Cited by 53 | Viewed by 8234
Abstract
COVID-19 vaccines are possibly the most effective medical countermeasures to mitigate and ultimately bring to a halt the COVID-19 pandemic. As we transition to endemicity, inequitable access to vaccines, and particularly in low- and middle-income countries (LMICs), still poses risks of unprecedented disruptions [...] Read more.
COVID-19 vaccines are possibly the most effective medical countermeasures to mitigate and ultimately bring to a halt the COVID-19 pandemic. As we transition to endemicity, inequitable access to vaccines, and particularly in low- and middle-income countries (LMICs), still poses risks of unprecedented disruptions and the emergence of viral mutations, which potentially lead to notorious vaccine-resistant variants. The missteps learned from the previous responses to the human immunodeficiency virus (HIV) and influenza outbreaks founded the hypothetical plan to ensure that vaccine accessibility to LMICs is not impeded. The SARS-CoV-2 vaccines’ social promise was to lessen the underlying racial, ethnic, and geographic inequities that COVID-19 has both made apparent and intensified. Vaccine nationalism was evident throughout the COVID-19 crisis. Many high-income countries directly negotiated large advance orders for the vaccines, leaving resource-limited countries scrambling for access. This occurred despite international initiatives to structure the development and equitable distribution of vaccines, channeled through a vaccine pillar: COVID-19 Vaccines Global Access (COVAX). The serious supply shortages and national procurement methods of some countries that bypassed the vaccine pillar hindered the optimal function of COVAX in delivering timely and adequate doses to participating countries. COVAX strategized its approach by promoting fundraising, coordinating vaccine donations from countries with surplus doses, expediting reviews of vaccine candidates, and facilitating the expansion of the manufacturing capacity. While increasing capacity for production, technology transfer led to lesser siloes, enhanced manufacturing standardization, and less secrecy over production data. Ultracold storage requirements for leading vaccines were a considerable hurdle to the global immunization efforts, and particularly in LMICs with limited equipment and resources to support sophisticated cold-chain systems. Manufacturers strived to ease cold-chain restrictions on the basis of stability data submitted to national regulatory bodies. The development of single-dose vaccines offered promising solutions to simplify the administrative and logistic complexities that existed within the COVID-19 vaccination programs. As such, the requirements for both ultracold storage conditions were eased, and concerns over booster doses were addressed. To expand coverage, the dosing intervals of the Oxford/AstraZeneca vaccines were extended according to data from Phase III clinical trials on effectiveness. In addition, with the recent outbreak of monkeypox, the lessons from past experiences of curbing infectious diseases, including COVID-19, must be learned and acted upon. The review summarizes the global efforts with respect to vaccine development, production, allocation, and deployment to achieve equitable access. Full article
Show Figures

Figure 1

17 pages, 4165 KB  
Review
State-of-the-Art Multimodality Imaging in Sudden Cardiac Arrest with Focus on Idiopathic Ventricular Fibrillation: A Review
by Lisa M. Verheul, Sanne A. Groeneveld, Feddo P. Kirkels, Paul G. A. Volders, Arco J. Teske, Maarten J. Cramer, Marco Guglielmo and Rutger J. Hassink
J. Clin. Med. 2022, 11(16), 4680; https://doi.org/10.3390/jcm11164680 - 10 Aug 2022
Cited by 4 | Viewed by 3660
Abstract
Idiopathic ventricular fibrillation is a rare cause of sudden cardiac arrest and a diagnosis by exclusion. Unraveling the mechanism of ventricular fibrillation is important for targeted management, and potentially for initiating family screening. Sudden cardiac arrest survivors undergo extensive clinical testing, with a [...] Read more.
Idiopathic ventricular fibrillation is a rare cause of sudden cardiac arrest and a diagnosis by exclusion. Unraveling the mechanism of ventricular fibrillation is important for targeted management, and potentially for initiating family screening. Sudden cardiac arrest survivors undergo extensive clinical testing, with a growing role for multimodality imaging, before diagnosing “idiopathic” ventricular fibrillation. Multimodality imaging, considered as using multiple imaging modalities as diagnostics, is important for revealing structural myocardial abnormalities in patients with cardiac arrest. This review focuses on combining imaging modalities (echocardiography, cardiac magnetic resonance and computed tomography) and the electrocardiographic characterization of sudden cardiac arrest survivors and discusses the surplus value of multimodality imaging in the diagnostic routing of these patients. We focus on novel insights obtained through electrostructural and/or electromechanical imaging in apparently idiopathic ventricular fibrillation patients, with special attention to non-invasive electrocardiographic imaging. Full article
Show Figures

Figure 1

17 pages, 1284 KB  
Article
Effects of Government Subsidies on Production and Emissions Reduction Decisions under Carbon Tax Regulation and Consumer Low-Carbon Awareness
by Weiling Wang, Yongjian Wang, Xiaoqing Zhang and Dalin Zhang
Int. J. Environ. Res. Public Health 2021, 18(20), 10959; https://doi.org/10.3390/ijerph182010959 - 18 Oct 2021
Cited by 29 | Viewed by 5028
Abstract
To promote low-carbon production, the government simultaneously provides some subsidies under carbon tax regulations. Two government subsidies are widely adopted: one is based on emissions reduction quantity and the other is based on emissions reduction investment cost. Additionally, consumer low-carbon awareness has also [...] Read more.
To promote low-carbon production, the government simultaneously provides some subsidies under carbon tax regulations. Two government subsidies are widely adopted: one is based on emissions reduction quantity and the other is based on emissions reduction investment cost. Additionally, consumer low-carbon awareness has also been enhanced. Considering the aforementioned circumstances, this paper investigates the effects of different government subsidies on production and emissions reduction decisions under a carbon tax regulation by formulating three decision-making optimization models. The results show that (1) although the carbon tax regulation cannot guarantee further improvement of emissions reduction levels, government subsidies could make the corresponding conditions of improving emissions reduction investments wider; (2) a heavy carbon tax or stronger consumer low-carbon awareness would make the positive effect of government subsidies more apparent; and (3) subsidy policies may also be selected by the government from different perspectives, such as manufacturer development, consumer surplus, environmental damage and social welfare. Especially, from the perspective of maximizing social welfare, investment cost (IC) subsidy is not always advantageous, while emissions reduction (ER) subsidy can always bring higher social welfare compared with the case under no government subsidy. Full article
Show Figures

Figure 1

26 pages, 1609 KB  
Article
Trust and Trustworthiness in Corrupted Economic Environments
by Leonardo Becchetti, Luca Corazzini and Vittorio Pelligra
Games 2021, 12(1), 16; https://doi.org/10.3390/g12010016 - 4 Feb 2021
Viewed by 4123
Abstract
We use an original variant of the standard trust game to study the effects of corruption on trust and trustworthiness. In this game, both the trustor and the trustee know that part of the surplus they can generate may be captured by a [...] Read more.
We use an original variant of the standard trust game to study the effects of corruption on trust and trustworthiness. In this game, both the trustor and the trustee know that part of the surplus they can generate may be captured by a third “corrupted” player under different expected costs of audit and prosecution. We find a slightly higher trustor’s giving in the presence of corruption, matched by a significant excess of reciprocity from the trustee. Both the trustor and the trustee expect, on average, corruption to act as a tax, inelastic to changes in the probability of corruption prosecution. Expectations are correct for the inelasticity assumption and for the actual value of the “corruption tax”. Our experimental findings lead to the rejection of four standard hypotheses based on purely self-regarding preferences. We discuss how the apparently paradoxical excess reciprocity effect is consistent with the cultural role of heroes in history, where examples of commendable giving have been used to stimulate emulation of ordinary people. Our results suggest that the excess reciprocity component of the trustee makes the trustor’s excess giving a rational and effective strategy. Full article
(This article belongs to the Special Issue Laboratory Experiments: Cooperation, Sanctions and Norms)
Show Figures

Figure 1

19 pages, 1007 KB  
Article
Efficiency of Mineral Nitrogen Fertilization in Winter Wheat under Pannonian Climate Conditions
by Gerhard Moitzi, Reinhard W. Neugschwandtner, Hans-Peter Kaul and Helmut Wagentristl
Agriculture 2020, 10(11), 541; https://doi.org/10.3390/agriculture10110541 - 11 Nov 2020
Cited by 25 | Viewed by 3895
Abstract
Improvements in nitrogen (N) use efficiency in crop production are important for addressing the triple challenges of food security, environmental degradation and climate change. The three fertilizers, calcium ammonium nitrate (CAN), urea (Urea) and stabilized urea (Ureastab), were applied at a [...] Read more.
Improvements in nitrogen (N) use efficiency in crop production are important for addressing the triple challenges of food security, environmental degradation and climate change. The three fertilizers, calcium ammonium nitrate (CAN), urea (Urea) and stabilized urea (Ureastab), were applied at a rate of 160 kg N ha−1 with two or three splits to winter wheat (Triticum aestivum L.) in the Pannonian climate region of eastern Austria. On average, over all fertilization treatments, the grain yield (GY) increased by about a quarter and the grain N concentration (GNC) doubled compared to the control without fertilization. Consequently, the grain N yield (NYGRAIN) was increased with N fertilization by 154%. The GY increased due to a higher grain density with no differences between N fertilizers but with a tendency of a higher grain yield with three compared to two splits. Three splits also slightly increased the GNC and consequently the NYGRAIN of CAN and Ureastab in one year. The removal of N fertilizer with the NYGRAIN (N surplus) was higher than the amount of applied fertilizer. Fertilization decreased the N use efficiency (NUE), the N uptake efficiency (NUpE) and the N utilization efficiency (NUtE) but increased the soil mineral nitrate (NO3-N) at harvest and the apparent N loss (ANL). Three compared to two applications resulted in a higher NO3-N at harvest but also a lower N surplus due to partly higher NYGRAIN. Consequently, the ANL was lower with three compared to two splits. Also, the NUpE and the apparent N recovery efficiency (ANRE) were higher with three splits. The best N treatment regarding highest above-ground biomass yield with lowest N surplus, N balance and ANL was the three-split treatment (50 CAN, 50 CAN, 60 liquid urea ammonium nitrate). Three splits can, under semi-arid conditions, be beneficial when aiming high-quality wheat for bread-making and also for reducing the N loss. Whereas, two splits are recommended when aiming only at high GY, e.g., for ethanol-wheat production. Full article
(This article belongs to the Special Issue Nitrogen Fertilization in Crop Production)
Show Figures

Figure 1

26 pages, 16119 KB  
Article
Mapping of Agricultural Subsurface Drainage Systems Using a Frequency-Domain Ground Penetrating Radar and Evaluating Its Performance Using a Single-Frequency Multi-Receiver Electromagnetic Induction Instrument
by Triven Koganti, Ellen Van De Vijver, Barry J. Allred, Mogens H. Greve, Jørgen Ringgaard and Bo V. Iversen
Sensors 2020, 20(14), 3922; https://doi.org/10.3390/s20143922 - 14 Jul 2020
Cited by 27 | Viewed by 9058
Abstract
Subsurface drainage systems are commonly used to remove surplus water from the soil profile of a poorly drained farmland. Traditional methods for drainage mapping involve the use of tile probes and trenching equipment that are time-consuming, labor-intensive, and invasive, thereby entailing an inherent [...] Read more.
Subsurface drainage systems are commonly used to remove surplus water from the soil profile of a poorly drained farmland. Traditional methods for drainage mapping involve the use of tile probes and trenching equipment that are time-consuming, labor-intensive, and invasive, thereby entailing an inherent risk of damaging the drainpipes. Effective and efficient methods are needed in order to map the buried drain lines: (1) to comprehend the processes of leaching and offsite release of nutrients and pesticides and (2) for the installation of a new set of drain lines between the old ones to enhance the soil water removal. Non-invasive geophysical soil sensors provide a potential alternative solution. Previous research has mainly showcased the use of time-domain ground penetrating radar, with variable success, depending on local soil and hydrological conditions and the central frequency of the specific equipment used. The objectives of this study were: (1) to test the use of a stepped-frequency continuous wave three-dimensional ground penetrating radar (3D-GPR) with a wide antenna array for subsurface drainage mapping and (2) to evaluate its performance with the use of a single-frequency multi-receiver electromagnetic induction (EMI) sensor in-combination. This sensor combination was evaluated on twelve different study sites with various soil types with textures ranging from sand to clay till. While the 3D-GPR showed a high success rate in finding the drainpipes at five sites (sandy, sandy loam, loamy sand, and organic topsoils), the results at the other seven sites were less successful due to the limited penetration depth of the 3D-GPR signal. The results suggest that the electrical conductivity estimates produced by the inversion of apparent electrical conductivity data measured by the EMI sensor could be a useful proxy for explaining the success achieved by the 3D-GPR in finding the drain lines. Full article
(This article belongs to the Special Issue Sensors in Agriculture 2020)
Show Figures

Graphical abstract

28 pages, 3374 KB  
Review
Physical Activity and Sports—Real Health Benefits: A Review with Insight into the Public Health of Sweden
by Christer Malm, Johan Jakobsson and Andreas Isaksson
Sports 2019, 7(5), 127; https://doi.org/10.3390/sports7050127 - 23 May 2019
Cited by 402 | Viewed by 83913
Abstract
Positive effects from sports are achieved primarily through physical activity, but secondary effects bring health benefits such as psychosocial and personal development and less alcohol consumption. Negative effects, such as the risk of failure, injuries, eating disorders, and burnout, are also apparent. Because [...] Read more.
Positive effects from sports are achieved primarily through physical activity, but secondary effects bring health benefits such as psychosocial and personal development and less alcohol consumption. Negative effects, such as the risk of failure, injuries, eating disorders, and burnout, are also apparent. Because physical activity is increasingly conducted in an organized manner, sport’s role in society has become increasingly important over the years, not only for the individual but also for public health. In this paper, we intend to describe sport’s physiological and psychosocial health benefits, stemming both from physical activity and from sport participation per se. This narrative review summarizes research and presents health-related data from Swedish authorities. It is discussed that our daily lives are becoming less physically active, while organized exercise and training increases. Average energy intake is increasing, creating an energy surplus, and thus, we are seeing an increasing number of people who are overweight, which is a strong contributor to health problems. Physical activity and exercise have significant positive effects in preventing or alleviating mental illness, including depressive symptoms and anxiety- or stress-related disease. In conclusion, sports can be evolving, if personal capacities, social situation, and biological and psychological maturation are taken into account. Evidence suggests a dose–response relationship such that being active, even to a modest level, is superior to being inactive or sedentary. Recommendations for healthy sports are summarized. Full article
(This article belongs to the Special Issue Intersection of Sport, Physical Activity and Human Health)
Show Figures

Figure 1

13 pages, 2414 KB  
Article
Deficiency of Invariant Natural Killer T Cells Does Not Protect Against Obesity but Exacerbates Atherosclerosis in Ldlr−/− Mice
by Savitha Subramanian, Leela Goodspeed, Shari Wang, Yilei Ding, Kevin D. O’Brien, Godfrey S. Getz, Alan Chait and Catherine A. Reardon
Int. J. Mol. Sci. 2018, 19(2), 510; https://doi.org/10.3390/ijms19020510 - 8 Feb 2018
Cited by 16 | Viewed by 4772
Abstract
Obesity is a chronic inflammatory state characterized by altered levels of adipose tissue immune cell populations. Natural killer T (NKT) cells are CD1d restricted lymphocyte subsets that recognize lipid antigens whose level decreases in obese adipose tissue. However, studies in mice with deficiency [...] Read more.
Obesity is a chronic inflammatory state characterized by altered levels of adipose tissue immune cell populations. Natural killer T (NKT) cells are CD1d restricted lymphocyte subsets that recognize lipid antigens whose level decreases in obese adipose tissue. However, studies in mice with deficiency or increased levels of NKT cells have yielded contradictory results, so the exact role of these cells in obesity and adipose tissue inflammation is not yet established. We previously showed that Ldlr−/− mice with excess invariant NKT (iNKT) cells demonstrate significant weight gain, adiposity, metabolic abnormalities, and atherosclerosis. The current study evaluates the effects of NKT cell deficiency on obesity, associated metabolic changes, and atherosclerosis in Jα18−/−Ldlr−/− (lacking iNKT cells) and Cd1d−/−Ldlr−/− (lacking invariant and type II NKT cells) mice, and control mice were fed an obesogenic diet (high fat, sucrose, cholesterol) for 16 weeks. Contrary to expectations, Ja18−/−Ldlr−/− mice gained significantly more weight than Ldlr−/− or Cd1d−/−Ldlr−/− mice, developed hypertriglyceridemia, and had worsened adipose tissue inflammation. All the mice developed insulin resistance and hepatic triglyceride accumulation. Ja18−/−Ldlr−/− mice also had increased atherosclerotic lesion area. Our findings suggest that iNKT cells exacerbates the metabolic, inflammatory, and atherosclerotic features of diet-induced obesity. Further work is required to unravel the paradox of an apparently similar effect of iNKT cell surplus and depletion on obesity. Full article
(This article belongs to the Special Issue Natural Killer T (NKT) Cells)
Show Figures

Graphical abstract

Back to TopTop